Early Signatures of Brain Injury in the Preterm Neonatal EEG
Abstract
:1. Introduction
2. Materials and Methods
2.1. Ethics
2.2. Experimental Protocols
2.3. Clinical Protocols
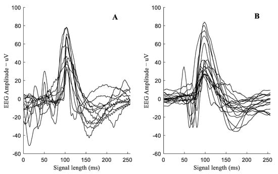
2.4. Micro-Scale Sharp-Wave EEG Waveforms—An HI Biomarker
3. Results
4. Discussion
4.1. Insights on the Utility of Computer-Aided Diagnostic Algorithms
4.2. Implications and Future Direction
5. Study limitations
6. Conclusions
Author Contributions
Funding
Data Availability Statement
Acknowledgments
Conflicts of Interest
References
- Zayegh, A.M.; Doyle, L.W.; Boland, R.A.; Mainzer, R.; Spittle, A.J.; Roberts, G.; Hickey, L.M.; Anderson, P.J.; Cheong, J.L.Y.; the Victorian Infant Collaborative Study Group. Trends in survival, perinatal morbidities and two-year neurodevelopmental outcomes in extremely low-birthweight infants over four decades. Paediatr. Perinat. Epidemiol. 2022, 36, 594–602. [Google Scholar] [CrossRef]
- Scher, M.S.; Hamid, M.Y.; Steppe, D.A.; Beggarly, M.E.; Painter, M.J. Ictal and interictal electrographic seizure durations in preterm and term neonates. Epilepsia 1993, 34, 284–288. [Google Scholar] [CrossRef]
- DeLaGarza-Pineda, O.; Mailo, J.A.; Boylan, G.; Chau, V.; Glass, H.C.; Mathur, A.M.; Shellhaas, R.A.; Soul, J.S.; Wusthoff, C.J.; Chang, T. Management of seizures in neonates with neonatal encephalopathy treated with hypothermia. Semin. Fetal Neonatal Med. 2021, 26, 101279. [Google Scholar] [CrossRef]
- Raurale, S.A.; Boylan, G.B.; Mathieson, S.R.; Marnane, W.P.; Lightbody, G.; O’Toole, J.M. Grading hypoxic-ischemic encephalopathy in neonatal EEG with convolutional neural networks and quadratic time-frequency distributions. J. Neural Eng. 2021, 18, 046007. [Google Scholar] [CrossRef]
- Raurale, S.A.; Boylan, G.B.; Lightbody, G.; O’Toole, J.M. Grading the severity of hypoxic-ischemic encephalopathy in newborn EEG using a convolutional neural network. Annu. Int. Conf. IEEE Eng. Med. Biol. Soc. (EMBC) 2020, 2020, 6103–6106. [Google Scholar] [CrossRef]
- Abbasi, H.; Drury, P.P.; Lear, C.A.; Gunn, A.J.; Davidson, J.O.; Bennet, L.; Unsworth, C.P. EEG sharp waves are a biomarker of striatal neuronal survival after hypoxia-ischemia in preterm fetal sheep. Sci. Rep. 2018, 8, 16312. [Google Scholar] [CrossRef]
- Dhillon, S.K.; Lear, C.A.; Galinsky, R.; Wassink, G.; Davidson, J.O.; Juul, S.; Robertson, N.J.; Gunn, A.J.; Bennet, L. The fetus at the tipping point: Modifying the outcome of fetal asphyxia. J. Physiol. 2018, 596, 5571–5592. [Google Scholar] [CrossRef]
- van den Heuij, L.G.; Wassink, G.; Gunn, A.J.; Bennet, L. Using pregnant sheep to model developmental brain damage. Prenat. Postnatal Determ. Dev. 2016, 31, 1252–1258. [Google Scholar]
- De Wel, O.; Van Huffel, S.; Lavanga, M.; Jansen, K.; Dereymaeker, A.; Dudink, J.; Gui, L.; Hüppi, P.S.; de Vries, L.S.; Naulaers, G.; et al. Relationship between early functional and structural brain developments and brain injury in preterm infants. Cerebellum 2021, 20, 556–568. [Google Scholar] [CrossRef]
- Davidson, J.O.; Gonzalez, F.; Gressens, P.; Gunn, A.J. Guidelines NBS, Publications Committee. Update on mechanisms of the pathophysiology of neonatal encephalopathy. Semin. Fetal Neonatal Med. 2021, 26, 101267. [Google Scholar] [CrossRef]
- Fleiss, B.; Gressens, P. Tertiary mechanisms of brain damage: A new hope for treatment of cerebral palsy? Lancet Neurol. 2012, 11, 556–566. [Google Scholar] [CrossRef] [PubMed]
- Thoresen, M.; Tooley, J.; Liu, X.; Jary, S.; Fleming, P.; Luyt, K.; Jain, A.; Cairns, P.; Harding, D.; Sabir, H. Time is brain: Starting therapeutic hypothermia within three hours after birth improves motor outcome in asphyxiated newborns. Neonatology 2013, 104, 228–233. [Google Scholar] [CrossRef] [PubMed]
- Gunn, A.J.; Laptook, A.R.; Robertson, N.J.; Barks, J.D.; Thoresen, M.; Wassink, G.; Bennet, L. Therapeutic hypothermia translates from ancient history in to practice. Pediatr. Res. 2017, 81, 202–209. [Google Scholar] [CrossRef] [PubMed]
- Lear, C.A.; Lear, B.A.; Davidson, J.O.; Sae-Jiw, J.; Lloyd, J.M.; Dhillon, S.K.; Gunn, A.J.; Bennet, L. Tumour necrosis factor blockade after asphyxia in foetal sheep ameliorates cystic white matter injury. Brain 2023, 146, 1453–1466. [Google Scholar] [CrossRef]
- Abbasi, H.; Gunn, A.J.; Unsworth, C.P.; Bennet, L. Advanced deep learning spectroscopy of scalogram infused CNN classifiers for robust identification of post-hypoxic epileptiform EEG spikes. Adv. Intell. Syst. 2021, 3, 2000198. [Google Scholar] [CrossRef]
- Abbasi, H.; Gunn, A.J.; Unsworth, C.P.; Bennet, L. Wavelet Spectral Time-Frequency Training of Deep Convolutional Neural Networks for Accurate Identification of Micro-Scale Sharp Wave Biomarkers in the Post-Hypoxic-Ischemic EEG of Preterm Sheep. Annu. Int. Conf. IEEE Eng. Med. Biol. Soc. 2020, 2020, 1039–1042. [Google Scholar] [CrossRef]
- Pavel, A.M.; Rennie, J.M.; de Vries, L.S.; Blennow, M.; Foran, A.; Shah, D.K.; Pressler, R.M.; Kapellou, O.; Dempsey, E.M.; Mathieson, S.R.; et al. Neonatal seizure management: Is the timing of treatment critical? J. Pediatr. 2022, 243, 61–68. [Google Scholar] [CrossRef]
- Sun, C.; Mou, C. Survey on the research direction of EEG-based signal processing. Front. Neurosci. 2023, 17, 1203059. [Google Scholar] [CrossRef]
- Pelc, K.; Gajewska, A.; Napiórkowski, N.; Dan, J.; Verhoeven, C.; Dan, B. Multiscale entropy as a metric of brain maturation in a large cohort of typically developing children born preterm using longitudinal high-density EEG in the first two years of life. Physiol. Meas. 2022, 43, 125001. [Google Scholar] [CrossRef]
- Moghadam, S.M.; Pinchefsky, E.; Tse, I.; Marchi, V.; Kohonen, J.; Kauppila, M.; Airaksinen, M.; Tapani, K.; Nevalainen, P.; Hahn, C.; et al. Building an open source classifier for the neonatal EEG background: A systematic feature-based approach from expert scoring to clinical visualization. Front. Hum. Neurosci. 2021, 15, 675154. [Google Scholar] [CrossRef]
- El-Dib, M.; Abend, N.S.; Austin, T.; Boylan, G.; Chock, V.; Cilio, M.R.; Greisen, G.; Hellström-Westas, L.; Lemmers, P.; Pellicer, A.; et al. Neuromonitoring in neonatal critical care part I: Neonatal encephalopathy and neonates with possible seizures. Pediatr. Res. 2022, 94, 64–73. [Google Scholar] [CrossRef] [PubMed]
- Nyman, J.; Mikkonen, K.; Metsäranta, M.; Toiviainen-Salo, S.; Vanhatalo, S.; Lauronen, L.; Nevalainen, P. Poor aEEG background recovery after perinatal hypoxic ischemic encephalopathy predicts postneonatal epilepsy by age 4 years. Clin. Neurophysiol. 2022, 143, 116–123. [Google Scholar] [CrossRef] [PubMed]
- Khlif, M.S.; Mesbah, M.; Colditz, P.B.; Boashash, B. Neonatal EEG seizure detection using a new signal structural complexity measure based on matching pursuit decomposition with nonstationary dictionary. Comput. Methods Programs Biomed. 2022, 224, 107014. [Google Scholar] [CrossRef] [PubMed]
- Gramacki, A.; Gramacki, J. A deep learning framework for epileptic seizure detection based on neonatal EEG signals. Sci. Rep. 2022, 12, 13010. [Google Scholar] [CrossRef]
- Abbasi, H.; Bennet, L.; Gunn, A.J.; Unsworth, C.P. Latent phase detection of hypoxic-ischemic spike transients in the EEG of preterm fetal sheep using reverse biorthogonal wavelets & fuzzy classifier. Int. J. Neural Syst. 2019, 29, 1950013. [Google Scholar] [CrossRef]
- Abbasi, H.; Gunn, A.J.; Bennet, L.; Unsworth, C.P. Latent phase identification of high-frequency micro-scale gamma spike transients in the hypoxic ischemic EEG of preterm fetal sheep using spectral analysis and fuzzy classifiers. Sensors 2020, 20, 1424. [Google Scholar] [CrossRef]
- Pavel, A.M.; O’Toole, J.M.; Proietti, J.; Livingstone, V.; Mitra, S.; Marnane, W.P.; Finder, M.; Dempsey, E.M.; Murray, D.M.; Boylan, G.B.; et al. Machine learning for the early prediction of infants with electrographic seizures in neonatal hypoxic-ischemic encephalopathy. Epilepsia 2023, 64, 456–468. [Google Scholar] [CrossRef]
- Garvey, A.A.; Pavel, A.M.; O’toole, J.M.; Walsh, B.H.; Korotchikova, I.; Livingstone, V.; Dempsey, E.M.; Murray, D.M.; Boylan, G.B. Multichannel EEG abnormalities during the first 6 hours in infants with mild hypoxic–ischaemic encephalopathy. Pediatr. Res. 2021, 90, 117–124. [Google Scholar] [CrossRef]
- Cainelli, E.; Di Bono, M.G.; Bisiacchi, P.S.; Suppiej, A. Electroencephalographic functional connectivity in extreme prematurity: A pilot study based on graph theory. Pediatr. Res. 2020, 87, 753–759. [Google Scholar] [CrossRef]
- Abbasi, H.; Bennet, L.; Gunn, A.J.; Unsworth, C.P. Robust Wavelet Stabilized ‘Footprints of Uncertainty’ for Fuzzy System Classifiers to Automatically Detect Sharp Waves in the EEG after Hypoxia Ischemia. Int. J. Neural Syst. 2017, 27, 1650051. [Google Scholar] [CrossRef]
- O’Toole, J.M.; Mathieson, S.R.; Raurale, S.A.; Magarelli, F.; Marnane, W.P.; Lightbody, G.; Boylan, G.B. Neonatal EEG graded for severity of background abnormalities in hypoxic-ischaemic encephalopathy. Sci. Data 2023, 10, 129. [Google Scholar] [CrossRef] [PubMed]
- Cooper, R.; Osselton, J.W.; Shaw, J.C. EEG Technology; Butterworth-Heinemann: Oxford, UK, 2014. [Google Scholar]
- Vanhatalo, S.; Stevenson, N.J.; Pressler, R.M.; Abend, N.S.; Auvin, S.; Brigo, F.; Cilio, M.R.; Hahn, C.D.; Hartmann, H.; Hellström-Westas, L.; et al. Why monitor the neonatal brain—That is the important question. Pediatr. Res. 2023, 93, 19–21. [Google Scholar] [CrossRef]
- Shah, D.K.; Mackay, M.T.; Lavery, S.; Watson, S.; Harvey, A.S.; Zempel, J.; Mathur, A.; Inder, T.E. Accuracy of bedside electroencephalographic monitoring in comparison with simultaneous continuous conventional electroencephalography for seizure detection in term infants. Pediatrics 2008, 121, 1146–1154. [Google Scholar] [CrossRef] [PubMed]
- Pavlidis, E.; Lloyd, R.O.; Boylan, G.B. EEG—A Valuable Biomarker of Brain Injury in Preterm Infants. Dev. Neurosci. 2017, 39, 23–35. [Google Scholar] [CrossRef] [PubMed]
- Han, Y.; Fu, N.; Chen, W.; Liang, J.; Cui, Y.; Zhang, Y.; Qin, J. Prognostic value of electroencephalography in hypothermia-treated neonates with hypoxic-ischemic encephalopathy: A meta-analysis. Pediatr. Neurol. 2019, 93, 3–10. [Google Scholar] [CrossRef]
- Amorim, E.; van der Stoel, M.; Nagaraj, S.B.; Ghassemi, M.M.; Jing, J.; O’Reilly, U.-M.; Scirica, B.M.; Lee, J.W.; Cash, S.S.; Westover, M.B. Quantitative EEG reactivity and machine learning for prognostication in hypoxic-ischemic brain injury. Clin. Neurophysiol. 2019, 130, 1908–1916. [Google Scholar] [CrossRef]
- Awal, A.; Lai, M.M.; Azemi, G.; Boashash, B.; Colditz, P.B. EEG background features that predict outcome in term neonates with hypoxic ischaemic encephalopathy: A structured review. Clin. Neurophysiol. 2016, 127, 285–296. [Google Scholar] [CrossRef]
- O’shea, A.; Ahmed, R.; Lightbody, G.; Pavlidis, E.; Lloyd, R.; Pisani, F.; Marnane, W.; Mathieson, S.; Boylan, G.; Temko, A. Deep Learning for EEG Seizure Detection in Preterm Infants. Int. J. Neural Syst. 2021, 31, 2150008. [Google Scholar] [CrossRef]
- O’shea, A.; Lightbody, G.; Boylan, G.; Temko, A. Neonatal seizure detection from raw multi-channel EEG using a fully convolutional architecture. Neural Netw. 2020, 123, 12–25. [Google Scholar] [CrossRef]
- Pavel, A.M.; Rennie, J.M.; de Vries, L.S.; Blennow, M.; Foran, A.; Shah, D.K.; Pressler, R.M.; Kapellou, O.; Dempsey, E.M.; Mathieson, S.R.; et al. A machine-learning algorithm for neonatal seizure recognition: A multicentre, randomised, controlled trial. Lancet Child Adolesc. Health 2020, 4, 740–749. [Google Scholar] [CrossRef]
- Ansari, A.H.; Cherian, P.J.; Caicedo, A.; Naulaers, G.; De Vos, M.; Van Huffel, S. Neonatal seizure detection using deep convolutional neural networks. Int. J. Neural Syst. 2019, 29, 1850011. [Google Scholar] [CrossRef] [PubMed]
- Acharya, U.R.; Oh, S.L.; Hagiwara, Y.; Tan, J.H.; Adeli, H. Deep convolutional neural network for the automated detection and diagnosis of seizure using EEG signals. Comput. Biol. Med. 2018, 100, 270–278. [Google Scholar] [CrossRef] [PubMed]
- Abbasi, H.; Dhillon, S.K.; Davidson, J.; Gunn, A.J.; Bennet, L. 2D Wavelet-scalogram deep-learning for seizures pattern identification in the post-hypoxic-ischemic EEG of preterm fetal sheep. In Proceedings of the Annual International Conference of the IEEE Engineering in Medicine and Biology Society (EMBC’23); IEEE EMBC 2023, Sydney, NSW, Australia, 24–27 July 2023. in press. [Google Scholar]
- Lloyd, R.O.; O’Toole, J.M.; Pavlidis, E.; Filan, P.M.; Boylan, G.B. Electrographic seizures during the early postnatal period in preterm infants. J. Pediatr. 2017, 187, 18–25.e2. [Google Scholar] [CrossRef] [PubMed]
- Wusthoff, C.J.; Dlugos, D.J.; Gutierrez-Colina, A.; Wang, A.; Cook, N.; Donnelly, M.; Clancy, R.; Abend, N.S. Electrographic seizures during therapeutic hypothermia for neonatal hypoxic-ischemic encephalopathy. J. Child Neurol. 2011, 26, 724–728. [Google Scholar] [CrossRef]
- Boylan, G.B.; Kharoshankaya, L.; Wusthoff, C.J. Seizures and hypothermia: Importance of electroencephalographic monitoring and considerations for treatment. Semin. Fetal Neonatal Med. 2015, 20, 103–108. [Google Scholar] [CrossRef]
- Ophelders, D.R.; Gussenhoven, R.; Klein, L.; Jellema, R.K.; Westerlaken, R.J.; Hütten, M.C.; Vermeulen, J.; Wassink, G.; Gunn, A.J.; Wolfs, T.G. Preterm brain injury, antenatal triggers, and therapeutics: Timing is key. Cells 2020, 9, 1871. [Google Scholar] [CrossRef]
- Rees, C.M.; Pierro, A.; Eaton, S. Neurodevelopmental outcomes of neonates with medically and surgically treated necrotizing enterocolitis. Arch. Dis. Child. Fetal Neonatal Ed. 2007, 92, F193–F198. [Google Scholar] [CrossRef]
- Shane, A.L.; Stoll, B.J. Neonatal sepsis: Progress towards improved outcomes. J. Infect. 2014, 68, S24–S32. [Google Scholar] [CrossRef]
- Kubota, T.; Okumura, A.; Hayakawa, F.; Kato, T.; Itomi, K.; Kuno, K.; Watanabe, K. Relation between the date of cyst formation observable on ultrasonography and the timing of injury determined by serial electroencephalography in preterm infants with periventricular leukomalacia. Brain Dev. 2001, 23, 390–394. [Google Scholar] [CrossRef]
- Janáčková, S.; Boyd, S.; Yozawitz, E.; Tsuchida, T.; Lamblin, M.-D.; Gueden, S.; Pressler, R. Electroencephalographic characteristics of epileptic seizures in preterm neonates. Clin. Neurophysiol. 2016, 127, 2721–2727. [Google Scholar] [CrossRef]
- Patrizi, S.; Holmes, G.L.; Orzalesi, M.; Allemand, F. Neonatal seizures: Characteristics of EEG ictal activity in preterm and fullterm infants. Brain Dev. 2003, 25, 427–437. [Google Scholar] [CrossRef] [PubMed]



| Baby 1 | Baby 2 | Baby 3 | Baby 4 | Baby 5 | Baby 6 | Baby 7 | Sheep 1 | Sheep 2 | Sheep 3 | Sheep 4 | Sheep 5 | Sheep 6 | |
|---|---|---|---|---|---|---|---|---|---|---|---|---|---|
| Baby 1 (675) * | |||||||||||||
| Baby 2 (1005) | 0.948 | ||||||||||||
| Baby 3 (1403) | 0.940 | 0.981 | |||||||||||
| Baby 4 (265) | 0.947 | 0.957 | 0.957 | ||||||||||
| Baby 5 (224) | 0.926 | 0.935 | 0.932 | 0.981 | |||||||||
| Baby 6 (558) | 0.945 | 0.967 | 0.938 | 0.959 | 0.925 | ||||||||
| Baby 7 (1061) | 0.934 | 0.989 | 0.984 | 0.957 | 0.944 | 0.964 | |||||||
| Sheep 1 (1022) | 0.954 | 0.982 | 0.985 | 0.960 | 0.923 | 0.950 | 0.974 | ||||||
| Sheep 2 (453) | 0.904 | 0.921 | 0.938 | 0.933 | 0.885 | 0.943 | 0.938 | 0.937 | |||||
| Sheep 3 (264) | 0.908 | 0.901 | 0.943 | 0.903 | 0.861 | 0.854 | 0.907 | 0.959 | 0.902 | ||||
| Sheep 4 (1156) | 0.944 | 0.981 | 0.968 | 0.957 | 0.921 | 0.972 | 0.973 | 0.989 | 0.927 | 0.921 | |||
| Sheep 5 (604) | 0.953 | 0.981 | 0.987 | 0.964 | 0.924 | 0.954 | 0.976 | 0.997 | 0.956 | 0.959 | 0.983 | ||
| Sheep 6 (1083) | 0.952 | 0.990 | 0.979 | 0.966 | 0.930 | 0.976 | 0.981 | 0.992 | 0.944 | 0.923 | 0.996 | 0.991 | |
| Sheep 7 (1522) | 0.905 | 0.927 | 0.937 | 0.878 | 0.862 | 0.829 | 0.900 | 0.950 | 0.807 | 0.936 | 0.918 | 0.936 | 0.919 |
Disclaimer/Publisher’s Note: The statements, opinions and data contained in all publications are solely those of the individual author(s) and contributor(s) and not of MDPI and/or the editor(s). MDPI and/or the editor(s) disclaim responsibility for any injury to people or property resulting from any ideas, methods, instructions or products referred to in the content. |
© 2023 by the authors. Licensee MDPI, Basel, Switzerland. This article is an open access article distributed under the terms and conditions of the Creative Commons Attribution (CC BY) license (https://creativecommons.org/licenses/by/4.0/).
Share and Cite
Abbasi, H.; Battin, M.R.; Butler, R.; Rowe, D.; Lear, B.A.; Gunn, A.J.; Bennet, L. Early Signatures of Brain Injury in the Preterm Neonatal EEG. Signals 2023, 4, 630-643. https://doi.org/10.3390/signals4030034
Abbasi H, Battin MR, Butler R, Rowe D, Lear BA, Gunn AJ, Bennet L. Early Signatures of Brain Injury in the Preterm Neonatal EEG. Signals. 2023; 4(3):630-643. https://doi.org/10.3390/signals4030034
Chicago/Turabian StyleAbbasi, Hamid, Malcolm R. Battin, Robyn Butler, Deborah Rowe, Benjamin A. Lear, Alistair J. Gunn, and Laura Bennet. 2023. "Early Signatures of Brain Injury in the Preterm Neonatal EEG" Signals 4, no. 3: 630-643. https://doi.org/10.3390/signals4030034
APA StyleAbbasi, H., Battin, M. R., Butler, R., Rowe, D., Lear, B. A., Gunn, A. J., & Bennet, L. (2023). Early Signatures of Brain Injury in the Preterm Neonatal EEG. Signals, 4(3), 630-643. https://doi.org/10.3390/signals4030034

