Valorization of Edible Oil Industry By-Products Through Optimizing the Protein Recovery from Sunflower Press Cake via Different Novel Extraction Methods
Abstract
1. Introduction
2. Materials and Methods
2.1. Materials and Chemicals
2.2. Extraction Methods for Protein Recovery from Sunflower Press Cake
2.2.1. Conventional Extraction
2.2.2. Ultrasound and Microwave Synergy in Extraction Processes (UMAE)
2.2.3. Pressurized Liquid Extraction (PLE)
2.2.4. Enzymatic-Assisted Extraction (EAE)
2.3. Characterization of Extracts
2.3.1. Protein Precipitation and Precipitation Yield (PY, %)
2.3.2. Isoelectric Point (pI) Determination
2.3.3. Protein Content
2.3.4. Protein Hydrolysis and HPLC Amino Acid Profiling
2.4. Experimental Design and Statistical Analysis
3. Results and Discussion
3.1. SPC Protein Content and pI Determination
3.2. Conventional Extraction of SPC
3.2.1. Optimization of Conventional Extraction Using RSM
3.2.2. Fitting Model to Data
- CE-Precipitation Yield (PY)
- CE-Protein Recovery in extract (PRE)
- CE-Protein Recovery in Precipitated mass (PRP).
3.2.3. Graphical Interpretation of Model Predictions
3.3. UMAE of SPC
3.3.1. Optimization of Extraction Time of UMAE
3.3.2. Optimization of UMAE Using RSM
3.3.3. Fitting Model to Data
- UMAE Precipitation Yield (PY)
- UMAE Protein Recovery in Extract (PRE).
- UMAE Protein Recovery in Precipitated mass (PRP)
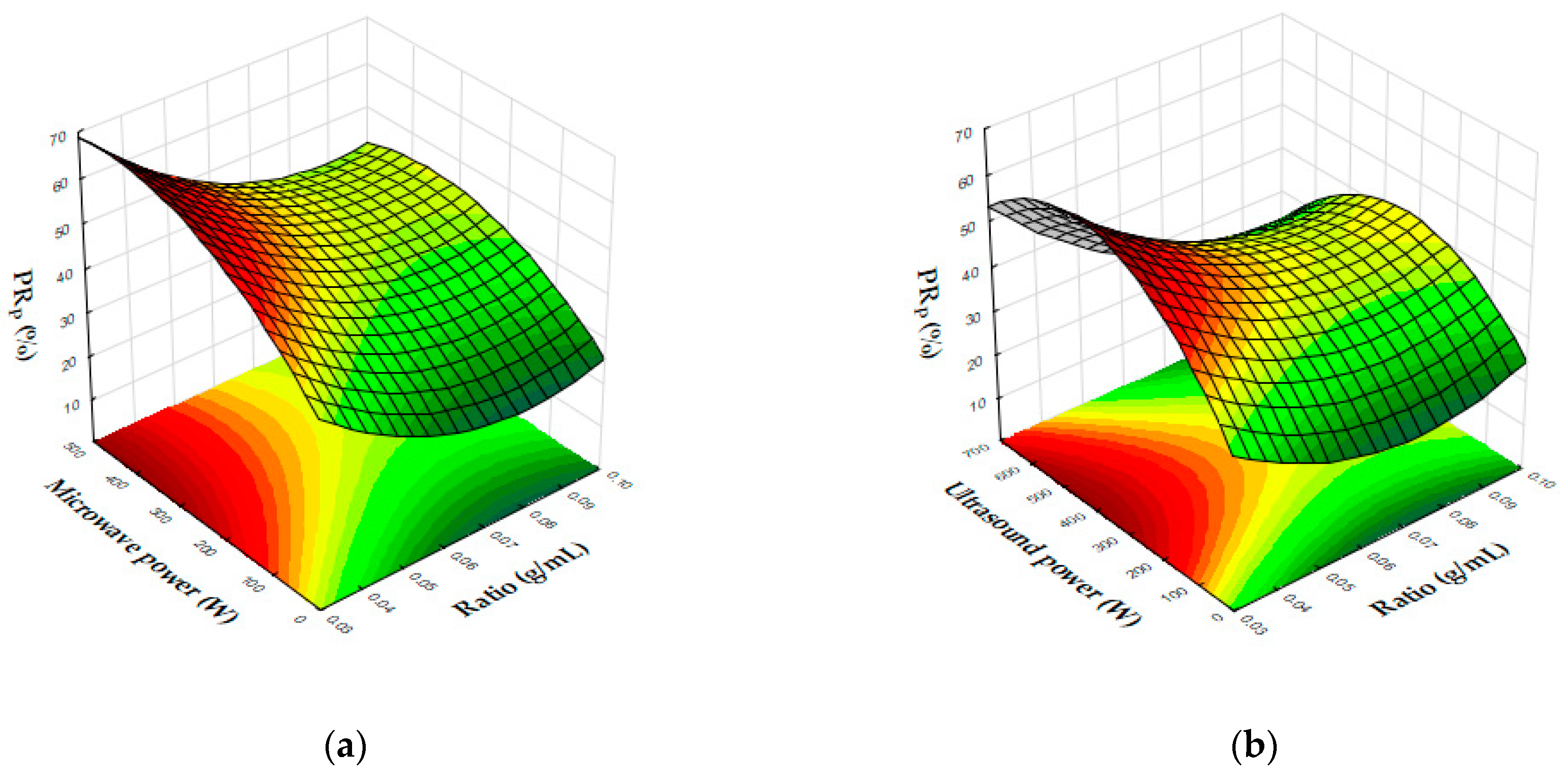
3.3.4. Graphical Interpretation of Model Predictions
3.4. PLE of SPC
3.4.1. Optimization of PLE Using RSM
3.4.2. Fitting Model to Data
- PLE-Precipitation Yield (PY)
- PLE-Protein Recovery in extract (PRE)
- PLE-Protein Recovery in Precipitated mass (PRP)
3.4.3. Graphical Interpretation of Model Predictions
3.5. Enzymatic-Assisted Extraction (EAE) of SPC
3.6. Optimum Extracts—Comparison
3.7. HPLC Analysis of Extracts at Optimum Conditions
4. Conclusions
Author Contributions
Funding
Data Availability Statement
Conflicts of Interest
Appendix A
| Source | Coefficients | Standard Error | Sum of Squares | DF | Mean Square | F-Value |
|---|---|---|---|---|---|---|
| PY (%) a | ||||||
| Model | 16.78 | 0.85 | 5630.74 | 6 | 938.46 | 10,395.19 *** |
| X1 | −6.19 | 1.79 | 70.94 | 1 | 70.94 | 785.82 *** |
| X12 | 3.57 | 0.78 | 0.34 | 1 | 0.34 | 3.81 NS |
| X2 | 1.30 | 0.66 | 2.20 | 1 | 2.20 | 24.37 *** |
| X22 | −1.12 | 0.34 | 0.98 | 1 | 0.98 | 10.82 *** |
| X1X2 | −0.53 | 0.20 | 0.65 | 1 | 0.65 | 7.23 * |
| Residual | 1.90 | 21 | 0.09 | |||
| Total | 84.37 | 26 | ||||
| PRE (%) b | ||||||
| Model | 70.84 | 3.01 | 86,087.79 | 6 | 14,347.97 | 12,756.70 *** |
| X1 | −44.50 | 6.31 | 1351.56 | 1 | 1351.56 | 1201.66 *** |
| X12 | 30.95 | 2.76 | 20.30 | 1 | 20.30 | 18.05 *** |
| X2 | 9.95 | 2.34 | 0.38 | 1 | 0.38 | 0.33 NS |
| X22 | −16.28 | 1.20 | 206.92 | 1 | 206.92 | 183.97 *** |
| X1X2 | 3.23 | 0.70 | 23.90 | 1 | 23.90 | 21.25 *** |
| Residual | 23.62 | 21 | 1.12 | |||
| Total | 1807.57 | 26 | ||||
| PRP (%) c | ||||||
| Model | 25.86 | 3.31 | 28,700.74 | 6 | 4783.46 | 3524.53 *** |
| X1 | 2.99 | 6.93 | 338.31 | 1 | 338.31 | 249.27 *** |
| X12 | 19.02 | 3.04 | 2.86 | 1 | 2.86 | 2.11 NS |
| X2 | −3.73 | 2.57 | 39.28 | 1 | 39.28 | 28.95 *** |
| X22 | −7.41 | 1.32 | 42.82 | 1 | 42.82 | 31.55 *** |
| X1X2 | −0.68 | 0.77 | 1.05 | 1 | 1.05 | 0.77 NS |
| Residual | 28.50 | 21 | 1.36 | |||
| Total | 531.49 | 26 |
| Source | Coefficients | Standard Error | Sum of Squares | DF | Mean Square | F-Value |
|---|---|---|---|---|---|---|
| PY (%) a | ||||||
| Model | 21.96 | 3.31 | 12,289.09 | 10 | 1228.91 | 503.55 *** |
| X1 | −30.60 | 5.92 | 382.19 | 1 | 382.19 | 156.60 *** |
| X12 | 8.32 | 1.19 | 64.16 | 1 | 64.16 | 26.29 *** |
| X2 | 15.30 | 1.43 | 50.86 | 1 | 50.86 | 20.84 *** |
| X22 | 11.15 | 2.17 | 56.55 | 1 | 56.55 | 23.17 *** |
| X3 | −1.97 | 0.41 | 220.00 | 1 | 220.00 | 90.15 *** |
| X32 | −2.46 | 0.67 | 32.87 | 1 | 32.87 | 13.47 *** |
| X1X2 | −0.68 | 0.52 | 4.21 | 1 | 4.21 | 1.73 NS |
| X1X3 | −3.94 | 0.64 | 91.54 | 1 | 91.54 | 37.51 *** |
| X2X3 | −1.84 | 0.45 | 40.29 | 1 | 40.29 | 16.51 *** |
| Residual | 85.42 | 35 | 2.44 | |||
| Total | 1344.43 | 44 | ||||
| PRE (%) b | ||||||
| Model | 84.96 | 8.33 | 143,174.28 | 10 | 14,317.43 | 928.54 *** |
| X1 | −115.50 | 14.89 | 6211.01 | 1 | 6211.01 | 402.81 *** |
| X12 | 27.53 | 3.00 | 785.75 | 1 | 785.75 | 50.96 *** |
| X2 | 59.79 | 3.60 | 1185.25 | 1 | 1185.25 | 76.87 *** |
| X22 | 39.02 | 5.47 | 645.58 | 1 | 645.58 | 41.87 *** |
| X3 | −6.64 | 1.03 | 1360.33 | 1 | 1360.33 | 88.22 *** |
| X32 | −16.79 | 1.69 | 1527.96 | 1 | 1527.96 | 99.09 *** |
| X1X2 | −0.13 | 1.31 | 0.16 | 1 | 0.16 | 0.01 NS |
| X1X3 | −10.59 | 1.62 | 661.29 | 1 | 661.29 | 42.89 *** |
| X2X3 | −6.33 | 1.14 | 474.55 | 1 | 474.55 | 30.78 *** |
| Residual | 539.67 | 35 | 15.42 | |||
| Total | 16,091.25 | 44 | ||||
| PRP (%) c | ||||||
| Model | 39.10 | 6.61 | 79,286.11 | 10 | 7928.61 | 816.91 *** |
| X1 | −55.15 | 11.81 | 2429.21 | 1 | 2429.21 | 250.29 *** |
| X12 | 30.66 | 2.38 | 201.00 | 1 | 201.00 | 20.71 *** |
| X2 | 57.82 | 2.86 | 2212.70 | 1 | 2212.70 | 227.98 *** |
| X22 | 19.73 | 4.34 | 774.70 | 1 | 774.70 | 79.82 *** |
| X3 | −7.27 | 0.81 | 350.16 | 1 | 350.16 | 36.08 *** |
| X32 | −23.55 | 1.34 | 3006.61 | 1 | 3006.61 | 309.78 *** |
| X1X2 | −3.27 | 1.04 | 96.61 | 1 | 96.61 | 9.95 ** |
| X1X3 | −8.25 | 1.28 | 401.35 | 1 | 401.35 | 41.35 *** |
| X2X3 | −0.70 | 0.90 | 5.73 | 1 | 5.73 | 0.59 NS |
| Residual | 339.70 | 35 | 9.71 | |||
| Total | 11,815.62 | 44 |
| Source | Coefficients | Standard Error | Sum of Squares | DF | Mean Square | F-Value |
|---|---|---|---|---|---|---|
| PY (%) a | ||||||
| Model | 18.34 | 2.87 | 7466.79 | 10 | 746.68 | 825.89 *** |
| X1 | −25.89 | 3.69 | 270.05 | 1 | 270.05 | 298.70 *** |
| X12 | 15.12 | 2.64 | 32.27 | 1 | 32.27 | 35.70 *** |
| X2 | 14.28 | 2.33 | 158.51 | 1 | 158.51 | 175.33 *** |
| X22 | 7.91 | 1.32 | 66.18 | 1 | 66.18 | 73.20 *** |
| X3 | −9.79 | 1.14 | 3.12 | 1 | 3.12 | 3.45 NS |
| X32 | −3.67 | 0.94 | 13.78 | 1 | 13.78 | 15.24 *** |
| X1X2 | 2.73 | 0.70 | 13.77 | 1 | 13.77 | 15.23 *** |
| X1X3 | −2.11 | 0.62 | 10.57 | 1 | 10.57 | 11.69 ** |
| X2X3 | −4.60 | 0.98 | 19.97 | 1 | 19.97 | 22.08 *** |
| Residual | 31.64 | 35 | 0.90 | |||
| Total | 643.62 | 44 | ||||
| PRE (%) b | ||||||
| Model | 83.80 | 9.82 | 159,094.49 | 10 | 15,909.45 | 1501.11 *** |
| X1 | −101.08 | 12.64 | 1817.15 | 1 | 1817.15 | 171.45 *** |
| X12 | 14.81 | 9.02 | 355.84 | 1 | 355.84 | 33.57 *** |
| X2 | 62.45 | 7.99 | 242.30 | 1 | 242.30 | 22.86 *** |
| X22 | 26.25 | 4.53 | 242.93 | 1 | 242.93 | 22.92 *** |
| X3 | −18.75 | 3.92 | 4.92 | 1 | 4.92 | 0.46 * |
| X32 | −26.04 | 3.22 | 694.97 | 1 | 694.97 | 65.57 *** |
| X1X2 | 25.30 | 2.40 | 1178.95 | 1 | 1178.95 | 111.24 *** |
| X1X3 | −4.72 | 2.11 | 52.86 | 1 | 52.86 | 4.99 * |
| X2X3 | −3.08 | 3.35 | 8.94 | 1 | 8.94 | 0.84 NS |
| Residual | 370.95 | 35 | 10.60 | |||
| Total | 4290.69 | 44 | ||||
| PRP (%) c | ||||||
| Model | 56.13 | 9.52 | 53,470.46 | 10 | 5347.05 | 536.67 *** |
| X1 | −66.82 | 12.25 | 2409.65 | 1 | 2409.65 | 241.85 *** |
| X12 | 44.92 | 8.75 | 175.09 | 1 | 175.09 | 17.57 *** |
| X2 | 27.82 | 7.74 | 2477.33 | 1 | 2477.33 | 248.64 *** |
| X22 | 18.41 | 4.39 | 840.82 | 1 | 840.82 | 84.39 *** |
| X3 | −34.88 | 3.80 | 51.56 | 1 | 51.56 | 5.18 * |
| X32 | −7.00 | 3.12 | 50.20 | 1 | 50.20 | 5.04 * |
| X1X2 | 9.67 | 2.33 | 172.03 | 1 | 172.03 | 17.27 *** |
| X1X3 | −4.86 | 2.05 | 55.89 | 1 | 55.89 | 5.61 * |
| X2X3 | −9.78 | 3.25 | 90.21 | 1 | 90.21 | 9.05 ** |
| Residual | 348.72 | 35 | 9.96 | |||
| Total | 7541.95 | 44 |









References
- Kashyap, B.K.; Solanki, M.K.; Kamboj, D.V.; Pandey, A.K. Waste to Energy: Prospects and Applications; Springer: Singapore, 2021; ISBN 9789813343474. [Google Scholar]
- IndexMundi. Available online: https://www.Indexmundi.Com/Agriculture/?Commodity=sunflowerseed-Meal&graph=production (accessed on 15 January 2025).
- Gültekin Subaşı, B.; Vahapoğlu, B.; Capanoglu, E.; Mohammadifar, M.A. A Review on Protein Extracts from Sunflower Cake: Techno-Functional Properties and Promising Modification Methods. Crit. Rev. Food Sci. Nutr. 2022, 62, 6682–6697. [Google Scholar] [CrossRef] [PubMed]
- Rakita, S.; Kokić, B.; Manoni, M.; Mazzoleni, S.; Lin, P.; Luciano, A.; Ottoboni, M.; Cheli, F.; Pinotti, L. Cold-Pressed Oilseed Cakes as Alternative and Sustainable Feed Ingredients: A Review. Foods 2023, 12, 432. [Google Scholar] [CrossRef] [PubMed]
- Kumar, M.; Tomar, M.; Punia, S.; Dhakane-Lad, J.; Dhumal, S.; Changan, S.; Senapathy, M.; Berwal, M.K.; Sampathrajan, V.; Sayed, A.A.S.; et al. Plant-Based Proteins and Their Multifaceted Industrial Applications. LWT 2022, 154, 112620. [Google Scholar] [CrossRef]
- Ravindran, N.; Kumar Singh, S.; Singha, P. A Comprehensive Review on the Recent Trends in Extractions, Pretreatments and Modifications of Plant-Based Proteins. Food Res. Int. 2024, 190, 114575. [Google Scholar] [CrossRef]
- Hosur, K.H.; Betha, U.K.; Yadav, K.K.; Mekapogu, M.; Kashyap, B.K. Byproduct Valorization of Vegetable Oil Industry Through Biotechnological Approach. In Waste to Energy: Prospects and Applications; Springer: Singapore, 2020; pp. 167–206. [Google Scholar]
- Drosou, C.; Kyriakopoulou, K.; Laina, K.T.; Bimpilas, A.; Tsimogiannis, D.; Krokida, M. Revolutionizing Wine Waste: Advanced Techniques for Polyphenol Recovery from White Wine Byproducts. Agriculture 2025, 15, 648. [Google Scholar] [CrossRef]
- Vinatoru, M. An Overview of the Ultrasonically Assisted Extraction of Bioactive Principles from Herbs. Ultrason. Sonochem. 2001, 8, 303–313. [Google Scholar] [CrossRef]
- Sparr Eskilsson, C.; Björklund, E. Analytical-Scale Microwave-Assisted Extraction. J. Chromatogr. A 2000, 902, 227–250. [Google Scholar] [CrossRef]
- Ho, C.H.L.; Cacace, J.E.; Mazza, G. Extraction of Lignans, Proteins and Carbohydrates from Flaxseed Meal with Pressurized Low Polarity Water. LWT 2007, 40, 1637–1647. [Google Scholar] [CrossRef]
- Drosou, C.; Laina, K.T.; Dimoula, M.; Eleni, P.M.; Boukouvalas, C.J.; Topakas, E.; Krokida, M. Valorization of Tomato By-Products: Advanced Extraction Methods and Bioprocessing of Bioactive Compounds and Functional Products. Appl. Sci. 2025, 15, 3914. [Google Scholar] [CrossRef]
- Kleekayai, T.; Khalesi, M.; Amigo-Benavent, M.; Cermeño, M.; Harnedy-Rothwell, P.; FitzGerald, R.J. Enzyme-Assisted Extraction of Plant Proteins. In Green Protein Processing Technologies from Plants; Springer International Publishing: Cham, Switzerland, 2023; pp. 131–178. [Google Scholar]
- Teixeira, R.F.; Araujo, T.R.; de Oliveira, D.; Zielinski, A.A.F. Unveiling the Potential of Pressurized Liquid Extraction for Recovering Protein Fractions from Broken Black Beans: Insights into Thermal and Structural Properties. Food Hydrocoll. 2024, 149, 109649. [Google Scholar] [CrossRef]
- Zhou, J.; Wang, M.; Carrillo, C.; Zhu, Z.; Brncic, M.; Berrada, H.; Barba, F.J. Impact of Pressurized Liquid Extraction and Ph on Protein Yield, Changes in Molecular Size Distribution and Antioxidant Compounds Recovery from Spirulina. Foods 2021, 10, 2153. [Google Scholar] [CrossRef] [PubMed]
- González-García, E.; Marina, M.L.; García, M.C. Impact of the Use of Pressurized Liquids on the Extraction and Functionality of Proteins and Bioactives from Brewer’s Spent Grain. Food Chem. 2021, 359, 129874. [Google Scholar] [CrossRef] [PubMed]
- Phongthai, S.; Lim, S.T.; Rawdkuen, S. Optimization of Microwave-Assisted Extraction of Rice Bran Protein and Its Hydrolysates Properties. J. Cereal Sci. 2016, 70, 146–154. [Google Scholar] [CrossRef]
- Prandi, B.; Di Massimo, M.; Tedeschi, T.; Rodríguez-Turienzo, L.; Rodríguez, Ó. Ultrasound and Microwave-Assisted Extraction of Proteins from Coffee Green Beans: Effects of Process Variables on the Protein Integrity. Food Bioprocess Technol. 2022, 15, 2712–2722. [Google Scholar] [CrossRef]
- Kalpana, B.; Ramya, K.G.; Munishamanna, K.B.; Palanimuthu, V. Extraction of Protein from Sunflower Deoiled Cake. J. Pharmacogn. Phytochem. 2020, 9, 23–27. [Google Scholar]
- Subaşı, B.G.; Casanova, F.; Capanoglu, E.; Ajalloueian, F.; Sloth, J.J.; Mohammadifar, M.A. Protein Extracts from De-Oiled Sunflower Cake: Structural, Physico-Chemical and Functional Properties after Removal of Phenolics. Food Biosci. 2020, 38, 100749. [Google Scholar] [CrossRef]
- Lowry, O.H.; Rosebrough, N.J.; Farr, A.L.; Randall, R.J. Protein Measurement with the Folin Phenol Reagent. J. Biol. Chem. 1951, 193, 265–275. [Google Scholar] [CrossRef]
- Determination in Animal Feed: Copper Catalyst Kjeldahl Method 984.13. In Official Methods of Analysis, 15th ed.; AOAC International: Gaithersburg, MD, USA, 1990.
- Fountoulakis, M.; Lahm, H.-W. Hydrolysis and Amino Acid Composition Analysis of Proteins. J. Chromatogr. A 1998, 826, 109–134. [Google Scholar] [CrossRef]
- Davidson, I. Hydrolysis of Samples for Amino Acid Analysis. In Protein Sequencing Protocols; Humana Press: Totowa, NJ, USA, 2003; pp. 111–122. [Google Scholar]
- Sharma, G.; Attri, S.V.; Behra, B.; Bhisikar, S.; Kumar, P.; Tageja, M.; Sharda, S.; Singhi, P.; Singhi, S. Analysis of 26 Amino Acids in Human Plasma by HPLC Using AQC as Derivatizing Agent and Its Application in Metabolic Laboratory. Amino Acids 2014, 46, 1253–1263. [Google Scholar] [CrossRef]
- Fiechter, G.; Mayer, H.K. Characterization of Amino Acid Profiles of Culture Media via Pre-Column 6-Aminoquinolyl-N-Hydroxysuccinimidyl Carbamate Derivatization and Ultra Performance Liquid Chromatography. J. Chromatogr. B 2011, 879, 1353–1360. [Google Scholar] [CrossRef]
- Náthia-Neves, G.; Alonso, E. Valorization of Sunflower By-Product Using Microwave-Assisted Extraction to Obtain a Rich Protein Flour: Recovery of Chlorogenic Acid, Phenolic Content and Antioxidant Capacity. Food Bioprod. Process. 2021, 125, 57–67. [Google Scholar] [CrossRef]
- Wildermuth, S.R.; Young, E.E.; Were, L.M. Chlorogenic Acid Oxidation and Its Reaction with Sunflower Proteins to Form Green-Colored Complexes. Compr. Rev. Food Sci. Food Saf. 2016, 15, 829–843. [Google Scholar] [CrossRef] [PubMed]
- Salgado, P.R.; Drago, S.R.; Molina Ortiz, S.E.; Petruccelli, S.; Andrich, O.; González, R.J.; Mauri, A.N. Production and Characterization of Sunflower (Helianthus annuus L.) Protein-Enriched Products Obtained at Pilot Plant Scale. LWT 2012, 45, 65–72. [Google Scholar] [CrossRef]
- Drosou, C.; Krokida, M. A Comparative Study of Encapsulation of β-Carotene via Spray-Drying and Freeze-Drying Techniques Using Pullulan and Whey Protein Isolate as Wall Material. Foods 2024, 13, 1933. [Google Scholar] [CrossRef]
- Mari, A.; Andriotis, P.; Drosou, C.; Laina, K.-T.; Panagiotou, N.; Krokida, M. Enhancing Shelf-Life Stability of Refrigerated Potatoes through Osmotic Dehydration and Ohmic Heating Optimization: A Strategy to Mitigate Enzymatic Browning. Potato Res. 2024. [Google Scholar] [CrossRef]
- Patra, A.; Arun Prasath, V. Isolation of Detoxified Cassava (Manihot esculenta L.) Leaf Protein by Alkaline Extraction-Isoelectric Precipitation: Optimization and Its Characterization. Food Chem. 2024, 437, 137845. [Google Scholar] [CrossRef]
- Firatligil-Durmus, E.; Evranuz, O. Response Surface Methodology for Protein Extraction Optimization of Red Pepper Seed (Capsicum frutescens). LWT 2010, 43, 226–231. [Google Scholar] [CrossRef]
- Abas Wani, A.; Sogi, D.S.; Grover, L.; Saxena, D.C. Effect of Temperature, Alkali Concentration, Mixing Time and Meal/Solvent Ratio on the Extraction of Watermelon Seed Proteins-a Response Surface Approach. Biosyst. Eng. 2006, 94, 67–73. [Google Scholar] [CrossRef]
- Kaur, R.; Ghoshal, G.; Chauhan, S. Optimizing Conditions for Protein Isolation from De-Oiled Sunflower Meal Using Response Surface Methodology (RSM). J. Food Meas. Charact. 2024, 18, 3708–3719. [Google Scholar] [CrossRef]
- Tang, D.-S.; Tian, Y.-J.; He, Y.-Z.; Li, L.; Hu, S.-Q.; Li, B. Optimisation of Ultrasonic-Assisted Protein Extraction from Brewer’s Spent Grain. Czech J. Food Sci. 2010, 28, 9–17. [Google Scholar] [CrossRef]
- Arik Kibar, E.A.; Aslan, Ö. Ultrasound-Assisted Extraction of Chickpea Proteins and Their Functional and Technological Properties. Food Technol. Biotechnol. 2024, 62, 480–487. [Google Scholar] [CrossRef] [PubMed]
- Wang, F.; Zhang, Y.; Xu, L.; Ma, H. An Efficient Ultrasound-Assisted Extraction Method of Pea Protein and Its Effect on Protein Functional Properties and Biological Activities. LWT 2020, 127, 109348. [Google Scholar] [CrossRef]
- Ochoa-Rivas, A.; Nava-Valdez, Y.; Serna-Saldívar, S.O.; Chuck-Hernández, C. Microwave and Ultrasound to Enhance Protein Extraction from Peanut Flour under Alkaline Conditions: Effects in Yield and Functional Properties of Protein Isolates. Food Bioprocess Technol. 2017, 10, 543–555. [Google Scholar] [CrossRef]
- Bedin, S.; Netto, F.M.; Bragagnolo, N.; Taranto, O.P. Reduction of the Process Time in the Achieve of Rice Bran Protein through Ultrasound-Assisted Extraction and Microwave-Assisted Extraction. Sep. Sci. Technol. 2020, 55, 300–312. [Google Scholar] [CrossRef]
- Drosou, C.; Kyriakopoulou, K.; Bimpilas, A.; Tsimogiannis, D.; Krokida, M. A Comparative Study on Different Extraction Techniques to Recover Red Grape Pomace Polyphenols from Vinification Byproducts. Ind. Crop. Prod. 2015, 75, 141–149. [Google Scholar] [CrossRef]
- Dabbour, M.; He, R.; Ma, H.; Musa, A. Optimization of Ultrasound Assisted Extraction of Protein from Sunflower Meal and Its Physicochemical and Functional Properties. J. Food Process Eng. 2018, 41, e12799. [Google Scholar] [CrossRef]
- Sert, D.; Rohm, H.; Struck, S. Ultrasound-Assisted Extraction of Protein from Pumpkin Seed Press Cake: Impact on Protein Yield and Techno-Functionality. Foods 2022, 11, 4029. [Google Scholar] [CrossRef]
- Putri, R.P.; Choirun, A.; Indis, N.A.; Rusdiarti; Rakhmadevi, A.G. Effect of Microwave-Assisted Extraction (MAE) Method on the Characteristics of Protein Extract from Edamame (Glycine max (L.) Merrill). IOP Conf. Ser. Earth Environ. Sci. 2025, 1446, 012008. [Google Scholar] [CrossRef]
- Fadimu, G.J.; Gill, H.; Farahnaky, A.; Truong, T. Improving the Enzymolysis Efficiency of Lupin Protein by Ultrasound Pretreatment: Effect on Antihypertensive, Antidiabetic and Antioxidant Activities of the Hydrolysates. Food Chem. 2022, 383, 132457. [Google Scholar] [CrossRef]
- Aguilar-Acosta, L.; Serna-Saldivar, S.; Rodríguez-Rodríguez, J.; Escalante-Aburto, A.; Chuck-Hernández, C. Effect of Ultrasound Application on Protein Yield and Fate of Alkaloids during Lupin Alkaline Extraction Process. Biomolecules 2020, 10, 292. [Google Scholar] [CrossRef]
- de la Fuente, B.; Pallarés, N.; Barba, F.J.; Berrada, H. An Integrated Approach for the Valorization of Sea Bass (Dicentrarchus labrax) Side Streams: Evaluation of Contaminants and Development of Antioxidant Protein Extracts by Pressurized Liquid Extraction. Foods 2021, 10, 546. [Google Scholar] [CrossRef] [PubMed]
- Hernández-Corroto, E.; Plaza, M.; Marina, M.L.; García, M.C. Sustainable Extraction of Proteins and Bioactive Substances from Pomegranate Peel (Punica granatum L.) Using Pressurized Liquids and Deep Eutectic Solvents. Innov. Food Sci. Emerg. Technol. 2020, 60, 102314. [Google Scholar] [CrossRef]
- Náthia-Neves, G.; Alonso, E. Optimization of the Subcritical Water Treatment from Sunflower By-Product for Producing Protein and Sugar Extracts. Biomass Convers. Biorefinery 2024, 14, 1637–1650. [Google Scholar] [CrossRef]
- Sari, Y.W.; Mulder, W.J.; Sanders, J.P.M.; Bruins, M.E. Towards Plant Protein Refinery: Review on Protein Extraction Using Alkali and Potential Enzymatic Assistance. Biotechnol. J. 2015, 10, 1138–1157. [Google Scholar] [CrossRef]
- Yust, M.M.; Pedroche, J.; Megías, C.; Girón-Calle, J.; Alaiz, M.; Millán, F.; Vioque, J. Improvement of Protein Extraction from Sunflower Meal by Hydrolysis with Alcalase. Grasas Y Aceites 2003, 54, 419–423. [Google Scholar] [CrossRef]
- Baurin, D.V.; Baurina, A.V.; Shakir, I.V.; Panfilov, V.I. Optimization of Enzyme Assisted Alkaline Extraction of Sunflower (Helianthus annuus L.) Protein for Alternative Isolate Production. Chem. Eng. Trans. 2022, 93, 175–180. [Google Scholar] [CrossRef]
- Sari, Y.W.; Bruins, M.E.; Sanders, J.P.M. Enzyme Assisted Protein Extraction from Rapeseed, Soybean, and Microalgae Meals. Ind. Crops Prod. 2013, 43, 78–83. [Google Scholar] [CrossRef]
- Görgüç, A.; Bircan, C.; Yılmaz, F.M. Sesame Bran as an Unexploited By-Product: Effect of Enzyme and Ultrasound-Assisted Extraction on the Recovery of Protein and Antioxidant Compounds. Food Chem. 2019, 283, 637–645. [Google Scholar] [CrossRef]
- Tsakiri-Mantzorou, Z.; Drosou, C.; Mari, A.; Stramarkou, M.; Laina, K.T.; Krokida, M. Edible Coating with Encapsulated Antimicrobial and Antibrowning Agents via the Emerging Electrospinning Process and the Conventional Spray Drying: Effect on Quality and Shelf Life of Fresh-Cut Potatoes. Potato Res. 2024, 68, 587–619. [Google Scholar] [CrossRef]
- Laina, K.T.; Drosou, C.; Stergiopoulos, C.; Eleni, P.M.; Krokida, M. Optimization of Combined Ultrasound and Microwave-Assisted Extraction for Enhanced Bioactive Compounds Recovery from Four Medicinal Plants: Oregano, Rosemary, Hypericum, and Chamomile. Molecules 2024, 29, 5773. [Google Scholar] [CrossRef]
- Subedi, P.; Schneider, M.; Philipp, J.; Azimzadeh, O.; Metzger, F.; Moertl, S.; Atkinson, M.J.; Tapio, S. Comparison of Methods to Isolate Proteins from Extracellular Vesicles for Mass Spectrometry-Based Proteomic Analyses. Anal. Biochem. 2019, 584, 113390. [Google Scholar] [CrossRef] [PubMed]
- Bueno-Díaz, C.; Martín-Pedraza, L.; Parrón, J.; Cuesta-Herranz, J.; Cabanillas, B.; Pastor-Vargas, C.; Batanero, E.; Villalba, M. Characterization of Relevant Biomarkers for the Diagnosis of Food Allergies: An Overview of the 2s Albumin Family. Foods 2021, 10, 1235. [Google Scholar] [CrossRef] [PubMed]
- De la Cruz-Torres, L.F.; Pérez-Martínez, J.D.; Sánchez-Becerril, M.; Toro-Vázquez, J.F.; Mancilla-Margalli, N.A.; Osuna-Castro, J.A.; VillaVelázquez-Mendoza, C.I. Physicochemical and Functional Properties of 11S Globulin from Chan (Hyptis suaveolens L. Poit) Seeds. J. Cereal Sci. 2017, 77, 66–72. [Google Scholar] [CrossRef]
- Fu, Q.; Zhao, J.; Rong, S.; Han, Y.; Liu, F.; Chu, Q.; Wang, S.; Chen, S. Research Advances in Plant Protein-Based Products: Protein Sources, Processing Technology, and Food Applications. J. Agric. Food Chem. 2023, 71, 15429–15444. [Google Scholar] [CrossRef]
- Yiğit, A.; Bielska, P.; Cais-Sokolińska, D.; Samur, G. Whey Proteins as a Functional Food: Health Effects, Functional Properties, and Applications in Food. J. Am. Nutr. Assoc. 2023, 42, 758–768. [Google Scholar] [CrossRef]
- Shanthakumar, P.; Klepacka, J.; Bains, A.; Chawla, P.; Dhull, S.B.; Najda, A. The Current Situation of Pea Protein and Its Application in the Food Industry. Molecules 2022, 27, 5354. [Google Scholar] [CrossRef]
- Tang, J.; Cases, L.; Alves, S.; Sun, D.W.; Tiwari, B.K. Protein Extraction from Lupin (Lupinus angustifolius L.) Using Combined Ultrasound and Microwave Techniques: Impact on Protein Recovery, Structure, and Functional Properties. Ultrason. Sonochem. 2025, 115, 107232. [Google Scholar] [CrossRef]
- Tang, J.; Zhu, X.; Dong, G.; Hannon, S.; Santos, H.M.; Sun, D.W.; Tiwari, B.K. Comparative Studies on Enhancing Pea Protein Extraction Recovery Rates and Structural Integrity Using Ultrasonic and Hydrodynamic Cavitation Technologies. LWT 2024, 200, 116130. [Google Scholar] [CrossRef]
- Rudke, C.R.M.; Torres, T.M.S.; Zielinski, A.A.F.; Ferreira, S.R.S. Comparing Green Extraction Methods for the Recovery of Protein-Rich Fraction from Peach Seeds (Prunus persica). Food Hydrocoll. 2024, 153, 109991. [Google Scholar] [CrossRef]
- Galván, S.O.; González-García, E.; Marina, M.L.; García, M.C. Comparative Study of Factors Affecting the Recovery of Proteins from Malt Rootlets Using Pressurized Liquids and Ultrasounds. Curr. Res. Food Sci. 2022, 5, 1777–1787. [Google Scholar] [CrossRef]
- Gençdağ, E.; Görgüç, A.; Yılmaz, F.M. Recent Advances in the Recovery Techniques of Plant-Based Proteins from Agro-Industrial By-Products. Food Rev. Int. 2021, 37, 447–468. [Google Scholar] [CrossRef]
- Hadidi, M.; Aghababaei, F.; Gonzalez-Serrano, D.J.; Goksen, G.; Trif, M.; McClements, D.J.; Moreno, A. Plant-Based Proteins from Agro-Industrial Waste and by-Products: Towards a More Circular Economy. Int. J. Biol. Macromol. 2024, 261, 129576. [Google Scholar] [CrossRef] [PubMed]
- Hildebrand, G.; Poojary, M.M.; O’Donnell, C.; Lund, M.N.; Garcia-Vaquero, M.; Tiwari, B.K. Ultrasound-Assisted Processing of Chlorella Vulgaris for Enhanced Protein Extraction. J. Appl. Phycol. 2020, 32, 1709–1718. [Google Scholar] [CrossRef]
- Parodi, E.; La Nasa, J.; Ribechini, E.; Petri, A.; Piccolo, O. Extraction of Proteins and Residual Oil from Flax (Linum usitatissimum), Camelina (Camelina sativa), and Sunflower (Helianthus annuus) Oilseed Press Cakes. Biomass Convers. Biorefin. 2023, 13, 1915–1926. [Google Scholar] [CrossRef]
- Petraru, A.; Ursachi, F.; Amariei, S. Nutritional Characteristics Assessment of Sunflower Seeds, Oil and Cake. Perspective of Using Sunflower Oilcakes as a Functional Ingredient. Plants 2021, 10, 2487. [Google Scholar] [CrossRef]
- Grasso, S.; Omoarukhe, E.; Wen, X.; Papoutsis, K.; Methven, L. The Use of Upcycled Defatted Sunflower Seed Flour as a Functional Ingredient in Biscuits. Foods 2019, 8, 305. [Google Scholar] [CrossRef]
- Sarrazin, P.; Mustafa, A.; Chouinard, P.; Raghavan, G.; Sotocinal, S. Effects of Roasting on Ruminal Nutrient Degradability of Sunflower Seed. J. Sci. Food Agric. 2003, 83, 1219–1224. [Google Scholar] [CrossRef]
- Zilic, S.; Barac, M.; Pesic, M.; Crevar, M.; Stanojevic, S.; Nisavic, A.; Saratlic, G.; Tolimir, M. Characterization of Sunflower Seed and Kernel Proteins. Helia 2010, 33, 103–113. [Google Scholar] [CrossRef]
- Guo, S.; Klinkesorn, U.; Lorjaroenphon, Y.; Ge, Y.; Na Jom, K. Effects of Germinating Temperature and Time on Metabolite Profiles of Sunflower (Helianthus annuus L.) Seed. Food Sci. Nutr. 2021, 9, 2810–2822. [Google Scholar] [CrossRef]
- Shchekoldina, T.; Aider, M. Production of Low Chlorogenic and Caffeic Acid Containing Sunflower Meal Protein Isolate and Its Use in Functional Wheat Bread Making. J. Food Sci. Technol. 2014, 51, 2331–2343. [Google Scholar] [CrossRef]












| Variable Levels | Observed Values | ||||
|---|---|---|---|---|---|
| Run | X1 (Solid:Liquid Ratio, g/mL) | X2 (Time, min) | PY (%) | PRE (%) | PRP (%) |
| 1 | 0.10 | 30 | 11.6 ± 0.2 d | 42.2 ± 0.5 g | 23.9 ± 0.3 f |
| 2 | 0.04 | 30 | 14.7 ± 0.3 c | 59.1 ± 0.8 c | 32.3 ± 0.5 c |
| 3 | 0.03 | 30 | 15.2 ± 0.6 c | 61.6 ± 0.9 b | 33.7 ± 0.1 b,c |
| 4 | 0.10 | 60 | 12.3 ± 0.1 d | 49.7 ± 0.2 e | 29.2 ± 0.2 d |
| 5 | 0.04 | 60 | 15.2 ± 0.3 c | 62.0 ± 1.1 b | 37.1 ± 0.8 a |
| 6 | 0.03 | 60 | 16.1 ± 0.2 a,b | 64.1 ± 0.4 a | 35.0 ± 0.7 b |
| 7 | 0.10 | 120 | 12.0 ± 0.1 d | 44.8 ± 0.2 f | 26.9 ± 0.5 e |
| 8 | 0.04 | 120 | 15.5 ± 0.4 b,c | 55.2 ± 0.3 d | 35.2 ± 0.4 b |
| 9 | 0.03 | 120 | 16.5 ± 0.2 a | 60.2 ± 1.2 b,c | 37.4 ± 0.8 a |
| Variable Levels | Observed Values | |||||
|---|---|---|---|---|---|---|
| Run | X1 (Solid:Liquid Ratio, g/mL) | X2 (Microwave Power, W) | X3 (Ultrasound Power, W) | PY (%) | PRE (%) | PRP (%) |
| 1 | 0.10 | 0 | 450 | 11.1 ± 0.6 d | 32.5 ± 2.8 h | 24.8 ± 2.2 f |
| 2 | 0.10 | 200 | 0 | 9.8 ± 1.1 d | 29.5 ± 2.7 h | 23.6 ± 2.3 f |
| 3 | 0.10 | 200 | 700 | 12.0 ± 1.2 d | 34.3 ± 2.6 g,h | 21.5 ± 2.7 f |
| 4 | 0.10 | 500 | 450 | 11.9 ± 0.5 d | 44.1 ± 3.1 f,g | 40.0 ± 2.9 d,e |
| 5 | 0.04 | 0 | 0 | 3.9 ± 1.8 e | 14.4 ± 0.7 i | 5.1 ± 0.5 g |
| 6 | 0.04 | 0 | 700 | 18.0 ± 1.7 b,c | 57.5 ± 4.0 d,e | 24.1 ± 2.0 f |
| 7 | 0.04 | 200 | 450 | 18.7 ± 1.7 b | 66.8 ± 4.1 b,c,d | 53.8 ± 3.1 b |
| 8 | 0.04 | 200 | 450 | 18.7 ± 1.7 b | 66.8 ± 4.1 b,c,d | 53.8 ± 3.1 b |
| 9 | 0.04 | 200 | 450 | 18.7 ± 1.7 b | 66.8 ± 4.1 b,c,d | 53.8 ± 3.1 b |
| 10 | 0.04 | 500 | 0 | 12.4 ± 1.4 d | 44.5 ± 2.9 f,g | 34.2 ± 2.3 e |
| 11 | 0.04 | 500 | 700 | 19.7 ± 2.2 b | 62.1 ± 4.0 c,d,e | 51.4 ± 3.3 b,c |
| 12 | 0.03 | 0 | 450 | 19.6 ± 2.1 b | 70.0 ± 4.2 a,b,c | 45.4 ± 3.2 c,d |
| 13 | 0.03 | 200 | 0 | 13.8 ± 1.5 c,d | 52.5 ± 3.4 e,f | 34.8 ± 2.4 e |
| 14 | 0.03 | 200 | 700 | 25.3 ± 0.9 a | 77.2 ± 4.5 a,b | 49.7 ± 2.8 b,c |
| 15 | 0.03 | 500 | 450 | 21.2 ± 2.0 a,b | 79.9 ± 4.3 a | 66.3 ± 3.8 a |
| Variable Levels | Observed Values | |||||
|---|---|---|---|---|---|---|
| Run | X1 (Solid:Liquid Ratio, g/mL) | X2 (Temperature, °C) | X3 (Time, min) | PY (%) | PRE (%) | PRP (%) |
| 1 | 0.10 | 100 | 3 | 10.2 ± 0.6 e,f | 48.3 ± 0.5 h | 25.9 ± 1.9 c,d |
| 2 | 0.10 | 100 | 10 | 7.9 ± 0.8 f,g | 43.5 ± 0.2 j | 19.0 ± 1.6 d,e |
| 3 | 0.10 | 50 | 6 | 10.5 ± 0.7 d,e,f | 42.3 ± 0.6 j | 27.0 ± 2.0 c |
| 4 | 0.10 | 150 | 6 | 7.2 ± 0.75 e,f,g | 68.2 ± 0.1 b,c | 13.1 ± 1.4 e,f |
| 5 | 0.04 | 50 | 3 | 13.1 ± 1.1 c,d | 54.2 ± 0.1 f | 40.7 ± 2.6 a,b |
| 6 | 0.04 | 50 | 10 | 16.2 ± 1.4 a,b | 60.3 ± 0.5 e | 46.7 ± 2.9 a |
| 7 | 0.04 | 100 | 6 | 14.5 ± 1.2 b,c | 65.3 ± 0.2 d | 39.3 ± 2.7 b |
| 8 | 0.04 | 100 | 6 | 14.5 ± 1.2 b,c | 65.3 ± 0.2 d | 39.3 ± 2.7 b |
| 9 | 0.04 | 100 | 6 | 14.5 ± 1.2 b,c | 65.3 ± 0.2 d | 39.3 ± 2.7 b |
| 10 | 0.04 | 150 | 3 | 8.2 ± 0.5 f,g | 46.6 ± 0.7 i | 15.1 ± 1.3 e,f |
| 11 | 0.04 | 150 | 10 | 6.2 ± 0.2 g | 50.1 ± 0.3 g | 11.2 ± 1.2 f |
| 12 | 0.03 | 50 | 6 | 17.7 ± 0.9 a | 68.9 ± 0.2 b | 47.4 ± 3.0 a |
| 13 | 0.03 | 100 | 3 | 16.5 ± 0.8 a,b | 70.9 ± 0.5 a | 47.5 ± 2.9 a |
| 14 | 0.03 | 100 | 10 | 17.0 ± 1.0 a,b | 67.4 ± 0.9 c | 45.0 ± 3.1 a,b |
| 15 | 0.03 | 150 | 6 | 11.1 ± 0.6 d,e | 64.0 ± 0.5 d | 24.5 ± 2.0 c,d |
| Sample | Precipitation pH | PY (%) |
|---|---|---|
| 1 | 3.80 ± 0.03 | 9.2 ± 0.1 e |
| 2 | 4.00 ± 0.03 | 10.2 ± 0.1 d |
| 3 | 4.20 ± 0.03 | 10.8 ± 0.1 c |
| 4 | 4.40 ± 0.03 | 14.6 ± 0.2 a |
| 5 | 4.60 ± 0.03 | 11.4 ± 0.1 b |
| AA | CE | EAE | UMAE | PLE |
|---|---|---|---|---|
| mg/g Raw Material | mg/g Raw Material | mg/g Raw Material | mg/g Raw Material | |
| ALA | 7.28 ± 0.43 b | 8.04 ± 0.34 b | 10.8 ± 0.5 a | 7.68 ± 0.42 b |
| ARG | 23.0 ± 1.3 b | 25.2 ± 0.9 b | 33.2 ± 1.1 a | 24.2 ± 1.5 b |
| ASP | 13.9 ± 0.8 c | 17.3 ± 1.1 a,b | 20.2 ± 1.6 a | 14.7 ± 0.9 b,c |
| CYS | 2.57 ± 0.15 b | 2.90 ± 0.22 b | 4.08 ± 0.31 a | 2.75 ± 0.17 b |
| GLU | 31.6 ± 1.8 b | 34.6 ± 1.2 b | 45.4 ± 1.4 a | 33.2 ± 1.3 b |
| GLY | 7.12 ± 0.41 b | 7.87 ± 0.56 b | 10.5 ± 0.42 a | 7.51 ± 0.51 b |
| HIS | 2.89 ± 0.17 b | 3.26 ± 0.23 b | 4.54 ± 0.18 a | 3.09 ± 0.20 b |
| ILE | 5.82 ± 0.34 b | 6.45 ± 0.44 b | 8.69 ± 0.31 a | 6.15 ± 0.40 b |
| LEU | 10.00 ± 0.6 b | 11.10 ± 0.8 b | 14.70 ± 0.5 a | 10.60 ± 0.7 b |
| LYS | 5.33 ± 0.31 b | 5.91 ± 0.26 b | 8.00 ± 0.45 a | 5.64 ± 0.27 b |
| MET | 2.25 ± 0.14 b | 2.55 ± 0.23 b | 3.62 ± 0.26 a | 2.41 ± 0.19 b |
| PHE | 6.63 ± 0.38 b | 7.33 ± 0.45 b | 9.82 ± 0.51 a | 7.00 ± 0.39 b |
| PRO | 7.44 ± 0.43 b | 8.22 ± 0.51 b | 11.00 ± 0.55 a | 7.85 ± 0.41 b |
| SER | 7.61 ± 0.44 b | 8.39 ± 0.23 b | 11.20 ± 0.36 a | 8.02 ± 0.22 b |
| THR | 5.98 ± 0.35 b | 6.62 ± 0.36 b | 8.92 ± 0.39 a | 6.32 ± 0.33 b |
| TYR | 4.03 ± 0.24 b | 4.49 ± 0.28 b | 6.15 ± 0.33 a | 4.28 ± 0.26 b |
| VAL | 7.12 ± 0.41 b | 7.87 ± 0.42 b | 10.50 ± 0.49 a | 7.51 ± 0.38 b |
Disclaimer/Publisher’s Note: The statements, opinions and data contained in all publications are solely those of the individual author(s) and contributor(s) and not of MDPI and/or the editor(s). MDPI and/or the editor(s) disclaim responsibility for any injury to people or property resulting from any ideas, methods, instructions or products referred to in the content. |
© 2025 by the authors. Licensee MDPI, Basel, Switzerland. This article is an open access article distributed under the terms and conditions of the Creative Commons Attribution (CC BY) license (https://creativecommons.org/licenses/by/4.0/).
Share and Cite
Vasileiou, C.; Dimoula, M.; Drosou, C.; Kavetsou, E.; Stergiopoulos, C.; Gogou, E.; Boukouvalas, C.; Krokida, M. Valorization of Edible Oil Industry By-Products Through Optimizing the Protein Recovery from Sunflower Press Cake via Different Novel Extraction Methods. AgriEngineering 2025, 7, 146. https://doi.org/10.3390/agriengineering7050146
Vasileiou C, Dimoula M, Drosou C, Kavetsou E, Stergiopoulos C, Gogou E, Boukouvalas C, Krokida M. Valorization of Edible Oil Industry By-Products Through Optimizing the Protein Recovery from Sunflower Press Cake via Different Novel Extraction Methods. AgriEngineering. 2025; 7(5):146. https://doi.org/10.3390/agriengineering7050146
Chicago/Turabian StyleVasileiou, Christoforos, Maria Dimoula, Christina Drosou, Eleni Kavetsou, Chrysanthos Stergiopoulos, Eleni Gogou, Christos Boukouvalas, and Magdalini Krokida. 2025. "Valorization of Edible Oil Industry By-Products Through Optimizing the Protein Recovery from Sunflower Press Cake via Different Novel Extraction Methods" AgriEngineering 7, no. 5: 146. https://doi.org/10.3390/agriengineering7050146
APA StyleVasileiou, C., Dimoula, M., Drosou, C., Kavetsou, E., Stergiopoulos, C., Gogou, E., Boukouvalas, C., & Krokida, M. (2025). Valorization of Edible Oil Industry By-Products Through Optimizing the Protein Recovery from Sunflower Press Cake via Different Novel Extraction Methods. AgriEngineering, 7(5), 146. https://doi.org/10.3390/agriengineering7050146

