Molecular Adsorption Versus Particulate Loading: Structure–Activity Relationship of Sulfonated Cobalt Phthalocyanine in Sulfur Cathodes
Abstract
1. Introduction
2. Materials and Methods
2.1. Materials
2.2. Electrode Preparation
2.3. Electrochemical Measurements
Theoretical Calculations
3. Results and Discussion
3.1. Solubility and Loading State Disparity of CoPcS
3.2. Catalytic Mechanism of CoPcS
3.3. SRR Catalytic Activity
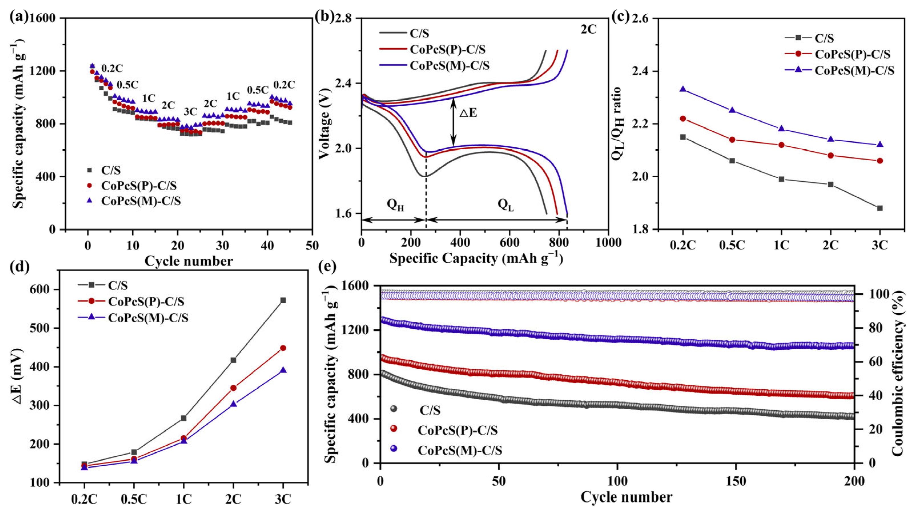
3.4. Electrochemical Performance of Li-S Full Cells
4. Conclusions
Author Contributions
Funding
Institutional Review Board Statement
Informed Consent Statement
Data Availability Statement
Conflicts of Interest
References
- Shao, Q.J.; Zhu, S.D.; Chen, J. A review on lithium-sulfur batteries: Challenge, development, and perspective. Nano Res. 2023, 16, 8097–8138. [Google Scholar] [CrossRef]
- Lokhande, P.E.; Misal, P.; Kalubarme, R.S.; Kulkarni, M.V.; Rednam, U.; Padlkar, S.; Al-Asbahi, B.A. Scalable microwave-assisted production of Ti3C2Tx MXene for next-generation Li-ion and Na-ion batteries. Diam. Relat. Mater. 2025, 157, 112503. [Google Scholar] [CrossRef]
- Bhaskararao, B.V.; Pabba, D.P.; Aepuru, R.; Akbari-Fakhrabadi, A.; Lokhande, P.; Udayabhaskar, R.; Rosales-Vera, M.; Espinoza-González, R. Fe3O4 nanoparticles intercalated reduced graphene oxide nanosheets for supercapacitor and lithium-ion battery anode performance. J. Mater. Sci. Mater. Electron. 2023, 34, 1910. [Google Scholar] [CrossRef]
- Bruce, P.G.; Freunberger, S.A.; Hardwick, L.J.; Tarascon, J.-M. Li–O2 and Li–S batteries with high energy storage. Nat. Mater. 2012, 11, 19–29. [Google Scholar] [CrossRef]
- Xu, R.; Lu, J.; Amine, K. Progress in mechanistic understanding and characterization techniques of Li-S batteries. Adv. Energy Mater. 2015, 5, 1500408. [Google Scholar] [CrossRef]
- Wang, J.; Li, G.; Zhang, X.; Zong, K.; Yang, Y.; Zhang, X.; Wang, X.; Chen, Z. Undercoordination chemistry of sulfur electrocatalyst in lithium–sulfur batteries. Adv. Mater. 2024, 36, 2311019. [Google Scholar] [CrossRef]
- Liu, B.; Wang, J.; Li, Z.; Sun, Z.; Li, C.; Seo, J.-M.; Li, J.; Guo, Y.; Yao, H.; Guan, S. Multiwall carbon nanotube-hyperbranched polymaleimide core–shell nanowires with hierarchical porous and polar structure as sulfur host for sustainable lithium-sulfur batteries. Nano Energy 2024, 126, 109611. [Google Scholar] [CrossRef]
- Jayaprakash, N.; Shen, J.; Moganty, S.S.; Corona, A.; Archer, L.A. Porous hollow carbon@ sulfur composites for high-power lithium–sulfur batteries. Angew. Chem. Int. Ed. 2011, 50, 5904. [Google Scholar] [CrossRef]
- Zhang, M.; Chen, W.; Xue, L.; Jiao, Y.; Lei, T.; Chu, J.; Huang, J.; Gong, C.; Yan, C.; Yan, Y. Adsorption-catalysis design in the lithium-sulfur battery. Adv. Energy Mater. 2020, 10, 1903008. [Google Scholar] [CrossRef]
- Wang, P.; Xi, B.; Xiong, S. Insights into the optimization of catalytic active sites in lithium–sulfur batteries. Acc. Chem. Res. 2024, 57, 2093–2104. [Google Scholar] [CrossRef]
- Liang, Z.; Shen, J.; Xu, X.; Li, F.; Liu, J.; Yuan, B.; Yu, Y.; Zhu, M. Advances in the development of single-atom catalysts for high-energy-density lithium–sulfur batteries. Adv. Mater. 2022, 34, 2200102. [Google Scholar] [CrossRef]
- Maiti, S.; Curnan, M.T.; Kim, K.; Maiti, K.; Kim, J.K. Unlocking Performance: The Transformative Influence of Single Atom Catalysts on Advanced Lithium-Sulfur Battery Design. Adv. Energy Mater. 2024, 14, 2401911. [Google Scholar] [CrossRef]
- Sun, X.; Qiu, Y.; Jiang, B.; Chen, Z.; Zhao, C.; Zhou, H.; Yang, L.; Fan, L.; Zhang, Y.; Zhang, N. Isolated Fe-Co heteronuclear diatomic sites as efficient bifunctional catalysts for high-performance lithium-sulfur batteries. Nat. Commun. 2023, 14, 291. [Google Scholar] [CrossRef] [PubMed]
- Meeladi, G.; Zhu, H.; Wu, C.; Jia, S.; Hao, D.; Chen, S.; Ren, Z.; Shang, J.; Li, T.; Shah, M.H. Theoretical Investigation of Two-Dimensional Metal-Free Diatomic Catalysts as Promising Anchoring Materials for Lithium-Sulfur Batteries. Surf. Interfaces 2025, 69, 106706. [Google Scholar] [CrossRef]
- Mosavati, N.; Salley, S.O.; Ng, K.S. Characterization and electrochemical activities of nanostructured transition metal nitrides as cathode materials for lithium sulfur batteries. J. Power Sources 2017, 340, 210–216. [Google Scholar] [CrossRef]
- Liu, L.; Yin, X.; Li, W.; Wang, D.; Duan, J.; Wang, X.; Zhang, Y.; Peng, D.; Zhang, Y. Transition metal phosphides: The rising star of lithium–sulfur battery cathode host. Small 2024, 20, 2308564. [Google Scholar] [CrossRef]
- Zhu, X.; Iqbal, S.; Kumar, N.; Liu, H.; Dou, S.; Wang, N.; Bai, Z. The Catalytic Chemistry for High-Performance Lithium-Sulfur Batteries: A Review and Prospects. Adv. Funct. Mater. 2025, 80, e11659. [Google Scholar] [CrossRef]
- Yang, X.; Li, X.; Zhao, C.; Fu, Z.; Zhang, Q.; Hu, C. Promoted Deposition of Three-Dimensional Li2S on Catalytic Co Phthalocyanine Nanorods for Stable High-Loading Lithium–Sulfur Batteries. ACS Appl. Mater. Interfaces 2020, 12, 32752–32763. [Google Scholar] [CrossRef]
- Zhang, W.; Zhu, J.; Ye, Y.; She, J.; Kong, X.; Jin, S.; Peng, Z.; Ji, H. Suppressing Shuttle Effect via Cobalt Phthalocyanine Mediated Dissociation of Lithium Polysulfides for Enhanced Li-S Battery Performance. Adv. Funct. Mater. 2024, 34, 2403888. [Google Scholar] [CrossRef]
- Zhao, X.; Zhang, Y.; Liu, W.; Zheng, Z.; Fu, Z.; Chen, C.; Hu, C. Understanding the Impact of Peripheral Substitution on the Activity of Co Phthalocyanine in Sulfur Reduction Catalysis. Adv. Funct. Mater. 2024, 34, 2313107. [Google Scholar] [CrossRef]
- Kim, J.; Shin, H.; Yoo, D.J.; Kang, S.; Chung, S.Y.; Char, K.; Choi, J.W. Cobalt (II)-Centered fluorinated phthalocyanine-sulfur SNAr chemistry for robust lithium–sulfur batteries with superior conversion kinetics. Adv. Funct. Mater. 2021, 31, 2106679. [Google Scholar] [CrossRef]
- Song, X.; Zhou, F.; Yao, M.; Hao, C.; Qiu, J. Insights into the anchoring of polysulfides and catalytic performance by metal phthalocyanine covalent organic frameworks as the cathode in lithium–sulfur batteries. ACS Sustain. Chem. Eng. 2020, 8, 10185–10192. [Google Scholar] [CrossRef]
- Hamad, O.A.; Kareem, R.O.; Omer, P.K. Properties, characterization, and application of phthalocyanine and metal phthalocyanine. J. Chem. Rev. 2024, 6, 39–75. [Google Scholar]
- Ghani, F.; Kristen, J.; Riegler, H. Solubility properties of unsubstituted metal phthalocyanines in different types of solvents. J. Chem. Eng. Data 2012, 57, 439–449. [Google Scholar] [CrossRef]
- Li, J.; Huang, W.; Wang, Z.; Xu, X.; Sun, M.; Kang, L. Controllable dispersion of cobalt phthalocyanine molecules on graphene oxide for enhanced photocatalytic CO2 reduction. Mol. Catal. 2023, 546, 113253. [Google Scholar] [CrossRef]
- Wu, Y.; Liang, Y.; Wang, H. Heterogeneous molecular catalysts of metal phthalocyanines for electrochemical CO2 reduction reactions. Acc. Chem. Res. 2021, 54, 3149–3159. [Google Scholar] [CrossRef]
- Snow, A.W.; Jarvis, N.L. Molecular association and monolayer formation of soluble phthalocyanine compounds. J. Am. Chem. Soc. 1984, 106, 4706–4711. [Google Scholar] [CrossRef]
- Chen, Z.; Gan, K.; Peng, Y.; Yang, Z.; Yang, Y. Bifunctional Additive for Lithium–Sulfur Batteries Based on the Metal–Phthalocyanine Complex. ACS Appl. Mater. Interfaces 2023, 15, 55703–55712. [Google Scholar] [CrossRef]
- Zheng, J.; Chen, F.; Ding, J.; Zhang, G.; Peng, R.; Zhu, L.; Ding, J.C.; Zhou, X.; Zhan, L.; Fan, X. Sulfonic group modifying cobalt (II) phthalocyanine molecule to boost the polysulfide reaction kinetic for high-performance lithium sulfur battery. Colloids Surf. A Physicochem. Eng. Asp. 2024, 702, 135074. [Google Scholar] [CrossRef]
- Chen, J.; Zhang, Q.; Zeng, M.; Ding, N.; Li, Z.; Zhong, S.; Zhang, T.; Wang, S.; Yang, G. Carboxyl-conjugated phthalocyanines used as novel electrode materials with high specific capacity for lithium-ion batteries. J. Solid State Electrochem. 2016, 20, 1285–1294. [Google Scholar] [CrossRef]
- Kühne, T.D.; Iannuzzi, M.; Del Ben, M.; Rybkin, V.V.; Seewald, P.; Stein, F.; Laino, T.; Khaliullin, R.Z.; Schütt, O.; Schiffmann, F. CP2K: An electronic structure and molecular dynamics software package-Quickstep: Efficient and accurate electronic structure calculations. J. Chem. Phys. 2020, 152, 194103. [Google Scholar] [CrossRef] [PubMed]
- Grimme, S.; Ehrlich, S.; Goerigk, L. Effect of the damping function in dispersion corrected density functional theory. J. Comput. Chem. 2011, 32, 1456–1465. [Google Scholar] [CrossRef] [PubMed]
- Perdew, J.P.; Burke, K.; Ernzerhof, M. Perdew, burke, and ernzerhof reply. Phys. Rev. Lett. 1998, 80, 891. [Google Scholar] [CrossRef]
- Vandevondele, J.; Hutter, J. Gaussian basis sets for accurate calculations on molecular systems in gas and condensed phases. J. Chem. Phys. 2007, 127, 114105. [Google Scholar] [CrossRef]
- Andreussi, O.; Dabo, I.; Marzari, N. Revised self-consistent continuum solvation in electronic-structure calculations. J. Chem. Phys. 2012, 136, 064102. [Google Scholar] [CrossRef]
- Escayola, S.; Labella, J.; Szczepanik, D.W.; Poater, A.; Torres, T.; Solà, M.; Matito, E. From (Sub)Porphyrins to (Sub)Phthalocyanines: Aromaticity Signatures in the UV-Vis Absorption Spectra. Inorg. Chem. 2024, 63, 18251–18262. [Google Scholar] [CrossRef]
- Zhao, X.; Xu, Y.; Qiu, T.; Zhang, Y.; Liu, W.; Chen, C.; Biggs, M.J.; Hu, C. Enhanced Li bonds enable bidirectional sulfur catalysis by a molecular Co-N4 catalyst for lithium-sulfur batteries. Energy Storage Mater. 2024, 72, 103728. [Google Scholar] [CrossRef]
- He, Q.; Gorlin, Y.; Patel, M.U.; Gasteiger, H.A.; Lu, Y.-C. Unraveling the correlation between solvent properties and sulfur redox behavior in lithium-sulfur batteries. J. Electrochem. Soc. 2018, 165, A4027–A4033. [Google Scholar] [CrossRef]
- Lin, H.; Zhang, S.; Zhang, T.; Ye, H.; Yao, Q.; Zheng, G.W.; Lee, J.Y. Elucidating the catalytic activity of oxygen deficiency in the polysulfide conversion reactions of lithium–sulfur batteries. Adv. Energy Mater. 2018, 8, 1801868. [Google Scholar] [CrossRef]
- Chen, B.-R.; Police, Y.R.; Li, M.; Chinnam, P.R.; Tanim, T.R.; Dufek, E.J. A mathematical approach to survey electrochemical impedance spectroscopy for aging in lithium-ion batteries. Front. Energy Res. 2023, 11, 1132876. [Google Scholar] [CrossRef]
- Li, B.Q.; Kong, L.; Zhao, C.X.; Jin, Q.; Chen, X.; Peng, H.J.; Qin, J.L.; Chen, J.X.; Yuan, H.; Zhang, Q. Expediting redox kinetics of sulfur species by atomic-scale electrocatalysts in lithium–sulfur batteries. InfoMat 2019, 1, 533–541. [Google Scholar] [CrossRef]
- Zhong, Y.; Wang, Q.; Bak, S.-M.; Hwang, S.; Du, Y.; Wang, H. Identification and Catalysis of the Potential-Limiting Step in Lithium-Sulfur Batteries. J. Am. Chem. Soc. 2023, 145, 7390–7396. [Google Scholar] [CrossRef] [PubMed]
- Fan, F.Y.; Carter, W.C.; Chiang, Y.-M. Mechanism and Kinetics of Li2S Precipitation in Lithium-Sulfur Batteries. Adv. Mater. 2015, 27, 5203–5209. [Google Scholar] [CrossRef]
- Scharifker, B.; Hills, G. Theoretical and experimental studies of multiple nucleation. Electrochim. Acta 1983, 28, 879–889. [Google Scholar] [CrossRef]
- Fan, F.Y.; Chiang, Y.-M. Electrodeposition kinetics in Li-S batteries: Effects of low electrolyte/sulfur ratios and deposition surface composition. J. Electrochem. Soc. 2017, 164, A917. [Google Scholar] [CrossRef]
- Luo, Y.; Fang, Z.; Duan, S.; Wu, H.; Liu, H.; Zhao, Y.; Wang, K.; Li, Q.; Fan, S.; Zheng, Z. Direct monitoring of Li2S2 evolution and its influence on the reversible capacities of lithium-sulfur batteries. Angew. Chem. Int. Ed. 2023, 62, e202215802. [Google Scholar] [CrossRef]
- Zheng, D.; Zhang, X.; Wang, J.; Qu, D.; Yang, X.; Qu, D. Reduction mechanism of sulfur in lithium–sulfur battery: From elemental sulfur to polysulfide. J. Power Sources 2016, 301, 312–316. [Google Scholar] [CrossRef]
- Zhou, C.; Hong, M.; Hu, N.; Yang, J.; Zhu, W.; Kong, L.; Li, M. Bi-Metallic coupling-induced electronic-state modulation of metal phosphides for kinetics-enhanced and dendrite-free Li–S batteries. Adv. Funct. Mater. 2023, 33, 2213310. [Google Scholar] [CrossRef]




Disclaimer/Publisher’s Note: The statements, opinions and data contained in all publications are solely those of the individual author(s) and contributor(s) and not of MDPI and/or the editor(s). MDPI and/or the editor(s) disclaim responsibility for any injury to people or property resulting from any ideas, methods, instructions or products referred to in the content. |
© 2026 by the authors. Licensee MDPI, Basel, Switzerland. This article is an open access article distributed under the terms and conditions of the Creative Commons Attribution (CC BY) license.
Share and Cite
Xu, S.; Gu, Z.; Fu, Z.; Chen, C.; Hu, C. Molecular Adsorption Versus Particulate Loading: Structure–Activity Relationship of Sulfonated Cobalt Phthalocyanine in Sulfur Cathodes. Surfaces 2026, 9, 16. https://doi.org/10.3390/surfaces9010016
Xu S, Gu Z, Fu Z, Chen C, Hu C. Molecular Adsorption Versus Particulate Loading: Structure–Activity Relationship of Sulfonated Cobalt Phthalocyanine in Sulfur Cathodes. Surfaces. 2026; 9(1):16. https://doi.org/10.3390/surfaces9010016
Chicago/Turabian StyleXu, Shiyu, Zifeng Gu, Zhanghua Fu, Chuang Chen, and Cheng Hu. 2026. "Molecular Adsorption Versus Particulate Loading: Structure–Activity Relationship of Sulfonated Cobalt Phthalocyanine in Sulfur Cathodes" Surfaces 9, no. 1: 16. https://doi.org/10.3390/surfaces9010016
APA StyleXu, S., Gu, Z., Fu, Z., Chen, C., & Hu, C. (2026). Molecular Adsorption Versus Particulate Loading: Structure–Activity Relationship of Sulfonated Cobalt Phthalocyanine in Sulfur Cathodes. Surfaces, 9(1), 16. https://doi.org/10.3390/surfaces9010016

