Abstract
This article aims to assess the performance of Nord2000, RTN-96, and CNOSSOS-EU, the Nordic and European noise prediction standards, in predicting daily LAeq24h and Lden levels (dBA), by comparing them with measurements gathered over 76 days from the E45 motorway in Helsted, Central Jutland, Denmark. In addition, the article investigates the potential viability of utilizing Confidence-Weighting Average (CWA) for data fusion to enhance noise estimation accuracy. The results showed highly positive Spearman’s correlations (RS), reflecting strong agreements between observed and predicted data, Nord2000 = 0.85–0.98, CNOSSOS-EU = 0.79–0.92 and RTN-96 = 0.86–0.91. Model differences, RMSE = 0.4–3.3 dBA (Nord2000), 1.4 = 2.8 dBA (CNOSSOS) and 1.3–4.2 dBA (RTN-96), were mainly due to underlying model parametrization and uncertainties in model inputs. Overall, Nord2000 outperformed CNOSSOS and RTN-96 in reproducing observed noise levels. Moreover, CNOSSOS agreed well with the measured data and exhibited a high potential for noise mapping and health assessments. Likewise, the CWA is found to be a promising, forward-looking data fusion approach to improve noise estimates’ accuracy. More research is required to further evaluate the models in greater detail over a larger geographical area and across varied temporal scales (e.g., hourly, yearly).
1. Introduction
Noise is an unwanted, unpleasant sound, primarily causing annoyance and hearing disruptions [1,2]. In particular, the literature shows that the constant noise with no pauses from highways is more annoying than the other roads [3,4,5]. Moreover, noise annoyance and persistent exposure are harmful and may lead to critical illnesses like cardiovascular disease [6]. Consequently, about 12,000 premature deaths yearly in Europe are attributed to noise exposure [7], where road traffic is the dominant source of noise pollution [8].
The case of Denmark is no different. According to the Danish Environmental Protection Agency [9], almost one in three homes, and approximately 785,000 homes, suffer from road traffic noise above the recommended limit, which is a day–evening–night noise level (Lden) of 58 dBA. Therefore, assessing such noise levels is indispensable to protecting public health.
When assessing noise, it is customary to use computer-based simulation models [10]. It is due to their, e.g., cost effectiveness and higher spatial coverage compared to high-quality measurements [11]. However, when possible, good-quality measurements are necessary for a reasonable amount of time, e.g., more than a few weeks or months, to evaluate the model simulations [12]. Furthermore, when comparing noise measurements to model simulations, it is important to acknowledge the likelihood of uncertainties in measurements caused by various factors such as equipment errors, background noise, meteorological conditions (wind-induced noise), and disruptive events like nearby construction or the presence of emergency vehicles with sirens among others [13,14,15].
Two simulation models are used in Denmark to estimate noise levels. One is the Road Traffic Noise 1996 Prediction Method (hereafter, RTN-96) [16], and the other is the Nord2000 [17,18,19]. Both these models are the joint Nordic noise prediction standards. However, the RTN-96 model is relatively coarser, requiring fewer inputs, e.g., light, and heavy vehicles only, and no meteorology. In contrast, Nord2000 is a state-of-the-art model using comprehensive information on traffic parameters, e.g., composition, speeds, meteorology, e.g., wind, temperature, and topography, e.g., road surface and gradient [20]. See Section 2.4.1 for more model details.
In summary, RTN-96 and Nord2000 are routinely used for noise mapping and health assessments in Denmark, e.g., [21,22,23]. However, it should be noted that the Danish EPA, since 2007, officially recommends the Nord2000 method for noise prediction and city planning since RTN-96 cannot predict Lden noise levels [24].
On top of this, recent European legislations obligate Denmark to use the Common Noise Assessment Methods for the EU Member States (hereafter, CNOSSOS) for strategic noise mapping [25,26]. CNOSSOS is a European standard and unified noise prediction framework to help obtain comparable noise estimates across the EU. Nevertheless, there have been uncertainties in the CNOSSOS sound propagation algorithms, e.g., ground absorption parameters. Interested readers can find more details in [27,28,29]. These uncertainties recently led to the revised model algorithms; see [30]. In conjunction, CNOSSOS is now fully implemented in the leading software suite, SoundPLAN Nordic (http://soundplan.dk (accessed on 14 October 2023)) and included in the 2022 Danish noise mapping cycle [31].
Since noise mapping is crucial for urban planning and health assessments, evaluating the model’s performance is necessary. A few researchers have evaluated the performance of Nord2000, RTN-96, and CNOSSOS. For example, Jónsson and Jacobsen [32] compared Nord2000 simulated noise with measurements for many test cases, reporting deviations up to 3 dBA in the simulated noise levels. In addition, the Danish Road Directorate (https://vd.dk (accessed on 14 October 2023)) has evaluated Nord2000 for several use cases (propagation distance up to 1000 m) using the so-called Close Proximity (CPX) noise measurements method [33,34]. They reported model overestimations in the range of 1–2 dB.
Concerning RTN-96, no such evaluations are seen except for [35], where Bendtsen compared RTN-96 noise estimates with the measurements via 178 test scenarios [36] and found a good agreement (0.2 dB difference) between measured and modeled noise levels. Moreover, Faulkner and Murphy [37] analyzed CNOSSOS’ performance in Dublin, Ireland, by comparing simulated noise levels with the measured ones at an experimental site. They reported systematic underestimations in CNOSSOS predictions, ranging from 0.2 to 2.0 dBA. Furthermore, Larsson [38] evaluated CNOSSOS’ performance in Sweden and reported model underestimations up to 2 dB at short distances (10 m).
As noted above, Nord2000 and RTN-96 are usually used for noise mapping and health assessments in Denmark. Nevertheless, their validation studies are mainly based on test cases, and real-world evaluations have been minimal, highlighting significant research and knowledge gaps. In addition, it is indispensable to analyze the recently revised CNOSSOS [26] performance to understand its suitability for noise modeling and health assessments in Denmark. All this calls for further research.
In addition, in recent years, integrating model simulations with the measured data has emerged as a promising approach to improve data accuracy, as reported by, e.g., [39,40,41]. This approach, known as data fusion, combines multiple data sources (here, model simulations and measurements) to produce more consistent and accurate information than that provided by a respective data source, simulations, or measurements [42]. One such technique is Confidence-Weighted Averaging (CWA) [43]. It combines simulated and measured values concerning their variance into a more accurate estimation of the measurand (see Section 2.7 for details). However, CWA is poorly utilized for the data fusion of simulated and measured traffic noise levels, and its potential to do so efficiently is yet to be explored.
Therefore, this article’s main objective and novelty is to address the research and knowledge gaps mentioned above. In conjunction, the performance of Nord2000, RTN-96 and CNOSSOS has been evaluated by comparing their predicted noise levels with relatively long-term noise measurements along a busy motorway (a highway with multiple lanes), E45, in Central Jutland, Denmark, reflecting a real-world situation. These evaluations aim to facilitate Danish health scientists and city planners to better understand Nord2000, RTN-96 and CNOSSOS potentials for future health assessments and noise mapping.
In addition, we explored the potential of the CWA for the first time to combine noise model predictions and measurements. The next section summarizes the study site, measurements and modeling methodologies, inputs, and the associated data analyses.
2. Materials and Methods
2.1. Study Site
The study site is Helsted. It is an area in the northwestern part of the Municipality of Randers in the Central Jutland Region of Denmark (see Figure 1 and Figure A1). In addition to commercial and recreational areas, residential houses and low-rise buildings dominate the landscape. Relatively small, less busy roads, open areas, and sparse and dense vegetation can also be seen (Figure 1). The estimated terrain elevation above sea level in Helsted is about 18 m [44].
Figure 1.
(a) Study site in Helsted, Denmark, reflecting the E45 motorway with two lanes in each direction (pink colored thick lines), dense and sparse vegetation and open areas. (b) Another view of the study site showing the two measuring locations (the red asterisks) near the E45 motorway.
There is a motorway, the E45, with two lanes in each direction. A motorway is a wide road with multiple lanes for fast-moving traffic and a limited number of places to join or leave [45]. E45 is the longest north–south European route [46], having a length of about 357 km in Denmark, and it connects northern and southern parts of the Danish Jutland Region to its central part. According to the Danish Road Directorate [47], there is a significant amount of traffic (>30,000 daily vehicles) on the E45 all year round.
2.2. Noise Measurements and Data Processing
The Danish Road Directorate (https://www.vejdirektoratet.dk/ (accessed on 14 October 2023)), in consultation with the Danish Environmental Protection Agency’s Reference Laboratory (https://referencelaboratoriet.dk/ (accessed on 14 October 2023)) for Noise Measurements, selected four representative sites, including our study site, Helsted (Figure 1), on the E45 motorway where it is planned to be widened. Noise measurements were carried out at these sites, partly in the summer and the autumn of 2019. In addition, noise levels were also assessed using Nord2000 calculations. The aim was to compare the observed and estimated noise. Interested readers can find more details in [48]. Since this article focuses on Helsted, a relevant summary of measurements (autumn 2019 only) and subsequent data processing is as follows.
Noise measurements, in compliance with the international standards, ISO 1996-2:2017 [49], were conducted at the two measuring locations in Helsted, along the E45 motorway, from September to November 2019. Location 1 was 36.4 m away from the motorway, whilst location 2 was 123.3 m; see Figure A1. The measurement height at location 2 was 1.7 m above the ground. No information was available for location 1 in [48]. Measurements were carried out by the SWECO Denmark (https://www.sweco.dk/ (accessed on 14 October 2023)) using Sigicom’s INFRA S50 Sound Level Meter (SLM) and INFRA D10 Data Logger [50,51].
According to the manufacturer’s website, the Infra S50 is a digital IEC-Class 1 SLM containing a high-quality microphone and a comprehensive array of electronics with digital signal processing. The SLM performs all the filtering and signal processing digitally and logs the recorded noise levels to the associated data logger, D10, or a remote server optionally. The S50 SLM, among other noise metrics, measures the equivalent sound pressure level (LAeq) at a varying temporal resolution of 1 s to 60 min. In Helsted, the measurements at each location were conducted at the temporal resolution of 15 min (LAeq,15min). After the initial data processing by the SWECO Denmark, the Acoustic Department of FORCE Technology, Denmark (https://forcetechnology.com/en (accessed on 15 October 2023)), obtained the aggregated, hourly A-weighted equivalent noise levels (LAeq1h) for further processing.
Since noise monitors were mounted on the building facades, FORCE Technology corrected the measurements for the effect of sound reflections from the façade and normalized the measured noise data based on traffic data registered by the Danish Road Directorate. Relevant details are provided in [48]. In short, the noise levels (LAeq1h) were normalized for each hour to correspond to the 2018 annual average daily traffic, considering the vehicle category (LDV, HDV, etc.), their average speed and the choice of E45 lane. The reason was to compare the measurement results to a reference scenario in 2018, where traffic and noise were measured as part of the Danish Road Directorate’s Road Extension Economic Impact Assessments in Helsted.
Subsequently, normalized noise levels were sorted in the daytime, evening, and nighttime to compute the measured Lden (dBA) levels, and the uncertainty analysis was performed. In addition, FORCE Technology assessed the noise levels using Nord2000 calculations. For each hour, meteorological data (wind speed, direction, etc.) from the nearby Denmark Meteorological Institute (DMI) (https://www.dmi.dk/ (accessed on 14 October 2023)) station were linked to weather classes in the Nord2000 model. Then, mean values for day, evening and night periods were calculated. Road corrections were also applied, and fully sound absorbent building facades were assumed. Finally, the annual average Lden (dBA) was estimated. See [48] for more Nord2000 simulation details. FORCE Technology compared measured and simulated annual average Lden levels. Focusing on this annual average comparison was beyond the scope of this article. However, these analyses are summarized at the end of Section 4.
After all the above processing, 76 days (1 September–15 November 2019) (N = 1824) of measured hourly A-weighted, energy equivalent, sound pressure levels data (LAeq1h) were provided by the FORCE Technology for this article. The 2018 reference measurements data were also provided. We compared both measured datasets to analyze the agreement between them. In addition, measured traffic attributes, the number of Light-, Medium- and Heavy-Duty Vehicles and respective speeds on both north- and southbound lanes of the E45 motorway were available.
2.3. Data Imputation
There were several missing values in the measured dataset, particularly the number of Medium- and Heavy-Duty Vehicles and their speeds, on both lanes of the E45 motorway (the reason was a fault in the traffic-counting equipment; see Figure A2). Further analysis of the measured data revealed relatively more missing values in the evening and night than in the daytime. Given the significance of long-term noise measurements in evaluating model performance, we employed machine learning-based data imputation within the R software version 4.3.2 [52] to address missing values in the measured dataset, which is summarized below.
To impute missing values, we used the Random Forests (RF) approach via the R package, “missRanger” [53]. Details of RF are provided in [54] and will not be repeated here. However, interested readers can find more details about the imputation procedure at the package website, https://cran.r-project.org/web/packages/missRanger/index.html (accessed on 15 October 2023). In short, the missRanger package, under the hood, uses the “ranger” R package [55] to impute the missing values via chained RF algorithms and the recursive nearest-neighbor search. Subsequently, a goodness-of-fit analysis used a training dataset to forecast available (measured) data, demonstrating a strong agreement between the two datasets.
After imputing all the missing values, these data were used in model simulations and further article analyses, as summarized in the following sections.
2.4. Model Simulations
Noise levels were simulated using Nord2000, RTN-96, and CNOSSOS in the SoundPLAN software, version 8.2 (SoundPLAN Nord: http://www.soundplan.dk/ (accessed on 15 October 2023)). It should be noted that in the SoundPLAN, importing user-defined traffic and topographic (e.g., ground elevation) data is customary, whereas the comprehensive weather-related libraries are included by default and as per the Danish EPA recommendations [56]. Therefore, we used measured and subsequently imputed traffic data in noise simulations. Furthermore, the underlying model algorithms and equations have been discussed in one of our previous studies [20] and will not be repeated here. The following subsections describe the modeling procedure.
2.4.1. Nord2000
We used the Nord2000 algorithms (road noise module) implemented in the SoundPLAN software to estimate noise levels. The estimated noise, hourly equivalent A-weighted sound pressure level (LAeq1h) given in dBA, reflected the measurement period, 1 September–15 November 2019. The noise estimation procedure is summarized below.
First, a Digital Ground Model (DGM) for the study site, containing a road network, three-dimensional (3D) building polygons, and terrain, was prepared. Then, road attributes were added, including traffic intensity, speed, type, road surface, and emissions. The traffic intensity was based on Average Daily Traffic (ADT), hourly values for Light- (LDV), Medium-(MDV), and Heavy-Duty Vehicles (HDVs), reflecting the daytime, evening, and nighttime, 07:00–19:00, 19:00–22:00 and 22:00–07:00, respectively. Lastly, noise levels were estimated at the two measurement locations. The calculation height was 1.5 m above the ground. Further details on the several input variables and noise estimation are described below.
As stated, we used imputed measured data, traffic speed, ADT, etc., in noise simulations for the E45 motorway. Whereas, for the other roads in the study site, road attributes were obtained from the Danish National Road and Traffic Database [57], containing information about ADT, speed, and different road types for all major and minor roads in Denmark. Based on the classification of roads, the road type reflects daily traffic patterns and the hourly traffic distribution for different days and vehicle types, e.g., passenger cars, buses, and trucks. See [57] for further details. The above information was used to prepare hourly traffic values for each road except the E45 motorway in the study area.
The traffic speed values (km/h) for other roads were also acquired from the same national traffic database [57]. The same average speed was assumed for day, evening and nighttime and all vehicle categories (LDV, MDV, HDV).
SoundPLAN contains several predefined road surface libraries, per Danish and international standards. In conjunction, the road surface was assumed as Stone Mastic Asphalt with 11 mm texture depth (SMA 11), reflecting the recommendations of one of the reports published by the Danish Road Directorate [58]. Moreover, the emission factors in SoundPLAN were based on the Nordic emissions database [59], representing the corresponding road surface and type.
Building polygons were obtained from the GeoDenmark web portal (https://www.geodanmark.dk/ (accessed on 15 October 2023)). The dataset for each building included estimated building height in meters. The building heights were estimated using the National Elevation Model, which has a 1 m × 1 m resolution, and these were calculated as the difference between the Danish Terrain Model (DTM) and the Danish Surface Model (DSM). In addition, first- and second-order noise reflections from building façades were included in noise simulations.
Information on the terrain was acquired from the Danish Agency for Data Supply and Efficiency (SFDE) (https://dataforsyningen.dk/ (accessed on 15 October 2023)). Subsequently, a Digital Ground Model (DGM) was calculated in the SoundPLAN software and included in the model calculations. See Figure 2 for 3D and 2D views of the DGM from the SoundPLAN software. The DGM accounts for screening effects from the terrain. Road surfaces and water bodies were assumed to be acoustically “hard” (reflecting). All other areas/land use were assumed acoustically “soft” (absorbing). Water bodies, roads, and all other surfaces were assigned ground classes H, G and D. Details regarding Nord2000’s ground classes can be seen in [60]. Moreover, any potential screening and/or reflecting effect from buildings was also considered in noise simulations.
Figure 2.
(a) Three-dimensional (3D) view of the Digital Ground Model (DGM) from the SoundPLAN software (version 8.2). The DGM was prepared for noise estimation using Nord2000 algorithms. The green basemap is the study site’s Digital Elevation Model (DEM), reflecting ground surface elevation. (b) Another view of the 3D DGM showing 3D building polygons; (c) 2D site map showing the calculation points (black and white circles) (height = 1.5 m), roads with emission lines (red), and 2D building polygons (gray). Note: The red (a) and green/blue lines (b) indicate the horizontal and vertical axes in software visualization.
It should be noted that Nord2000 has a comprehensive set of weather classes for different scenarios, open areas, or dense city centers. The weather classes include temperature and relative humidity data and parameters for determining the sound speed profile in 10° sectors for the day, evening, and night. Moreover, the Danish EPA’s report [60] states that these classes are adequate to reflect on meteorology for strategic noise mapping and general surveys. Therefore, the default weather libraries were used in Nord2000 simulations to reflect a mix of residential, open, dense, and sparse vegetation in our study area (see Figure 1).
Finally, the hourly LAeq1h levels (dBA) at the two measuring locations were calculated with a source search radius of 1000–1500 m. The aim was to ensure that the nearest busy roads were included in the noise estimation. Again, this is especially relevant for our study site, containing open areas, as noise from highways and busy roads in such a setting can be perceived at distances up to about 1 km and more depending on the meteorology [61].
2.4.2. RTN-96
In principle, the same input data, road network, building polygons, and terrain were used to prepare a separate DGM for RTN-96 noise simulations in the SoundPLAN software. The same hourly LAeq1h levels (dBA) were estimated at the two measuring locations for the same measurement time, 1 September–15 November 2019. The DGM containing ground surface elevation and road attributes, including ADT, speed, and building heights data, was prepared as described in Section 2.4.1. The following paragraph reflects the main differences in RTN-96 simulations compared to the Nord2000 concerning traffic inputs, weather conditions, and corrections, e.g., road surface correction.
Per RTN-96’s requirements, ADT values of the day, evening, and night were used for only two vehicle categories, LDV and HDV. However, the MDV values were not discarded and included in the LDV. In addition, average traffic speed values for LDV and HDV were used for day, evening, and night. Since roads were assumed as SMA 11 in the Nord2000 simulations, the road correction factor of 1.4 dBA was used to reflect the same road surface conditions in the RTN-96. The correction factor was obtained from the Nord2000 Handbook [62].
Because the RTN-96 model does not consider weather conditions (e.g., wind speed, temperature) in noise simulations, no such data were used. Moreover, like Nord2000 simulations, hourly noise levels (LAeq1h, dBA) at the measuring locations were estimated at a height of 1.5 m with a source search radius of 1000–1500 m. Again, the aim was to ensure that the nearest busy roads were included in the noise estimation. Furthermore, building reflections were considered, and 1st and 2nd-order reflections were included in noise simulations.
2.4.3. CNOSSOS
Let us recall that CNOSSOS has been fully implemented in the SoundPLAN software. All main changes are described in the Danish legislation [63] and FORCE Technology’s reports [64,65] and will not be repeated here. The SoundPLAN CNOSSOS simulation procedure is summarized below as a guideline for future relevant studies.
In addition to the LDV, MDV and HDV, CNOSSOS requires mopeds, motor-, tri- and quadricycles values. However, the values of categories mopeds and motorcycles were set to zero. The reason is twofold. First, there are no measurements of mopeds and motorcycles, etc., for the E45 motorway. Also, mopeds are not allowed on motorways. Second, the effect of such vehicles on total sound power emissions would only become relevant if they were in the majority, which is not the case for the Danish scenario [64]. Therefore, we used the same LDV, MDV and HDV and respective speed values for CNOSSOS simulations as the Nord2000 ones (see Section 2.4.1). Again, the CNOSSOS’ traffic speed values for mopeds and motorcycles were set to zero. The next paragraph summarizes the terrain and road surface conditions.
A separate DGM, containing the same ground surface elevations, building polygons, and road network as the Nord2000, was prepared for CNOSSOS in the SoundPLAN. Moreover, the SMA 11 road surface was assumed for CNOSSOS roads in the SoundPLAN. The aim was to be consistent with Nord2000 and RTN-96 simulations. In conjunction, road surfaces and water bodies were assumed to be acoustically hard (reflecting), whilst all other areas were assumed acoustically soft (absorbing).
CNOSSOS assumes weather as a proportion of time, mainly reflecting two atmospheric conditions [21]. The first one is a homogeneous atmosphere with no wind. The second one is a favorable (or “suitable”) downwind atmosphere with a positive temperature gradient vertically. However, these conditions contrast with Nord2000’s comprehensive set of weather classes usually used for noise estimation in Denmark. Therefore, FORCE Technology has converted complete Nord2000 weather statistics to the CNOSSOS ones to reflect the same Danish weather conditions in its model algorithms. Readers can find more relevant details and sensitivity analyses in [64].
In short, the conversion process produces the proportions of CNOSSOS’ favorable sound propagation for the day, evening, and night in several propagation directions at 20-degree intervals. See Table 1 and Figure A3 for an overview of the CNOSSOS weather classes. In the SoundPLAN software, the converted weather statistics for CNOSSOS are included in the so-called ‘DK Weather’ library. We used this library in noise simulations.
Table 1.
Overview of CNOSSOS weather statistics in the SoundPLAN Nordic software, showing the share of favorable sound propagation for the daytime, evening, and nighttime in 20 degrees wind direction intervals, converted from the Nord2000 weather classes. Readers can find more relevant details in [64]. Note: Wind direction intervals are in degrees (0–360). Daytime (07:00–19:00), evening (19:00–22:00) and nighttime (22:00–07:00) values are in %.
Moreover, in the CNOSSOS simulations, the hourly noise levels, LAeq1h (dBA), at the two measuring locations were estimated 1.5 m above the ground, with a source search radius of 1000–1500 m. Finally, 1st and 2nd-order building reflections were also included in noise simulations.
2.5. Noise Assessment and Model Evaluations
We calculated daily averages using the hourly model simulations (LAeq1h; Nord2000, RTN-96, CNOSSOS) and measured data to assess the noise levels. The authors are aware that the daily averages might introduce the so-called “data smoothing”, but they are generally considered a more robust measure for assessing noise levels compared to hourly ones due to (i) the comprehensive representation of overall noise, including peak periods, (ii) the stability and reliability, (iii) the cumulative exposure, and (iv) health regulations [66,67]. Thus, we calculated the 24 h A-weighted equivalent sound pressure levels (LAeq24h) (dBA) using Equation (1) [68].
where H is the index for the hour of the day, for example, H = 0 is the hour from 00:00 to 00:59; and LAeq1h is the measured and simulated hourly A-weighted sound pressure level in dBA.
In addition, we calculated the day–evening–night noise levels (Lden) (dBA) using Equation (2). Per the EEA’s glossary [69], it is the energy equivalent noise level over a whole day with a penalty of 10 dBA for nighttime noise (22.00–07.00 in Denmark) and an additional penalty of 5 dBA for evening time noise (19.00–22.00). It should also be noted that the Lden (dBA) is the WHO’s recommended noise metric for health-relevant studies [70].
where H is the index for the hour of the day; LAeq1h is the hourly noise level in dBA; Ke is the evening time penalty of 5 dB; and Kn is the nighttime penalty of 10 dB. For Denmark, day = 07.00–19.00 (12 h), evening = 19.00–22.00 (3 h), and night = 22.00–07.00 (9 h).
The daily noise estimates, LAeq24h and Lden, in dBA, were then analyzed using various summary statistics measures: namely, the Minimum (Min), Mean, Maximum (Max), percentiles (25th, 50th, 75th), and Interquartile Range (IQR). We also analyzed the daily averaged traffic data, AADT and traffic speed, to explore its influence on noise levels. Moreover, we compared the measured and simulated LAeq24h and Lden levels using scatter plots. Furthermore, a series of model evaluation statistics were used to evaluate model performances, including the Spearman’s rank correlation (RS), the Coefficient of Determination (R2), Root Mean Squared Error (RMSE), Mean Absolute Error (MAE), Variance (Var), Standard Deviation (SD), and 95% Confidence Interval (CI) for the regression fits between the measured and the simulated noise levels.
We focused on Spearman’s correlation, which reflected the skewed nature of measured and simulated noise. Furthermore, we were interested in the relative ranking of noise exposure and model error. However, Pearson’s Correlation (RP) was also computed. All statistical analyses were performed in the R software version 4.3.2 [52].
2.6. High-Resolution Noise Mapping
We developed high-resolution, 5 m × 5 m noise maps (LAeq24h, dBA) of Nord2000, RTN-96 and CNOSSOS using the SoundPLAN software. The color scheme of the maps was chosen according to the guidelines of the Danish EPA [31]. Noise mapping aimed to (i) explore the spatiotemporal variation of daily noise levels in the study area and (ii) study the feasibility of Nord2000, CNOSSOS and RTN-96 for high-resolution noise mapping. Since the weekly traffic patterns generally remain the same [71], noise maps of only the first seven days (1–8 September 2019) are presented in this article, and these are subsequently discussed in Section 3 and Section 4.
2.7. Data Fusion
Finally, we combined measured and simulated noise levels, LAeq24h and Lden (dBA), to produce a fused dataset and compared it with the measurements. The data fusion process used the Confidence-Weighted Averaging (CWA) technique proposed by Elmenreich [43]. As stated in the Section 1, the aim was to explore the unexplored CWA’s potential to combine measured and predicted noise levels. Interested readers are referred to [43] for detailed fusion algorithms and their mathematical proofs.
In short, the Confidence-Weighted averaging (CWA) is a method for fusing samples from multiple data sources (e.g., measurements) into a dependable robust estimation of a variable in the control environment. Each sensor measurement is represented by a measurement value and a confidence marker that corresponds to the respective variance of the measurement error. The CWA algorithm considers the estimated variance of the measurement error and produces a result with minimum mean squared error, making it optimal for calibrated sensors (or similar data sources) with uncorrelated error functions.
In CWA, the fused value is calculated as the weighted average of all the measurands, which are here simulated and measured noise levels (see Equation (3)). The weights are derived from the reciprocal of the variance of each measurand (simulated or measured noise). In addition, the CWA assumes that the values of the two measurands are independent and errors are not correlated.
where represents the measurands, measured and simulated noise; and represents the variances of the measurands.
3. Results
3.1. Measurements Results
Table 2 shows the summary statistics of measurement results. The results are for daily averaged LAeq24h and Lden (dBA) (N = 76 days) at the two measuring locations. At location 1, R1, the LAeq24h levels varied from 69.5 to 75.5 dBA, whilst the Lden levels varied from 72.1 to 79.4 dBA. Likewise, at location 2, R2, the respective ranges were 64.9–70.2 dBA and 67.5–74.1 dBA. The measured noise levels were higher at location 1 compared to location 2, as the former was closer to the E45 motorway. Also, a relatively higher variation in observed noise levels at location 1 can be seen in Table 2.
Table 2.
Summary statistics of the measurement results, daily averages, LAeq24h and Lden (dBA), at the two measuring locations, along the E45 highway in Helsted, Denmark. Total number of days, N = 76. Note: R1 = Measuring location 1; R2 = Measuring location 2; Min = Minimum, Max = Maximum, Var = Variance, SD = Standard Deviation, p25 = the 25th percentile, p50 = the 50th percentile (Median), p75 = the 75th percentile, IQR = Interquartile Range. All units are in dBA.
There were a few notable uncertainties in measurements, which are described below. The extent to which the road surface properties of the E45 motorway represented their commonly used annual average noise emissions value, during the measurements, was unknown. Moreover, the Danish Road Directorate’s traffic-counting equipment at the E45 motorway did not work during the measurement period. Thus, the normalization of the measured noise data was based on traffic counts from nearby counting stations, possibly introducing discrepancies in the observed data.
In addition, similar uncertainties were found in the measuring process due to contributions from extraneous and background noise sources. In summary, the measured data were uncertain in the range of 1.3–2.1 dB, reflecting a 90% confidence interval [64]. This ambiguity in the observed noise levels was found to be more prominent at nighttime than in the daytime.
The measurements used in this article correlated fairly with the 2018 reference measurement data. See Figure A4 showing the comparison, including Spearman’s and Pearson’s correlation matrices. In short, Spearman’s correlation coefficients at R1 and R2 and the reference measurements were RS = 0.76 and 0.78, respectively. The Coefficient of Determination, R2, was 0.56 and 0.59. All correlations were statistically significant. Moreover, Figure A5 shows the line plots of daily LAeq24h and Lden (dBA) with ADT (vehicles/day). At both measuring locations, R1 and R2, a clear notable pattern exists between the noise levels and ADT. That is, the observed noise levels move toward the lower values with a drop in ADT from late October to early November 2019, highlighting ADT as a significant noise source.
3.2. Measured vs. Simulated Noise
Figure 3 shows scatter plots comparing measured and simulated LAeq24h and Lden levels (dBA, daily average) of Nord2000, CNOSSOS and RTN-96. In addition, Table 3 shows the summary and model evaluation statistics of the same comparisons. At location 1, R1, Nord2000 estimates correlated relatively better, RS = 0.85–0.92, than CNOSSOS and RTN-96, RS = 0.79–0.90 and 0.82–0.86. All models over- and underestimated the recorded noise levels at R1 (Figure 3). Model deviations can also be seen in Table 3. For LAeq24h at R1, Nord2000 predictions fitted better with the measurements (RSME = 1.6 dBA), whilst for Lden, CNOSSOS and RTN-96 reproduced observations relatively well (RMSE = 1.3–1.7 dBA).
Figure 3.
Comparison of the measured and modeled noise of Nord2000, CNOSSOS and RTN-96 at the two measuring locations in the study site, Helsted, Denmark. The noise levels, LAeq24h and Lden (N = 76 days) (daily averages), are in dBA. Note: R = Spearman’s correlation coefficient (RS), p = p-value showing the statistical significance of the correlation coefficients. Regression lines with 95% confidence intervals are also shown in the scatter plots.
Table 3.
Descriptive and model evaluation statistics of Nord2000, CNOSSOS and RTN-96 at the two measuring locations. Model evaluations are for estimated LAeq24h and Lden in dBA. Note: Min = Minimum; Med = Median; Max = Maximum; Rs = Spearman’s rank correlation coefficient; R2 = the Coefficient of Determination; RMSE = Root Mean Squared Error; MAE = Mean Absolute Error; Var = Variance; SD = Standard Deviation; 95% CI = 95% Confidence Interval of the Pearson’s correlation coefficients. All values except Rs, R2 and 95% CI are in dBA. All correlations are statistically significant, and values > 0.75 are colored bright green. Similarly, RMSE and MAE values are also colored, light green (≤2 dBA), light orange (>2 and <3.5 dBA), and red (≥3.5 dBA).
At location 2, R2, similar good agreements between measured and simulated noise levels, RS = 0.82–0.98, can clearly be observed. Again, like R1, model over- and underestimations of LAeq24h and Lden levels at R2 are notable (see Table 3 and Figure 3). There was an excellent agreement between Nord2000’s predicted Lden levels and the measured data at R2, which was reflected by RS = 0.98 and RMSE = 0.4 dBA. Also, noticeably, the most significant discrepancies were produced by the RTN-96 model, RMSE = 3.5–4.2 dBA, at both measuring locations.
Overall, the road proximity of the two measuring locations is well-reproduced by all the models. That is, there were higher LAeq24h and Lden levels at R1 compared to R2 (Table 3). Nord2000 model prediction levels were generally higher than CNOSSOS and RTN-96 (Figure 3). In addition, concerning the strength of the relationship between the measured and simulated noise levels, Nord2000 performed better than the other two models, RS = 0.85–0.98 vs. 0.79–0.92 (CNOSSOS) and 0.82–0.91 (RTN-96).
FORCE Technology also reported model deviations in their report [64] while comparing measured 63.8 dBA vs. the Nord2000 estimated 65.6 dBA (annual average Lden) at measuring location 2 in Helsted. The overall uncertainty with a degree of 90% confidence interval in the simulated annual average Lden was estimated to be 2.3 dBA. No measured or simulated results were reported for measuring location 1 in [64].
3.3. Results of Noise Mapping
Figure 4 shows high-resolution LAeq24h (dBA, 5 m × 5 m) maps for 1–4 September 2019 (Sunday–Wednesday), produced by Nord2000, CNOSSOS and RTN-96, in the SoundPLAN software version 8.2. In addition, Figure A6 shows the same maps for the rest of the week, 5–7 September 2019 (Thursday–Saturday). The spatial spread and gradients of LAeq24h levels can be seen in all the maps. Also, the simulated LAeq24h patterns seem to be the same, higher levels (blue and purple color) closer to the E45 motorway and roads, and lesser levels near minor/less busy roads. Overall, the LAeq24h levels of Nord2000 are higher (fewer yellow and green zones) than CNOSSOS and RTN-96, where more green and yellow zones representing lower noise can be seen.
Figure 4.
High-resolution mapping (5 m × 5 m; 1–4 September 2019) of LAeq24h (dBA) levels produced by Nord2000, CNOSSOS and RTN-96 in the SoundPLAN software version 8.2. Maps of 1–4 September 2019 are shown here. See Figure A6 for the maps of 5–7 September 2019.
3.4. Results of Data Fusion
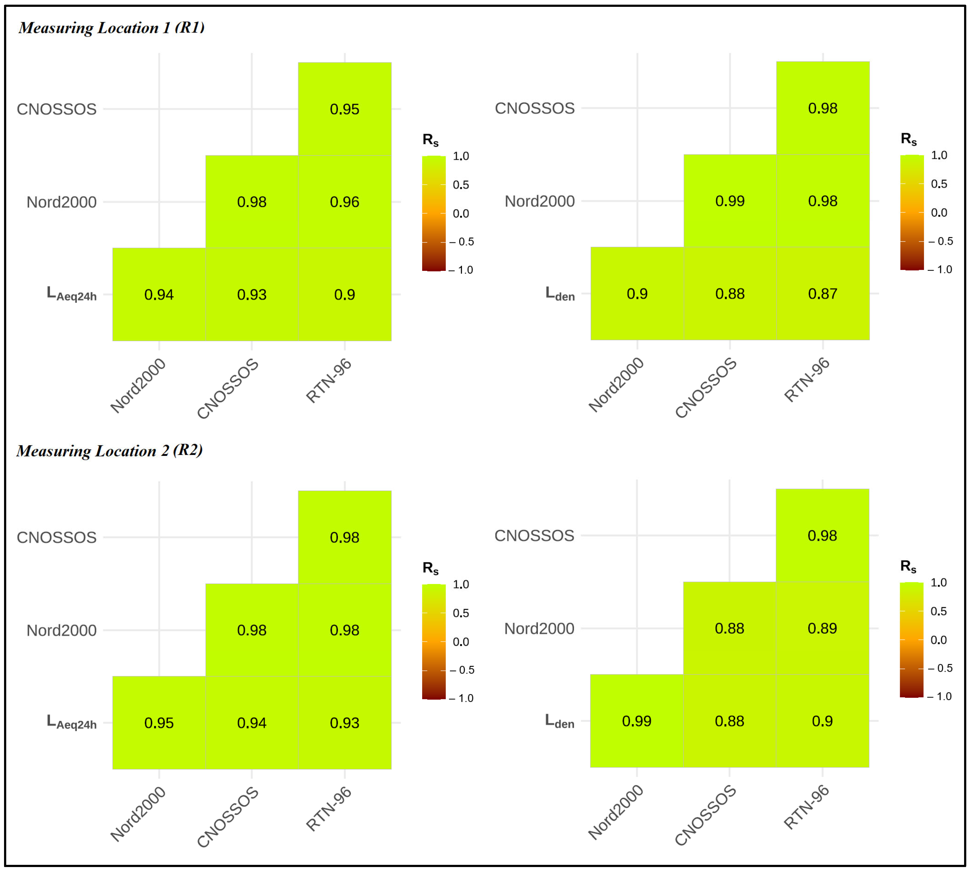
Figure 5 shows Spearman’s correlation matrices, comparing measured data and fused noise estimates of Nord2000, CNOSSOS and RTN-96. Also, Table A1 shows summary and model evaluation statistics of the same comparison. All fused estimates of the three models correlated very well with the measurements at location 1, RS = 0.87–0.94. The same holds for the fused estimates vs. measurements at location 2, where Spearman’s correlations range was 0.88–0.99. If one compares the model vs. measurements analysis given in Figure 3 and Table 3 with the fused estimates analysis (Figure 5 and Table A1), correlations have generally improved with the highest RS value = 0.99. The same applies to RMSE with maximum values limited to 4.0 dBA (Table A1).
Figure 5.
Correlation matrices reflecting Spearman’s correlation coefficients for comparing measured data and fused noise estimates, LAeq24h (left side) and Lden (right side), for Nord2000, CNOSSOS and RTN-96. Measuring locations 1 and 2 (R1 and R2) are marked. Note: RS = Spearman’s correlation coefficient. The variables Nord2000, CNOSSOS and RTN-96 in the correlation matrices represent the fused noise estimates, whilst LAeq24h and Lden represent the measured noise dataset.
4. Discussions
Despite the use of high-quality Class-1 equipment, the reliability of the measurements used in this article should be approached with caution when interpreting the measurement results in Table 2. This is due to factors such as background noise and equipment faults, etc., introducing uncertainties in the measured data. See Section 3.1 for details. These uncertainties highlight the challenges of conducting real-world measurements. Therefore, it is essential to acknowledge possible limitations of measurements in a real-world setting.
Following the above, we noticed several discrepancies in the estimated LAeq24h and Lden levels of Nord2000, CNOSSOS and RTN-96 (see Figure 3 and Table 3). These model differences are mainly related to the respective model parametrization, structure and how they predict noise levels. For example, Nord2000 uses advanced numerical methods to estimate noise, whilst CNOSSOS uses more approximation, e.g., in its propagation algorithms. We have previously described these model structure differences in one of our studies [20], which will not be repeated here again. On top of this, as stated above, there were uncertainties in the measurements data, possibly leading to disagreements between the observations and model simulations. All this explains why Nord2000, CNOSSOS, and RTN-96 could not reproduce the observed noise levels.
However, despite model deviations, the overall Spearman’s correlations range seems very promising, RS = 0.79–0.98. Nord2000, being a state-of-the-art model, performed the best. CNOSSOS showed great potential for noise prediction (LAeq24h and Lden) and high-resolution mapping (see Table 3 and Figure 4). RTN-96 performed the worst with significant discrepancies. This is because RTN-96 does not consider meteorology, air temperature, wind speed and direction, etc., in its noise prediction process. Furthermore, the RTN-96 model does not simulate certain terrain types and upwind conditions. See [16] for more RTN-96 technical details. The significant influence of meteorology on outdoor sound propagation over long distances is well documented [72,73,74]. Thus, notable RTN-96 prediction errors in this work can be linked to the underlying model limitations, making it unsuitable for health assessments and city planning.
The fused noise estimates, via the Confidence-Weighting Average (CWA) (see Section 3.4), and their comparison with measurements showed relative improvements in model agreements and errors. See Figure 5 and Table A1. Thus, it is reasonable to establish that the CWA has a promising potential to help obtain more accurate noise levels in a region of interest. However, one should be aware that combining simulated and measured data may lead to overfitting, underscoring the need to ensure the good quality (e.g., a couple of months) of both datasets.
Results like our model evaluation findings have previously been reported. Larsson [38] compared Nord2000 predicted sound exposure levels (LAE in dB) with the measurements in Sweden. The LAE levels were computed at a 10 m distance from light vehicles and varying speeds. Larsson reported Nord2000 model overestimations up to 3 dB. Likewise, Van Renterghem and colleagues [5] evaluated CNOSSOS model predictions against street noise measurements in Barcelona and reported deviations in the range of 2–3 dBA. Gozalo and Escobar [75] compared CNOSSOS model predictions with measurements in two Ibero-American cities, Talca and Moraleja, and found model differences up to 3.2 dBA.
Bąkowski and Radziszewski [76] also compared CNOSSOS model predictions with noise recording in Kielce, Poland, and found a good agreement between measured and modeled median values. Similarly, Vergoed and van Leeuwen [77] evaluated CNOSSOS’ performance in the Netherlands and found a good agreement (deviations up to 2 dBA) between model estimates and measurements. In another study, Chang and colleagues [78] implemented the modified RTN-96 method in Taichung City, Taiwan, and compared model estimates with the measurements. They reported model differences up to 3.5 dBA.
Thus, in summary, our model vs. measurements findings were in line with the previously published studies in the literature. Moreover, to our knowledge, none of the studies in the literature used CWA for the data fusion of simulated and measured noise levels. Hence, we could not compare our fused noise estimates and relevant findings with the published literature.
5. Strengths and Limitations
The major strengths of this study are as follows. First, let us recall CNOSSOS was recently revised in 2021 and implemented in the SoundPLAN software, and its validation and evaluation studies are scarce. In addition, model validation studies of Nord2000 and RTN-96, the two Nordic noise prediction standards, have been minimal, particularly in challenging real-world settings. This first-of-its-kind research work addresses these knowledge and research gaps as one of its major strengths. This is particularly important because such model evaluations facilitate city planners and health scientists to better understand the different model performances as implications for health impact studies and urban planning. Second, this article highlights the great potential of understudied data fusion using the CWA technique to produce more accurate noise data, which is relevant for mapping and assessments.
Our study, however, has several limitations. First, there is the uncertainty in the measured noise dataset due to background and extraneous sources as well as in the measured traffic data (AADT), as described earlier. This may have led to the possible model artefacts and uncertainty in the modeling vs measurements analyses. Second, the noise model (Nord2000, CNOSSOS, RTN-96) validations in this study are based on one study site and for many days. Thus, model validations mainly reflect the temporal assessment, not the spatial one, which is crucial to understand the spatial reproducibility of the predicted noise levels. Third, the model validation is based on measurements along a motorway (two measuring locations), which may not represent typical urban environments.
6. Conclusions
This article compares the predicted daily LAeq24h and Lden levels (dBA) of Nord2000, CNOSSOS and RTN-96 with measurements (N = 76 days) along the E45 motorway in Helsted, Denmark. In addition, the article explores the feasibility of data fusion via Confidence-Weighting Average (CWA) for its applicability in improved noise estimation. Overall, Spearman’s correlations (RS) between measurements and model estimates were strong and highly positive (0.79–0.98). RTN-96 showed significant model differences compared to Nord2000 and CNOSSOS. Model deviations are mainly attributed to model parametrization as well as uncertainties in model inputs and the measured data. The large discrepancy in RTN-96 predictions (>3 dBA) is due to the lack of meteorology in its noise simulations process.
Nord2000 performed the best against the measurements and is recommended for noise prediction, mapping and health assessments in Denmark. In addition, CNOSSOS reproduced the observed noise levels significantly well and showed great potential for similar noise assessments and should be explored by town planners and health scientists.
7. Outlook
Further evaluation of Nord2000, CNOSSOS, and RTN-96 is needed and will be explored in future research. Additionally, future studies should encompass urban measurement sites and conduct detailed temporal (hourly, monthly, and yearly) and spatial model validations.
Author Contributions
Conceptualization, J.K.; methodology, J.K.; software, J.K. and E.T.; validation, J.K. and E.T.; formal analysis, J.K.; investigation, J.K., E.T. and C.B.; resources, J.K. and S.S.J.; data curation, J.K. and C.B.; writing—original draft preparation, J.K.; writing—review and editing, J.K., E.T., C.B., P.F., O.H. and S.S.J.; visualization, J.K. All authors have read and agreed to the published version of the manuscript.
Funding
This research was funded by the Danish Big Data Centre for Environment and Health (BERTHA) at Aarhus University, Roskilde, Denmark. BERTHA is funded by the Novo Nordisk Fonden (Denmark) Challenge Programme, Grant # NNF170C0027864. No APCs were applied, since this article is the invited contribution to the MDPI Acoustics.
Data Availability Statement
The data presented in this study are available in the article.
Acknowledgments
The authors gratefully acknowledge the help and support of Frank Pedersen, the Danish Environmental Protection Agency (EPA), at the early stages of this research work. Thanks to the Danish Road Directorate for providing measured noise data for this study. Special thanks to Lene Nøhr Michelsen and Jakob Fryd, Danish Road Directorate, for valuable discussions and suggestions, which significantly improved the research work. Thanks to Jacob Storm Jørgensen, SoundPLAN Nordic, for helping with the model setups. This article is a 100% human effort. No AI chatbots were used at any stage of article preparation.
Conflicts of Interest
Authors, E.T., C.B. and P.F., are employed by the FORCE Technology, Hørsholm, Denmark. The remaining authors, J.K., O.H. and S.S.J., declare that the research was conducted in the absence of any commercial or financial relationships that could be construed as a potential conflict of interest.
Abbreviations
AADT: Annual Average Daily Traffic; CNOSSOS-EU: Common Noise Assessment Methods for the EU Member States; CWA: Confidence-Weighting Average; DGM: Digital Ground Model; DMI: Denmark’s Meteorological Institute; DSM: Digital Surface Model; DTM: Digital Terrain Model; EEA: European Environment Agency; EU: European Union; EPA: Environmental Protection Agency; HDV: Heavy-Duty Vehicle; IEC: International Electrotechnical Commission; ISO: International Organization for Standardization; LDV: Light-Duty Vehicle; LAeq,15min: 15 min A-weighted Equivalent Sound Pressure Level; LAeq24h: 24-hourly A-weighted Equivalent Sound Pressure Level; LAeq1h: 1 h A-weighted Equivalent Sound Pressure Level; Lden: Day–Evening–Night noise levels with 5 dB and 10 dB as evening and night penalties; MDV: Medium-Duty Vehicle; Nord2000: Nord2000 Road Noise Model; RF: Random Forests; RMSE: Root Mean Squared Error; RTN: Road Traffic Noise 1996 Noise Model; R1: Measuring location 1; R2: Measuring location 2; R2: Coefficient of Determination; R = RS = Spearman’s rank correlation coefficient; RP: Pearson’s Correlation Coefficient; SLM: Sound Level Meter; WHO: World Health Organization.
Appendix A
Appendix A presents supplementary figures for the Material and Methods section (Section 2). All figure captions are described in detail. Therefore, no further details are provided here.
Figure A1.
(a) Satellite imagery view of the study site and the two measuring locations. (b) Another view of the study site. Note: Respective distances of the measuring locations (blue lines) (location 1: 36.4 m, location 2: 123.3 m) from the E45 motorway can also be seen. Source satellite imagery: Danish Geodata Agency (https://eng.gst.dk/ (accessed on 15 October 2023)).
Figure A2.
Missing values in the measured dataset with the intersection of traffic and noise variables, ADT_HDV = 62.7%, Spd_HDV = 62.7%, ADT_MDV = 47.5%, Spd_MDV = 47.5%, ADT_LDV = 28.3%, Spd_LDV = 28.3%, LAeq1h_R1 = 27.6%, and LAeq1h_R2 = 27.6%. Note: ADT = Average Daily Traffic (vehicles/day), LDVs = Light-Duty Vehicles (vehicles/day), MDVs = Medium-Duty Vehicles (vehicles/day), HDVs = Heavy-Duty Vehicles (vehicles/day), Spd = Traffic speed (km/h), LAeq1h = Measured hourly A-weighted equivalent sound pressure levels data (dBA), R1 and R2 = Measuring locations 1 and 2.
Figure A3.
Schematic representation of the share of CNOSSOS’ favorable sound propagation for the day (07:00–19:00; red color), evening (19:00–22.00; blue color) and nighttime (22.00–19.00; green color) in Denmark. The schematic shows wind direction from 0 to 360 degrees. The above schematic is taken from the CNOSSOS “DK Weather” library in the SoundPLAN software version 8.2.
Appendix B
Appendix B presents supplementary figures for the Results section (Section 3). All figure captions are described in detail. Therefore, no further details are provided here.
Figure A4.
Correlation matrices reflecting (a) Spearman and (b) Pearson correlation coefficients for comparing measured noise data (1 September–15 November, Autumn 2019, this article) and 2018 reference measurements data. Note: R1 = Measuring location 1, R2 = Measuring location 2, RS = Spearman’s correlation coefficient, Rp = Pearson’s correlation coefficient, LAeq1h (R1) = Measured A-weighted equivalent sound pressure levels at location 1, LAeq1h (R2) = The same at location 2, LAeq1hRef (R1) = 2018 reference measured noise levels at location 1, LAeq1hRef (R2) = 2018 reference measured noise levels at location 2. All correlations are statistically significant. The red ellipses show the most relevant correlation values between the measured noise at R1 and R2.
Figure A5.
Measured noise, showing daily averages of LAeq24h and Lden (dBA) with the observed number of vehicles per day on the E45 motorway. Note: measurements period = 1 September–15 November 2019 (N = 76 days).
Figure A6.
High-resolution maps (5 m × 5 m) of estimated LAeq24h (dBA) levels of Nord2000, CNOSSOS and RTN-96 in Helsted, Denmark for 5–7 September 2019.
Table A1.
Descriptive and model evaluation statistics of the fused estimates of Nord2000, CNOSSOS and RTN-96 at the two measuring locations. Model evaluations are for LAeq24h and Lden in dBA. Note: Min = Minimum; Med = Median; Max = Maximum; Rs = Spearman’s rank correlation coefficient; R2 = the coefficient of determination; RMSE = Root Mean Squared Error; MAE = Mean Absolute Error; Var = Variance; SD = Standard Deviation. All values except RS and R2 are in dBA. All correlations are statistically significant, and values > 0.75 are colored bright green. Similarly, RMSE and MAE values are also colored light green (≤2 dBA), light orange (>2 and <3.5 dBA), and red (≥3.5 dBA).
References
- Khomenko, S.; Cirach, M.; Barrera-Gómez, J.; Pereira-Barboza, E.; Iungman, T.; Mueller, N.; Foraster, M.; Tonne, C.; Thondoo, M.; Jephcote, C.; et al. Impact of road traffic noise on annoyance and preventable mortality in European cities: A health impact assessment. Environ. Int. 2022, 162, 107160. [Google Scholar] [CrossRef] [PubMed]
- Meng, Z.L.; Chen, F.; Zhao, F.; Gu, H.L.; Zheng, Y. Early detection of noise-induced hearing loss. World J. Clin. Cases 2022, 10, 1815. Available online: https://www.ncbi.nlm.nih.gov/pmc/articles/PMC8891767/ (accessed on 16 October 2023). [CrossRef]
- Jagniatinskis, A.; Fiks, B.; Dimitriu, D. Annual assessment of highway traffic noise using two-channel short-term measurements. Transport 2014, 29, 204–211. [Google Scholar] [CrossRef][Green Version]
- Bendtsen, H.; Pedersen, T.H. Noise annoyance from motorways is worse than annoyance from urban roads. In Proceedings of the EuroNoise2021 (Online Conference), Madeira, Portugal, 25–27 October 2021; Available online: http://www.sea-acustica.es/fileadmin/Madeira21/ID169.pdf (accessed on 16 October 2023).
- Van Renterghem, T.; Aletta, F.; Botteldooren, D. Changes in the soundscape of the public space close to a highway by a noise control intervention. Sustainability 2021, 13, 5284. [Google Scholar] [CrossRef]
- Begou, P.; Kassomenos, P.; Kelessis, A. Effects of road traffic noise on the prevalence of cardiovascular diseases: The case of Thessaloniki, Greece. Sci. Total Environ. 2020, 703, 134477. [Google Scholar] [CrossRef]
- European Environment Agency (EEA). Health Risks Caused by Environmental Noise in Europe. 2020. Available online: https://www.eea.europa.eu/publications/health-risks-caused-by-environmental (accessed on 16 October 2023).
- European Environment Agency. Road Traffic Remains Biggest Source of Noise Pollution in Europe. 2020. Available online: https://www.eea.europa.eu/highlights/road-traffic-remains-biggest-source (accessed on 16 October 2023).
- Danish Environmental Protection Agency (EPA). Traffic Noise. 2022. Available online: https://eng.mst.dk/air-noise-waste/noise/traffic-noise/ (accessed on 16 October 2023).
- Melo, R.A.; Pimentel, R.L.; Lacerda, D.M.; Silva, W.M. Applicability of models to estimate traffic noise for urban roads. J. Environ. Health Sci. Eng. 2015, 13, 83. [Google Scholar] [CrossRef] [PubMed]
- Bravo-Moncayo, L.; Chávez, M.; Puyana, V.; Lucio-Naranjo, J.; Garzón, C.; Pavón-García, I. A cost-effective approach to the evaluation of traffic noise exposure in the city of Quito, Ecuador. Case Stud. Transp. Policy 2019, 7, 128–137. [Google Scholar] [CrossRef]
- Khan, J.; Ketzel, M.; Kakosimos, K.; Sørensen, M.; Jensen, S.S. Road traffic air and noise pollution exposure assessment–A review of tools and techniques. Sci. Total Environ. 2018, 634, 661–676. [Google Scholar] [CrossRef]
- Craven, N.J.; Kerry, G. A Good Practice Guide on the Sources and Magnitude of Uncertainty Arising in the Practical Measurement of Environmental Noise; University of Salford: Salford, UK, 2007; Available online: https://usir.salford.ac.uk/id/eprint/20640/1/Good_Practice_Guide_May_2007.pdf (accessed on 16 October 2023).
- Liguori, C.; Paolillo, A.; Ruggiero, A.; Russo, D. Outlier detection for the evaluation of the measurement uncertainty of environmental acoustic noise. IEEE Trans. Instrum. Meas. 2015, 65, 234–242. [Google Scholar] [CrossRef]
- Peters, R. (Ed.) Uncertainty in Acoustics: Measurement, Prediction and Assessment; CRC Press: Boca Raton, FL, USA, 2020; ISBN #9780429470622. Available online: https://www.routledge.com/Uncertainty-in-Acoustics-Measurement-Prediction-and-Assessment/Peters/p/book/9780367492472 (accessed on 16 October 2023).
- Lyse Nielsen, H. Road Traffic Noise: Nordic Prediction Method: No. 1996-525; (TemaNord). Nordic Council of Ministers’ Technical Report #1996-525 (Revised); Nordic Council of Ministers: Copenhagen, Denmark, 1997; Available online: https://books.google.dk/books/about/Road_Traffic_Noise.html?id=icIiN15oFPUC&redir_esc=y (accessed on 16 October 2023).
- Plovsing, B. Nord2000—Comprehensive Outdoor Sound Propagation Model. Part 1: Propagation in an Atmosphere without Significant Refraction; Technical Report #AV1849/00 (Revised); DELTA Acoustics and Vibrations: Hørsholm, Danmark, 2006; Available online: https://forcetechnology.com/-/media/force-technology-media/pdf-files/projects/nord2000/nord2000-comprehensive-outdoor-sound-propagation.pdf (accessed on 16 October 2023).
- Plovsing, B. Nord2000. Comprehensive Outdoor Sound Propagation Model. Part 2: Propagation in an Atmosphere with Refraction; Technical Report #AV1851/00 (Revised); DELTA Acoustics and Vibrations: Hørsholm, Danmark, 2006; Available online: https://forcetechnology.com/-/media/force-technology-media/pdf-files/projects/nord2000/nord2000-comprehensive-outdoor-sound-propagation-model---part-2-propagation-in-an-atmosphere-with-re.pdf (accessed on 16 October 2023).
- Plovsing, B. Proposal for Nordtest Method: Nord2000—Prediction of Outdoor Sound Propagation; Technical Report #1106/07 (Revised); DELTA Acoustics and Vibrations: Hørsholm, Danmark, 2014; Available online: https://forcetechnology.com/-/media/force-technology-media/pdf-files/projects/nord2000/nord2000-nordtestproposal-rev4.pdf (accessed on 16 October 2023).
- Khan, J.; Ketzel, M.; Jensen, S.S.; Gulliver, J.; Thysell, E.; Hertel, O. Comparison of Road Traffic Noise prediction models: CNOSSOS-EU, Nord2000 and TRANEX. Environ. Pollut. 2021, 270, 116240. [Google Scholar] [CrossRef]
- Danish Environmental Protection Agency (EPA) Nord2000: Nordic Noise Prediction Method. 2022. Available online: https://eng.mst.dk/air-noise-waste/noise/traffic-noise/nord2000-nordic-noise-prediction-method/ (accessed on 16 October 2023).
- Thacher, J.D.; Poulsen, A.H.; Raaschou-Nielsen, O.; Hvidtfeldt, U.A.; Brandt, J.; Christensen, J.H.; Khan, J.; Levin, G.; Münzel, T.; Sørensen, M. Exposure to transportation noise and risk for cardiovascular disease in a nationwide cohort study from Denmark. Environ. Res. 2022, 211, 113106. [Google Scholar] [CrossRef] [PubMed]
- Erdmann, F.; Raaschou-Nielsen, O.; Hvidtfeldt, U.A.; Ketzel, M.; Brandt, J.; Khan, J.; Schüz, J.; Sørensen, M. Residential road traffic and railway noise and risk of childhood cancer: A nationwide register-based case-control study in Denmark. Environ. Res. 2022, 212, 113180. [Google Scholar] [CrossRef] [PubMed]
- Danish EPA. Støj fra veje (Noise from Roads). Road Noise Guidelines Report #04/2007. 2007. Available online: https://www2.mst.dk/Udgiv/publikationer/2007/978-87-7052-542-8/pdf/978-87-7052-542-8.pdf (accessed on 16 October 2023). (In Danish).
- Kephalopoulos, S.; Paviotti, M.; Anfosso-Lédée, F.; Van Maercke, D.; Shilton, S.; Jones, N. Advances in the development of common noise assessment methods in Europe: The CNOSSOS-EU framework for strategic environmental noise mapping. Sci. Total Environ. 2014, 482, 400–410. [Google Scholar] [CrossRef] [PubMed]
- European Commission. Common Noise Assessment Methods for the EU Member States (CNOSSOS-EU) (Annex II). Commission Delegated Directive (EU) #2021/1226. Amendments for Annex II to Directive 2002/49/EC of the European Parliament and of the Council as Regards Common Noise Assessment Methods. 2021. Available online: https://eur-lex.europa.eu/legal-content/EN/TXT/HTML/?uri=CELEX:32021L1226 (accessed on 16 October 2023).
- Kokkonen, A. CNOSSOS-EU noise model implementation in Finland and experience of it in 3rd END round. In Proceedings of the EuroNoise 2018, Crete, Greece, 27–31 May 2018; pp. 27–31. Available online: https://www.euronoise2018.eu/docs/papers/207_Euronoise2018.pdf (accessed on 16 October 2023).
- Salomons, E.; Eisses, A. Investigations of the cnossos sound propagation model. In Proceedings of the EuroNoise 2018, Heraklion, Greece, 27–31 May 2018; pp. 1253–1260. Available online: https://www.euronoise2018.eu/docs/papers/212_Euronoise2018.pdf (accessed on 16 October 2023).
- Kok, A. Refining the CNOSSOS-EU calculation method for environmental noise. In Proceedings of the InterNoise 2019, Madrid, Spain, 16–19 June 2019; Available online: http://www.sea-acustica.es/fileadmin/INTERNOISE_2019/Fchrs/Proceedings/1418.pdf (accessed on 16 October 2023).
- Kok, A.; van Beek, A. Amendments for CNOSSOS-EU: Description of Issues and Proposed Solutions; RIVM Letter Report 2019-0023; Rijksinstituut voor Volksgezondheid en Milieu RIVM: Utrecht, The Netherlands, 2019; Available online: https://rivm.openrepository.com/handle/10029/623095 (accessed on 16 October 2023).
- Danish EPA Ny Strategisk EU Støjkortlægning 2022 (In English: New Strategic EU Noise Mapping 2022). 2023. Available online: https://tinyurl.com/7yztsnx9 (accessed on 16 October 2023).
- Jónsson, G.B.; Jacobsen, F. A comparison of two engineering models for outdoor sound propagation: Harmonoise and Nord2000. Acta Acust. United Acust. 2008, 94, 282–289. [Google Scholar] [CrossRef]
- Kragh, J. Noise Classification—Asphalt Pavement; Danish Road Directorate’s Technical Note #61, 2007; Road Directorate, Danish Road Institute: Hedehusene, Denmark, 2007; Available online: https://www.vejdirektoratet.dk/sites/default/files/publications/noise_classification.pdf (accessed on 16 October 2023).
- Kragh, J. Traffic Noise Prediction with Nord2000—An Update; Danish Road Directorate’s Technical Report #195-2011; Road Directorate, Danish Road Institute: Hedehusene, Denmark, 2011; ISBN 9788770607612. Available online: https://www.vejdirektoratet.dk/api/drupal/sites/default/files/publications/traffic_noise_prediction_with_nord2000.pdf (accessed on 16 October 2023).
- Bendtsen, H. The Nordic prediction method for road traffic noise. Sci. Total Environ. 1999, 235, 331–338. [Google Scholar] [CrossRef]
- Ström, T. Vägtrafikbuller-Bestämning av Berägningsosäkerhet (Road Traffic Noise—An Estimate of Prediction Uncertainty); Nordtest projekt 1273–96. SP Report; Swedish National Testing and Research Institute: Borås, Sweden, 1997; p. 24. (In Swedish) [Google Scholar]
- Faulkner, J.P.; Murphy, E. Road traffic noise modelling and population exposure estimation using CNOSSOS-EU: Insights from Ireland. Appl. Acoust. 2022, 192, 108692. [Google Scholar] [CrossRef]
- Larsson, K. Updated road traffic noise emission models in Sweden. In Proceedings of the INTER-NOISE and NOISE-CON Congress and Conference, Hamburg, Germany, 21–24 August 2016; Volume 253, pp. 7180–7191. Available online: https://www.diva-portal.org/smash/get/diva2:1059678/FULLTEXT01.pdf (accessed on 16 October 2023).
- Nakamura, E.F.; Loureiro, A.A.; Frery, A.C. Information fusion for wireless sensor networks: Methods, models, and classifications. ACM Comput. Surv. CSUR 2007, 39, 9-es. [Google Scholar] [CrossRef]
- Gressent, A.; Malherbe, L.; Colette, A.; Rollin, H.; Scimia, R. Data fusion for air quality mapping using low-cost sensor observations: Feasibility and added value. Environ. Int. 2020, 143, 105965. [Google Scholar] [CrossRef]
- Becerra, M.A.; Tobón, C.; Castro-Ospina, A.E.; Peluffo-Ordóñez, D.H. Information quality assessment for data fusion systems. Data 2021, 6, 60. [Google Scholar] [CrossRef]
- Khaleghi, B.; Khamis, A.; Karray, F.O.; Razavi, S.N. Multisensor data fusion: A review of the state-of-the-art. Inf. Fusion 2013, 14, 28–44. [Google Scholar] [CrossRef]
- Elmenreich, W. Fusion of continuous-valued sensor measurements using confidence-weighted averaging. J. Vib. Control 2007, 13, 1303–1312. [Google Scholar] [CrossRef]
- GeoView Info Denmark Helsted. 2022. Available online: https://dk.geoview.info/helsted,2620467 (accessed on 16 October 2023).
- Cambridge Dictionary. Motorway. 2023. Available online: https://dictionary.cambridge.org/dictionary/english/motorway (accessed on 16 October 2023).
- Wiki Voyage. E45 through Europe. 2023. Available online: https://en.wikivoyage.org/wiki/E45_through_Europe (accessed on 16 October 2023).
- Danish Road Directorate. Traffic Info. 2023. (In Danish). Available online: https://trafikkort.vejdirektoratet.dk/ (accessed on 16 October 2023).
- Kragh, J.; Backalarz, C. Langtidsmålinger af støj fra Motorvej E45 (In English: “Long-Term Measurements of Noise from E45 Highway”); Report #TC-101612 Revision 1 (Case #119-26135), Prepared for the Danish Road Directorate; FORCE Technology: Hørsholm, Denmark, 2021. [Google Scholar]
- ISO 1996-2:2017; Acoustics—Description, Measurement, and Assessment of Environmental Noise—Part 2: Determination of Sound Pressure Levels. International Organization for Standardization (ISO): Geneva, Switzerland, 2023. Available online: https://tinyurl.com/35b26ftx (accessed on 16 October 2023).
- Sigicom. Infra S50 Sound Level Meter. Datasheet. 2023. Available online: https://www.sigicom.com/products/noise/infra-s50-sound-level-meter/ (accessed on 16 October 2023).
- Sigicom. Infra D10 Data Logger. Datasheet. 2023. Available online: https://www.sigicom.com/products/vibration/data-logger-infra-d10/ (accessed on 16 October 2023).
- R Core Team. R: A Language and Environment for Statistical Computing; R Foundation for Statistical Computing: Vienna, Austria, 2023; Available online: https://www.R-project.org/ (accessed on 16 October 2023).
- CRAN—The R Project’s Package Repository. missRanger: Fast Imputation of Missing Values. 2023. Available online: https://cran.r-project.org/web/packages/missRanger/index.html (accessed on 16 October 2023).
- Breiman, L. Random forests. Mach. Learn. 2001, 45, 5–32. [Google Scholar] [CrossRef]
- Wright, M.N.; Ziegler, A. Ranger: A fast implementation of random forests for high dimensional data in C++ and R. arXiv 2015, arXiv:1508.04409. [Google Scholar] [CrossRef]
- Danish EPA. Støjkortlægning og Støjhandlingsplaner (Noise Mapping and Action Plans). Vejledning fra Miljøstyrelsen, 4/2006. 2006. Available online: https://mst.dk/service/publikationer/publikationsarkiv/2006/aug/stoejkortlaegning-og-stoejhandlingsplaner/ (accessed on 16 October 2023).
- Jensen, S.S.; Plejdrup, M.S.; Hillig, K. GIS-Based National Road and Traffic Database 1960–2020; Technical Report #151; Danish Centre for Environment and Energy (DCE), Aarhus University: Aarhus, Denmark, 2019; p. 25. Available online: http://dce2.au.dk/pub/TR151.pdf (accessed on 16 October 2023).
- Nielsen, E.; Raaberg, J.; Bendtsen, H. Noise Reducing SMA Pavements—Mix Design for Silence Report # F2. 2006; Technical note #39; Danish Road Directorate: Copenhagen, Denmark, 2006; ISBN 87-9117787-1. Available online: https://www.vejdirektoratet.dk/api/drupal/sites/default/files/publications/noise_reducing_sma_pavements.pdf (accessed on 16 October 2023).
- Jonasson, H.G. Acoustic Source Modelling of Nordic Road Vehicles; Report #12; SP Technical Research Institute of Sweden: Borås, Sweden, 2006; Available online: https://www.ingentaconnect.com/contentone/dav/aaua/2007/00000093/00000002/art00002 (accessed on 16 October 2023).
- Kragh, J.; Jonasson, H.; Plovsing, B.; Sarinen, A. User’s Guide Nord2000 Road; Technical Report #AV1171/06; DELTA Acoustics: Hørsholm, Danmark, 2006; Available online: https://referencelaboratoriet.dk/wp-content/uploads/2006_av117106-Users-Guide-Nord2000-Road.pdf (accessed on 16 October 2023).
- Gulliver, J.; Morley, D.; Vienneau, D.; Fabbri, F.; Bell, M.; Goodman, P.; Fecht, D. Development of an open-source road traffic noise model for exposure assessment. Environ. Model. Softw. 2015, 74, 183–193. [Google Scholar] [CrossRef]
- Danish Road Directorate. Håndbog Nord2000 (The Nord2000 Handbook); Report #434-2013, in Danish with English Summary; Danish Road Directorate: Copenhagen, Denmark, 2013; Available online: https://www.vejdirektoratet.dk/sites/default/files/publications/nord2000_hndbog.pdf (accessed on 16 October 2023).
- Danish EPA. New Noise Mapping Order (In Danish “Ny Støjkortlægningsbekendtgørelse”, BEK # 2092 of 18/11/2021). 2021. Available online: https://mst.dk/service/nyheder/nyhedsarkiv/2021/nov/ny-stoejkortlaegningsbekendtgoerelse/ (accessed on 16 October 2023).
- FORCE Technology A/S. Kildedata til CNOSSOS (In English: “Source data for CNOSSOS”); Technical Note #TC-101635 prepared for the Danish EPA; FORCE Technology: Hørsholm, Denmark, 2021. [Google Scholar]
- FORCE Technology A/S. Kravspecifikation for EU-støjkortlægning, iht. Bilag 4 I Bekendtgørelse nr. 2092 af 18-11-2021 (In English: “Specification Requirements for EU Noise Map Prepation, Appendix 4 in the Executive Noise Mapping Order #2092 of 18-11-2021”); Technical Note #TC-101877 prepared for the Danish EPA; FORCE Technology: Hørsholm, Denmark, 2022. [Google Scholar]
- Ma, J.; Li, C.; Kwan, M.P.; Kou, L.; Chai, Y. Assessing personal noise exposure and its relationship with mental health in Beijing based on individuals’ space-time behavior. Environ. Int. 2020, 139, 105737. [Google Scholar] [CrossRef] [PubMed]
- European Environment Agency (EEA). Good Practice Guide on Noise Exposure and Potential Health Effects; EEA’s Technical Report #11/2010; European Environment Agency (EEA): Copenhagen, Denmark, 2010; Available online: https://www.eea.europa.eu/publications/good-practice-guide-on-noise/at_download/file (accessed on 16 October 2023).
- Brink, M.; Schäffer, B.; Pieren, R.; Wunderli, J.M. Conversion between noise exposure indicators Leq24h, LDay, LEvening, LNight, Ldn and Lden: Principles and practical guidance. Int. J. Hyg. Environ. Health 2018, 221, 54–63. [Google Scholar] [CrossRef] [PubMed]
- European Environment Agency. Lden. 2001. Available online: https://www.eea.europa.eu/help/glossary/eea-glossary/lden (accessed on 16 October 2023).
- World Health Organization. Compendium of WHO and Other UN Guidance on Health and Environment—2022 Update. 2022. Available online: https://cdn.who.int/media/docs/default-source/who-compendium-on-health-and-environment/who_compendium_noise_01042022.pdf?sfvrsn=bc371498_3 (accessed on 16 October 2023).
- Wang, J.; Mao, Y.; Li, J.; Xiong, Z.; Wang, W.X. Predictability of road traffic and congestion in urban areas. PLoS ONE 2015, 10, e0121825. [Google Scholar] [CrossRef]
- Ingård, U. A review of the influence of meteorological conditions on sound propagation. J. Acoust. Soc. Am. 1953, 25, 405–411. [Google Scholar] [CrossRef]
- Larsson, C.; Israelsson, S. Effects of meteorological conditions and source height on sound propagation near the ground. Appl. Acoust. 1991, 33, 109–121. [Google Scholar] [CrossRef]
- Trikootam, S.C.; Hornikx, M. The wind effect on sound propagation over urban areas: Experimental approach with an uncontrolled sound source. Build. Environ. 2019, 149, 561–570. [Google Scholar] [CrossRef]
- Gozalo, G.R.; Escobar, V.G. Uncertainty evaluation of road traffic noise models in two Ibero-American cities. Appl. Acoust. 2021, 180, 108134. [Google Scholar] [CrossRef]
- Bąkowski, A.; Radziszewski, L. Measurements of urban traffic parameters before and after road reconstruction. Open Eng. 2021, 11, 365–376. [Google Scholar] [CrossRef]
- Vergoed, T.; van Leeuwen, H.J.A. Evaluation and Validation of the CNOSSOS calculation method in The Netherlands. In Proceedings of the Euronoise 2018, Heraklion, Greece, 27–31 May 2018; Available online: https://www.euronoise2018.eu/docs/papers/209_Euronoise2018.pdf (accessed on 16 October 2023).
- Chang, T.Y.; Lin, H.C.; Yang, W.T.; Bao, B.Y.; Chan, C.C. A modified Nordic prediction model of road traffic noise in a Taiwanese city with significant motorcycle traffic. Sci. Total Environ. 2012, 432, 375–381. [Google Scholar] [CrossRef]
Disclaimer/Publisher’s Note: The statements, opinions and data contained in all publications are solely those of the individual author(s) and contributor(s) and not of MDPI and/or the editor(s). MDPI and/or the editor(s) disclaim responsibility for any injury to people or property resulting from any ideas, methods, instructions or products referred to in the content. |
© 2023 by the authors. Licensee MDPI, Basel, Switzerland. This article is an open access article distributed under the terms and conditions of the Creative Commons Attribution (CC BY) license (https://creativecommons.org/licenses/by/4.0/).










