Sound Reflections in Indian Stepwells: Modelling Acoustically Retroreflective Architecture
Abstract
:1. Introduction
1.1. Introduction to Acoustic Retroreflection in Architecture
1.2. Introduction to Indian Stepped Ponds
2. Materials and Methods
2.1. Modelling and Simulation
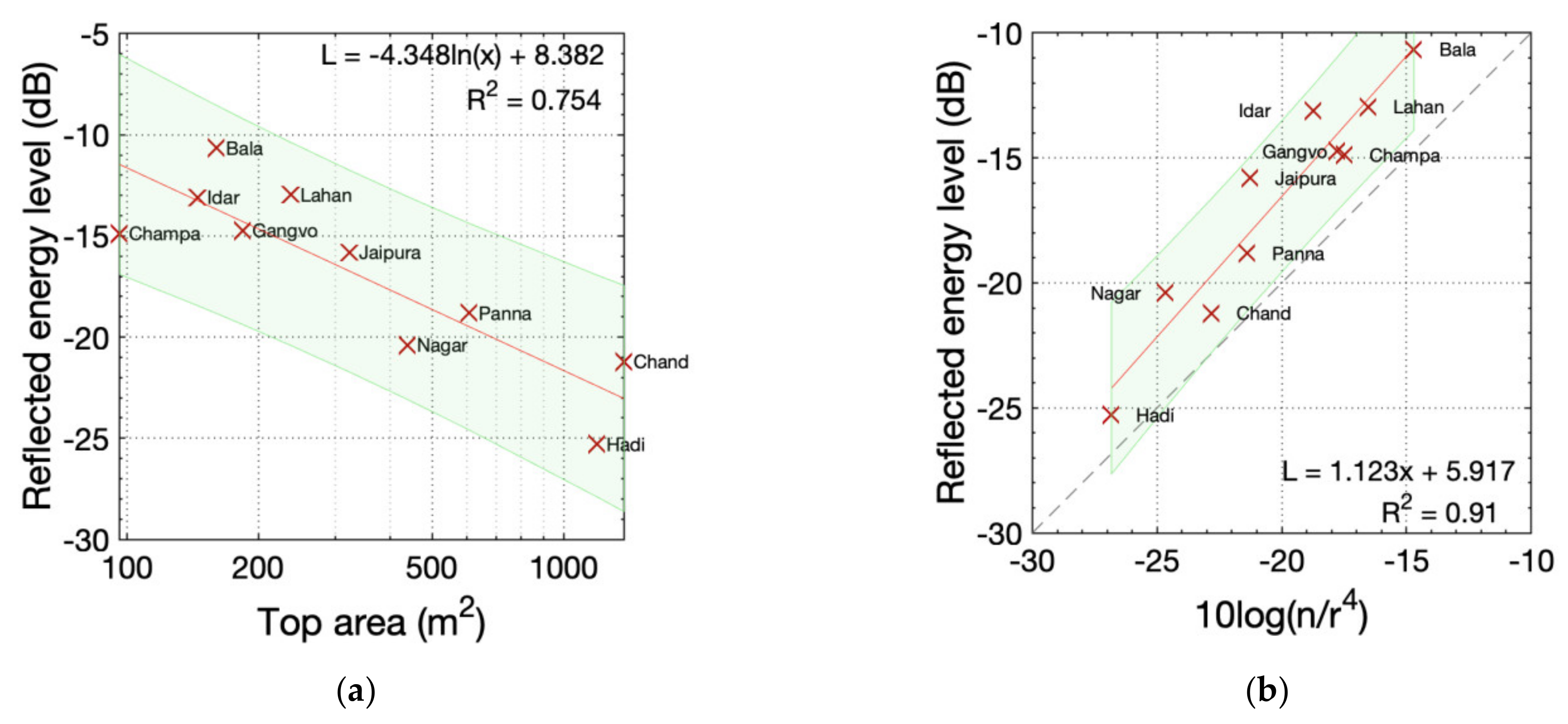
2.2. Prediction of Retroreflected Energy from Trihedral Corners
3. Results
3.1. Spatial Distribution of Reflected Energy
3.2. Reflected Energy at Collocated Source–Receivers
3.2.1. FDTD Simulation Results
3.2.2. Equivalent Reflector Model Prediction
3.2.3. Temporal Characteristics of Impulse Responses at Lahan Vav
3.3. Sensitivity to Geometric Error
3.4. Effect of Temperature Gradient
4. Discussion
4.1. The Retroreflective Potential of Stepped Ponds
4.2. Considerations with Real Stepwells
4.3. Audibility of Retroreflection
4.4. Future Study
5. Conclusions
- Acoustic retroreflection in stepped ponds can be substantial in the high-frequency range, resulting in reflected sound focusing onto the source position—which is seen as a dense cluster of high-frequency reflections in the early part of the impulse response;
- Both small trihedral corners (from steps) and large trihedral corners (from wall intersections at each level) contribute to retroreflection, with the balance of them depending on the scale of the stepped pond;
- Retroreflection is not reduced greatly with angular distortion of trihedra of up to 10°;
- Smaller stepped ponds tend to be more retroreflective, because the effect of shorter distances is stronger than the effect of the smaller number of reflectors; however, lower positions in a large stepped pond see increased retroreflection.
Author Contributions
Funding
Institutional Review Board Statement
Informed Consent Statement
Data Availability Statement
Acknowledgments
Conflicts of Interest
Appendix A
Appendix A.1. Simplified Model of Stepped Pond Retroreflection

| Name | Levels | L (dB) | ||||||
|---|---|---|---|---|---|---|---|---|
| Bala Kund | 7.2 | 26.4° | 86 | 4 | 7.9 | 21.5° | 10 | −10.7 |
| Champa Bagh ka Kund | 7.2 | 24.5° | 47 | 2 | 8.7 | 19.5° | 4 | −14.9 |
| Chand Baori | 20.5 | 26.9° | 905 | 13 | 23.9 | 20.9° | 30 | −21.2 |
| Gangvo Kund | 8.5 | 24.2° | 84 | 3 | 9.6 | 14.5° | 6 | −14.7 |
| Hadi Rani | 23.8 | 26.0° | 657 | 7 | 26.4 | 21.7° | 16 | −25.3 |
| Idar Stepped Pond | 9.6 | 27.2° | 109 | 6 | 10.9 | 25.3° | 16 | −13.1 |
| Jaipura Kund | 11.9 | 26.2° | 143 | 6 | 13.2 | 24.4° | 14 | −15.8 |
| Lahan Vav | 9.2 | 25.9° | 155 | 5 | 10.1 | 17.4° | 12 | −12.9 |
| Nagar Sagar Kund | 17.1 | 28.8° | 290 | 7 | 19.9 | 26.2° | 16 | −20.4 |
| Panna Meena ka Kund | 15.4 | 25.8° | 401 | 8 | 18.2 | 20.0° | 18 | −18.8 |
Appendix A.2. Simplified Model Predictions
| Parameter | L | Top | Depth | Steps | Levels | Pool |
|---|---|---|---|---|---|---|
| L | −0.86 | −0.76 | −0.83 | −0.58 | −0.80 | |
| Top | <0.01 | 0.73 | 0.99 | 0.85 | 0.80 | |
| Depth | 0.01 | 0.02 | 0.76 | 0.80 | 0.33 | |
| Steps | <0.01 | <0.01 | <0.01 | 0.89 | 0.74 | |
| Levels | 0.07 | <0.01 | <0.01 | <0.01 | 0.44 | |
| Pool | <0.01 | <0.01 | 0.34 | 0.01 | 0.20 |

Appendix B
Appendix B.1. Retroreflection for Lower Positions in Large Stepped Ponds
Appendix B.2. Results

References
- Cox, T. The Sound Book: The Science of the Sonic Wonders of the World, 1st ed.; W.H. Norton & Company: New York, NY, USA, 2014. [Google Scholar]
- Lubman, D. Archaeological acoustic study of chirped echo from the Mayan pyramid at Chichén Itzá. J. Acoust. Soc. Am. 1998, 104, 1763. [Google Scholar] [CrossRef]
- Declercq, N.F.; Degrieck, J.; Briers, R.; Leroy, O. A theoretical study of special acoustic effects caused by the staircase of the El Castillo pyramid at the Maya ruins of Chichen-Itza in Mexico. J. Acoust. Soc. Am. 2004, 116, 3328–3335. [Google Scholar] [CrossRef] [PubMed]
- Declercq, N.F.; Dekeyser, C.S. Acoustic diffraction effects at the Hellenistic amphitheater of Epidaurus: Seat rows responsible for the marvelous acoustics. J. Acoust. Soc. Am. 2007, 121, 2011–2022. [Google Scholar] [CrossRef] [PubMed]
- Lokki, T.; Southern, A.; Siltanen, S.; Savioja, L. Acoustics of Epidaurus–studies with room acoustics modelling methods. Acta Acust. United Acust. 2013, 99, 40–47. [Google Scholar] [CrossRef] [Green Version]
- Crawford, F.S. Cube corner retroreflectors for sound waves. Am. J. Phys. 1991, 59, 176–177. [Google Scholar] [CrossRef]
- Cabrera, D.; Holmes, J.; Caldwell, H.; Yadav, M.; Gao, K. An unusual instance of acoustic retroreflection in architecture–Ports 1961 Shanghai flagship store façade. Appl. Acoust. 2018, 138, 133–146. [Google Scholar] [CrossRef]
- Cabrera, D.; Yadav, M.; Holmes, J.; Fong, O.; Caldwell, H. Incidental acoustic retroreflection from building façades: Three instances in Berkeley, Sydney and Hong Kong. Build. Environ. 2020, 172, 106733. [Google Scholar] [CrossRef]
- Cabrera, D.; Holmes, J.; Lu, S.; Rapp, M.; Yadav, M.; Hutchison, O. Voice support from acoustically retroreflective surfaces. In Proceedings of the Euronoise 2021, Madeira, Portugal, 25–27 October 2021. [Google Scholar]
- Currie, D.; Dell’Agnello, S.; Delle Monache, G. A lunar laser ranging retroreflector array for the 21st century. Acta Astronaut. 2011, 68, 667–680. [Google Scholar] [CrossRef]
- Barrett, H.H.; Jacobs, S.F. Retroreflective arrays as approximate phase conjugators. Opt. Lett. 1979, 4, 190–192. [Google Scholar] [CrossRef]
- Wang, T.; Wang, W.; Du, P.; Geng, D.; Kong, X.; Gong, M. Calculation of the light intensity distribution reflected by a planar corner-cube retroreflector array with the size of centimeter and above. Optik 2013, 124, 5307–5312. [Google Scholar] [CrossRef]
- Jacobs, S.F. Experiments with retrodirective arrays. Opt. Eng. 1982, 21, 212281. [Google Scholar] [CrossRef]
- Rindel, J.H. Attenuation of sound reflections due to diffraction. In Proceedings of the Nordic Acoustical Meeting, Aalborg, Denmark, 20–22 August 1986. [Google Scholar]
- Rapp, M.; Cabrera, D.; Yadav, M. Effect of voice support level and spectrum on conversational speech. J. Acoust. Soc. Am. 2021, 150, 2635–2646. [Google Scholar] [CrossRef] [PubMed]
- Caldwell, H.P. An Investigation into Ceiling Geometries for Acoustic Control: Spatial Configurations for Absorption and Retroreflection. Master’s Thesis, The University of Sydney, Sydney, Australia, 2019. Available online: http://hdl.handle.net/2123/20765 (accessed on 1 March 2022).
- Toyota, Y.; Komoda, M.; Beckmann, D.; Quiquerez, M.; Bergal, E. Concert Halls by Nagata Acoustics: Thirty Years of Acoustical Design for Music Venues and Vineyard-Style Auditoria, 1st ed.; Springer Nature: Cham, Switzerland, 2021. [Google Scholar]
- Tuominen, H.T.; Rämö, J.; Välimäki, V. Acoustic retroreflectors for music performance monitoring. In Proceedings of the Sound and Music Computing Conference, Stockholm, Sweden, 30 July–3 August 2013; KTH Royal Institute of Technology: Stockholm, Sweden, 2013; pp. 443–447. [Google Scholar]
- Jain-Neubauer, J. The Stepwells of Gujarat: In Art-Historical Perspective, 1st ed.; Abhinav: New Delhi, India, 1981. [Google Scholar]
- Gupta, D. Baolis of Bundi: The Ancient Stepwells, 1st ed.; INTACH: New Delhi, India, 2015. [Google Scholar]
- Jain-Neubauer, J. (Ed.) Water Design: Environment and Histories, 1st ed.; Marg Foundation: Mumbai, India, 2016. [Google Scholar]
- Livingston, M. Steps to Water: The Ancient Stepwells of India, 1st ed.; Princeton Architectural Press: New York, NY, USA, 2002. [Google Scholar]
- Lautman, V.; Gupta, D. The Vanishing Stepwells of India, 1st ed.; Merrell Publishers Ltd: London, UK, 2017. [Google Scholar]
- Bahadur, V.N. Stepwells of Rajasthan, 1st ed.; Shubhi Publications: Gurgaon, India, 2016. [Google Scholar]
- Center for Art and Archaeology. Virtual Museum of Images and Sounds. Available online: https://vmis.in (accessed on 10 January 2022).
- Earis, P. Atlas of Stepwells. Available online: https://stepwells.org/ (accessed on 10 January 2022).
- Botts, J.; Savioja, L. Effects of sources on time-domain finite difference models. J. Acoust. Soc. Am. 2014, 136, 242–247. [Google Scholar] [CrossRef] [PubMed]
- Chern, A. A reflectionless discrete perfectly matched layer. J. Comp. Phys. 2019, 381, 91–109. [Google Scholar] [CrossRef] [Green Version]
- Eckhardt, H.D. Simple model of corner reflector phenomena. Appl. Opt. 1971, 10, 1559–1566. [Google Scholar] [CrossRef]
- Li, S.; Tang, B.; Zhou, H. Calculation on diffraction aperture of cube corner retroreflector. Chin. Opt. Lett. 2008, 6, 833–836. [Google Scholar] [CrossRef]
- Doerry, A.W.; Brock, B.C. A better trihedral corner reflector for low grazing angles. Proc. SPIE 2012, 8361, 83611B. [Google Scholar] [CrossRef]
- Whiteman, C.D.; Eisenbach, S.; Pospichal, B.; Steinacker, R. Comparison of vertical soundings and sidewall air temperature measurements in a small Alpine basin. J. Appl. Meteorol. Climatol. 2004, 43, 1635–1647. [Google Scholar] [CrossRef]
- Le, T.N.; Straatman, L.V.; Lea, J.; Westerberg, B. Current insights in noise-induced hearing loss: A literature review of the underlying mechanism, pathophysiology, asymmetry, and management options. J. Otolaryngol. Head Neck Surg. 2017, 46, 41. [Google Scholar] [CrossRef]
- Fletcher, N.H. Shock waves and the sound of a hand-clap—A simple model. Acoust. Aust. 2013, 41, 165–168. [Google Scholar]
- Papadakis, N.M.; Stavroulakis, G.E. Handclap for Acoustic Measurements: Optimal Application and Limitations. Acoustics 2020, 2, 224–245. [Google Scholar] [CrossRef]












| Name (Location) | Top (m2) | Pool (m2) | Depth | Steps |
|---|---|---|---|---|
| Bala Kund (Bundi) [20] (p. 83) | 160 | 7 | 30 steps | 179 |
| Champa Bagh ka Kund (Bundi) [20] (p. 87) | 96 | 14 | 28 steps | 91 |
| Chand Baori (Abhaneri) [22] (p. 41) | 1376 | 53 | 24.5 m, 91 steps | 1803 |
| Gangvo Kund (Dedadara) [22] (p. 37) | 184 | 32 | 20 steps | 170 |
| Hadi Rani (Todaraisingh) [22] (p. 120) | 1194 | 150 | 85 steps | 1300 |
| Idar Stepped Pond [22] (p. 42) | 145 | 7 | 12.5 m, 61 steps | 206 |
| Jaipura Kund (Bundi) [20] (p. 86) | 323 | 21 | 49 steps | 280 |
| Lahan Vav (Basantgarh) [22] (p. 6) | 237 | 21 | 6.75 m, 25 steps | 300 |
| Nagar Sagar Kund 1 (Bundi) [20] (p. 84) | 439 | 15 | 103 steps | 554 |
| Panna Meena ka Kund (Amer) [22] (p. 110) | 608 | 84 | 14.25 m, 56 steps | 798 |
Publisher’s Note: MDPI stays neutral with regard to jurisdictional claims in published maps and institutional affiliations. |
© 2022 by the authors. Licensee MDPI, Basel, Switzerland. This article is an open access article distributed under the terms and conditions of the Creative Commons Attribution (CC BY) license (https://creativecommons.org/licenses/by/4.0/).
Share and Cite
Cabrera, D.; Lu, S.; Holmes, J.; Yadav, M. Sound Reflections in Indian Stepwells: Modelling Acoustically Retroreflective Architecture. Acoustics 2022, 4, 227-247. https://doi.org/10.3390/acoustics4010014
Cabrera D, Lu S, Holmes J, Yadav M. Sound Reflections in Indian Stepwells: Modelling Acoustically Retroreflective Architecture. Acoustics. 2022; 4(1):227-247. https://doi.org/10.3390/acoustics4010014
Chicago/Turabian StyleCabrera, Densil, Shuai Lu, Jonothan Holmes, and Manuj Yadav. 2022. "Sound Reflections in Indian Stepwells: Modelling Acoustically Retroreflective Architecture" Acoustics 4, no. 1: 227-247. https://doi.org/10.3390/acoustics4010014
APA StyleCabrera, D., Lu, S., Holmes, J., & Yadav, M. (2022). Sound Reflections in Indian Stepwells: Modelling Acoustically Retroreflective Architecture. Acoustics, 4(1), 227-247. https://doi.org/10.3390/acoustics4010014

