Predicting 1-Year Mortality in Patients with Non-ST Elevation Myocardial Infarction (NSTEMI) Using Survival Models and Aortic Pressure Signals Recorded During Cardiac Catheterization
Abstract
1. Introduction
2. Materials and Methods
2.1. Study Design and Study Population
2.2. Statistical Analysis
2.3. Pre-Processing and Detecting Dicrotic Notch
2.4. Feature Extraction
2.5. Feature Selection and Survival Models
2.6. Experimental Analysis
2.7. Model Explanation and Feature Importance
3. Results
3.1. Patients’ Characteristics
3.2. Results of Survival Analysis
3.3. Feature Importance Results Based on SHAP Method
4. Discussion
4.1. Comparison with Previous Studies on Predicting Mortality
4.2. Prediction Results
4.3. Characteristic Features
4.4. Limitations of the Study Features
5. Conclusions
Author Contributions
Funding
Institutional Review Board Statement
Informed Consent Statement
Data Availability Statement
Conflicts of Interest
Appendix A

| Feature | Definition and Purpose |
|---|---|
| Absolute pressures | |
| Diastolic blood pressure (DBP) Systolic blood pressure (SBP) Mean aortic pressure (MAP) Dicrotic notch pressure (DNP) | SBP, DBP, MAP, and DNP were extracted to capture important components of the AP waveform. SBP represents the maximum of the AP waveform, while DBP represents the minimum pressure just before the next contraction. Both SBP and DBP have been shown to independently influence the risk of adverse cardiovascular events [50]. MAP represents the average pressure in a person’s arteries during one cardiac cycle. We used the commonly used definition of MAP as (2 × DBP + SBP)/3. It has been shown that in patients with cardiogenic shock treated with inotropic therapy, lower MAP is associated with worse clinical outcomes [51]. DNP is the pressure at dicrotic notch (see Figure A1). A higher DNP indicates effective closure of the aortic valve [52]. In addition, we calculated this value to extract other features, such as DesP (described below). |
| Relative pressures | |
| Pulse pressure (PP) Relative dicrotic notch pressure (rDNP) Dicrotic notch index (DNIx) Descending pressure (DesP) Descending index (DesIx) | PP, defined as the difference between SBP and DBP, reflects the strength of each cardiac contraction. It is shown that PP measured at admission is an independent marker to predict mortality and recurrence of myocardial infarction in patients with acute coronary syndrome [53]. rDNP is the difference between dicrotic notch pressure and diastolic blood pressure. We extracted this feature and its index (DNIx, defined as the ratio of rDNP to PP) to examine their predictive power for predicting mortality in the NSTEMI cohort. DesP, the difference between systolic blood pressure and dicrotic notch pressure at the aortic level, serves as a marker of ventricular-arterial coupling. DesIx which Is the divide of DesP over PP has been shown that can be used to detect aortic regurgitation [54]. |
| Durations | |
| Duration heartbeat (DBP) Heartrate (HR) Duration systole (DS) Duration upstroke systole (DUS) Duration downstroke systole (DDS) Duration diastole (DD) Descending time (DesT) Overall time (OT) | HR is the heart rate measured in beats per minute (bpm), and it has previously been shown to be an independent predictor of adverse outcomes in patients with coronary artery disease [55]. It has been reported that the duration from the start of the arterial pressure waveform to the dicrotic notch reflects systolic function [52]. Moreover, in patients with impaired cardiac contractility, an increased heart rate often acts as a compensatory mechanism to maintain cardiac output. This can affect the timing of different parts of the cardiac cycle. Therefore, we extracted several timing-related features from the AP waveform, even though some of them have not previously been linked to outcomes in patients with myocardial infarction. Specifically, we measured the upstroke and downstroke portions of systole, as well as overall systolic and diastolic intervals, to capture changes in cardiac function. Moreover, we extracted the overall time of the cardiac catheterization (OT), as a longer duration may suggest that the procedure was more complex or challenging. The exact definition of each duration is listed in Table 1. |
| Slopes | |
| Systolic upstroke slope (SUS) Systolic downstroke slope (SDS) Maximum slope (MS) | Abrupt myocardial damage compromises the myocardial ability to maintain adequate amount of blood ejected per heartbeat (also known as stroke volume). Patients with low stroke volume have slow uprise of the AP tracing, or smaller AUCp [56,57]. A slow uprise can be captured using SUS, which is the slope of the line from the start of the AP waveform to the systolic peak. In addition to SUS, we calculated other slopes that might be important in patients with NSTEMI. |
| Areas | |
| Area under the pressure curve (AUCp) Systolic area (SysA) Diastolic area (DiaA) Myocardial oxygen supply/demand ratio (O2ratio) Ascending area (AscA) Descending area (DesA) Area ratio (AR) | As mentioned in the slopes section, patients who eject a smaller amount of blood per heartbeat may have a smaller area under the AP curve, represented as AUCp in this study. Aside from AUCp, myocardial infarction can impair the heart’s ability to pump blood during systole. For example, MI can reduce cardiac contractility [58], which in turn may affect the area under the systolic curve (SysA). The myocardial oxygen supply/demand ratio reflects the myocardial oxygenation, specially subendocardial myocardial ischemia due to imbalance between myocardial oxygen supply and demand [46]. In addition, we extracted areas from other parts of the AP waveform to determine whether any of them could help identify patients at risk of mortality in the NSTEMI cohort. The definitions of these features, along with the parts of the waveform from which they were extracted, are listed in Table 1. |
| Other | |
| Fractal dimension of p (FDp) Skewness of p (SK) Kurtosis of p (KU) Spectral entropy of p (SE) Average spectral power of p (Pave) Maximum spectral power (MSP) Maximum spectral power frequency (MSPF) Shock index (SI) Age shock index (SI_age) Modified shock index (mSI) Age-modified shock index (mSI_age) | Other than pressures, slopes, durations, and areas, we extracted additional features that we suspected might be important for identifying NSTEMI patients at risk of mortality. The FDp is the fractal dimension of each AP waveform. In time-series analysis, fractal dimension provides a measure of how complex or irregular a waveform is [59]. Skewness (SK) quantifies the asymmetry of the waveform, while kurtosis (KU) assesses whether the waveform has heavier or lighter tails compared to a normal distribution. We used these features to identify potential patterns that may help in detecting high-risk NSTEMI patients SE, Pave, MSP, and MSPF were the only features extracted from the frequency domain to assess whether they carried information relevant to mortality prediction. For example, SE measures the irregularity or complexity of a signal in the frequency domain, while Pave indicates the mean energy of the signal. MSP and MSPF represent the dominant spectral peak and its corresponding frequency, respectively. SI is defined as heart rate divided by systolic blood pressure. It was first introduced as an additional tool for evaluating hemodynamic stability of patients [60]. Since then, it has been widely used for risk stratification; for example, it has been applied to predict short-term adverse outcomes in STEMI patients [61] and to predict in-hospital mortality in NSTEMI patients [62]. The modified shock index (mSI) is defined as the ratio of heart rate to mean arterial pressure. SI_age and mSI_age are like SI and mSI but are calculated by multiplying SI and mSI by age. A study demonstrated that SI_age and mSI_age are even better predictors than SI and mSI for in-hospital cardiovascular events, as well as 6-month and long-term all-cause mortality, in a STEMI cohort [45]. |
| Model | Hyperparameter | Values |
|---|---|---|
| RSF | n_estimators | 50–1000 |
| max_depth | None (no limit), 1–20 | |
| min_samples_split | 1–20 | |
| min_samples_leaf | 1–20 | |
| max_features | Sqrt, none (all features) | |
| DeepSurv | optimizer | AdamW |
| activation | SELU, ReLU | |
| number of layers | 2–5 | |
| number of nodes | 16, 32, 64, 128, 256, 512 | |
| dropout rate | 0.001, 0.01, 0.1, 0.2, 0.3, 0.4, 0.5, 0.6, 0.7, 0.8 | |
| learning rate | 0.0001–0.1 | |
| weight decay | 0, 0.0001–0.01 |












References
- Salari, N.; Morddarvanjoghi, F.; Abdolmaleki, A.; Rasoulpoor, S.; Khaleghi, A.A.; Hezarkhani, L.A.; Shohaimi, S.; Mohammadi, M. The Global Prevalence of Myocardial Infarction: A Systematic Review and Meta-Analysis. BMC Cardiovasc. Disord. 2023, 23, 206. [Google Scholar] [CrossRef]
- McManus, D.D.; Gore, J.; Yarzebski, J.; Spencer, F.; Lessard, D.; Goldberg, R.J. Recent Trends in the Incidence, Treatment, and Outcomes of Patients with STEMI and NSTEMI. Am. J. Med. 2011, 124, 40–47. [Google Scholar] [CrossRef]
- Widimsky, P.; Wijns, W.; Fajadet, J.; De Belder, M.; Knot, J.; Aaberge, L.; Andrikopoulos, G.; Baz, J.A.; Betriu, A.; Claeys, M.; et al. Reperfusion Therapy for ST Elevation Acute Myocardial Infarction in Europe: Description of the Current Situation in 30 Countries. Eur. Heart J. 2010, 31, 943–957. [Google Scholar] [CrossRef] [PubMed]
- Puymirat, E.; Simon, T.; Cayla, G.; Cottin, Y.; Elbaz, M.; Coste, P.; Lemesle, G.; Motreff, P.; Popovic, B.; Khalife, K.; et al. Acute Myocardial Infarction: Changes in Patient Characteristics, Management, and 6-Month Outcomes over a Period of 20 Years in the FAST-MI Program (French Registry of Acute ST-Elevation or Non-ST-Elevation Myocardial Infarction) 1995 to 2015. Circulation 2017, 136, 1908–1919. [Google Scholar] [CrossRef] [PubMed]
- Rosamond, W.D.; Chambless, L.E.; Heiss, G.; Mosley, T.H.; Coresh, J.; Whitsel, E.; Wagenknecht, L.; Ni, H.; Folsom, A.R. Twenty-Two-Year Trends in Incidence of Myocardial Infarction, Coronary Heart Disease Mortality, and Case Fatality in 4 US Communities, 1987–2008. Circulation 2012, 125, 1848–1857. [Google Scholar] [CrossRef] [PubMed]
- Morrow, D.A.; Antman, E.M.; Charlesworth, A.; Cairns, R.; Murphy, S.A.; de Lemos, J.A.; Giugliano, R.P.; McCabe, C.H.; Braunwald, E. TIMI Risk Score for ST-Elevation Myocardial Infarction: A Convenient, Bedside, Clinical Score for Risk Assessment at Presentation. Circulation 2000, 102, 2031–2037. [Google Scholar] [CrossRef]
- Fox, K.A.A.; Dabbous, O.H.; Goldberg, R.J.; Pieper, K.S.; Eagle, K.A.; Van de Werf, F.; Avezum, Á.; Goodman, S.G.; Flather, M.D.; Anderson, F.A. Prediction of Risk of Death and Myocardial Infarction in the Six Months after Presentation with Acute Coronary Syndrome: Prospective Multinational Observational Study (GRACE). BMJ 2006, 333, 1091. [Google Scholar] [CrossRef]
- Antman, E.M.; Cohen, M.; Bernink, P.J.L.M.; McCabe, C.H.; Horacek, T.; Papuchis, G.; Mautner, B.; Corbalan, R.; Radley, D.; Braunwald, E. The TIMI Risk Score for Unstable Angina/Non–ST Elevation MI: A Method for Prognostication and Therapeutic Decision Making. JAMA 2000, 284, 835–842. [Google Scholar] [CrossRef]
- Eagle, K.A.; Lim, M.J.; Dabbous, O.H.; Pieper, K.S.; Goldberg, R.J.; Van de Werf, F.; Goodman, S.G.; Granger, C.B.; Steg, P.G.; Gore, J.M. A Validated Prediction Model for All Forms of Acute Coronary Syndrome: Estimating the Risk of 6-Month Postdischarge Death in an International Registry. JAMA 2004, 291, 2727–2733. [Google Scholar] [CrossRef]
- Aziz, F.; Malek, S.; Ibrahim, K.S.; Raja Shariff, R.E.; Wan Ahmad, W.A.; Ali, R.M.; Liu, K.T.; Selvaraj, G.; Kasim, S. Short- and Long-Term Mortality Prediction after an Acute ST-Elevation Myocardial Infarction (STEMI) in Asians: A Machine Learning Approach. PLoS ONE 2021, 16, e0254894. [Google Scholar] [CrossRef]
- Kasim, S.; Amir Rudin, P.N.F.; Malek, S.; Aziz, F.; Wan Ahmad, W.A.; Ibrahim, K.S.; Muhmad Hamidi, M.H.; Raja Shariff, R.E.; Fong, A.Y.Y.; Song, C. Data Analytics Approach for Short-and Long-Term Mortality Prediction Following Acute Non-ST-Elevation Myocardial Infarction (NSTEMI) and Unstable Angina (UA) in Asians. PLoS ONE 2024, 19, e0298036. [Google Scholar] [CrossRef] [PubMed]
- Razavi, S.R.; Zaremba, A.C.; Szun, T.; Cheung, S.; Shah, A.H.; Moussavi, Z. Comprehensive Prediction of Outcomes in Patients with ST Elevation Myocardial Infarction (STEMI) Using Tree-Based Machine Learning Algorithms. Comput. Biol. Med. 2025, 184, 109439. [Google Scholar] [CrossRef] [PubMed]
- Liu, Y.; Du, L.; Li, L.; Xiong, L.; Luo, H.; Kwaku, E.; Mei, X.; Wen, C.; Cui, Y.Y.; Zhou, Y. Development and Validation of a Machine Learning-Based Readmission Risk Prediction Model for Non-ST Elevation Myocardial Infarction Patients After Percutaneous Coronary Intervention. Sci. Rep. 2024, 14, 13393. [Google Scholar] [CrossRef]
- Razavi, S.R.; Szun, T.; Zaremba, A.C.; Cheung, S.; Shah, A.H.; Moussavi, Z. Predicting Prolonged Length of In-Hospital Stay in Patients with Non-ST Elevation Myocardial Infarction (NSTEMI) Using Artificial Intelligence. Int. J. Cardiol. 2025, 432, 133267. [Google Scholar] [CrossRef]
- Hadanny, A.; Shouval, R.; Wu, J.; Gale, C.P.; Unger, R.; Zahger, D.; Gottlieb, S.; Matetzky, S.; Goldenberg, I.; Beigel, R. Machine Learning-Based Prediction of 1-Year Mortality for Acute Coronary Syndrome✰. J. Cardiol. 2022, 79, 342–351. [Google Scholar] [CrossRef]
- Wang, Y.; Deng, Y.; Tan, Y.; Zhou, M.; Jiang, Y.; Liu, B. A Comparison of Random Survival Forest and Cox Regression for Prediction of Mortality in Patients with Hemorrhagic Stroke. BMC Med. Inform. Decis. Mak. 2023, 23, 215. [Google Scholar] [CrossRef] [PubMed]
- Blacher, J.; Asmar, R.; Djane, S.; London, G.M.; Safar, M.E. Aortic Pulse Wave Velocity as a Marker of Cardiovascular Risk in Hypertensive Patients. Hypertension 1999, 33, 1111–1117. [Google Scholar] [CrossRef]
- Hametner, B.; Wassertheurer, S.; Mayer, C.C.; Danninger, K.; Binder, R.K.; Weber, T. Aortic Pulse Wave Velocity Predicts Cardiovascular Events and Mortality in Patients Undergoing Coronary Angiography. Hypertension 2021, 77, 571–581. [Google Scholar] [CrossRef]
- Razavi, S.R.; Szun, T.; Zaremba, A.C.; Shah, A.H.; Moussavi, Z. 1-Year Mortality Prediction through Artificial Intelligence Using Hemodynamic Trace Analysis among Patients with ST Elevation Myocardial Infarction. Medicina 2024, 60, 558. [Google Scholar] [CrossRef]
- Singh, O.; Sunkaria, R.K. Detection of Onset, Systolic Peak and Dicrotic Notch in Arterial Blood Pressure Pulses. Meas. Control 2017, 50, 170–176. [Google Scholar] [CrossRef]
- Oppenheim, M.J.; Sittig, D.F. An Innovative Dicrotic Notch Detection Algorithm Which Combinesrule-Based Logic with Digital Signal Processing Techniques. Comput. Biomed. Res. 1995, 28, 154–170. [Google Scholar] [CrossRef]
- Mair, P.; Wilcox, R. Robust Statistical Methods in R Using the WRS2 Package. Behav. Res. Methods 2020, 52, 464–488. [Google Scholar] [CrossRef]
- Simon, N.; Friedman, J.H.; Hastie, T.; Tibshirani, R. Regularization Paths for Cox’s Proportional Hazards Model via Coordinate Descent. J. Stat. Softw. 2011, 39, 1–13. [Google Scholar] [CrossRef]
- David, C.R. Regression Models and Life Tables (with Discussion). J. R. Stat. Soc. 1972, 34, 187–220. [Google Scholar]
- Katzman, J.L.; Shaham, U.; Cloninger, A.; Bates, J.; Jiang, T.; Kluger, Y. DeepSurv: Personalized Treatment Recommender System Using a Cox Proportional Hazards Deep Neural Network. BMC Med. Res. Methodol. 2018, 18, 24. [Google Scholar] [CrossRef] [PubMed]
- Ishwaran, H.; Kogalur, U.B.; Blackstone, E.H.; Lauer, M.S. Random Survival Forests. Ann. Appl. Stat. 2008, 2, 841–860. [Google Scholar] [CrossRef]
- Nikulin, M.; Wu, H.-D.I. The Cox Model and Its Applications; Springer: Berlin/Heidelberg, Germany, 2016; ISBN 3662493322. [Google Scholar]
- Teshale, A.B.; Htun, H.L.; Vered, M.; Owen, A.J.; Freak-Poli, R. A Systematic Review of Artificial Intelligence Models for Time-to-Event Outcome Applied in Cardiovascular Disease Risk Prediction. J. Med. Syst. 2024, 48, 68. [Google Scholar] [CrossRef]
- Pölsterl, S. Scikit-Survival: A Library for Time-to-Event Analysis Built on Top of Scikit-Learn. J. Mach. Learn. Res. 2020, 21, 1–6. [Google Scholar]
- Uno, H.; Cai, T.; Pencina, M.J.; D’Agostino, R.B.; Wei, L.J. On the C-Statistics for Evaluating Overall Adequacy of Risk Prediction Procedures with Censored Survival Data. Stat. Med. 2011, 30, 1105–1117. [Google Scholar] [CrossRef]
- Graf, E.; Schmoor, C.; Sauerbrei, W.; Schumacher, M. Assessment and Comparison of Prognostic Classification Schemes for Survival Data. Stat. Med. 1999, 18, 2529–2545. [Google Scholar] [CrossRef]
- Lambert, J.; Chevret, S. Summary Measure of Discrimination in Survival Models Based on Cumulative/Dynamic Time-Dependent ROC Curves. Stat. Methods Med. Res. 2016, 25, 2088–2102. [Google Scholar] [CrossRef]
- Vickers, A.J.; Elkin, E.B. Decision Curve Analysis: A Novel Method for Evaluating Prediction Models. Med. Decis. Mak. 2006, 26, 565–574. [Google Scholar] [CrossRef]
- Vickers, A.J.; Holland, F. Decision Curve Analysis to Evaluate the Clinical Benefit of Prediction Models. Spine J. 2021, 21, 1643–1648. [Google Scholar] [CrossRef]
- Lundberg, S.M.; Lee, S.I. A Unified Approach to Interpreting Model Predictions. In Proceedings of the Advances in Neural Information Processing Systems, Long Beach, CA, USA, 4–9 December 2017. [Google Scholar]
- Ning, Y.; Ong, M.E.H.; Chakraborty, B.; Goldstein, B.A.; Ting, D.S.W.; Vaughan, R.; Liu, N. Shapley Variable Importance Cloud for Interpretable Machine Learning. Patterns 2022, 3, 100452. [Google Scholar] [CrossRef]
- Shi, T.; Yang, J.; Zhou, Y.; Yang, S.; Yang, F.; Ma, X.; Peng, Y.; Pu, J.; Wei, H.; Chen, L. Survival Prediction Modelling in Patients with Acute ST-Segment Elevation Myocardial Infarction with LASSO Regression and Explainable Machine Learning. Front. Med. 2025, 12, 1594273. [Google Scholar] [CrossRef]
- Nedkoff, L.; Greenland, M.; Hyun, K.; Htun, J.P.; Redfern, J.; Stiles, S.; Sanfilippo, F.; Briffa, T.; Chew, D.P.; Brieger, D. Sex- and Age-Specific Differences in Risk Profiles and Early Outcomes in Adults with Acute Coronary Syndromes. Heart Lung Circ. 2024, 33, 332–341. [Google Scholar] [CrossRef]
- Gansevoort, R.T.; Correa-Rotter, R.; Hemmelgarn, B.R.; Jafar, T.H.; Heerspink, H.J.L.; Mann, J.F.; Matsushita, K.; Wen, C.P. Chronic Kidney Disease and Cardiovascular Risk: Epidemiology, Mechanisms, and Prevention. Lancet 2013, 382, 339–352. [Google Scholar] [CrossRef]
- Tonelli, M.; Wiebe, N.; Culleton, B.; House, A.; Rabbat, C.; Fok, M.; McAlister, F.; Garg, A.X. Chronic Kidney Disease and Mortality Risk: A Systematic Review. J. Am. Soc. Nephrol. 2006, 17, 2034–2047. [Google Scholar]
- Ramzy, J.; Andrianopoulos, N.; Roberts, L.; Duffy, S.J.; Clark, D.; Teh, A.W.; Ajani, A.E.; Reid, C.M.; Brennan, A.; Freeman, M. Outcomes in Patients with Peripheral Vascular Disease Following Percutaneous Coronary Intervention. Catheter. Cardiovasc. Interv. 2019, 94, 588–597. [Google Scholar] [CrossRef] [PubMed]
- Szun, T.; Zaremba, A.; Dokollari, A.; Bews, H.; Cheung, S.; Tam, J.; Liu, S.; So, D.; van Diepen, S.; Shah, A.H. CArdiovasculaR Outcomes Based upon EjectIon Systolic TimE in Patients with ST Elevation Myocardial Infarction (ARISE-STEMI) Study. CJC Open 2024, 7, 516–524. [Google Scholar] [CrossRef] [PubMed]
- Nichols, W.W.; O’Rourke, M.F.; Edelman, E.R.; Vlachopoulos, C. McDonald’s Blood Flow in Arteries: Theoretical, Experimental and Clinical Principles, 7th ed.; CRC Press: Boca Raton, FL, USA, 2022; ISBN 9781351253758. [Google Scholar]
- Tripathy, R.K.; Bhattacharyya, A.; Pachori, R.B. A Novel Approach for Detection of Myocardial Infarction from ECG Signals of Multiple Electrodes. IEEE Sens. J. 2019, 19, 4509–4517. [Google Scholar] [CrossRef]
- Zhou, J.; Shan, P.R.; Xie, Q.L.; Zhou, X.D.; Cai, M.X.; Xu, T.C.; Huang, W.J. Age Shock Index and Age-Modified Shock Index Are Strong Predictors of Outcomes in ST-Segment Elevation Myocardial Infarction Patients Undergoing Emergency Percutaneous Coronary Intervention. Coron. Artery Dis. 2019, 30, 398–405. [Google Scholar] [CrossRef] [PubMed]
- Hoffman, J.I.E.; Buckberg, G.D. The Myocardial Supply: Demand Ratio—A Critical Review. Am. J. Cardiol. 1978, 41, 327–332. [Google Scholar] [CrossRef] [PubMed]
- Buckberg, G.D.; Fixler, D.E.; Archie, J.P.; Hoffman, J.I.E. Experimental Subendocardial Ischemia in Dogs with Normal Coronary Arteries. Circ. Res. 1972, 30, 67–81. [Google Scholar] [CrossRef] [PubMed]
- Lee, C.; Zame, W.; Yoon, J.; Van Der Schaar, M. Deephit: A Deep Learning Approach to Survival Analysis with Competing Risks. In Proceedings of the AAAI Conference on Artificial Intelligence, New Orleans, LA, USA, 2–7 February 2018; Volume 32. [Google Scholar]
- Hizoh, I.; Domokos, D.; Banhegyi, G.; Becker, D.; Merkely, B.; Ruzsa, Z. Mortality Prediction Algorithms for Patients Undergoing Primary Percutaneous Coronary Intervention. J. Thorac. Dis. 2020, 12, 1706–1720. [Google Scholar] [CrossRef]
- Flint, A.C.; Conell, C.; Ren, X.; Banki, N.M.; Chan, S.L.; Rao, V.A.; Melles, R.B.; Bhatt, D.L. Effect of Systolic and Diastolic Blood Pressure on Cardiovascular Outcomes. N. Engl. J. Med. 2019, 381, 243–251. [Google Scholar] [CrossRef] [PubMed]
- Parlow, S.; Di Santo, P.; Mathew, R.; Jung, R.G.; Simard, T.; Gillmore, T.; Mao, B.; Abdel-Razek, O.; Ramirez, F.D.; Marbach, J.A.; et al. The Association between Mean Arterial Pressure and Outcomes in Patients with Cardiogenic Shock: Insights from the DOREMI Trial. Eur. Hear. J. Acute Cardiovasc. Care 2021, 10, 712–720. [Google Scholar] [CrossRef]
- Abushouk, A.; Kansara, T.; Abdelfattah, O.; Badwan, O.; Hariri, E.; Chaudhury, P.; Kapadia, S.R. The Dicrotic Notch: Mechanisms, Characteristics, and Clinical Correlations. Curr. Cardiol. Rep. 2023, 25, 807–816. [Google Scholar] [CrossRef]
- Harbaoui, B.; Nanchen, D.; Lantelme, P.; Gencer, B.; Heg, D.; Klingenberg, R.; Räber, L.; Carballo, D.; Matter, C.M.; Windecker, S. Prognostic Value of Pulse Pressure after an Acute Coronary Syndrome. Atherosclerosis 2018, 277, 219–226. [Google Scholar] [CrossRef]
- Mohananey, D.; Narayanswami, J.; Kumar, A.; Sammour, Y.; Mick, S.; Navia, J.; Tuzcu, E.M.; Krishnaswamy, A.; Kapadia, S. Association of a Novel Hemodynamic Index with Aortic Regurgitation after TAVR with the Edwards SAPIEN Valve. JACC Cardiovasc. Interv. 2019, 12, 1194–1195. [Google Scholar] [CrossRef]
- Zheng, Y.Y.; Wu, T.T.; Chen, Y.; Hou, X.G.; Yang, Y.; Ma, X.; Ma, Y.T.; Zhang, J.Y.; Xie, X. Resting Heart Rate and Long-Term Outcomes in Patients with Percutaneous Coronary Intervention: Results from a 10-Year Follow-Up of the CORFCHD-PCI Study. Cardiol. Res. Pract. 2019, 2019, 76. [Google Scholar] [CrossRef]
- Patel, P.A.; Ambrosy, A.P.; Phelan, M.; Alenezi, F.; Chiswell, K.; Van Dyke, M.K.; Tomfohr, J.; Honarpour, N.; Velazquez, E.J. Association between Systolic Ejection Time and Outcomes in Heart Failure by Ejection Fraction. Eur. J. Heart Fail. 2020, 22, 1174–1182. [Google Scholar] [CrossRef]
- Reant, P.; Dijos, M.; Donal, E.; Mignot, A.; Ritter, P.; Bordachar, P.; Dos Santos, P.; Leclercq, C.; Roudaut, R.; Habib, G.; et al. Systolic Time Intervals as Simple Echocardiographic Parameters of Left Ventricular Systolic Performance: Correlation with Ejection Fraction and Longitudinal Two-Dimensional Strain. Eur. J. Echocardiogr. 2010, 11, 834–844. [Google Scholar] [CrossRef]
- Witayavanitkul, N.; Ait Mou, Y.; Kuster, D.W.D.; Khairallah, R.J.; Sarkey, J.; Govindan, S.; Chen, X.; Ge, Y.; Rajan, S.; Wieczorek, D.F. Myocardial Infarction-Induced N-Terminal Fragment of Cardiac Myosin-Binding Protein C (CMyBP-C) Impairs Myofilament Function in Human Myocardium. J. Biol. Chem. 2014, 289, 8818–8827. [Google Scholar] [CrossRef] [PubMed]
- Katz, M.J.; George, E.B. Fractals and the Analysis of Growth Paths. Bull. Math. Biol. 1985, 47, 273–286. [Google Scholar] [CrossRef] [PubMed]
- Allgöwer, M.; Burri, C. Schockindex. DMW-Dtsch. Med. Wochenschr. 1967, 92, 1947–1950. [Google Scholar] [CrossRef]
- Huang, B.; Yang, Y.; Zhu, J.; Liang, Y.; Tan, H.; Yu, L.; Gao, X.; Li, J. Usefulness of the Admission Shock Index for Predicting Short-Term Outcomes in Patients with ST-Segment Elevation Myocardial Infarction. Am. J. Cardiol. 2014, 114, 1315–1321. [Google Scholar] [CrossRef] [PubMed]
- Kobayashi, A.; Misumida, N.; Luger, D.; Kanei, Y. Shock Index as a Predictor for In-Hospital Mortality in Patients with Non-ST-Segment Elevation Myocardial Infarction. Cardiovasc. Revasc. Med. 2016, 17, 225–228. [Google Scholar] [CrossRef]




| Feature | Abbreviation | Definition |
|---|---|---|
| Absolute pressures | ||
| Diastolic blood pressure | DBP | ) |
| Systolic blood pressure | SBP | ) |
| Mean aortic pressure | MAP | (2 × DBP + SBP)/3 |
| Dicrotic notch pressure | DNP | @ dicrotic notch |
| Relative pressures | ||
| Pulse pressure | PP | SBP − DBP |
| Relative dicrotic notch pressure | rDNP | DNP − DBP |
| Dicrotic notch index | DNIx | (rDNP/PP) * 100 |
| Descending pressure | DesP | SBP − DNP |
| Descending index | DesIx | (DesP/PP) * 100 |
| Durations | ||
| Duration heartbeat | DHB | (t @ end) |
| Heartrate | HR | 60/(t @ end) |
| Duration systole | DS | t @ dicrotic notch |
| Duration upstroke systole | DUS | t @ systolic peak |
| Duration downstroke systole | DDS | DS − DUS |
| Duration diastole | DD | DHB − DS |
| Descending time | DesT | DHB − DUS |
| Overall time | OT | whole time of the cardiac catheterization procedure |
| Slopes | ||
| Systolic upstroke slope | SUS | (SBP − DBP)/DUS |
| Systolic downstroke slope | SDS | (DNP − SBP)/DDS |
| Maximum slope | MS | ′) |
| Areas | ||
| Area under the pressure curve | AUCp | |
| Systolic area | SysA | |
| Diastolic area | DiaA | (diastole) |
| Myocardial oxygen supply/demand ratio | O2ratio | DiaA/SysA |
| Ascending area | AscA | |
| Descending area | DesA | AUCp − AscA |
| Area ratio | AR | AscA/DesA |
| Other | ||
| Fractal dimension of p | FDp | |
| Skewness of p | SK | |
| Kurtosis of p | KU | |
| Spectral entropy of p | SE | - Sum (norm (PSD) × log2(norm (PSD))) |
| Average spectral power of p | Pave | Sum (PSD)/N |
| Maximum spectral power | MSP | Maximum amplitude of PSD |
| Maximum spectral power frequency | MSPF | Frequency of the maximum amplitude of PSD |
| Shock index | SI | HR/SBP |
| Age shock index | SI_age | Age × SI |
| Modified shock index | mSI | HR/MAP |
| Age-modified shock index | mSI_age | Age × mSI |
| Characteristics | Total | No Death | Death < 1 Year | No Death vs. Death < 1 Year | |
|---|---|---|---|---|---|
| # of patients | 497 | 466 (93.76%) | 31 (6.24%) | p-value | Effect Size |
| Demographics | |||||
| Age, years | 66.3 ± 12.9 | 65.5 ± 12.7 | 78.4 ± 10.2 | **** | 1.02 |
| Sex (female/male) | 187 (37.6%)/ 310 (62.4%) | 175 (37.6%)/ 291 (62.4%) | 12 (38.7%)/ 31 (61.3%) | NS | 0.01 |
| Height, cm | 168.86 ± 10.07 | 168.97 ± 10.08 | 167.29 ± 10.05 | NS | 0.17 |
| Weight, kg | 85.43 ± 21.04 | 85.74 ± 20.82 | 80.78 ± 23.97 | NS | 0.24 |
| BMI, kg/m2 | 29.83 ± 6.31 | 29.91 ± 6.28 | 28.53 ± 6.73 | NS | 0.22 |
| Risk Factors | |||||
| Hypertension | 359 (72.23%) | 329 (70.60%) | 30 (96.77%) | ** | 0.14 |
| DM | 187 (37.63%) | 166 (35.62%) | 21 (67.74%) | *** | 0.16 |
| Dyslipidemia | 279 (56.14%) | 256 (54.94%) | 23 (74.19%) | * | 0.09 |
| Stroke or TIA | 34 (6.84%) | 32 (6.87%) | 2 (6.45%) | NS | 0.00 |
| PVD | 30 (6.04%) | 16 (3.43%) | 14 (45.16%) | **** | 0.42 |
| CKD | 80 (16.10%) | 66 (14.16%) | 14 (45.16%) | **** | 0.22 |
| Dialysis | 9 (1.81%) | 6 (1.29%) | 3 (9.68%) | * | 0.15 |
| History of IHD | 170 (34.21%) | 153 (32.83%) | 17 (54.84%) | * | 0.11 |
| PCI or CABG | 140 (28.17%) | 125 (26.82%) | 15 (48.39%) | ** | 0.12 |
| Catheterization Data | |||||
| ESP, s/min | 18.68 ± 3.17 | 18.80 ± 3.17 | 16.80 ± 2.44 | **** | 0.64 |
| EST, s/beat | 0.25 ± 0.04 | 0.25 ± 0.04 | 0.21 ± 0.04 | **** | 1.07 |
| Model | Folds | Results | ||
|---|---|---|---|---|
| C-Index | IBS | Mean Time-Dependent AUC | ||
| CPH | Fold 1 | 0.869 | 0.030 | 0.868 |
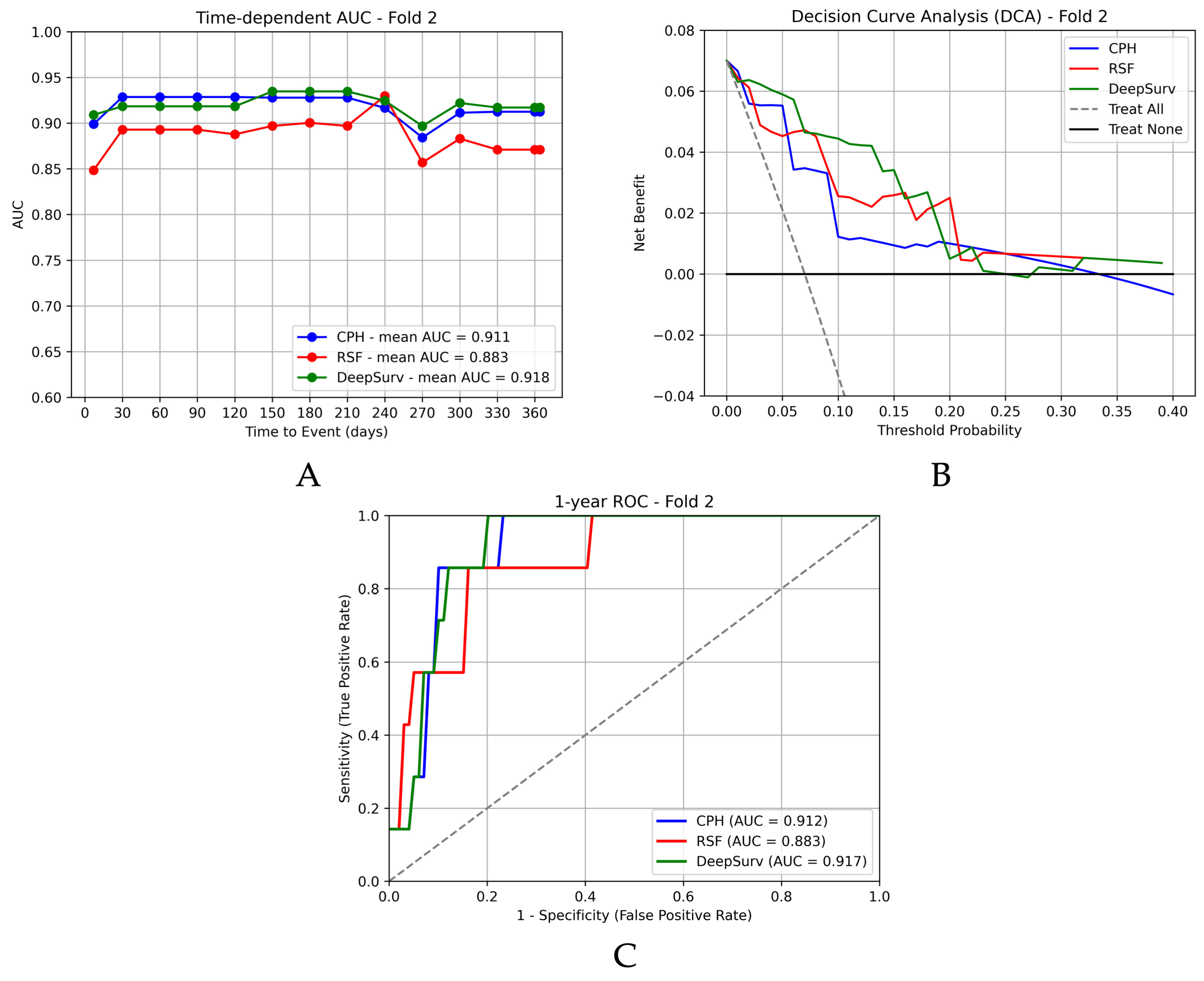
| Fold 2 | 0.902 | 0.045 | 0.911 | |
| Fold 3 | 0.887 | 0.034 | 0.934 | |
| Fold 4 | 0.846 | 0.033 | 0.832 | |
| Fold 5 | 0.894 | 0.040 | 0.897 | |
| Average | 0.880 | 0.036 | 0.888 | |
| RSF | Fold 1 | 0.902 | 0.033 | 0.900 |
| Fold 2 | 0.872 | 0.031 | 0.883 | |
| Fold 3 | 0.921 | 0.030 | 0.925 | |
| Fold 4 | 0.873 | 0.035 | 0.888 | |
| Fold 5 | 0.904 | 0.035 | 0.908 | |
| Average | 0.894 | 0.033 | 0.901 | |
| DeepSurv | Fold 1 | 0.922 | 0.024 | 0.916 |
| Fold 2 | 0.906 | 0.031 | 0.918 | |
| Fold 3 | 0.972 | 0.022 | 0.979 | |
| Fold 4 | 0.944 | 0.029 | 0.954 | |
| Fold 5 | 0.932 | 0.033 | 0.938 | |
| Average | 0.935 | 0.028 | 0.939 | |
Disclaimer/Publisher’s Note: The statements, opinions and data contained in all publications are solely those of the individual author(s) and contributor(s) and not of MDPI and/or the editor(s). MDPI and/or the editor(s) disclaim responsibility for any injury to people or property resulting from any ideas, methods, instructions or products referred to in the content. |
© 2026 by the authors. Licensee MDPI, Basel, Switzerland. This article is an open access article distributed under the terms and conditions of the Creative Commons Attribution (CC BY) license.
Share and Cite
Razavi, S.R.; Shah, A.H.; Moussavi, Z. Predicting 1-Year Mortality in Patients with Non-ST Elevation Myocardial Infarction (NSTEMI) Using Survival Models and Aortic Pressure Signals Recorded During Cardiac Catheterization. Signals 2026, 7, 15. https://doi.org/10.3390/signals7010015
Razavi SR, Shah AH, Moussavi Z. Predicting 1-Year Mortality in Patients with Non-ST Elevation Myocardial Infarction (NSTEMI) Using Survival Models and Aortic Pressure Signals Recorded During Cardiac Catheterization. Signals. 2026; 7(1):15. https://doi.org/10.3390/signals7010015
Chicago/Turabian StyleRazavi, Seyed Reza, Ashish H. Shah, and Zahra Moussavi. 2026. "Predicting 1-Year Mortality in Patients with Non-ST Elevation Myocardial Infarction (NSTEMI) Using Survival Models and Aortic Pressure Signals Recorded During Cardiac Catheterization" Signals 7, no. 1: 15. https://doi.org/10.3390/signals7010015
APA StyleRazavi, S. R., Shah, A. H., & Moussavi, Z. (2026). Predicting 1-Year Mortality in Patients with Non-ST Elevation Myocardial Infarction (NSTEMI) Using Survival Models and Aortic Pressure Signals Recorded During Cardiac Catheterization. Signals, 7(1), 15. https://doi.org/10.3390/signals7010015

