Corrosion Resistance and Biological Properties of Pure Magnesium Modified by PEO in Alkaline Phosphate Solutions
Abstract
1. Introduction
2. Materials and Methods
2.1. Sample Preparation
2.2. Material Characterization
2.3. Corrosion Tests
2.3.1. Immersion Test
2.3.2. Electrochemical Test
2.4. Cytotoxicity Tests
3. Results
3.1. PEO Process
3.2. Characterization of the PEO Coatings
3.3. Corrosion Tests
3.3.1. Immersion Test
3.3.2. Hydrogen Evolution
3.3.3. Electrochemical Test
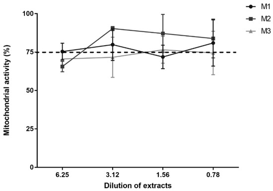
3.4. Cytotoxicity Tests
4. Discussion
5. Conclusions
Author Contributions
Funding
Data Availability Statement
Conflicts of Interest
References
- Zheng, Y.F.; Gu, X.N.; Witte, F. Biodegradable metals. Mater. Sci. Eng. R Rep. 2014, 77, 1–34. [Google Scholar] [CrossRef]
- Echeverry-Rendon, M.; Allain, J.P.; Robledo, S.M.; Echeverria, F.; Harmsen, M.C. Coatings for biodegradable magnesium-based supports for therapy of vascular disease: A general view. Mater. Sci. Eng. C Mater. Biol. Appl. 2019, 102, 150. [Google Scholar] [CrossRef] [PubMed]
- Wu, S.; Liu, X.; Yeung, K.W.K.; Liu, C.; Yang, X. Biomimetic porous scaffolds for bone tissue engineering. Mater. Sci. Eng. R Rep. 2014, 80, 1–36. [Google Scholar] [CrossRef]
- Tan, L.; Yu, X.; Wan, P.; Yang, K. Biodegradable Materials for Bone Repairs: A Review. J. Mater. Sci. Technol. 2013, 29, 503–513. [Google Scholar] [CrossRef]
- Hornberger, H.; Virtanen, S.; Boccaccini, A.R. Biomedical coatings on magnesium alloys—a review. Acta Biomater. 2012, 8, 2442–2455. [Google Scholar] [CrossRef]
- Hänzi, A.C.; Gerber, I.; Schinhammer, M.; Löffler, J.F.; Uggowitzer, P.J. On the in vitro and in vivo degradation performance and biological response of new biodegradable Mg-Y-Zn alloys. Acta Biomater. 2010, 6, 1824–1833. [Google Scholar] [CrossRef]
- Kuhlmann, J.; Bartsch, I.; Willbold, E.; Schuchardt, S.; Holz, O.; Hort, N.; Höche, D.; Heineman, W.R.; Witte, F. Fast escape of hydrogen from gas cavities around corroding magnesium implants. Acta Biomater. 2013, 9, 8714–8721. [Google Scholar] [CrossRef]
- Chakraborty Banerjee, P.; Al-Saadi, S.; Choudhary, L.; Harandi, S.E.; Singh, R. Magnesium Implants: Prospects and Challenges. Materials 2019, 12, 136. [Google Scholar] [CrossRef]
- Chen, Y.; Xu, Z.; Smith, C.; Sankar, J. Recent advances on the development of magnesium alloys for biodegradable implants. Acta Biomater. 2014, 10, 4561–4573. [Google Scholar] [CrossRef] [PubMed]
- Riaz, U.; Shabib, I.; Haider, W. The current trends of Mg alloys in biomedical applications—A review. J. Biomed. Mater. Res. Part B Appl. Biomater. 2018, 107, 1970–1996. [Google Scholar] [CrossRef]
- Alam, M.E.; Pal, S.; Decker, R.; Ferreri, N.C.; Knezevic, M.; Beyerlein, I.J. Rare-earth- and aluminum-free, high strength dilute magnesium alloy for Biomedical Applications. Sci. Rep. 2020, 10, 1–15. [Google Scholar]
- Abd El-Rahman, S.S. Neuropathology of aluminum toxicity in rats (glutamate and GABA impairment). Pharmacol. Res. 2003, 47, 189–194. [Google Scholar] [CrossRef] [PubMed]
- Nakamura, Y.; Tsumura, Y.; Tonogai, Y.; Shibata, T.; Ito, Y. Differences in Behavior among the Chlorides of Seven Rare Earth Elements Administered Intravenously to Rats. Toxicol. Sci. 1997, 37, 106–116. [Google Scholar] [CrossRef]
- Paul, S.; Ramasamy, P.; Das, M.; Mandal, D.; Renk, O.; Calin, M.; Eckert, J.; Bera, S. New Mg-Ca-Zn amorphous alloys: Biocompatibility, wettability and mechanical properties. Materialia 2020, 1, 100799. [Google Scholar] [CrossRef]
- Li, N.; Zheng, Y. Novel Magnesium Alloys Developed for Biomedical Application: A Review. J. Mater. Sci. Technol. 2013, 29, 489–502. [Google Scholar] [CrossRef]
- Bornapour, M.; Muja, N.; Shum-Tim, D.; Cerruti, M.; Pekguleryuz, M. Biocompatibility and biodegradability of Mg-Sr alloys: The formation of Sr-substituted hydroxyapatite. Acta Biomater. 2013, 9, 5319–5330. [Google Scholar] [CrossRef]
- Darband, G.B.; Aliofkhazraei, M.; Hamghalam, P.; Valizade, N. Plasma electrolytic oxidation of magnesium and its alloys: Mechanism, properties and applications. J. Magnes. Alloy. 2017, 5, 74–132. [Google Scholar] [CrossRef]
- Jang, Y.; Tan, Z.; Jurey, C.; Collins, B.; Badve, A.; Dong, Z.; Park, C.; Kim, C.S.; Sankar, J.; Yun, Y. Systematic Understanding of Corrosion Behavior of Plasma Electrolytic Oxidation treated AZ31 Magnesium Alloy using a Mouse Model of Subcutaneous Implant. Mater. Sci. Eng. C. 2014, 45, 45–55. [Google Scholar] [CrossRef]
- Kaseem, M.; Fatimah, S.; Nashrah, N.; Ko, Y.G. Recent progress in surface modification of metals coated by plasma electrolytic oxidation: Principle, structure, and performance. Prog. Mater. Sci. 2021, 117, 100735. [Google Scholar] [CrossRef]
- Arrabal, R.; Matykina, E.; Viejo, F.; Skeldon, P.; Thompson, G.E. Corrosion resistance of WE43 and AZ91D magnesium alloys with phosphate PEO coatings. Corros. Sci. 2008, 50, 1744–1752. [Google Scholar] [CrossRef]
- Li, X.; Liu, X.; Wu, S.; Yeung, K.W.K.; Zheng, Y.; Chu, P.K. Design of magnesium alloys with controllable degradation for biomedical implants: From bulk to surface. Acta Biomater. 2016, 45, 2–30. [Google Scholar] [CrossRef] [PubMed]
- Kokubo, T.; Takadama, H. How useful is SBF in predicting in vivo bone bioactivity? Biomaterials 2006, 27, 2907–2915. [Google Scholar] [CrossRef]
- Zainal Abidin, N.I.; Martin, D.; Atrens, A. Corrosion of high purity Mg, AZ91, ZE41 and Mg2Zn0.2Mn in Hank’s solution at room temperature. Corros. Sci. 2011, 53, 862–872. [Google Scholar] [CrossRef]
- Xiang, T.; Zhang, Y.; Cui, L.; Wang, J.; Chen, D.; Zheng, S.; Qiang, Y. Synergistic inhibition of benzotriazole and sodium D-gluconate on steel corrosion in simulated concrete pore solution. Colloids Surf. A Physicochem. Eng. Asp. 2023, 661, 130918. [Google Scholar] [CrossRef]
- Fischer, M.H.; Prosenc, M.; Wolff, N.; Hort, R.; Willumeit, F. Feyerabend. Interference of magnesium corrosion with tetrazolium-based cytotoxicity assays. Acta Biomater. 2010, 6, 1813–1823. [Google Scholar] [CrossRef] [PubMed]
- Mi, T.; Jiang, B.; Liu, Z.; Fan, L. Plasma formation mechanism of microarc oxidation. Electrochim. Acta. 2014, 123, 369–377. [Google Scholar] [CrossRef]
- Wang, C.; Jiang, B.; Liu, M.; Ge, Y. Corrosion characterization of micro-arc oxidization composite electrophoretic coating on AZ31B magnesium alloy. J. Alloys Compd. 2015, 621, 53–61. [Google Scholar] [CrossRef]
- Zhang, D.; Gou, Y.; Liu, Y.; Guo, X. A composite anodizing coating containing superfine Al2O3 particles on AZ31 magnesium alloy. Surf. Coat. Technol. 2013, 15, 52–57. [Google Scholar] [CrossRef]
- Sreekanth, D.; Rameshbabu, N.; Venkateswarlu, K. Effect of various additives on morphology and corrosion behavior of ceramic coatings developed on AZ31 magnesium alloy by plasma electrolytic oxidation. Ceram Int. 2012, 38, 4607–4615. [Google Scholar] [CrossRef]
- Srinivasan, P.B.; Liang, J.; Blawert, C.; Störmer, M.; Dietzel, W. Characterization of calcium containing plasma electrolytic oxidation coatings on AM50 magnesium alloy. Appl. Surf. Sci. 2010, 256, 4017–4022. [Google Scholar] [CrossRef]
- Bester-Rogae, M.; Neueder, R.; Barthel, J.; Apelblat, A. Conductivity Studies on Aqueous Solutions of Stereoisomers of Tartaric Acids and Tartrates. Part, I., Alkali Metal and Ammonium Tartrates. J. Solut. Chem. 1997, 26, 127–134. [Google Scholar] [CrossRef]
- Schmitz Ongaratto, R.; Laranjeira da Cunha Lage, P.; Piacsek Borges, C. Chemical Engineering Research and Design, Physical properties of potassium pyrophosphate and its use in osmotic evaporation. Chem. Eng. Res. Des. 2015, 104, 497–502. [Google Scholar] [CrossRef]
- Song, G.L.; Shi, Z. Corrosion mechanism and evaluation of anodized magnesium alloys. Corros Sci. 2014, 85, 126–140. [Google Scholar] [CrossRef]
- Al Bosta, M.M.S.; Ma, K.J. Influence of electrolyte temperature on properties and infrared emissivity of MAO ceramic coating on 6061 aluminum alloy. Infrared Phys. Technol. 2014, 67, 63–72. [Google Scholar] [CrossRef]
- Pan, Y.K.; Chen, C.Z.; Wang, D.G.; Lin, Z.Q. Preparation and bioactivity of micro-arc oxidized calcium phosphate coatings. Mater. Chem. Phys. 2013, 141, 842–849. [Google Scholar] [CrossRef]
- Lin, X.; Tan, L.; Zhang, Q.; Yang, K.; Hu, Z.; Qiu, J.; Cai, Y. The in vitro degradation process and biocompatibility of a ZK60 magnesium alloy with a forsterite-containing micro-arc oxidation coating. Acta Biomater. 2013, 9, 8631–8642. [Google Scholar] [CrossRef]
- Gu, Y.; Bandopadhyay, S.; Chen, C.F.; Guo, Y.; Ning, C. Effect of oxidation time on the corrosion behavior of micro-arc oxidation produced AZ31 magnesium alloys in simulated body fluid. J. Alloys Compd. 2012, 543, 109–117. [Google Scholar] [CrossRef]
- Kirkland, N.T.; Birbilis, N.; Staiger, M.P. Assessing the corrosion of biodegradable magnesium implants: A critical review of current methodologies and their limitations. Acta Biomater. 2012, 8, 925–936. [Google Scholar] [CrossRef]
- Kappes, M.; Iannuzzi, M.; Carranza, R.M. Hydrogen embrittlement of magnesium and magnesium alloys: A review. J. Electrochem. Soc. 2013, 160, 168–178. [Google Scholar] [CrossRef]
- Song, G.; Atrens, A.; St. John, D.; Wu, X.; Nairn, J. The anodic dissolution of magnesium in chloride and sulphate solutions. Corros Sci. 1997, 39, 1981–2004. [Google Scholar] [CrossRef]
- Baril, G.; Pébère, N. Corrosion of pure magnesium in aerated and deaerated sodium sulphate solutions. Corros Sci. 2001, 43, 471–484. [Google Scholar] [CrossRef]
- Rossrucker, L.; Mayrhofer, K.J.J.; Frankel, G.S.; Birbilis, N. Investigating the Real Time Dissolution of Mg Using Online Analysis by ICP-MS. J. Electrochem. Soc. 2014, 161, 115–119. [Google Scholar] [CrossRef]
- Zhao, L.; Cui, C.; Wang, Q.; Bu, S. Growth characteristics and corrosion resistance of micro-arc oxidation coating on pure magnesium for biomedical applications. Corros Sci. 2010, 52, 2228–2234. [Google Scholar] [CrossRef]
- Zainal Abidin, N.I.; Da Forno, A.; Bestetti, M.; Martin, D.; Beer, A.; Atrens, A. Evaluation of Coatings for Mg Alloys for Biomedical Applications. Adv. Eng. Mater. 2015, 17, 58–67. [Google Scholar] [CrossRef]
- Chang, L.; Cao, F.; Cai, J.; Liu, W.; Zhang, J.; Cao, C. Formation and transformation of Mg(OH)2 in anodic coating using FTIR mapping. Electrochem. Commun 2009, 11, 2245–2248. [Google Scholar] [CrossRef]
- El-Taib Heakal, F.; Fekry, A.M.; Fatayerji, M.Z. Influence of halides on the dissolution and passivation behavior of AZ91D magnesium alloy in aqueous solutions. Electrochim. Acta. 2009, 54, 1545–1557. [Google Scholar] [CrossRef]
- Fischer, J.; Pröfrock, D.; Hort, N.; Willumeit, R.; Feyerabend, F. Improved cytotoxicity testing of magnesium materials. Mater. Sci. Eng. B Solid-State Mater. 2011, 176, 830–834. [Google Scholar] [CrossRef]
- Wang, Y.; Wei, M.; Gao, J.; Hu, J.; Zhang, Y. Corrosion process of pure magnesium in simulated body fluid. Mater Lett. 2008, 62, 2181–2184. [Google Scholar] [CrossRef]











| Sample Code | Formulation |
|---|---|
| M1 | 10 g/L Na3PO4–1 g/L NaOH |
| M2 | 10 g/L Na3PO4–1 g/L NaOH–10 g/L K4P2O7 |
| M3 | 10 g/L Na3PO4–1 g/L NaOH–1 g/L KNaC4H4O6 |
| P | Na | K | |
|---|---|---|---|
| M1 | 8.3 | 0.9 | |
| M2 | 8.2 | 1.5 | 1.0 |
| M3 | 5.7 | 0.4 |
| P | Na | K | Ca | Cl | |
|---|---|---|---|---|---|
| M1 | 9.9 | 0.5 | - | 2.6 | 0.3 |
| M2 | 25.1 | 1.7 | 0.8 | 3.7 | 0.4 |
| M3 | 15.0 | 1.9 | - | 5.2 | 0.5 |
| Sample | Ecorr [V] | icorr [A·cm−2] | Epp [V] | ipass [A·cm−2] | Epit [V] | Epit − Ecorr [V] | |
|---|---|---|---|---|---|---|---|
| c.p Mg | −1.62 | 2.6 × 10−5 | - | - | - | - | 0.5900 |
| M1 | −1.90 | 1.60 × 10−7 | −1.62 | 5.64 × 10−6 | −1.42 | 0.48 | 0.0036 |
| M2 | −1.89 | 4.22 × 10−7 | −1.69 | 1.05 × 10−5 | −1.61 | 0.28 | 0.0096 |
| M3 | −1.82 | 3.12 × 10−7 | −1.65 | 5.33 × 10−6 | −1.50 | 0.32 | 0.0071 |
Disclaimer/Publisher’s Note: The statements, opinions and data contained in all publications are solely those of the individual author(s) and contributor(s) and not of MDPI and/or the editor(s). MDPI and/or the editor(s) disclaim responsibility for any injury to people or property resulting from any ideas, methods, instructions or products referred to in the content. |
© 2023 by the authors. Licensee MDPI, Basel, Switzerland. This article is an open access article distributed under the terms and conditions of the Creative Commons Attribution (CC BY) license (https://creativecommons.org/licenses/by/4.0/).
Share and Cite
Echeverry-Rendón, M.; Berrio, L.F.; Robledo, S.M.; Calderón, J.A.; Castaño, J.G.; Echeverría, F. Corrosion Resistance and Biological Properties of Pure Magnesium Modified by PEO in Alkaline Phosphate Solutions. Corros. Mater. Degrad. 2023, 4, 196-211. https://doi.org/10.3390/cmd4020012
Echeverry-Rendón M, Berrio LF, Robledo SM, Calderón JA, Castaño JG, Echeverría F. Corrosion Resistance and Biological Properties of Pure Magnesium Modified by PEO in Alkaline Phosphate Solutions. Corrosion and Materials Degradation. 2023; 4(2):196-211. https://doi.org/10.3390/cmd4020012
Chicago/Turabian StyleEcheverry-Rendón, Mónica, Luisa F. Berrio, Sara M. Robledo, Jorge A. Calderón, Juan G. Castaño, and Felix Echeverría. 2023. "Corrosion Resistance and Biological Properties of Pure Magnesium Modified by PEO in Alkaline Phosphate Solutions" Corrosion and Materials Degradation 4, no. 2: 196-211. https://doi.org/10.3390/cmd4020012
APA StyleEcheverry-Rendón, M., Berrio, L. F., Robledo, S. M., Calderón, J. A., Castaño, J. G., & Echeverría, F. (2023). Corrosion Resistance and Biological Properties of Pure Magnesium Modified by PEO in Alkaline Phosphate Solutions. Corrosion and Materials Degradation, 4(2), 196-211. https://doi.org/10.3390/cmd4020012

