The Spatial Patterns of Ammonia and Greenhouse Gases in a Semi-Open Dairy Barn Using a Fourier Transform Infrared Portable Monitoring Device: A Preliminary Assessment in a Hot Climate
Abstract
1. Introduction
2. Materials and Methods
2.1. Description of the Experimental Farm
2.2. Animal Management
2.3. Measuring Device and Experimental Protocol
- Spectral resolution: 8 cm−1;
- Scan Frequency: 10 scans s−1;
- Wavenumber Range: 900–4200 cm−1;
- Linearity Deviation: <2% of the measuring range.
2.4. Testing Period and Data Collection
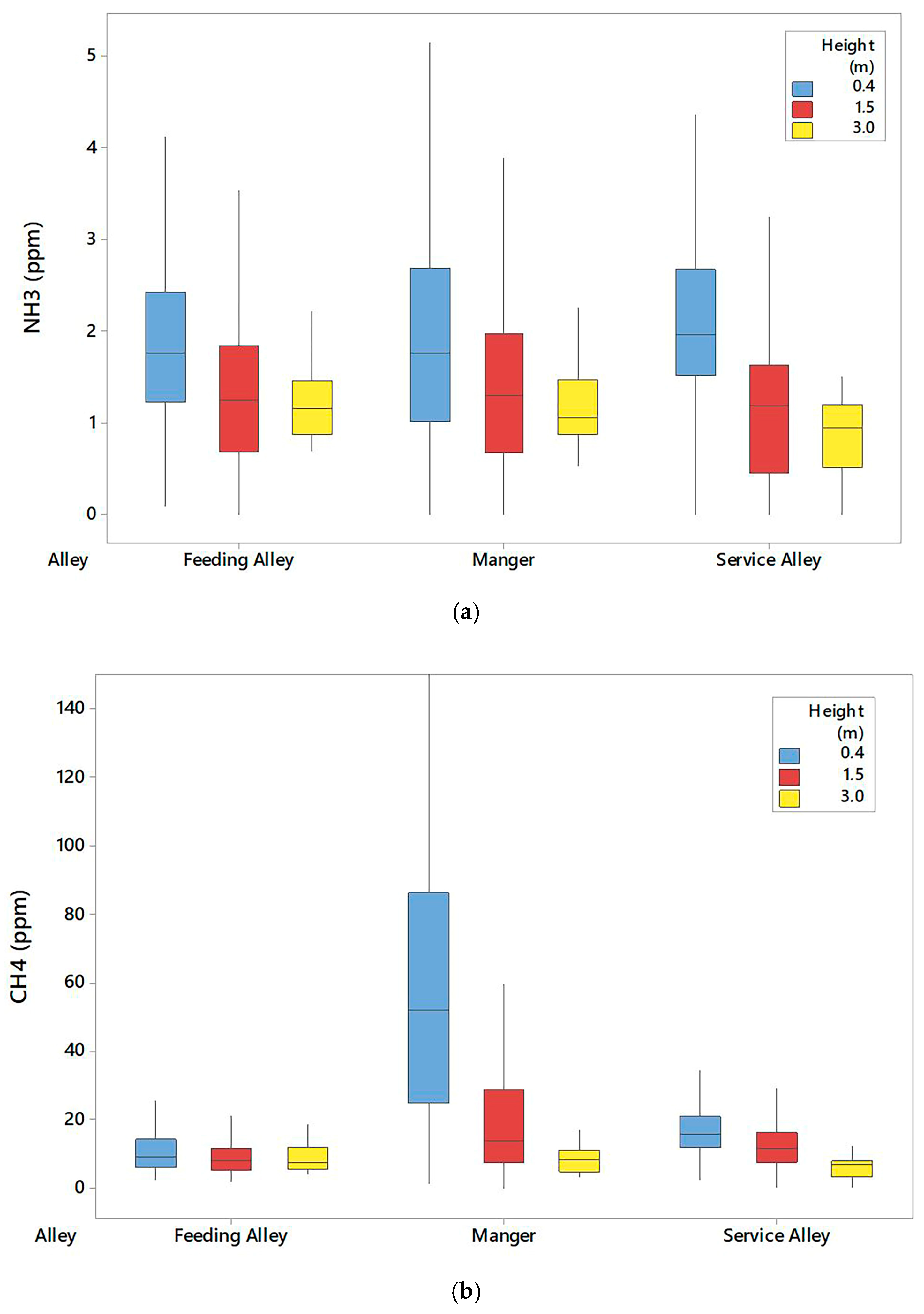
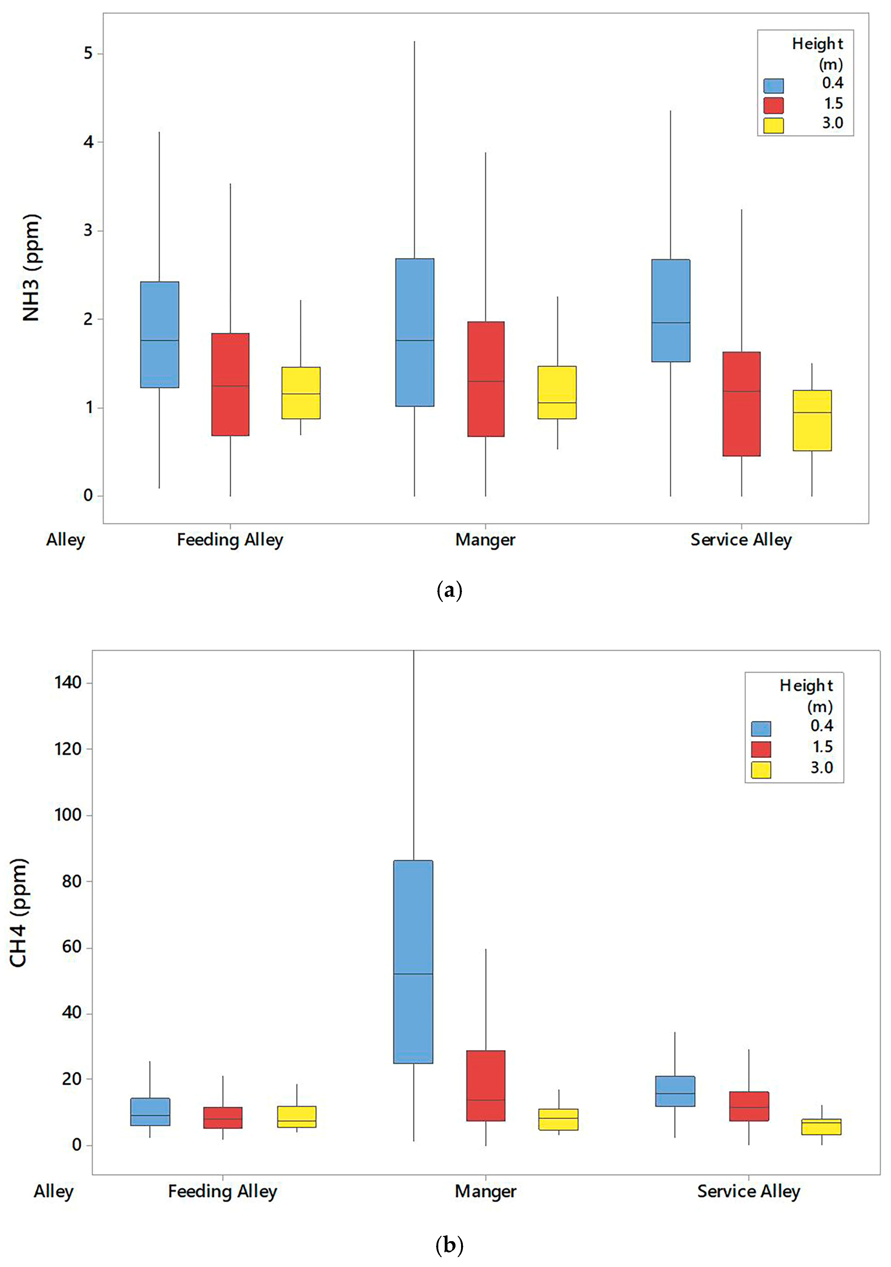
3. Results
4. Discussions
4.1. Gas Distribution in the Barn
4.2. Implication of Study
5. Conclusions
Author Contributions
Funding
Data Availability Statement
Acknowledgments
Conflicts of Interest
References
- Ferrari, G.; Ioverno, F.; Sozzi, M.; Marinello, F.; Pezzuolo, A. Land-use change and bioenergy production: Soil consumption and characterization of anaerobic digestion plants. Energies 2021, 14, 4001. [Google Scholar] [CrossRef]
- Peyraud, J.L.; MacLeod, M. Future of EU Livestock—How to Contribute to a Sustainable Agricultural Sector. In Final Report, Directorate-General for Agriculture and Rural Development; European Commission: Brussels, Belgium, 2020. [Google Scholar]
- Sheer, A.; Sardar, M.F.; Younas, F.; Zhu, P.; Noreen, S.; Mehmood, T.; Farooqi, Z.U.R.; Fatima, S.; Guo, W. Trends and social aspects in the management and conversion of agricultural residues into valuable resources: A comprehensive approach to counter environmental degradation, food security, and climate change. Bioresour. Technol. 2024, 394, 130258. [Google Scholar] [CrossRef] [PubMed]
- Forge, T.; Kenney, E.; Hashimoto, N.; Neilsen, D.; Zebarth, B. Compost and poultry manure as preplant soil amendments for red raspberry: Comparative effects on root lesion nematodes, soil quality and risk of nitrate leaching. Agric. Ecosyst. Environ. 2016, 223, 48–58. [Google Scholar] [CrossRef]
- Li, H.; Lu, J.; Zhang, Y.; Liu, Z. Hydrothermal liquefaction of typical livestock manures in China: Biocrude oil production and migration of heavy metals. J. Anal. Appl. Pyrol. 2018, 135, 133–140. [Google Scholar] [CrossRef]
- Van Zanten, H.H.; Mollenhorst, H.; Oonincx, D.G.; Bikker, P.; Meerburg, B.G.; De Boer, I.J. From environmental nuisance to environmental opportunity: Housefly larvae convert waste to livestock feed. J. Clean. Prod. 2015, 102, 362–369. [Google Scholar] [CrossRef]
- European Environment Agency. Annual European Union Greenhouse Gas Inventory 1990–2019 and Inventory Report 2021; Submission to the UNFCCC Secretariat; European Environment Agency: Brussels, Belgium, 2021. [Google Scholar]
- Katwal, S.; Singh, Y.; Gupta, R.; Grewal, R.S. Seasonal dynamics and climatic influences of greenhouse gases (CO2, CH4) and ammonia (NH3) concentrations on loose housing cattle shed. Indian J. Anim. Sci. 2021, 94, 646–651. [Google Scholar] [CrossRef]
- Samer, M. Abatement Techniques for Reducing Emissions from Livestock Buildings; Springer International Publishing: Berlin/Heidelberg, Germany, 2016. [Google Scholar]
- Ferrari, G.; Provolo, G.; Pindozzi, S.; Marinello, F.; Pezzuolo, A. Biorefinery development in livestock production systems: Applications, challenges, and future research directions. J. Clean. Prod. 2024, 440, 140858. [Google Scholar] [CrossRef]
- Steinfeld, H.; Gerber, P.; Wassenaar, T.D.; Castel, V.; Rosales, M.; Rosales, M.M.; de Haan, C. Livestock’s long shadow. Front. Ecol. Environ. 2007, 5, 4–9. [Google Scholar] [CrossRef]
- Ferrari, G.; Ai, P.; Alengebawy, A.; Marinello, F.; Pezzuolo, A. An assessment of nitrogen loading and biogas production from Italian livestock: A multilevel and spatial analysis. J. Clean. Prod. 2021, 317, 128388. [Google Scholar] [CrossRef]
- Hassouna, M.; Simon, P. DATAMAN: A global database of methane, nitrous oxide, and ammonia emission factors for livestock housing and outdoor storage of manure. J. Environ. Qual. 2022, 52, 207–223. [Google Scholar] [CrossRef]
- Lenis, N.P.; Jongbloed, A.W. New Technologies in Low Pollution Swine Diets: Diet Manipulation and Use of Synthetic Amino Acids, Phytase and Phase Feeding for Reduction of Nitrogen and Phosphorus Excretion and Ammonia Emission—Review. Asian-Australas. J. Anim. Sci. 1999, 12, 305–327. [Google Scholar] [CrossRef]
- Vitaliano, S.; Cascone, G.; D’Urso, P.R. Mitigating Built Environment Air Pollution by Green Systems: An In-Depth Review. Appl. Sci. 2024, 14, 6487. [Google Scholar] [CrossRef]
- Finocchiaro, A.; Vitaliano, S.; Cinardi, G.; D’Urso, P.R.; Cascone, S.; Arcidiacono, C. Green Wall System to Reduce Particulate Matter in Livestock Housing: Case Study of a Dairy Barn. Buildings 2025, 15, 2280. [Google Scholar] [CrossRef]
- Cinardi, G.; Vitaliano, S.; Fasciana, A.; Fragalà, F.; La Bella, E.; Santoro, L.M.; D’Urso, P.R.; Baglieri, A.; Cascone, G.; Arcidiacono, C. Preliminary Analysis on Bio-Acidification Using Coffee Torrefaction Waste and Acetic Acid on Animal Manure from a Dairy Farm. Agriculture 2025, 15, 948. [Google Scholar] [CrossRef]
- D’Urso, P.R.; Arcidiacono, C.; Valenti, F.; Cascone, G. Assessing Influence Factors on Daily Ammonia and Greenhouse Gas Concentrations from an Open-Sided Cubicle Barn in Hot Mediterranean Climate. Animals 2021, 11, 1400. [Google Scholar] [CrossRef] [PubMed]
- Hempel, S.; Menz, C.; Pinto, S.; Galán, E.; Janke, D.; Estellés, F.; Müschner-Siemens, T.; Wang, X.; Heinicke, J.; Zhang, G.; et al. Heat stress risk in European dairy cattle husbandry under different climate change scenarios-uncertainties and potential impacts. Earth Syst. Dyn. 2019, 10, 859–884. [Google Scholar] [CrossRef]
- Rodrigues, A.R.F.; Silva, M.E.; Silva, V.F.; Maia, M.B.; Cabrita, A.R.J.; Trindade, H.; Fonseca, A.J.M.; Pereira, J.L.S. Implications of seasonal and daily variation on methane and ammonia emissions from naturally ventilated dairy cattle barns in a Mediterranean climate: A two year study. Sci. Total Environ. 2024, 946, 173734. [Google Scholar] [CrossRef]
- André, A.L.G.; Ferraz, P.F.P.; Ferraz, G.A.e.S.; Ferreira, J.C.; de Oliveira, F.M.; Reis, E.M.B.; Barbari, M.; Rossi, G. Spatial Distribution of Greenhouse Gas Emissions and Environmental Variables in Compost Barn Dairy Systems. AgriEngineering 2025, 7, 158. [Google Scholar] [CrossRef]
- D’Urso, P.R.; Arcidiacono, C.; Cascone, G. Assessment of a Low-Cost Portable Device for Gas Concentration Monitoring in Livestock Housing. Agronomy 2023, 13, 5. [Google Scholar] [CrossRef]
- D’Urso, P.R.; Arcidiacono, C.; Cascone, G. Analysis of the Horizontal Distribution of Sampling Points for Gas Concentrations Monitoring in an Open-Sided Dairy Barn. Animals 2022, 12, 3258. [Google Scholar] [CrossRef]
- Sahu, H.; Hempel, S.; Amon, T.; Zentek, J.; Römer, A.; Janke, D. Concentration Gradients of Ammonia, Methane, and Carbon Dioxide at the Outlet of a Naturally Ventilated Dairy Building. Atmosphere 2023, 14, 1465. [Google Scholar] [CrossRef]
- Ngwabie, N.M.; Schade, G.W.; Custer, T.G.; Linke, S.; Hinz, T. Multi-location measurements of greenhouse gases and emission rates of methane and ammonia from a naturally ventilated barn for dairy cows. Biosyst. Eng. 2009, 103, 68–77. [Google Scholar] [CrossRef]
- Apostolico, A.; Di Perta, E.S.; Grieco, R.; Cervelli, E.; Pindozzi, S. Gas concentrations and THI monitoring in a naturally ventilated buffalo farm: First results with advanced multi-sensor node. In Proceedings of the 2024 IEEE International Workshop on Metrology for Agriculture and Forestry MetroAgriFor, Padova, Italy, 29–31 October 2024. [Google Scholar] [CrossRef]
- Ashley, K. Harmonization of NIOSH Sampling and Analytical Methods with Related International Voluntary Consensus Standards. J. Occup. Environ. Hyg. 2015, 12, D107–D115. [Google Scholar] [CrossRef] [PubMed][Green Version]
- D’Urso, P.R.; Arcidiacono, C.; Cascone, G. Ammonia and greenhouse gas distribution in a dairy barn during warm periods. Front. Agric. Sci. Eng. 2024, 11, 428–441. [Google Scholar] [CrossRef]
- D’Urso, P.R.; Finocchiaro, A.; Cinardi, G.; Arcidiacono, C. In-Field Performance Evaluation of an IoT Monitoring System for Fine Particulate Matter in Livestock Buildings. Sensors 2025, 25, 4987. [Google Scholar] [CrossRef]
- Witkowska, D.; Korczyński, M.; Koziel, J.A.; Sowińska, J.; Chojnowski, B. The effect of dairy cattle housing systems on the concentrations and emissions of gaseous mixtures in barns determined by Fourier-Transform Infrared Spectroscopy. Ann. Anim. Sci. 2020, 20, 1487–1507. [Google Scholar] [CrossRef]
- Haque, M.N.; Cornou, C.; Madsen, J. Individual variation and repeatability of methane production from dairy cows estimated by the CO2 method in automatic milking system. Animal 2015, 20, 1487–1507. [Google Scholar] [CrossRef]
- Ogink, N.W.M.; Mosquera Losada, J.; Calvet, S.; Zhang, G. Methods for measuring gas emissions from naturally ventilated livestock buildings: Developments over the last decade and perspectives for improvement. Biosyst. Eng. 2013, 116, 297–308. [Google Scholar] [CrossRef]
- Ferraz, P.; Ferraz, G.; Ferreira, J.; Aguiar, J.; Santana, L.; Norton, T. Assessment of Ammonia Emissions and Greenhouse Gases in Dairy Cattle Facilities: A Bibliometric Analysis. Animals 2024, 14, 1721. [Google Scholar] [CrossRef]
- Official Journal of the European Union. Directive (EU) 2016/2284 of The European Parliament and of The Council of 14 December 2016 on the Reduction of National Emissions of Certain Atmospheric Pollutants, Amending Directive 2003/35/EC and Repealing Directive 2001/81/EC (Text with EEA Relevance); Official Journal of the European Union: Luxembourg, 2016. [Google Scholar]
- Official Journal of the European Union. Directive 2010/75/EU of the European Parliament and of the Council of 24 November 2010 on Industrial Emissions (Integrated Pollution Prevention and Control); Official Journal of the European Union: Luxembourg, 2010; Volume 334, pp. 17–119. [Google Scholar]
- Diacono, M.; Persiani, A.; Testani, E.; Montemurro, F.; Ciaccia, C. Recycling agricultural wastes and by-products in organic farming: Biofertilizer production, yield performance and carbon footprint analysis. Sustainability 2019, 11, 3824. [Google Scholar] [CrossRef]
- Parlato, M.C.M.; Valenti, F.; Midolo, G.; Porto, S.M.C. Livestock Wastes Sustainable Use and Management: Assessment of Raw Sheep Wool Reuse and Valorization. Energies 2022, 15, 3008. [Google Scholar] [CrossRef]
- Rekleitis, G.; Haralambous, K.J.; Loizidou, M.; Aravossis, K. Utilization of Agricultural and Livestock Waste in Anaerobic Digestion (A.D): Applying the Biorefinery Concept in a Circular Economy. Energies 2022, 13, 4428. [Google Scholar] [CrossRef]
- Communication from the Commission to the European Parliament, the Council, the European Economic and Social Committee and the Committee of the Regions (on an EU Strategy to Reduce Methane Emissions); European Commission: Brussels, Belgium, 2020; Available online: https://eur-lex.europa.eu/legal-content/EN/TXT/?uri=CELEX:52020DC0663 (accessed on 1 September 2025).
- Energy, Climate Change, Environment. A New Circular Economy Action Plan; European Commission: Brussels, Belgium, 2020; Available online: https://www.astrid-online.it/static/upload/new_/new_circular_economy_action_plan_annex.pdf (accessed on 1 September 2025).
- European Food Safety Authority (EFSA); Aagaard, A.; Berny, P.; Chaton, P.F.; Antia, A.L.; McVey, E.; Brock, T. Risk Assessment for Birds and Mammals. EFSA J. 2023, 21, e07790. [Google Scholar] [CrossRef]






| Gas Concentrations | Mean | StDev | Minimum | Maximum |
|---|---|---|---|---|
| CO2 (ppm) | 686.38 | 357.40 | 400 | 3030.44 |
| CH4 (ppm) | 22.62 | 23.75 | 0 | 245.319 |
| N2O (ppm) | 0.37 | 0.20 | 0 | 11.1853 |
| NH3 (ppm) | 1.61 | 1.10 | 0 | 8.537 |
| Gas | Height (m) | Mean Value (ppm) | SD |
|---|---|---|---|
| NH3 (p < 0.001) | 0.4 | 1.99 | 1.18 |
| 1.5 | 1.30 | 0.93 | |
| 3.0 | 1.11 | 0.50 | |
| CH4 (p < 0.001) | 0.4 | 32.68 | 38.60 |
| 1.5 | 14.66 | 15.23 | |
| 3.0 | 8.11 | 5.31 | |
| CO2 (p < 0.001) | 0.40 | 807.4 | 468.1 |
| 1.5 | 592.01 | 172.33 | |
| 3.0 | 495.32 | 60.83 |
| Gas | Alley | Mean Value (ppm) | SD |
|---|---|---|---|
| NH3 (p < 0.001) | Manger | 1.65 | 1.14 |
| Service alley | 1.52 | 1.03 | |
| Feeding alley | 1.62 | 1.08 | |
| CH4 (p < 0.001) | Manger | 39.33 | 40.51 |
| Service alley | 14.22 | 8.91 | |
| Feeding alley | 9.83 | 5.90 | |
| CO2 (p < 0.001) | Manger | 894.7 | 482.2 |
| Service alley | 576.28 | 103.31 | |
| Feeding alley | 529.40 | 70.20 |
Disclaimer/Publisher’s Note: The statements, opinions and data contained in all publications are solely those of the individual author(s) and contributor(s) and not of MDPI and/or the editor(s). MDPI and/or the editor(s) disclaim responsibility for any injury to people or property resulting from any ideas, methods, instructions or products referred to in the content. |
© 2025 by the authors. Licensee MDPI, Basel, Switzerland. This article is an open access article distributed under the terms and conditions of the Creative Commons Attribution (CC BY) license (https://creativecommons.org/licenses/by/4.0/).
Share and Cite
Bonfanti, M.; Laudani, S.; D’Urso, P.R.; Tuvè, B.; Gulino, M.; Modica, G. The Spatial Patterns of Ammonia and Greenhouse Gases in a Semi-Open Dairy Barn Using a Fourier Transform Infrared Portable Monitoring Device: A Preliminary Assessment in a Hot Climate. AgriEngineering 2025, 7, 427. https://doi.org/10.3390/agriengineering7120427
Bonfanti M, Laudani S, D’Urso PR, Tuvè B, Gulino M, Modica G. The Spatial Patterns of Ammonia and Greenhouse Gases in a Semi-Open Dairy Barn Using a Fourier Transform Infrared Portable Monitoring Device: A Preliminary Assessment in a Hot Climate. AgriEngineering. 2025; 7(12):427. https://doi.org/10.3390/agriengineering7120427
Chicago/Turabian StyleBonfanti, Marco, Salvatore Laudani, Provvidenza Rita D’Urso, Biagio Tuvè, Marco Gulino, and Giuseppe Modica. 2025. "The Spatial Patterns of Ammonia and Greenhouse Gases in a Semi-Open Dairy Barn Using a Fourier Transform Infrared Portable Monitoring Device: A Preliminary Assessment in a Hot Climate" AgriEngineering 7, no. 12: 427. https://doi.org/10.3390/agriengineering7120427
APA StyleBonfanti, M., Laudani, S., D’Urso, P. R., Tuvè, B., Gulino, M., & Modica, G. (2025). The Spatial Patterns of Ammonia and Greenhouse Gases in a Semi-Open Dairy Barn Using a Fourier Transform Infrared Portable Monitoring Device: A Preliminary Assessment in a Hot Climate. AgriEngineering, 7(12), 427. https://doi.org/10.3390/agriengineering7120427

