Investigation of Bruise Damage and Storage on Cucumber Quality
Abstract
1. Introduction
2. Materials and Methods
2.1. Cucumber Sample Preparation
2.2. Bruising Measurements and Storage
2.3. Quality Analysis
2.3.1. Weight Loss % (Wl%)
2.3.2. Color
2.3.3. Firmness
2.3.4. Total Soluble Solids (TSS)
2.4. Statistical Analysis
3. Results and Discussions
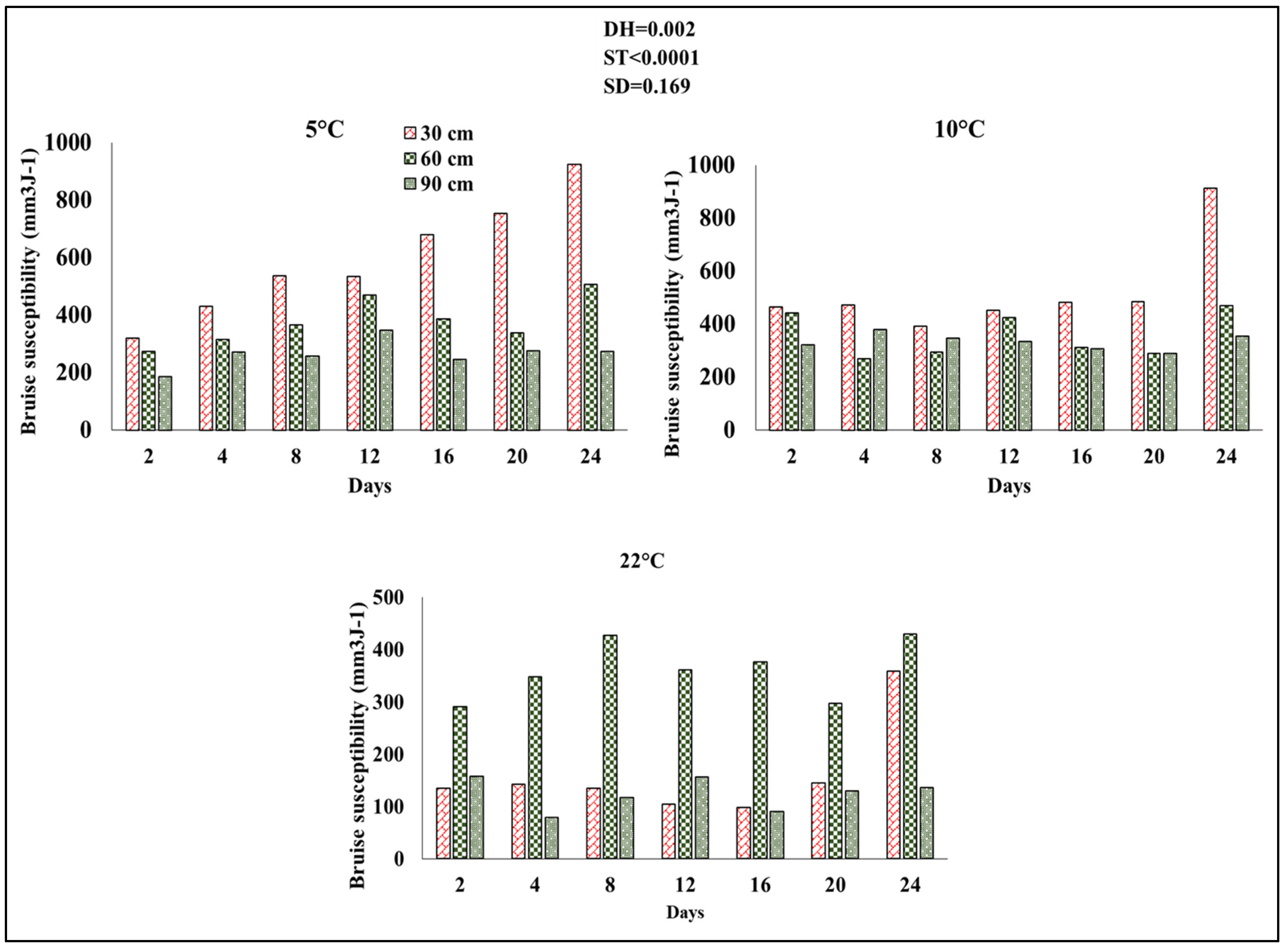
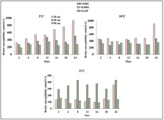
3.1. Bruise Area (BA) and Bruise Susceptibility (BS) of Cucumbers
3.2. Cucumber Quality
3.2.1. Weight Loss (Wl%)
3.2.2. Color
3.2.3. Firmness
3.2.4. Total Soluble Solids (TSS)
3.3. Pearson Correlation
4. Conclusions
Author Contributions
Funding
Data Availability Statement
Conflicts of Interest
References
- FAOSTAT. Food and Agriculture Organization Corporate Statistical Database; FAO: Rome, Italy, 2023. [Google Scholar]
- Murad, H.; Nyc, M. Evaluating the potential benefits of cucumbers for improved health and skin care. J. Aging Res. Clin. Pract. 2016, 5, 139–141. [Google Scholar] [CrossRef]
- Al-Dairi, M.; Pathare, P.B.; Al-Yahyai, R.; Opara, U.L. Mechanical damage of fresh produce in postharvest transportation: Current status and future prospects. Trends Food Sci. Technol. 2022, 124, 195–207. [Google Scholar] [CrossRef]
- Shao, Y.; Xuan, G.; Hu, Z.; Gao, Z.; Liu, L. Determination of the bruise degree for cherry using Vis-NIR reflection spectroscopy coupled with multivariate analysis. PLoS ONE 2019, 14, e0222633. [Google Scholar] [CrossRef] [PubMed]
- Nturambirwe, J.F.I.; Perold, W.J.; Opara, U.L. Classification learning of latent bruise damage to apples using shortwave infrared hyperspectral imaging. Sensors 2021, 21, 4990. [Google Scholar] [CrossRef] [PubMed]
- Celik, H.K. Determination of bruise susceptibility of pears (Ankara variety) to impact load by means of FEM-based explicit dynamics simulation. Postharvest Biol. Technol. 2017, 128, 83–97. [Google Scholar] [CrossRef]
- Pathare, P.B.; Al-Dairi, M. Bruise damage and quality changes in impact-bruised, stored tomatoes. Horticulturae 2021, 7, 113. [Google Scholar] [CrossRef]
- Ergun, M. Physical, physiochemical and electrochemical responses of ‘Galaxy’apples to mild bruising. Eur. J. Hortic. Sci. 2017, 82, 244–250. [Google Scholar] [CrossRef]
- Xia, M.; Zhao, X.; Wei, X.; Guan, W.; Wei, X.; Xu, C.; Mao, L. Impact of packaging materials on bruise damage in kiwifruit during free drop test. Acta Physiol. Plant. 2020, 42, 1–11. [Google Scholar] [CrossRef]
- Tadesse, B.; Bakala, F.; Mariam, L.W. Assessment of postharvest loss along potato value chain: The case of Sheka Zone, southwest Ethiopia. Agric. Food Secur. 2018, 7, 1–14. [Google Scholar] [CrossRef]
- Eboibi, O.; Uguru, H. Storage conditions effect on physic-mechanical properties of Nandini cucumber. Int. J. Eng. Tech. Res. 2017, 7, 264925. [Google Scholar]
- Ndukvu, M.; Manuwa, S. Impact of evaporative cooling preservation on the shelf life of fruits and vegetable in South Western Nigeria. Res. Agric. Eng. 2015, 61, 122–128. [Google Scholar] [CrossRef]
- Wang, J.; Zhao, Y.; Ma, Z.; Zheng, Y.; Jin, P. Hydrogen sulfide treatment alleviates chilling injury in cucumber fruit by regulating antioxidant capacity, energy metabolism and proline metabolism. Foods 2022, 11, 2749. [Google Scholar] [CrossRef] [PubMed]
- Pathare, P.B.; Al-Dairi, M. Effect of mechanical damage on the quality characteristics of banana fruits during short-term storage. Discov. Food 2022, 2, 4. [Google Scholar] [CrossRef]
- Opara, U.L.; Pathare, P.B. Bruise damage measurement and analysis of fresh horticultural produce—A review. Postharvest Biol. Technol. 2014, 91, 9–24. [Google Scholar] [CrossRef]
- Pathare, P.B.; Opara, U.L.; Al-Said, F.A. Colour measurement and analysis in fresh and processed foods: A review. Food Bioprocess Technol. 2013, 6, 36–60. [Google Scholar] [CrossRef]
- Hussein, Z.; Fawole, O.A.; Opara, U.O. Bruise damage of pomegranate during long-term cold storage: Susceptibility to bruising and changes in textural properties of fruit. Int. J. Fruit Sci. 2020, 20, S211–S230. [Google Scholar] [CrossRef]
- Polat, R.; Aktas, T.; Ikinci, A. Selected mechanical properties and bruise susceptibility of nectarine fruit. Int. J. Food Prop. 2012, 15, 1369–1380. [Google Scholar] [CrossRef]
- Pathare, P.B.; Al-Dairi, M.; Al-Yahyai, R.; Al-Mahdouri, A. Simulated Handling to Investigate the Effect of Mechanical Damage on Stored Pomegranate Fruit. Processes 2022, 10, 2695. [Google Scholar] [CrossRef]
- Cui, J.; Yang, M.; Son, D.; Park, S.; Cho, S.-I. Estimation of tomato bruising by mechanical impact force using multivariate analysis. HortScience 2018, 53, 1352–1359. [Google Scholar] [CrossRef]
- Tabatabaekoloor, R. Engineering properties and bruise susceptibility of peach fruits (Prunus persica). Agric. Eng. Int. CIGR J. 2013, 15, 244–252. [Google Scholar]
- Al-Dairi, M.; Pathare, P.B. Kinetic modeling of quality changes of tomato during storage. Agric. Eng. Int. CIGR J. 2021, 23, 183–193. [Google Scholar]
- Dhall, R.K.; Sharma, S.R.; Mahajan, B. Effect of shrink wrap packaging for maintaining quality of cucumber during storage. J. Food Sci. Technol. 2012, 49, 495–499. [Google Scholar] [CrossRef] [PubMed]
- Pathare, P.B.; Al-Dairi, M.; Al-Yahyai, R.; Al-Mahdouri, A. Physiological Response of Stored Pomegranate Fruit Affected by Simulated Impact. Foods 2023, 12, 1122. [Google Scholar] [CrossRef] [PubMed]
- Korese, J.K.; Achaglinkame, M.A.; Adzitey, F. Effect of different packaging materials on storage stability of Gardenia erubescens Stapf. & Hutch. dried fruits and powder. Appl. Food Res. 2022, 2, 100143. [Google Scholar]
- Al-Dairi, M.; Pathare, P.B.; Al-Yahyai, R. Effect of postharvest transport and storage on color and firmness quality of tomato. Horticulturae 2021, 7, 163. [Google Scholar] [CrossRef]
- Bodner, M.; Scampicchio, M. Does bruising influence the volatile profile of pears? Nutr. Food Sci. 2021, 51, 643–652. [Google Scholar] [CrossRef]
- Azadbakht, M.; Mahmoodi, M.J.; Vahedi Torshizi, M. Effects of different loading forces and storage periods on the percentage of bruising and its relation with the qualitative properties of pear fruit. Int. J. Hortic. Sci. Technol. 2019, 6, 177–188. [Google Scholar]
- Li, J.; Yan, J.; Cao, J.; Zhao, Y.; Jiang, W. Preventing the wound-induced deterioration of Yali pears by chitosan coating treatments. Food Sci. Technol. Int. 2012, 18, 123–128. [Google Scholar] [CrossRef]
- Al-Dairi, M.; Pathare, P.B.; Al-Mahdouri, A. The Contribution of Impact Damage to the Quality Changes of Stored Banana Fruit. Biol. Life Sci. Forum 2022, 16, 31. [Google Scholar]
- Montero, C.R.; Schwarz, L.L.; Santos, L.C.; Andreazza, C.S.; Kechinski, C.P.; Bender, R.J. Postharvest mechanical damage affects fruit quality of ‘Montenegrina’ and ‘Rainha’ tangerines. Pesqui. Agropecuária Bras. 2009, 44, 1636–1640. [Google Scholar] [CrossRef]
- Maia, V.M.; Salomão, L.C.C.; Siqueira, D.L.; Puschman, R.; Mota Filho, V.J.G.; Cecon, P.R. Physical and metabolic alterations in “Prata Anã” banana induced by mechanical damage at room temperature. Sci. Agric. 2011, 68, 31–36. [Google Scholar] [CrossRef]







| Bruise Parameter | ST (°C) | DH (cm) | Storage Days | ||||||
|---|---|---|---|---|---|---|---|---|---|
| 2 | 4 | 8 | 12 | 16 | 20 | 24 | |||
| Bruise area (BA) | 5 | 30 | 62.96 ± 46.17 | 84.65 ± 62.94 | 105.54 ± 97.59 | 104.89 ± 100.68 | 133.69 ± 76.34 | 148.46 ± 39.05 | 181.83 ± 50.89 |
| 60 | 107.90 ± 8.92 | 124.43 ± 18.68 | 144.03 ± 23.01 | 185.13 ± 27.31 | 152.38 ± 50.06 | 132.76 ± 24.37 | 198.95 ± 70.29 | ||
| 90 | 109.47 ± 45.78 | 160.23 ± 33.31 | 151.88 ± 31.51 | 204.88 ± 42.95 | 144.76 ± 37.09 | 162.31 ± 57.38 | 161.64 ± 27.72 | ||
| 10 | 30 | 91.59 ± 15.16 | 93.07 ± 4.30 | 76.87 ± 24.29 | 88.73 ± 19.23 | 94.93 ± 15.46 | 95.51 ± 22.13 | 179.48 ± 77.85 | |
| 60 | 174.24 ± 51.55 | 105.67 ± 18.01 | 115.62 ± 33.05 | 166.57 ± 12.91 | 122.90 ± 11.72 | 113.46 ± 9.84 | 184.68 ± 46.80 | ||
| 90 | 190.32 ± 49.09 | 223.79 ± 69.54 | 204.10 ± 59.66 | 197.93 ± 37.00 | 180.63 ± 57.07 | 171.05 ± 9.23 | 209.57 ± 25.65 | ||
| 22 | 30 | 26.54 ± 45.97 | 28.03 ± 48.55 | 26.41 ± 45.74 | 20.58 ± 35.65 | 19.23 ± 33.31 | 28.52 ± 49.40 | 70.39 ± 60.98 | |
| 60 | 114.20 ± 66.30 | 136.00 ± 32.61 | 167.78 ± 67.18 | 141.92 ± 48.57 | 147.79 ± 67.45 | 117.09 ± 44.91 | 168.71 ± 60.36 | ||
| 90 | 92.68 ± 80.34 | 89.73 ± 77.83 | 68.87 ± 59.74 | 92.27 ± 82.93 | 53.25 ± 49.23 | 76.44 ± 68.44 | 80.50 ± 71.38 | ||
| Level of significance (p-value) | |||||||||
| Drop height | <0.0001 | ||||||||
| Storage temperature | =0.0030 | ||||||||
| Storage duration | =0.1230 | ||||||||
| Color Parameter | ST (°C) | DH (cm) | Storage Days | |||||||
|---|---|---|---|---|---|---|---|---|---|---|
| 0 | 2 | 4 | 8 | 12 | 16 | 20 | 24 | |||
| a* | 5 | 30 | −2.45 ± 0.59 | −2.84 ± 0.46 | −3.34 ± 0.15 | −3.48 ± 0.26 | −3.23 ± 0.20 | −5.18 ± 0.24 | −5.30 ± 0.35 | |
| 60 | −0.83 ± 0.09 | −1.92 ± 0.51 | −2.84 ± 0.20 | −3.50 ± 0.29 | −3.82 ± 0.23 | −4.91 ± 0.71 | −4.44 ± 0.86 | |||
| 90 | −1.46 ± 0.51 | −4.43 ± 0.64 | −3.83 ± 0.38 | −4.24 ± 0.55 | −4.46 ± 0.72 | −6.84 ± 0.29 | −6.56 ± 0.05 | |||
| 10 | 30 | −1.25 ± 0.30 | −1.37 ± 0.38 | −3.50 ± 0.69 | −3.28 ± 0.19 | −3.89 ± 0.53 | −4.04 ± 0.50 | −5.47 ± 0.84 | −4.74 ± 0.29 | |
| 60 | −0.94 ± 0.32 | −3.47 ± 0.62 | −3.58 ± 0.20 | −4.20 ± 0.20 | −4.30 ± 0.43 | −5.69 ± 0.34 | −5.10 ± 0.11 | |||
| 90 | −1.42 ± 0.57 | −3.95 ± 0.20 | −3.65 ± 0.48 | −4.11 ± 0.13 | −4.30 ± 0.06 | −6.84 ± 0.43 | −4.26 ± 1.45 | |||
| 22 | 30 | −1.22 ± 0.29 | −2.42 ± 0.24 | −2.25 ± 0.38 | −3.30 ± 0.21 | −3.29 ± 0.51 | −5.77 ± 0.87 | −5.08 ± 0.21 | ||
| 60 | −0.84 ± 0.34 | −2.82 ± 0.56 | −3.55 ± 0.47 | −4.79 ± 1.36 | −2.17 ± 1.50 | −4.91 ± 0.98 | −3.80 ± 0.93 | |||
| 90 | −1.41 ± 0.32 | −4.31 ± 2.77 | −3.12 ± 0.40 | −6.18 ± 1.18 | −3.07 ± 1.23 | −4.67 ± 1.08 | −3.90 ± 1.15 | |||
| Hue* | 5 | 30 | 133.69 ± 9.18 | 125.69 ± 3.65 | 114.5 ± 2.03 | 115.91 ± 0.24 | 115.35 ± 0.42 | 117.51 ± 2.41 | 113.91 ± 0.55 | |
| 60 | 112.97 ± 2.71 | 134.28 ± 10.47 | 116.02 ± 2.51 | 114.22 ± 1.19 | 112.58 ± 0.95 | 114.67 ± 1.11 | 113.61 ± 2.16 | |||
| 90 | 120.36 ± 1.92 | 112.31 ± 3.58 | 111.71 ± 2.39 | 112.05 ± 2.72 | 110.97 ± 1.29 | 111.05 ± 2.05 | 111.16 ± 2.06 | |||
| 10 | 30 | 115.91 ± 5.25 | 119.77 ± 5.99 | 120.87 ± 4.33 | 115.40 ± 5.16 | 107.47 ± 9.64 | 110.68 ± 1.71 | 109.79 ± 1.26 | 107.06 ± 1.38 | |
| 60 | 123.07 ± 6.85 | 117.92 ± 2.82 | 112.24 ± 0.50 | 112.03 ± 1.06 | 112.21 ± 0.06 | 112.18 ± 1.18 | 111.68 ± 0.47 | |||
| 90 | 120.02 ± 3.72 | 117.67 ± 0.35 | 114.45 ± 1.67 | 113.27 ± 0.28 | 110.97 ± 1.29 | 115.83 ± 0.62 | 113.04 + 3.18 | |||
| 22 | 30 | 115.66 ± 0.88 | 120.17 ± 3.55 | 112.11 ± 0.40 | 110.75 ± 0.94 | 107.64 ± 2.25 | 107.56 ± 1.12 | 104.99 ± 1.88 | ||
| 60 | 117.48 ± 8.40 | 112.83 ± 1.38 | 109.48 ± 1.31 | 108.39 ± 2.53 | 101.66 ± 7.07 | 101.46 ± 4.84 | 98.08 ± 2.15 | |||
| 90 | 122.08 ± 5.96 | 112.52 ± 2.09 | 110.61 ± 1.59 | 112.23 ± 3.04 | 105.48 ± 3.00 | 102.63 ± 5.95 | 100.45 ± 5.30 | |||
| Chroma* | 5 | 30 | 4.24 ± 1.13 | 5.31 ± 0.89 | 8.14 ± 0.48 | 8.41 ± 0.97 | 7.60 ± 0.49 | 11.46 ± 1.23 | 13.14 ± 0.89 | |
| 60 | 2.34 ± 0.38 | 3.31 ± 1.37 | 6.64 ± 0.94 | 8.63 ± 1.02 | 10.04 ± 0.77 | 11.94 ± 1.86 | 11.21 ± 2.50 | |||
| 90 | 3.75 ± 1.27 | 12.12 ± 3.14 | 10.69 ± 1.88 | 11.82 ± 2.93 | 12.75 ± 2.85 | 19.26 ± 2.42 | 18.40 ± 2.02 | |||
| 10 | 30 | 2.97 ± 0.68 | 3.47 ± 0.62 | 7.39 ± 2.28 | 8.06 ± 1.57 | 10.03 ± 1.56 | 11.68 ± 2.39 | 16.47 ± 3.33 | 16.52 ± 1.64 | |
| 60 | 2.27 ± 0.87 | 8.02 ± 1.80 | 9.72 ± 0.44 | 11.32 ± 0.68 | 11.49 ± 1.11 | 15.31 ± 1.72 | 13.88 ± 0.43 | |||
| 90 | 3.61 ± 1.04 | 8.86 ± 0.55 | 9.09 ± 1.71 | 10.69 ± 0.45 | 10.98 ± 0.15 | 12.11 ± 1.20 | 10.68 ± 2.73 | |||
| 22 | 30 | 3.02 ± 0.30 | 5.21 ± 0.19 | 6.04 ± 0.97 | 9.38 ± 0.56 | 11.72 ± 3.44 | 20.20 ± 3.54 | 21.33 ± 3.69 | ||
| 60 | 2.63 ± 0.33 | 7.60 ± 1.37 | 11.05 ± 2.40 | 16.11 ± 6.29 | 15.27 ± 5.44 | 30.42 ± 9.65 | 29.95 ± 3.16 | |||
| 90 | 3.41 ± 0.72 | 7.70 ± 0.40 | 9.06 ± 1.68 | 16.44 ± 3.26 | 14.26 ± 4.90 | 25.36 ± 9.90 | 26.27 ± 7.45 | |||
| ΔE* | 5 | 30 | − | 5.17 ± 1.38 | 5.13 ± 1.08 | 9.86 ± 2.03 | 11.42 ± 1.09 | 10.86 ± 1.72 | 23.74 ± 7.21 | 24.56 ± 3.36 |
| 60 | − | 0.82 ± 0.48 | 3.82 ± 0.89 | 10.26 ± 2.29 | 13.66 ± 2.30 | 16.44 ± 1.47 | 27.91 ± 1.60 | 24.21 ± 2.44 | ||
| 90 | − | 0.17 ± 0.02 | 15.77 ± 3.89 | 12.30 ± 1.25 | 15.29 ± 2.83 | 17.29 ± 3.02 | 34.23 ± 1.36 | 30.89 ± 2.20 | ||
| 10 | 30 | − | 4.21 ± 0.66 | 8.15 ± 3.89 | 9.19 ± 3.60 | 13.83 ± 3.47 | 16.70 ± 5.33 | 31.75 ± 5.91 | 29.45 ± 3.61 | |
| 60 | − | 0.39 ± 0.21 | 8.82 ± 8.82 | 13.45 ± 1.65 | 16.71 ± 1.43 | 17.89 ± 7.00 | 31.22 ± 2.22 | 27.28 ± 3.39 | ||
| 90 | − | 0.27 ± 0.14 | 9.54 ± 2.26 | 10.70 ± 1.43 | 16.95 ± 1.06 | 16.07 ± 1.17 | 24.24 ± 2.45 | 22.51 ± 4.31 | ||
| 22 | 30 | − | 1.55 ± 0.52 | 7.06 ± 7.06 | 9.78 ± 1.38 | 17.71 ± 2.90 | 21.21 ± 2.59 | 39.54 ± 4.44 | 41.54 ± 2.90 | |
| 60 | − | 0.78 ± 0.89 | 12.49 ± 2.27 | 21.03 ± 2.02 | 29.51 ± 9.67 | 25.48 ± 7.00 | 53.05 ± 11.79 | 48.49 ± 5.68 | ||
| 90 | − | 0.20 ± 0.10 | 13.64 ± 2.81 | 13.14 ± 2.51 | 33.59 ± 1.06 | 23.32 ± 1.00 | 41.83 ± 10.42 | 41.71 ± 6.50 | ||
| Level of Significance (p−Value) | ||||||||||
| Drop height | Storage temperature | Storage duration | ||||||||
| a* | =0.0760 | =0.4460 | <0.0001 | |||||||
| Hue* | =0.0910 | <0.0001 | =0.0070 | |||||||
| Chroma* | =0.0350 | =0.0990 | <0.0001 | |||||||
| ΔE* | <0.0001 | <0.0001 | <0.0001 | |||||||
| Height = 30 cm; Storage = 5 °C | ||||||||||
|---|---|---|---|---|---|---|---|---|---|---|
| Parameters | BA | BAS | Wl% | Firmness | L* | a* | b* | Chroma* | Hue* | ∆E* |
| BA | 1 | |||||||||
| BAS | 1.000 ** | 1 | ||||||||
| Wl% | 0.988 ** | 0.988 ** | 1 | |||||||
| Firmness | −0.766 * | −0.766 * | −0.845 * | 1 | ||||||
| L* | 0.710 | 0.710 | 0.768 * | −0.749 * | 1 | |||||
| a* | −0.909 ** | −0.909 ** | −0.917 ** | 0.751 * | −0.800 * | 1 | ||||
| b* | 0.953 ** | 0.953 ** | 0.956 ** | −0.763 * | 0.754 * | −0.962 ** | 1 | |||
| Chroma* | 0.912 ** | 0.912 ** | 0.950 ** | −0.892 ** | 0.787 * | −0.865 ** | 0.917 ** | 1 | ||
| Hue* | −0.355 | −0.354 | −0.426 | 0.455 | −0.273 | 0.200 | −0.310 | −0.429 | 1 | |
| ∆E* | 0.918 ** | 0.918 ** | 0.934 ** | −0.741 | 0.892 ** | −0.992 ** | 0.958 ** | 0.873 * | −0.405 | 1 |
| TSS | 0.666 | 0.666 | 0.661 | −0.502 | 0.430 | −0.724 * | 0.794 * | 0.562 | −0.397 | 0.699 |
| Height = 60 cm; Storage = 5 °C | ||||||||||
| Parameters | BA | BAS | Wl% | Firmness | L* | a* | b* | Chroma* | Hue* | ∆E* |
| BA | 1 | |||||||||
| BAS | 1.000 ** | 1 | ||||||||
| Wl% | 0.610 | 0.610 | 1 | |||||||
| Firmness | −0.755 * | −0.755 * | −0.872 * | 1 | ||||||
| L* | 0.663 | 0.663 | 0.130 | −0.340 | 1 | |||||
| a* | 0.651 | 0.651 | 0.898 ** | −0.911 ** | 0.446 | 1 | ||||
| b* | −0.634 | −0.634 | −0.872 * | 0.881 ** | −0.524 | −0.982 ** | 1 | |||
| Chroma* | 0.531 | 0.531 | 0.837 * | −0.792 * | 0.522 | 0.857 ** | −0.928 ** | 1 | ||
| Hue* | −0.575 | −0.575 | −0.531 | 0.568 | −0.764 * | −0.741 * | 0.825 * | −0.819 * | 1 | |
| ∆E* | 0.559 | 0.559 | 0.930 ** | −0.855 * | 0.272 | 0.967 ** | −0.975 ** | 0.909 ** | −0.674 | 1 |
| TSS | 0.164 | 0.164 | 0.164 | −0.421 | 0.347 | 0.481 | −0.553 | 0.540 | −0.729 * | 0.332 |
| Height = 90; Storage = 5 °C | ||||||||||
| Parameters | BA | BAS | Wl% | Firmness | L* | a* | b* | Chroma* | Hue* | ∆E* |
| BA | 1 | |||||||||
| BAS | 1.000 ** | 1 | ||||||||
| Wl% | 0.262 | 0.262 | 1 | |||||||
| Firmness | −0.596 | −0.596 | −0.595 | 1 | ||||||
| L* | 0.304 | 0.304 | −0.287 | −0.358 | 1 | |||||
| a* | 0.515 | 0.515 | 0.821 * | −0.747 * | 0.373 | 1 | ||||
| b* | −0.517 | −0.517 | −0.811 * | 0.734 * | −0.371 | −0.999 ** | 1 | |||
| Chroma* | 0.441 | 0.441 | 0.938 ** | −0.777 * | 0.196 | 0.971 ** | −0.967 ** | 1 | ||
| Hue* | −0.610 | −0.610 | −0.843 * | 0.738 * | 0.131 | −0.654 | 0.644 | −0.779 * | 1 | |
| ∆E* | 0.459 | 0.459 | 0.842 * | −0.644 | 0.055 | 0.993 ** | −0.994 ** | 0.969 ** | −0.671 | 1 |
| TSS | −0.164 | −0.164 | 0.651 | 0.052 | −0.492 | 0.402 | −0.405 | 0.504 | −0.430 | 0.394 |
| Height = 30 cm; Storage 10 °C | ||||||||||
| Parameters | BA | BAS | Wl% | Firmness | L* | a* | b* | Chroma* | Hue* | ∆E* |
| BA | 1 | |||||||||
| BAS | 1.000 ** | 1 | ||||||||
| Wl% | 0.738 | 0.738 | 1 | |||||||
| Firmness | −0.533 | −0.533 | −0.907 ** | 1 | ||||||
| L* | 0.014 | 0.014 | 0.340 | −0.395 | 1 | |||||
| a* | −0.377 | −0.377 | −0.839 * | 0.835 ** | −0.643 | 1 | ||||
| b* | 0.606 | 0.606 | 0.973 ** | −0.910 ** | 0.592 | −0.949 ** | 1 | |||
| Chroma* | 0.593 | 0.593 | 0.967 ** | −0.905 ** | 0.598 | −0.957 ** | 1.000 ** | 1 | ||
| Hue* | −0.468 | −0.468 | −0.838 * | 0.934 ** | −0.090 | 0.686 | −0.787 * | −0.779 * | 1 | |
| ∆E* | 0.604 | 0.604 | 0.952 ** | −0.850 * | 0.516 | −0.891 ** | 0.982 ** | 0.979 ** | −0.763 * | 1 |
| TSS | 0.561 | 0.561 | 0.297 | −0.199 | 0.173 | −0.439 | 0.474 | 0.476 | −0.123 | 0.279 |
| Height = 60 cm; Storage 10 °C | ||||||||||
| Parameters | BA | BAS | Wl% | Firmness | L* | a* | b* | Chroma* | Hue* | ∆E* |
| BA | 1 | |||||||||
| BAS | 1.000 ** | 1 | ||||||||
| Wl% | 0.224 | 0.224 | 1 | |||||||
| Firmness | −0.243 | −0.243 | −0.966 ** | 1 | ||||||
| L* | 0.264 | 0.264 | 0.564 | −0.648 | 1 | |||||
| a* | 0.235 | 0.235 | −0.843 * | 0.855 ** | −0.655 | 1 | ||||
| b* | −0.160 | −0.160 | 0.879 ** | −0.881 ** | 0.640 | −0.993 ** | 1 | |||
| Chroma* | −0.174 | −0.174 | 0.874 * | −0.878 ** | 0.644 | −0.995 ** | 1.000 ** | 1 | ||
| Hue* | 0.161 | 0.161 | −0.731 | 0.659 | −0.379 | 0.798 * | −0.825 * | −0.823 * | 1 | |
| ∆E* | −0.067 | −0.067 | 0.933 ** | −0.887 ** | 0.619 | −0.956 ** | 0.973 ** | 0.972 ** | −0.818 * | 1 |
| TSS | 0.205 | 0.205 | −0.112 | −0.212 | 0.758 * | −0.284 | 0.257 | 0.262 | −0.008 | −0.018 |
| Height = 90 cm; Storage 10 °C | ||||||||||
| Parameters | BA | BAS | Wl% | Firmness | L* | a* | b* | Chroma* | Hue* | ∆E* |
| BA | 1 | |||||||||
| BAS | 1.000 ** | 1 | ||||||||
| Wl% | −0.281 | −0.281 | 1 | |||||||
| Firmness | 0.636 | 0.636 | −0.772 * | 1 | ||||||
| L* | 0.123 | 0.123 | 0.753 | −0.319 | 1 | |||||
| a* | 0.365 | 0.365 | −0.664 | 0.686 | −0.516 | 1 | ||||
| b* | −0.206 | −0.206 | 0.741 | −0.751 * | 0.416 | −0.923 ** | 1 | |||
| Chroma* | −0.189 | −0.189 | 0.730 | −0.744 * | 0.419 | −0.926 ** | 1.000 ** | 1 | ||
| Hue* | 0.159 | 0.159 | −0.629 | 0.586 | −0.084 | 0.413 | −0.646 | −0.639 | 1 | |
| ∆E* | −0.272 | −0.272 | 0.909 ** | −0.741 | 0.656 | −0.880 ** | 0.929 ** | 0.927 ** | −0.663 | 1 |
| TSS | 0.226 | 0.226 | 0.771 * | −0.414 | 0.791 * | −0.701 | 0.761 * | 0.763 * | −0.514 | 0.804 * |
| Height = 30 cm; Storage 22 °C | ||||||||||
| Parameters | BA | BAS | Wl% | Firmness | L* | a* | b* | Chroma* | Hue* | ∆E* |
| BA | 1 | |||||||||
| BAS | 1.000 ** | 1 | ||||||||
| Wl% | 0.505 | 0.505 | 1 | |||||||
| Firmness | −0.284 | −0.284 | −0.929 ** | 1 | ||||||
| L* | −0.106 | −0.106 | 0.522 | −0.595 | 1 | |||||
| a* | 0.617 | 0.617 | 0.944 ** | −0.881 ** | 0.636 | 1 | ||||
| b* | −0.477 | −0.477 | −0.912 ** | 0.874 ** | −0.713 * | −0.972 ** | 1 | |||
| Chroma* | 0.611 | 0.611 | 0.942 ** | −0.881 ** | 0.638 | −0.976 ** | 1.000 ** | 1 | ||
| Hue* | −0.433 | −0.433 | −0.918 ** | 0.897 ** | −0.609 | 0.782 * | −0.861 ** | −0.854 ** | 1 | |
| ∆E* | 0.594 | 0.594 | 0.952 ** | −0.870 * | 0.583 | −0.978 ** | 0.998 ** | 0.999 ** | −0.844 * | 1 |
| TSS | −0.159 | −0.159 | 0.118 | −0.297 | 0.595 | −0.295 | 0.208 | 0.211 | −0.277 | 0.162 |
| Height = 60 cm; Storage 22 °C | ||||||||||
| Parameters | BA | BAS | Wl% | Firmness | L* | a* | b* | Chroma* | Hue* | ∆E* |
| BA | 1 | |||||||||
| BAS | 1.000 ** | 1 | ||||||||
| Wl% | 0.382 | 0.376 | 1 | |||||||
| Firmness | −0.140 | −0.132 | −0.893 ** | 1 | ||||||
| L* | −0.077 | −0.083 | 0.758 * | −0.905 ** | 1 | |||||
| a* | −0.233 | −0.231 | −0.625 | 0.631 | −0.815 * | 1 | ||||
| b* | 0.213 | 0.208 | 0.946 ** | −0.845 ** | 0.807 * | −0.771 * | 1 | |||
| Chroma* | 0.219 | 0.213 | 0.951 ** | −0.850 ** | 0.815 * | −0.777 * | 1.000 ** | 1 | ||
| Hue* | −0.433 | −0.428 | −0.987 ** | 0.884 ** | −0.750 * | 0.639 | −0.918 ** | −0.923 ** | 1 | |
| ∆E* | 0.238 | 0.232 | 0.943 ** | −0.805 * | 0.804 * | −0.789 * | 0.991 ** | 0.993 ** | −0.898 ** | 1 |
| TSS | 0.484 | 0.476 | 0.689 | −0.728 * | 0.391 | −0.090 | 0.488 | 0.491 | −0.697 | 0.430 |
| Height = 90 cm; Storage 22 °C | ||||||||||
| Parameters | BA | BAS | Wl% | Firmness | L* | a* | b* | Chroma* | Hue* | ∆E* |
| BA | 1 | |||||||||
| BAS | 0.508 | 1 | ||||||||
| Wl% | −0.450 | 0.035 | 1 | |||||||
| Firmness | 0.268 | −0.254 | −0.762 * | 1 | ||||||
| L* | −0.018 | 0.224 | 0.587 | −0.306 | 1 | |||||
| a* | −0.216 | −0.039 | −0.421 | 0.552 | −0.461 | 1 | ||||
| b* | −0.206 | 0.152 | 0.954 ** | −0.764 * | 0.779 * | −0.627 | 1 | |||
| Chroma* | −0.195 | 0.162 | 0.953 ** | −0.770 * | 0.776 * | −0.649 | 1.000 ** | 1 | ||
| Hue* | 0.531 | 0.257 | −0.942 ** | 0.617 | −0.646 | 0.498 | −0.900 ** | −0.895 ** | 1 | |
| ∆E* | −0.146 | 0.142 | 0.922 ** | −0.724 | 0.676 | −0.699 | 0.969 ** | 0.976 ** | −0.855 * | 1 |
| TSS | −0.429 | −0.336 | 0.629 | −0.453 | 0.778 * | −0.675 | 0.740 * | 0.743 * | −0.761 * | 0.670 |
Disclaimer/Publisher’s Note: The statements, opinions and data contained in all publications are solely those of the individual author(s) and contributor(s) and not of MDPI and/or the editor(s). MDPI and/or the editor(s) disclaim responsibility for any injury to people or property resulting from any ideas, methods, instructions or products referred to in the content. |
© 2023 by the authors. Licensee MDPI, Basel, Switzerland. This article is an open access article distributed under the terms and conditions of the Creative Commons Attribution (CC BY) license (https://creativecommons.org/licenses/by/4.0/).
Share and Cite
Al-Hadrami, A.; Pathare, P.B.; Al-Dairi, M.; Al-Mahdouri, A. Investigation of Bruise Damage and Storage on Cucumber Quality. AgriEngineering 2023, 5, 855-875. https://doi.org/10.3390/agriengineering5020053
Al-Hadrami A, Pathare PB, Al-Dairi M, Al-Mahdouri A. Investigation of Bruise Damage and Storage on Cucumber Quality. AgriEngineering. 2023; 5(2):855-875. https://doi.org/10.3390/agriengineering5020053
Chicago/Turabian StyleAl-Hadrami, Aysha, Pankaj B. Pathare, Mai Al-Dairi, and Adil Al-Mahdouri. 2023. "Investigation of Bruise Damage and Storage on Cucumber Quality" AgriEngineering 5, no. 2: 855-875. https://doi.org/10.3390/agriengineering5020053
APA StyleAl-Hadrami, A., Pathare, P. B., Al-Dairi, M., & Al-Mahdouri, A. (2023). Investigation of Bruise Damage and Storage on Cucumber Quality. AgriEngineering, 5(2), 855-875. https://doi.org/10.3390/agriengineering5020053

