Simple Summary
Broiler gait score (GS) is manually evaluated by experts. It helps in identifying birds with walking difficulty that may inhibit their feeding, drinking, or socializing behaviors and compromise their health. However, this classic method is time-consuming and laborious and makes it difficult to prevent related health-affected conditions in the chickens on time. On the other hand, artificial intelligence (AI) methods enable automatic detection of health-related abnormalities, including walking disability, in broilers. This technology works automatically and is less expensive, hence providing an effective alternative solution to GS assessment. This study was conducted to develop an AI system based on top-view camera input. The recorded videos of color-coded chickens are analyzed by the AI system which automatically categorizes each broiler’s GS as reflected in the total distance traveled by each bird in a day. The resulting system in this study was able to categorize individual broiler GS with decent prediction accuracy and track its overall deterioration in lab settings.
Abstract
Broiler gait score (GS) evaluation relies on manual assessments by experts, which can be laborious, hindering timely welfare management. Deep learning (DL) models, conversely, may serve as a cost-effective solution in evaluating GS via automated detection of broiler mobility. This study aimed to develop a vision-based YOLOv8 model to detect the locations of individual broilers, allowing for continuous tracking of birds within a pen and determining bird walking distances, speeds, idleness and movement ratios, and time at the feeder and drinker ratios. Then, Machine Learning (ML) models were developed to estimate the GS level from the mobility indicators in a lab setting. Ten broilers were color-coded and recorded via a top-view camera for 41 days. Their GS were assessed manually twice per week. The YOLOv8 model was trained, validated, and tested with 600, 150, and 50 images, respectively, and subsequently applied to the dataset yielding each broiler’s mobility indicators. The GS levels and mobility indicators were correlated through Ordinal Logistics (OL), Random Forest (RF), and Support Vector Machine (SVM) ML models. The YOLOv8 model was developed with 91% training, 89% testing, and 87% validation mean average precision (mAP) accuracies in identifying color-coded broilers. After tracking, the model estimated an average of 472.26 ± 234.18 cm hourly distance traveled and 0.13 ± 0.07 cm/s speed by a broiler. It was found that with deteriorated GS levels (i.e., worse walking ability), broilers walked shorter distances (p = 0.001), had lower speeds (p = 0.001), were increasingly idle and less mobile, and were increasingly stationed near or around the feeder. The movement ratio, average hourly walking distance, hourly average speed, and age variables were found to be the most significant variables (p < 0.005) in predicting GS levels. These variables were further reduced to one, the average hourly walking distance, because of high collinearity and were used to predict the GS with ML models. The RF model, outperforming others, was able to predict GS with a generalized R2 of 0.62, root mean squared error (RMSE) of 0.54, and 65% classification accuracy.
1. Introduction
The rapid growth of poultry production, driven by the rising global demand for affordable and nutritious protein sources, has come under scrutiny because of concerns surrounding poultry welfare. As welfare encompasses various aspects, including physical conditions, living habitat, and mental well-being of broilers, it plays a crucial role in achieving good quality and higher quantity poultry production [1]. Birds require spacious housing to move, easy access to feed and water, and opportunities for social interaction throughout their lifecycle. Henceforth, precision technologies are being explored to facilitate the preservation and betterment of health in livestock [2].
In this context, mobility is a key indicator of broiler welfare [3]. Diminished walking ability in broilers may imply and/or result in issues such as insufficient feed intake [3], stress [1], decreased weight at the time of slaughter, or can even lead to high mortality rates [4]. It is a prevalent problem in the poultry industry as approximately 14–30% of broilers are affected by deficient walking ability, i.e., gait scoring (GS) of 3 or above, in broiler farms [5]. Hence, it may cause high economic losses by negatively affecting poultry production in terms of quality and quantity.
Classically, broiler walking ability has been determined by experts carrying discrete examinations of individual broilers and assessing their walking ability through scaled GS evaluation protocols (e.g., 0–5 or 0–2 scale protocols). This method is resource-intensive in terms of time and labor requirements as well as susceptible to inter- and intra-assessor observational errors. Furthermore, today’s large-scale farm management obligations necessitate rapid and reliable insights into broiler welfare indicators such as gait conditions [6]. Lately, more and more automated mobility analyses of broilers have been performed via computer vision-based deep learning (DL) models and machine learning (ML) approaches [7]. Such models are employed to automatically predict GS levels through either broiler feature extraction or mobility analysis. Some researchers have worked on examining and recording one chicken at a time in a special setting in a lab, extracting walking features of individual chickens, such as speed or number of steps, through image segmentation and ML approaches [8,9,10]. On the other hand, in some studies, activity indexes and physical parameters of broilers in group settings have been studied via statistical methods and then correlated with pre-assessed GS levels [11,12]. These studies were able to determine walking ability problems, such as lameness in birds, and predict GS.
Several DL methods have been proposed to address chicken locomotion and provide insights into their activities. These models are non-intrusive, requiring minimal bird handling and decreasing biosecurity risks. They are cost-effective compared with more hardware-intensive solutions such as radio frequency identifier (RFID) tags or pedometers, which incur higher costs when repetitively applied over several flocks for longer periods. Moreover, DL model applications are more robust and can provide detailed insights into chicken behaviors, enhancing welfare management practices. In some studies, individual broiler poses are investigated through DL models by following key skeletal points extracted from lateral video recordings [13,14,15,16]. The resulting pose estimations have proved promising in detecting lameness, walking ability, and various behaviors of individual broilers from side-view cameras. On the other hand, in some research vision-based DL models are applied in continuous tracking of individual broilers in group settings [17,18,19]. They have obtained considerable results in partially providing broiler walking distances and thus their walking ability as depicted in traversed time and speed; meanwhile, continuous tracking of broilers was found to be still a major issue to be tackled. These studies require birds to go through a tunnel, which may alter bird walking behaviors in a natural state. Upon reviewing previous research, it became evident that a timely and resource-efficient method for assessing the GS of multiple individual birds in a group setting is still lacking.
The objectives of this study were to identify and track color-coded broilers continuously, consequently utilizing this information for continuous assessment and prediction of GS levels of multiple individual broilers in a group setting as a viable alternative to classical methods. First, a DL model, YOLOv8, was developed to detect and classify color-coded birds and subsequently estimate their mobility indicators such as daily and hourly walking distance, speed, idleness and movement ratios, and time at the feeder and drinker ratios throughout the rearing period. Second, it was sought to find a robust ML model to classify or regress the manually assessed GS with the proposed mobility indicators.
2. Materials and Methods
2.1. Pen Setup and Data Collection
The experiment was conducted in the Johnson Research and Teaching Unit (JRTU) laboratories at the University of Tennessee Knoxville, USA. A total of 10 chickens (Cobb 700 breed), with a 1:1 male (M)-female (F) ratio, were involved. This quantity was determined in observance of the 24 Kg/m2 standard stocking density limit for slow-growing broilers and pen dimensions, shown in Figure 1a [19]. The data collection and assessment period spanned 46 days, from February 04 to March 21, 2023. Each broiler was color-coded on the back with two stripes using animal-body-friendly markers. The 10 color codes were Green Green (F), Green Blue (M), Green Black (F), Blue Black (F), Blue Blue (F), Blue Red (M), Red Red (M), Red Black (M), Black Black (F), and No Color (M). The color-coding method was practical and less costly, making it well-suited for vision-based DL models to detect individual broilers, henceforth investigating the feasibility of such models in providing alternative GS assessment methods. Although, for its broader applications in large-scale farms more innovative identification solutions could be developed.

Figure 1.
(a) Pen and camera setup (b) Image distortion calibration analysis using a chess board (c) broiler detection and (x,y) coordinate determination.
In Figure 1a, the corresponding pen dimensions, 110 cm by 150 cm, along with the position of the standard low-cost RGB camera, feeder with 30 cm pan diameter, and water source, are demonstrated. The camera recorded high-definition (HD) videos at 720p resolution with 30 frames per second rate. It was then used to produce images with a resolution of 1280 × 720 pixels. A systematic sampling approach was followed to gather video recordings at specific intervals daily for the entire experimental period [20]. The camera recorded for 15 min every hour of the day for the period of the experiment. It was positioned 2.2 m above the ground, capturing the pen walls along with a small portion of its surroundings.
The image distortion proportion was determined using a standard chessboard with 48 cm × 48 cm dimensions (i.e., 6 cm × 6 cm per square), as shown in Figure 1b. The corner pixel positions of the inner 7 × 7 squares were detected using open-source Python codes. The absolute difference between the upper (a7–h7, h1–h7) and the lower (a1–h1, a1–a7) edges, i.e., image distortion, for the x and y dimensions were determined 0.03% and 0.06%, respectively. Moreover, the pen dimensions were small as well, resulting in diminutive image distortions. Hence, image distortion was considered minimal, and a linear distribution of the pixel lengths was assumed. Based on the dimensions of the experimental pen, the scale was determined to be 1.7 mm per pixel. The 15-min time span was deemed as a statistically sufficient sample for the entire hour [20]. For the analysis purpose, we utilized data from 8 AM to 8 PM period as this period contains most of the daily activities of broilers.
2.2. Manual GS Assessments
GS is a classical approach to manually categorizing walking ability in chickens [21]. It uses a score between 0 and 5, denoting different levels of lameness severity apparent while performing gaits. For example, a bird that performs gait perfectly with no obvious irregularities, such as leaning, frequent sitting while walking, or limping, would receive a score of 0, while a bird exhibiting minimal, noticeable, significant, or extremely abnormal walking would score between 1 and 5, respectively [1,9].
Thus, a gait expert was employed to assess the GS of individual birds twice a week in this study. To avoid the introduction of bias from different observers, only one expert was utilized. Prior to the GS assessments, the assistant typically visited the pen frequently to increase bird adaptation with human visitors and reduce stress on them during future evaluations. The expert visited the pen at a random hour and observed each individual broiler giving a score based on the observable gait conditions as classified above. First, individual broilers were released at a designated hallway with no litter approximately 40 cm in width and 200 cm in length. It was then monitored for about 2 min with occasional slight stimulation to make it walkthrough. Consequently, the observations were recorded in a sheet. Hence, a standardized assessment was followed throughout the experiment.
2.3. YOLOv8 DL Models
The YOLOv8 DL model was used to identify individual broilers in this study (Ultralytics, Frederick, MD, USA, 2023). It is a vision-based DL model primarily designed to perform object localization and classification in a single-stage regression process, thus outperforming counterpart Convolutional Neural Network (CNN) based models, such as Faster Region-based or Mask CNN, in terms of inference speed and memory efficiency and providing comparable precision levels [22,23]. There are different versions of the YOLOv8 model, such as YOLOv8n, YOLOv8s, YOLOv8m, and YOLOv8l; the smallest model has 3 million parameters, while the largest one is designed with over 100 million parameters [24]. The former models are effective on smaller datasets, while the latter ones are feasible with bigger and more complex applications. Moreover, smaller models are prone to overfitting, providing less generalizability when tested with new data, while the larger ones are harder to train and require larger training datasets and computational resources. In this experiment, these models were tested, and the one that best provided a balance between accuracy and computational costs, given the dataset at hand, was selected.
2.4. YOLOv8 Model Development
Images from four different times of the day, corresponding to 08:00–08:15, 12:00–12:15, 16:00–16:15, and 20:00–20:15 (HH:mm), were used for the training of the YOLOv8 model. These periods were spaced 4 h apart to capture a wide range of distinct broiler behaviors, enabling the model to learn from diverse data. For training purposes, images were obtained by extracting one frame per minute (fpm) from the quarter-hourly recordings, resulting in around 15 images for a 15-min video. We deemed it appropriate to use one-minute apart frames to keep a balance between computational costs as well as efficiently capturing a less correlated consecutive imagery. DL models are highly prone to memorizing data; hence, a less correlated dataset is more effective in training a model with higher generalizability.
The dataset was further validated by manually examining the quality and usability of each video (i.e., images), and the ones with lighting issues, any human existing within the frame, or broilers behaving abnormally during daily management practices were eliminated. Consequently, around 800 images were labeled manually using an online open-source labeling website (www.makesense.ai, accessed on 1 May 2023). Each broiler was carefully covered with a bounding box to show its position in the pen. In addition to the color codes mentioned, the broilers from surrounding pens were labeled as ‘unknowns’ to lessen confusion by the model. While it was possible to separate the pen from surrounding pens by black tarps, it was aimed to train the model with an extra class further and enable it to identify certain broilers to be excluded in each frame. It mimicked real farm situations where certain broilers might be monitored while most would be excluded.
The development of the YOLOv8 model constituted training, validating, and testing phases; the dataset was divided into 600, 150, and 50 subsets for this purpose, respectively. During training, hyperparameters, such as epoch numbers ranging between 50 and 150, decaying learning rate, and batch sizes between 4 and 32, were tuned based on a trial-and-error approach. The Python 3.11.3 software was used to run the YOLOv8 model.
The F1-score and mean Average Precision (mAP) metrics, Equations (1) and (2), respectively, were used to compare the performance of the model under different scenarios. These metrics provide critical model performance in detection and classification and incorporate other metrics such as Precision and Recall. The TP, FP, and FN were the counts for true positive, false positive, and false negative detections, while Q represented the number of classes, which were 11 in this study, 10 color-coded chickens plus 1 unknown class. The F1-score shows the robustness of the model in detecting an intended broiler class (i.e., true positives) while also lowering the rate for misclassifying other classes (i.e., false positives and false negatives) in the pen. While the average precision metric indicates the effectiveness of object detection classifications in a specific class in an image, the mAP demonstrates the effectiveness of the YOLOv8 model in detecting and classifying all the classes present in an image.
2.5. Mobility Indicator Estimation
In this study, it was assumed that estimating individual broiler movements every second, i.e., one frame per second rate, would cumulatively provide an overall rich understanding of their mobility. The dataset comprised video recordings spanning eight days, aligning with the days designated for GS assessments. Each day included 13 recordings, captured at 15-min intervals per hour throughout the day. Consequently, the trained model was applied to this dataset, and the (x,y) coordinates of the broilers at each second were obtained from the detected bounding boxes representing each class of broilers, as shown in Figure 1c. These coordinates from consecutive images were then used to calculate the Euclidean distance (d) traveled every second by a broiler. The walking distance, idleness, movement, speeds, and time at the drinker and feeder of individual broilers were calculated using these results by the following Formulas (3)–(9).
It was assumed a broiler is idle if the calculated Euclidean distance between two consecutive frames was less than 1.7 mm, the distance equivalent to a pixel in this study. As the model creates bounding boxes every second, the small body movements, such as moving the head, are also perceived as displacement by the model. Hence, we selected the 1.7 mm and less perceived movements as idleness. Consequently, the movement periods were determined as times when a broiler was not idle. Moreover, the time periods at the feeder and drinker were calculated from the obtained coordinates of the individual broilers inside the pen. As shown in Figure 1, if the position of a broiler was in close vicinity, at 10 cm or less from either the feeder or drinkers, it was counted as having access to food or water at that moment. While idleness can mean a sleeping or resting state, % time at drinker and feeder can also be important depictions of their ability and accessibility to eat or drink.
2.6. Machine Learning Model Selection
ML models play a crucial role in data analysis and prediction tasks across various domains [25]. Among the many popular regression and classification models, Support Vector Machines (SVM), Random Forest (RF), and Ordinal Logistic Regression (OL) were applied for regressing and classifying manual GS assessments with mobility indicators, and other parameters, such as age, sex, and recording time which can influence broilers mobility, thus may help in building a GS prediction model. These models differ in handling complex and simple datasets, and they have different levels of architectural complexities. Hence, we were experimental in finding out the best model which suits our set of data.
The generalized coefficient of determination (R2), root mean squared error (RMSE), and the misclassification rate (MR) metrics, given below in Equations (10)–(12), were used to compare the performance of the ML models. The generalized R2 is a metric mainly applied to logistic regressions where the dependent variable is categorical. Basically, it measures the likelihood of fitness of an alternative model, LM, to the null model, L0, with n# of observations. This metric is different than the classical R2 one which determines the fitness of a linear model. While the RMSE metric indicates the extent predictions sway away from actual values, the MR metric demonstrates the ability of the models to classify the GS levels given the mobility indicators [26]. The JMP 17.1 statistical software was utilized in the ML models’ regression analysis of our mobility and GS datasets.
Furthermore, K-fold cross-validation was employed to assess the generalizability of the ML models, ensuring robust performance across unseen validation datasets. The common 5-fold approach was used, splitting the dataset into 80% training and 20% validation sets for each fold, resulting in 5 iterations of training and validation. This method provides a balance between minimizing prediction variance and maintaining robustness against new data. By averaging metrics such as R2, RMSE, and MR across the 5 folds, the models were tested against new data, minimizing overfitting and providing a reliable estimate of their predictive performance on unseen broiler gait data.
2.7. Statistical Analysis
Individual broilers, with 10 replicates in the group, were used as experimental units for assessing GS against mobility indicators. To evaluate the correlation and significance levels among the continuous independent variables, including movement ratio, idleness ratio, time at feeder and drinker, walking distance, speed, and age, multivariate correlation analysis was conducted. It provided the correlation strength and direction among these variables; hence, their multicollinearity levels were realized. It helped in identifying a possible set of variables to use in the ML prediction models. In addition, bivariate Logistic regression analysis was performed to identify the most significant continuous parameters impacting the dependent categorical variable, GS levels. Parameters that showed significant levels of p < 0.05 in the bivariate analysis and lower correlation levels among themselves, i.e., low multicollinearity, were selected in the final ML models to predict GS. All statistical analyses were performed using JMP software to ensure accurate computations and results.
3. Results and Discussions
3.1. YOLO Model Training for Detecting Individual Color-Coded Broilers
The YOLOv8 model variants were trained, and after many trials and error rounds, the YOLOv8m model with approximately 25 million parameters, achieved up to 91% mAP accuracy with a 0.5:0.95 confidence interval and an F1-score of over 98%. As shown in Figure 2a, both metrics started low and stabilized after the 25th epoch, with the former one continuing to increase incrementally until the final epoch. The selected epoch number, batch size, initial learning rate, and final learning rates were 150, 16, 0.07, and 0.0002, respectively. We opted for the model to learn aggressively from medium-sized batches at the beginning while slowing down at the end epochs. The resulting training process was longer and aimed at obtaining a generalizable and robust model. Moreover, this medium-sized model was computationally less demanding compared with the heavier ones with more than 100 million parameters. Furthermore, it was more reliable than the smaller-sized variants with less than 2 million parameters, which could be prone to overfitting.

Figure 2.
(a) YOLO model training results (b) Mean Average Precision (%) of the YOLOv8m model in identifying different color-coded individual broilers. (c) An instance showing the color code detections by the model.
The model was able to track different color codes with high precision. The graph in Figure 2b shows the general validation accuracy in relation to different color codes for this model. As seen, the model behaved differently regarding different color codes; for instance, the codes containing the colors red, blue, and black were differentiated with higher accuracy than other colors. Additionally, as shown in Figure 2c, the model was able to separate uncoded broilers from the surrounding pens and those inside the experimental pen. We achieved the lowest mAP of 83.6% in detecting such birds and the highest accuracy of 93.2% in detecting the Red Black color-coded broiler. Misidentifications might have occurred as some broilers were not fully appearing or showing blurred, or instances where a human by-passer might have caused irregular movements in the pen. These results can help in future applications of color-coding broilers.
3.2. GS Assessments
The occurrences of the individual GS over time and the frequency of each GS are shown in Table 1 and Table 2. The individual GS levels deteriorated over time as the broilers gained weight and aged (p < 0.05). For instance, in the first assessment, there were no counts of GS3 and beyond, while in the last assessment, this count increased to 60% of the total gaits. On the other hand, the most common GS in both female and male broilers was 2, while the median GS ranged between 1.0 and 2.5 for the former broilers and 1.0 and 2.0 for the latter ones. The female broilers showed a higher variation in GS levels ranging from 0 to 4, while in the same period, those of the male broilers ranged from 1 to 3.
Table 1.
Manual gait score assessments of individual broilers over the course of the experiment.
Table 2.
Manually assessed gait score (GS) in broilers.
3.3. Mobility Indicators Analysis
The trained YOLOv8m model was applied to the dataset from the selected 8 days. The mean hourly walking distance by a broiler is presented in Figure 3a. It shows an initial increasing trend up to an average hourly walking distance of about 600 to 700 cm by a broiler, and as they grew over 20 days, a decreasing trend started, which is also consistent with the deteriorating GS trend shown in Table 1 and Table 2. Figure 3b confirmed the decreasing levels of walking as the GS changed from better to worse over time. This trend was evident in both male and female broilers, although the mobility level of the male broilers was higher than the female ones. We further investigated the effect of GS levels on broilers at different ages, as shown in Figure 3c. It is evidenced here that, overall, the higher GS corresponds to a lower walking distance at every age, except at GS2 and below, which did not seem to affect the walking levels. The results show that the overall deterioration in the flock GS corresponded to the total moving distance.

Figure 3.
(a) Average hourly walking distances by a broiler over the rearing period (b) Average Walking distance per broiler vs. GS level changes (c) Hourly walking distance of a broiler as affected by GS at different ages.
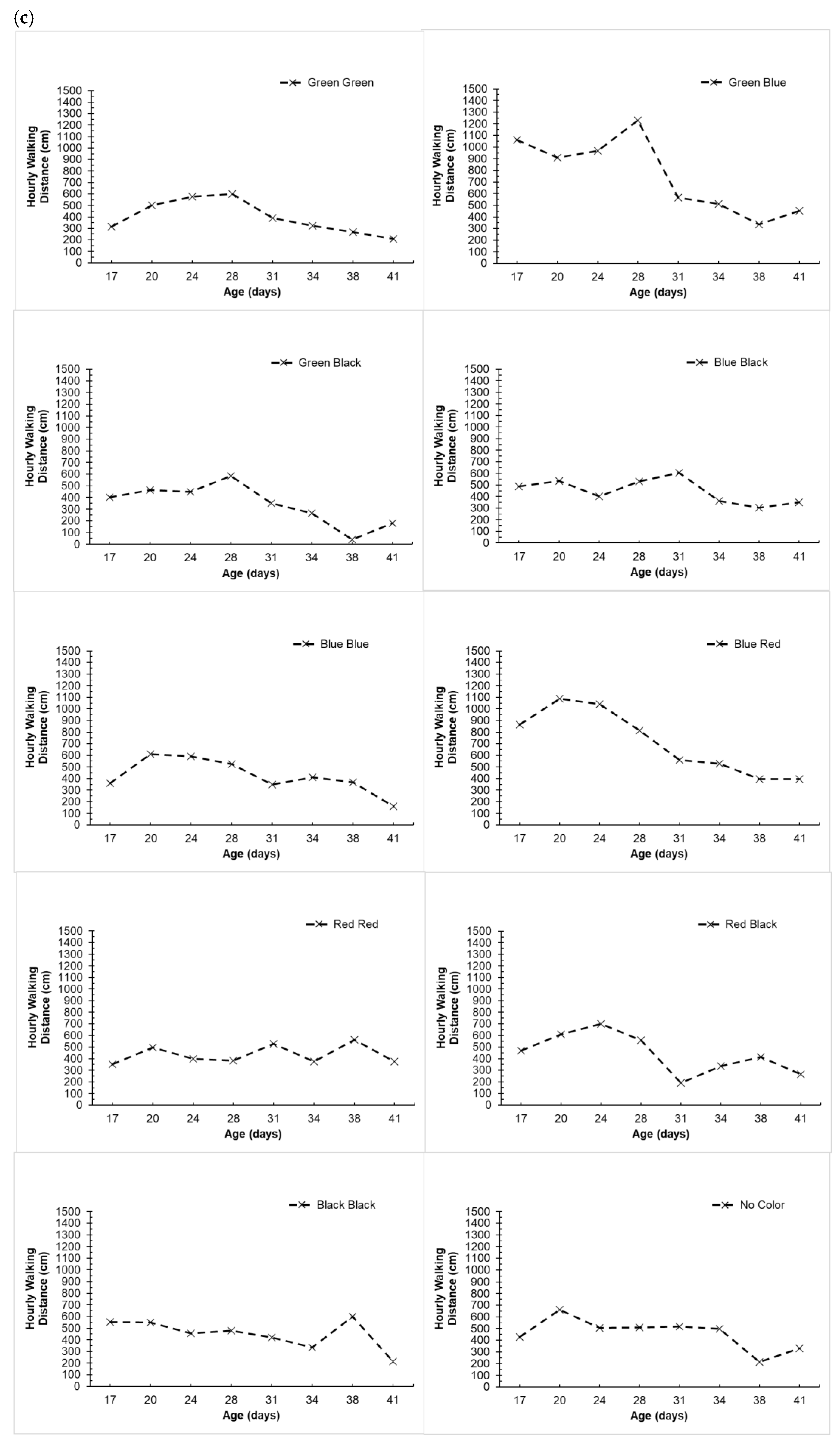
Figure 4a,b illustrates that as GS increased from GS0 to GS4, the average speed declined, indicating that broilers with poorer gaits (higher GS) tend to move more slowly, with the steepest decline occurring between GS0 and GS1. Similarly, as age increased, average speed generally decreased, likely due to factors such as body weight gain. Additionally, Figure 4c graphs of individual broilers revealed a general trend of increasing mobility from 17 to around 28 days, followed by a decline after 31 days. Some broilers, such as Green Blue, Blue Red, and Red Black, showed higher fluctuations, while others, such as Red Red, Black Black, and No Color, maintain relatively stable but lower walking distances. The variations among groups suggest possible individual differences.

Figure 4.
(a) Trends in the average speed of individual broilers compared with GS levels (b) Trends in the average speed of individual broilers compared with age (c) Individual broilers hourly walking distance as they aged.
Individual broiler’s time spent at the feeder and drinker were calculated and drawn in parallel with GS evolution and over time in Figure 5a,b, respectively. As seen here, the deterioration in walking ability levels has affected the broilers’ eating and drinking behaviors. On average, especially after GS2, a direct correlation is apparent between these behaviors and their respective GS levels. Additionally, while the time spent at the drinker decreases from GS3 to GS4, the time spent at the feeder has increased in these scores. This might be attributed to the fact that the broilers have higher weights at the later stages of their rearing period, which generally coincides with the higher GS levels. Hence, they may require more feed; additionally, since the pens were designed with one feeding source and multiple drinking nipples, the broilers might have been easily blocked to obtain access to the feeder but not to that level when accessing the drinker. Therefore, they might wait in the vicinity of the feeder increasingly more to obtain access. By examining Figure 5b, the drinking and feeding accessibility peaked during the midlife span of the broilers while overall declining at the later stages.
Figure 5.
(a) Broilers’ average feeder time per hour per day as compared with GS change (b) Broilers’ average feeder and drinker time per hour per day.
Figure 6 shows the trends in the GS compared with the idleness and movement time ratios. Here, the possible effects of higher GS on boiler level idleness (p = 0.002) and mobility periods (p = 0.007) are more evident; as the broilers showed higher GS levels, they were less likely to move around and more likely to sit idly at a point and hence perform some activities less. Additionally, as demonstrated in Figure 4c as well, here in Figure 6 there has been an overall decrease in the movement of the broilers against increasing GS levels.
Figure 6.
Broiler movement and idleness ratios vs. the GS trend.
The results of this study comply with the findings in the existing literature about walking ability or gait deterioration and its adverse implications on various behaviors of broilers [17]. The weekly gait changes in the broilers were reflected in their average total moved distances (p = 0.001) as provided by the trained YOLOv8m results shown in Figure 3a–c. As GS occurrences above GS2 increased, the broilers were moving less and less. This implied that they were less likely able to go around performing their daily behaviors such as feeding and drinking, as was evidenced in Figure 5a,b, and even other behaviors such as preening and socializing might be negatively impacted similarly, which is worth studying in further research.
3.4. Statistical Analysis Results
The correlation analysis and the corresponding significance levels, presented in Table 3 and Table 4, respectively, reveal various relationships related to age, movement, feed and drinker ratios, and other activities in the broilers. Specifically, the movement ratio demonstrated a significant positive correlation with both average hourly walking distance (r = 0.90) and average hourly speed (r = 0.95), suggesting that higher mobility is closely associated with increased physical activity levels. Conversely, age showed a moderate negative correlation but with high significance levels with mobility ratio (r = −0.42), average hourly walking distance (r = −0.51), and average hourly speed (r = −0.51), indicating that as individuals age, their mobility and activity levels tend to decline. The % time at feeder and drinker ratios, as well as the idleness ratio, exhibit weaker correlations with the other variables, implying limited direct influence on mobility and activity measures.
Table 3.
Correlation coefficients among the mobility indicators and age.
Table 4.
Significance levels among mobility indicators and age.
Table 5 shows the Logistic regression analysis results between GS and mobility indicators revealed significant predictors for GS. Age was a highly significant predictor for GS, male GS, and female GS, indicating a strong influence (p < 0.0001). The movement ratio showed significance for GS (p = 0.006) as well as also significant for males (p = 0.019) but not for females (p = 0.155) GS, separately. Meanwhile, the % time at the feeder significantly affected male GS but did not significantly affect GS in general and the female GS, respectively. The idleness ratio was significant for GS, male and female GS. Both average hourly walking distance and average hourly speed were significant predictors for GS (p = 0.001 for both) and male GS (p = 0.015 for both) but not for female GS (p = 0.132 for both). Lastly, sex does not significantly predict GS (p = 0.515).
Table 5.
Logistic regression test results between GS and mobility indicators.
3.5. ML Model Selection
The findings in Table 5 suggested that age, movement ratio, average hourly walking distance, and speed play crucial roles in influencing GS, with notable differences between male and female responses. The correlation among these parameters, in Table 3, showed a strong relation among average walking distance, average walking speed, and movement ratio. Hence, to decrease multicollinearity, only one of them, the average hourly walking distance, was used in building an ML model to predict GS levels. The performance results of the three ML models for GS classification, with respect to the average hourly walking distance parameter, are presented in Table 6. As seen here, the RF ML model best fits our dataset in predicting and classifying GS with a moderate R2 value of 0.62 and the lowest RMSE and MR of 0.54 and 0.35, respectively.
Table 6.
Coefficient of determination (R2), RMSE, and misclassification rate (MR) of Random Forest (RF), Support Vector Machine (SVM), and Ordinal Logistic (OL) regression models in estimating gait score of individual broilers.
Furthermore, the results of the 5-fold cross-validation demonstrated the ML models’ robustness and generalizability across diverse subsets of broiler gait datasets, as shown in Table 7. The metrics were slightly lower than the single train-test performance results in Table 6, stemming from rigorous analysis to prevent overfitting and underfitting by the models. The RF model consistently outperformed the remaining ML models, further cementing it is feasibility for gait score estimation.
Table 7.
5-fold cross-validation results of the Random Forest (RF), Support Vector Machine (SVM), and Ordinal Logistic (OL) regression models in estimating the gait score of individual broilers.
The RF model has several characteristics that could have made it a suitable choice for predicting the gait scores of chickens compared with the OL and SVM regression methods. It can decrease overfitting issues and provide robust, generalizable models. Additionally, handling non-linear relationships, missing values, noise, and feature importance assessments are some aspects of this model that could have contributed to this result. Although the 0.62 rate is medium in accuracy level and can be further developed with bigger datasets and further model tuning, this is a vital result showing the practicality of predicting GS automatically using ML and DL models.
4. Conclusions
Deteriorating gait levels in fast-growing broilers is a major welfare concern for producers. Here, six mobility indicators were proposed and tested for predicting manual GS assessments of broilers using ML models. The YOLOv8 model was trained, achieving 91% mAP and 98% F1-score under a 50–95% confidence level. The mobility indicators were derived from the results of the trained DL model application on the dataset; the broiler gaits were manually assessed twice a week. It was found that the average hourly walking distance, mobility level, and idleness ratios of the individual broilers, for the most part, followed their declining GS levels over the eight-day period (p < 0.05). Meanwhile, the worsening GS of the broilers was also observed in the drinking and feeding behaviors as well as the daily total feed intake of the broilers. The hourly walking distance variable with the lowest multicollinearity was used in the ML models to predict GS. The RF model predicted GS with the lowest MR rate of 0.35, 0.54 RMSE, and highest generalized R2 of 0.62, as well as outperforming consistently in the 5-fold cross-validation tests. The findings highlight the practicality and promise of DL and ML approaches in broiler welfare management. Although the scale of this study may represent a key limitation, future research can build upon these findings to improve GS predictions using non-intrusive methods, enabling applications across broader broiler production systems.
Author Contributions
Conceptualization, M.J. and Y.Z.; Methodology, M.J. and H.G.; Writing—original draft, M.J.; Writing—review and editing, H.G., T.T. and H.Q.; Supervision, Y.Z.; Project administration, Y.Z. All authors have read and agreed to the published version of the manuscript.
Funding
Financial support for this research was provided by the USDA-NIFA IDEAS program (Award No.: 2022-68014-36663) and AI Tennessee Initiative Seed Funds. The authors highly appreciate the assistance of the UT Animal Science Department, UT Johnson Research and Teaching Unit.
Institutional Review Board Statement
The animal study protocol was approved by the Institutional Animal Care and Use Committee of The University of Tennessee (Protocol number 2876).
Data Availability Statement
The raw data supporting the conclusions of this article will be made available by the authors on request.
Conflicts of Interest
The authors declare no conflicts of interest.
References
- Rasmussen, S.N.; Erasmus, M.; Riber, A.B. The relationships between age, fear responses, and walking ability of broiler chickens. Appl. Anim. Behav. Sci. 2022, 254, 105713. [Google Scholar] [CrossRef]
- Brasso, L.D.; Komlosi, I.; Varszegi, Z. Modern Technologies for Improving Broiler Production and Welfare: A Review. Animals 2025, 15, 493. [Google Scholar] [CrossRef] [PubMed]
- Tainika, B.; Şekeroğlu, A.; Akyol, A.; Waithaka Ng’ang’a, Z. Welfare issues in broiler chickens: Overview. World’s Poult. Sci. J. 2023, 79, 285–329. [Google Scholar] [CrossRef]
- Riber, A.B.; Wurtz, K.E. Impact of Growth Rate on the Welfare of Broilers. Animals 2024, 14, 3330. [Google Scholar] [CrossRef]
- Santos, M.N.; Widowski, T.M.; Kiarie, E.G.; Guerin, M.T.; Edwards, A.M.; Torrey, S. In pursuit of a better broiler: Walking ability and incidence of contact dermatitis in conventional and slower growing strains of broiler chickens. Poult. Sci. 2022, 101, 101768. [Google Scholar] [CrossRef]
- Neethirajan, S. Automated Tracking Systems for the Assessment of Farmed Poultry. Animals 2022, 12, 232. [Google Scholar] [CrossRef]
- de Alencar Nääs, I.; da Silva Lima, N.D.; Gonçalves, R.F.; Antonio de Lima, L.; Ungaro, H.; Minoro Abe, J. Lameness prediction in broiler chicken using a machine learning technique. Inf. Process. Agric. 2021, 8, 409–418. [Google Scholar] [CrossRef]
- Okinda, C.; Nyalala, I.; Korohou, T.; Okinda, C.; Wang, J.; Achieng, T.; Wamalwa, P.; Mang, T.; Shen, M. A review on computer vision systems in monitoring of poultry: A welfare perspective. Artif. Intell. Agric. 2020, 4, 184–208. [Google Scholar] [CrossRef]
- Pereira, D.F.; Nääs, I.d.A.; Lima, N.D.D.S. Movement Analysis to Associate Broiler Walking Ability with Gait Scoring. AgriEngineering 2021, 3, 394–402. [Google Scholar] [CrossRef]
- Li, G.; Gates, R.S.; Meyer, M.M.; Bobeck, E.A. Tracking and Characterizing Spatiotemporal and Three-Dimensional Locomotive Behaviors of Individual Broilers in the Three-Point Gait-Scoring System. Animals 2023, 13, 717. [Google Scholar] [CrossRef]
- Yang, X.; Zhao, Y.; Gan, H.; Hawkins, S.; Eckelkamp, L.; Prado, M.; Burns, R.; Purswell, J.; Tabler, T. Modeling gait score of broiler chicken via production and behavioral data. Animal 2023, 17, 100692. [Google Scholar] [CrossRef] [PubMed]
- van der Sluis, M.; Ellen, E.D.; de Klerk, B.; Rodenburg, T.B.; de Haas, Y. The relationship between gait and automated recordings of individual broiler activity levels. Poult. Sci. 2021, 100, 101300. [Google Scholar] [CrossRef] [PubMed]
- Nasiri, A.; Yoder, J.; Zhao, Y.; Hawkins, S.; Prado, M.; Gan, H. Pose estimation-based lameness recognition in broiler using CNN-LSTM network. Comput. Electron. Agric. 2022, 197, 106931. [Google Scholar] [CrossRef]
- Fang, C.; Zhang, T.; Zheng, H.; Huang, J.; Cuan, K. Pose estimation and behavior classification of broiler chickens based on deep neural networks. Comput. Electron. Agric. 2021, 180, 105863. [Google Scholar] [CrossRef]
- Doornweerd, J.E.; Kootstra, G.; Veerkamp, R.F.; Ellen, E.D.; van der Eijk, J.A.J.; van de Straat, T.; Bouwman, A.C. Across-Species Pose Estimation in Poultry Based on Images Using Deep Learning. Front. Anim. Sci. 2021, 2, 791290. [Google Scholar] [CrossRef]
- Fodor, I.; van der Sluis, M.; Jacobs, M.; de Klerk, B.; Bouwman, A.C.; Ellen, E.D. Automated pose estimation reveals walking characteristics associated with lameness in broilers. Poult. Sci. 2023, 102, 102787. [Google Scholar] [CrossRef]
- Wurtz, K.E.; Riber, A.B. Overview of the various methods used to assess walking ability in broiler chickens. Vet. Rec. 2024, 195, e4398. [Google Scholar] [CrossRef]
- Li, G.; Hui, X.; Chen, Z.; Chesser, G.D.; Zhao, Y. Development and evaluation of a method to detect broilers continuously walking around feeder as an indication of restricted feeding behaviors. Comput. Electron. Agric. 2021, 181, 105982. [Google Scholar] [CrossRef]
- Doornweerd, J.E.; Veerkamp, R.F.; de Klerk, B.; van der Sluis, M.; Bouwman, A.C.; Ellen, E.D.; Kootstra, G. Tracking individual broilers on video in terms of time and distance. Poult. Sci. 2023, 103, 103185. [Google Scholar] [CrossRef]
- Mostafa, S.A.; Ahmad, I.A. Recent developments in systematic sampling: A review. J. Stat. Theory Pract. 2018, 12, 290–310. [Google Scholar] [CrossRef]
- Kestin, S.; Knowles, T.; Tinch, A.; Gregory, N. Prevalence of leg weakness in broiler chickens and its relationship with genotype. Vet. Rec. 1992, 131, 190–194. [Google Scholar] [CrossRef] [PubMed]
- Diwan, T.; Anirudh, G.; Tembhurne, J.V. Object detection using YOLO: Challenges, architectural successors, datasets and applications. Multimed. Tools Appl. 2023, 82, 9243–9275. [Google Scholar] [CrossRef] [PubMed]
- Wang, H.; Zhang, S.; Zhao, S.; Wang, Q.; Li, D.; Zhao, R. Real-time detection and tracking of fish abnormal behavior based on improved YOLOV5 and SiamRPN++. Comput. Electron. Agric. 2022, 192, 106512. [Google Scholar] [CrossRef]
- Hussain, M. YOLOv1 to v8: Unveiling Each Variant–A Comprehensive Review of YOLO. IEEE Access 2024, 12, 42816–42833. [Google Scholar] [CrossRef]
- Sharma, A.; Jain, A.; Gupta, P.; Chowdary, V. Machine Learning Applications for Precision Agriculture: A Comprehensive Review. IEEE Access 2021, 9, 4843–4873. [Google Scholar] [CrossRef]
- Cox, D.R.; Snell, E.J. The Analysis of Binary Data, 2nd ed.; Chapman & Hall: London, UK, 1989. [Google Scholar]
Disclaimer/Publisher’s Note: The statements, opinions and data contained in all publications are solely those of the individual author(s) and contributor(s) and not of MDPI and/or the editor(s). MDPI and/or the editor(s) disclaim responsibility for any injury to people or property resulting from any ideas, methods, instructions or products referred to in the content. |
© 2025 by the authors. Licensee MDPI, Basel, Switzerland. This article is an open access article distributed under the terms and conditions of the Creative Commons Attribution (CC BY) license (https://creativecommons.org/licenses/by/4.0/).