Improvement of Sound-Absorbing Dips in Nonwoven Fabric Sheet with Back Air Space: Division of Back Air Space by Additional Nonwoven Fabric Sheet
Abstract
1. Introduction
2. Materials and Methods
2.1. Measurement Setup
2.2. Samples Used in the Experiments
3. Theoretical Analysis
3.1. Analytical Models Corresponding to the Proposed Sound Absorption Structure
3.2. Transfer Matrix Based on One-Dimensional Wave Equation
3.3. Transfer Matrices for Nonwoven Fabric Sheets
3.4. Transfer Matrices for Back Airspace
3.5. Entire Transfer Matrix and Sound Absorption Coefficient
4. Comparison of Experimental and Theoretical Values
4.1. Sensitivity Analysis of Sound Absorption Coefficient with Additional Nonwoven Fabric Sheet Position and Ventilation Resistance
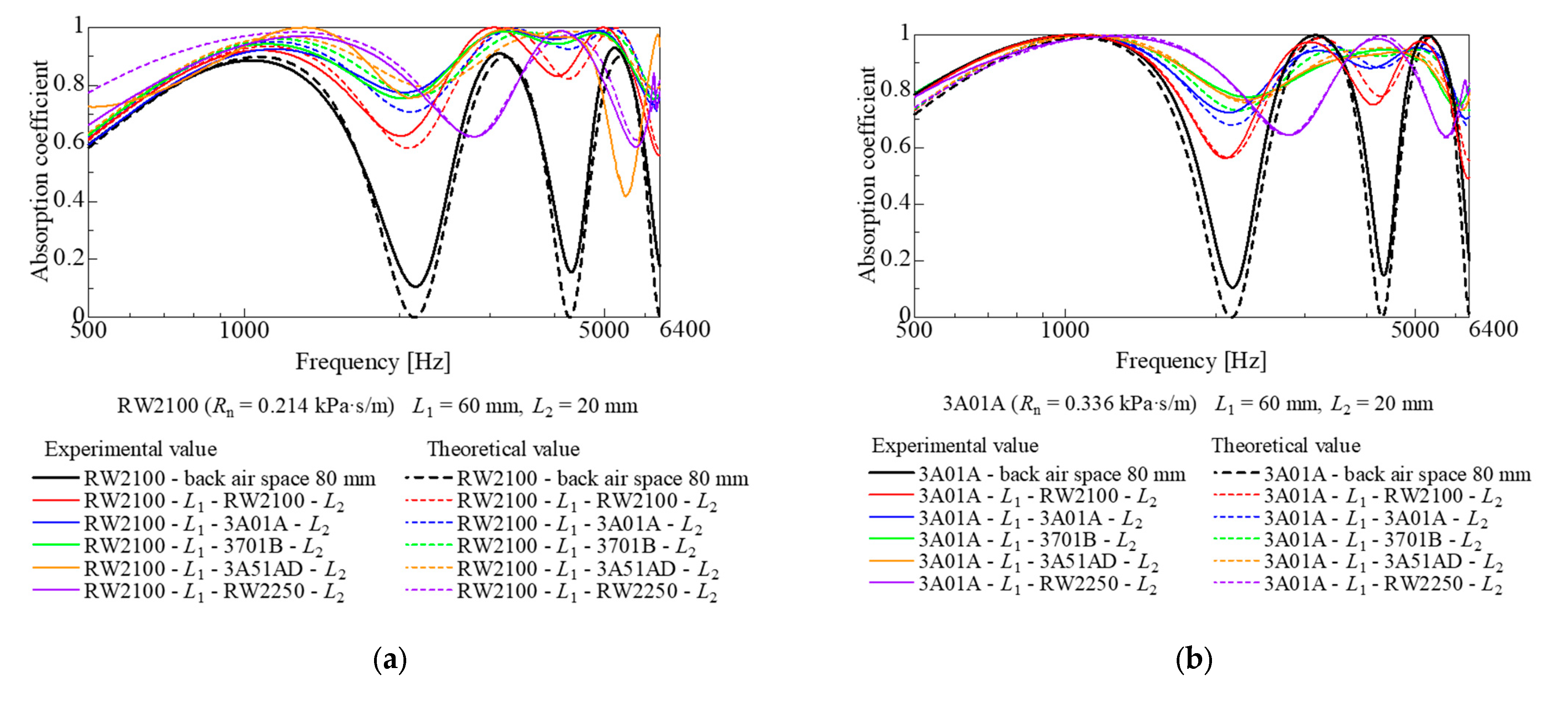
4.2. Experimental and Theoretical Values Obtained When Nonwoven Fabric Sheets Are Added in the Arrangement Shown in Figure 3b
4.3. Experimental and Theoretical Values Obtained When Nonwoven Fabric Sheets Are Added in the Arrangement Shown in Figure 3d
5. Conclusions
Author Contributions
Funding
Data Availability Statement
Acknowledgments
Conflicts of Interest
References
- Delany, M.E.; Bazley, E.N. Acoustic properties of fibrous absorbent materials. Appl. Acoust. 1970, 3, 105–116. [Google Scholar] [CrossRef]
- Sakagami, K.; Kiyama, M.; Morimoto, M.; Takahashi, D. Sound absorption of a cavity-backed membrane: A step towards design method for membrane-type absorbers. Appl. Acoust. 1996, 49, 237–247. [Google Scholar] [CrossRef]
- Sakagami, K.; Kiyama, M.; Morimoto, M.; Takahashi, D. Detailed analysis of the acoustic properties of a permeable membrane. Appl. Acoust. 1998, 54, 93–111. [Google Scholar] [CrossRef]
- Sakamoto, S.; Iizuka, R.; Nozawa, T. Effect of sheet vibration on the theoretical analysis and experimentation of nonwoven fabric sheet with back air space. Materials 2022, 15, 3840. [Google Scholar] [CrossRef] [PubMed]
- Sakamoto, S.; Nozawa, T.; Sato, K. Nonwoven fabric sheet with back air space serving as Helmholtz resonator. Noise Control. Eng. J. 2024, 72, 37–50. [Google Scholar] [CrossRef]
- Everest, F.A. Absorption of sound. In The Master Handbook of Acoustics, 4th ed.; McGraw-Hill: New York, NY, USA, 2001; p. 195. ISBN 0-07-136097-2. [Google Scholar]
- Rayleigh, J.W.S. The Theory of Sound, 2nd ed.; Dover: New York, NY, USA, 1945. [Google Scholar]
- Miki, Y. Acoustical properties of porous materials-modifications of Delany-Bazley models. J. Acoust. Soc. Jpn. 1990, 11, 19–24. [Google Scholar] [CrossRef]
- Komatsu, T. Improvement of the Delany-Bazley and Miki models for fibrous sound-absorbing materials. Acoust. Sci. Technol. 2008, 29, 121–129. [Google Scholar] [CrossRef]
- Kuttruff, H. Room Acoustics, 5th ed.; Spon Press: London, UK, 2009. [Google Scholar]
- Suzuki, H.; Omoto, A.; Fujiwara, K. Treatment of boundary conditions by finite difference time domain method. J. Acoust. Soc. Jpn. 2007, 28, 16–26. [Google Scholar] [CrossRef][Green Version]
- Ferreira, N.; Hopkins, C. Using finite-difference time-domain methods with a Rayleigh approach to model low-frequency sound fields in small spaces subdivided by porous materials. J. Acoust. Soc. Jpn. 2013, 34, 332–341. [Google Scholar] [CrossRef]
- ISO 10534-2: 1998; Acoustics—Determination of Sound Absorption Coefficient and Impedance in Impedance Tubes—Part 2: Transfer-Function Method. International Standard: Geneva, Switzerland, 1998.
- Suyama, E.; Hirata, M. The four terminal matrices of tube system based on assuming of plane wave propagation with frictional dissipation: Acoustic characteristic analysis of silencing systems based on assuming of plane wave propagation with frictional dissipation part 2. J. Acoust. Soc. J. 1979, 35, 165–170. (In Japanese) [Google Scholar] [CrossRef]











| Code | Product Code | Ventilation Resistance [kPa∙s/m] | Thickness [mm] | Area Density [g/m2] | Flow Resistivity [kPa∙s/m2] |
|---|---|---|---|---|---|
| a | RW2100 | 0.214 | 0.58 | 100 | 369 |
| b | 3A01A | 0.336 | 0.4 | 103 | 840 |
| c | 3701B | 0.440 | 0.24 | 70 | 1833 |
| d | 3A51AD | 0.555 | 0.45 | 152 | 1233 |
| e | RW2250 | 1.255 | 0.82 | 250 | 1530 |
Disclaimer/Publisher’s Note: The statements, opinions and data contained in all publications are solely those of the individual author(s) and contributor(s) and not of MDPI and/or the editor(s). MDPI and/or the editor(s) disclaim responsibility for any injury to people or property resulting from any ideas, methods, instructions or products referred to in the content. |
© 2025 by the authors. Licensee MDPI, Basel, Switzerland. This article is an open access article distributed under the terms and conditions of the Creative Commons Attribution (CC BY) license (https://creativecommons.org/licenses/by/4.0/).
Share and Cite
Sakamoto, S.; Sato, K.; Muroi, G.; Nakao, Y.; Kuboki, K.; Taguchi, N. Improvement of Sound-Absorbing Dips in Nonwoven Fabric Sheet with Back Air Space: Division of Back Air Space by Additional Nonwoven Fabric Sheet. Acoustics 2025, 7, 25. https://doi.org/10.3390/acoustics7020025
Sakamoto S, Sato K, Muroi G, Nakao Y, Kuboki K, Taguchi N. Improvement of Sound-Absorbing Dips in Nonwoven Fabric Sheet with Back Air Space: Division of Back Air Space by Additional Nonwoven Fabric Sheet. Acoustics. 2025; 7(2):25. https://doi.org/10.3390/acoustics7020025
Chicago/Turabian StyleSakamoto, Shuichi, Kodai Sato, Gaku Muroi, Yusuke Nakao, Kaito Kuboki, and Nobuhito Taguchi. 2025. "Improvement of Sound-Absorbing Dips in Nonwoven Fabric Sheet with Back Air Space: Division of Back Air Space by Additional Nonwoven Fabric Sheet" Acoustics 7, no. 2: 25. https://doi.org/10.3390/acoustics7020025
APA StyleSakamoto, S., Sato, K., Muroi, G., Nakao, Y., Kuboki, K., & Taguchi, N. (2025). Improvement of Sound-Absorbing Dips in Nonwoven Fabric Sheet with Back Air Space: Division of Back Air Space by Additional Nonwoven Fabric Sheet. Acoustics, 7(2), 25. https://doi.org/10.3390/acoustics7020025

