Next Article in Journal
Study on the Thermal Control Performance of Mg-Li Alloy Micro-Arc Oxidation Coating in High-Temperature Environments
Previous Article in Journal
Studying the Photoactivity of Ag-Decorated TiO2 Nanotubes with Combined AFM and Raman Spectroscopy
 
 
Font Type:
Arial Georgia Verdana
Font Size:
Aa Aa Aa
Line Spacing:
Column Width:
Background:
Article

A Comprehensive Approach to Optimization of Silicon-Based Solar Cells

by
Nikolay Chuchvaga
1,*,
Nazira Aubakirova
1,
Nurlan Tokmoldin
2,3,
Vasiliy Klimenov
1 and
Danil W. Boukhvalov
1,4,*
1
Institute of Physics and Technology, Satbayev University, A25A1G8 Almaty, Kazakhstan
2
Paul Drude Institute for Solid State Electronics, 10117 Berlin, Germany
3
Institute of Physics and Astronomy, University of Potsdam, 14476 Potsdam, Germany
4
College of Science, Institute of Materials Physics and Chemistry, Nanjing Forestry University, Nanjing 210037, China
*
Authors to whom correspondence should be addressed.
Surfaces 2024, 7(4), 951-968; https://doi.org/10.3390/surfaces7040062
Submission received: 27 September 2024 / Revised: 18 October 2024 / Accepted: 29 October 2024 / Published: 5 November 2024

Abstract

In this work, we report a detailed scheme of computational optimization of solar cell structures and parameters using PC1D and AFORS-HET codes. Each parameter’s influence on the properties of the components of heterojunction silicon-based solar cells (HIT) has been thoroughly examined. The proposed approach follows a stringent sequence of steps to optimize various parameters of the studied HITs. Furthermore, we have revealed the effects of the metal-semiconductor contact, and a model of a photocell with an ohmic contact and a Schottky contact has been simulated. The optimal model of HIT for available materials has been proposed and fabricated based on the results of these simulations. A comparison of predicted and measured performance unequivocally demonstrates the efficiency of the proposed scheme in developing silicon-based HITs, providing reassurance about its practical application.

1. Introduction

Heterojunction silicon (HIT) solar cells demonstrate the highest performance among all silicon-based technologies due to the low fabrication temperatures, outstanding light absorption properties and behavior at high module operation at ambient and high temperatures, and real-world cloudiness [1,2]. The subject of heterojunction photovoltaic cells and photovoltaic modules is quite popular and has potential for future research [3]. The key source for these exceptional results is the intelligent usage of the most beneficial properties of crystalline silicon (c-Si), such as high charge mobility and lifetime, and essential properties of amorphous hydrogenated silicon (a-Si:H), such as high optical absorption in the visible range. The possibility of fine-tuning the structure of HIT-based devices using modeling techniques provides an additional advantage for further development. The most robust approach to modeling HIT-based devices is the modeling with preset grain boundaries. For example, the efficiency of silicon heterojunction-based solar cells can be calculated for the various parameters of crystalline substrates, as shown in the work by W. Lisheng et al. [4] and in the work by I. E. Panaiotti et al. [5] This approach can be used for fast and straightforward evaluation of the quality of c-Si surfaces (wafers).
However, modeling the HITs constructed from several heterojunctions (see, for example, Figure 1) requires more sophisticated calculations. The most time-consuming part of the work is choosing the optimal parameters for the simulations. In standard computational packages such as PC1D [6] and AFORS-HET [7], various simulations of HITs within the preset range of the parameters are possible. PC1D is the package used to simulate the performance of crystalline semiconductors-based HITs. The code is now available free of charge from the University of NSW Sydney. On the contrary, AFORS-HET software is intended to simulate heterojunction solar cells based on silicon and amorphous silicon and features a rich database with parameters of these materials.
Earlier works where these tools have been used considered the influence of electrode work functions and their doping density on the device characteristics [8,9]. Introducing the p+ inverse layer to the hetero-interface was considered by M. Ghannam et al. [10] In the work of L. Shen et al., the studies of the effect of the Fermi level position in doped a-Si:H and the shift of the energy levels on the interface a-Si:H/c-Si have been carried out [11]. Optimization of the manufacturing parameters, such as the thickness of films or dopant concentration, is also possible in both packages. For example, the solar cell performance heterojunction n-ZnO/p-Si has been simulated and optimized by varying layer thickness and doping concentrations [12]. More complex heterojunctions (ITO/ZnO/In2O3/n-Si/i-Si/p-Si) have also been considered in the mentioned work to illustrate the principles of the calculations by the AFORS-HET package. Recent work reports the modeling of thin-film solar cells with an n-i-p structure based on hydrogenated amorphous silicon (a-Si:H) with subsequent manufacturing of this structure and comparison of calculated and measured properties of the device [13]. Reported results demonstrate that theoretical modeling is helpful for the design and manufacturing of highly efficient HIT-based solar cells.
We want to highlight several publications on the subject of optimizing and improving the performance of solar cells. One of these papers is a paper on the most common mistakes in this field of research [14]. One of the criteria to check in the modeling results is the theoretical limit of single junction silicon solar cells, which can be seen in the paper ([14] p. 3, Figure 1). Also, it is worth noting that any hypothesis and model becomes appropriate if it can be tested experimentally. In this regard, we would like to acknowledge the work of [13], where the authors simulated the HIT photocell using AFORS-HET soft and fabricated an experimental sample using the PECVD method. This work studies the influence of emitter layer thickness and doping. However, it is worth noting that if the same PECVD setup is placed in a different part of the world, with slightly different external conditions, the recipe containing the gas flow rate as well as the temperature may also be slightly different to achieve the same output characteristics of the finished amorphous films and, in general, of the photovoltaic cell. This paper does not consider the other parameters of other HIT (HJT) layers affecting the performance of the photovoltaic cell. We also note the work of [15], where the authors studied the influence of the emitter layer and BSF layer doping. This paper presents only simulation data without the experimental part, but the work’s essence is applying gradient distribution of impurities in the emitter layer. However, this approach in production is currently quite challenging, as it requires high precision of alloying in very thin amorphous layers and increases the probability of scrap at high production volumes.
Based on the above, it can be noted that a systematic approach to optimizing a solar cell model that uses a ranking of all the main parameters and takes into account feedback, as well as incorporating both “top” and “bottom” limits based on both experimental and theoretical data has not been presented to the general public. In our paper, we present an attempt at such an approach, which has been verified experimentally. Our experimental works were published earlier, so we do not present experimental data but refer to them during the narrative [16].
However, choosing the proper initial set of parameters is a state-of-the-art, time-consuming procedure for more complex systems. In addition, some deviations in the initial parameters could lead to significant divergence of calculated properties. Thus, developing the general framework for the simulations of HIT-based devices is required. In this work, we report the results of the comprehensive studies of the influence of various parameters in the model for the properties of a typical HIT structure p-a-Si:H/i-a-Si:H/n-c-Si:H/i-a-Si:H/n+-a-Si:H, as shown in Figure 2f. To verify the results of our simulations, several devices have been fabricated and tested.

2. Theoretical Approach

Knowledge about the influence of different parameters on the efficiency of HIT-based devices is essential for developing an efficient approach to optimizing complex multilayer systems. Varying the parameters in a broad range can lead to the instability of numerical calculations. The simplest solution to this problem is to consider complex systems from several more superficial structures. Examples of these structures are shown in Figure 1. All external contacts in these systems are regarded as ohmic.
Finding an efficient algorithm for optimizing such a complex, multilayered system requires knowledge of the relative influence of the fabrication parameters on the resulting device performance. This influence can be estimated as a ratio of the maximum and minimum cell efficiency values upon variation of each fabrication parameter: R = Effmax/Effmin.
Fine-tuning the complex HIT structure requires an initial variation of optimization parameters in broad ranges. For many tested parameters, varying can lead to instability in numerical calculations. To overcome this difficulty, we have divided the complex HIT structure into three more superficial structures:
Outer contacts in these devices are considered ohmic.
The simulations were performed using AFORS-HET. This program is optimized for modeling amorphous layers in such devices. In addition to creating the PV cell model, the program can also simulate measurements of various optical and electrical methods of heterostructure investigation (I–V, impedance spectroscopy, deep-level spectroscopy, quantum efficiency measurement, and others). In addition, this program allows the selection of various parameters to match methods for the characterization. For example, it is possible to set the mode top contact as “metal-semiconductor” or “metal-oxide-semiconductor”.
The used model also considers various models of charge carrier recombination, such as radiative recombination, Auger recombination, and Shockley–Reed–Hall recombination. Based on the above, AFORS-HET is efficient for modeling solar cells and simulating their properties, including energy levels, quasi-Fermi levels, charge carrier generation, recombination, currents, and phase shifts. During the modeling process, changes in the parameters of the material and the external environment are also possible [17,18,19,20].

3. Method for the Optimization of Photocell HIT

First, we considered a simple p-Si/n-Si junction with the following initial parameters: p-Si layer thickness is 0.1 µm, n-layer thickness is 300 µm, acceptor concentration in the p-Si layer is 1 × 1019 cm−3, and the donor concentration in n-type Si is 1.5 × 1016 cm−3. The surface recombination rates for the silicon wafer were chosen to be 103 cm s−1, which is a reasonable approximation for the case of a passivated surface. To compare, the calculations were repeated for a non-passivated plate with a surface recombination rate of 107 cm s−1. These values represent the parameters reported in the literature on fabricating crystalline silicon solar cells [21]. The simulated solar cell (SC1) efficiency is 24.62%, the short-circuit current is 40.48 mA/cm2, the open-circuit voltage is 0.7261 V, and the duty cycle is 0.837. The most apparent parameters that can affect performance in this device are (i) thickness of the c-Si single-crystal layer with n-type conductivity, (ii) doping of a single-crystal c-Si layer with n-type conductivity, (iii) thickness of the c-Si emitter layer of p-type conductivity, and (iv) doping of the c-Si emitter layer with p-type conductivity. The last two parameters are unimportant for considering HIT devices due to the absence of a native a-Si:H layer between n-Si and p-Si in SC1 because we initially optimize the parameters for the layers that are part of the HIT structure. Therefore, we will omit the optimization steps of PV1 using the two first parameters.
To optimize the performance of a crystalline p-n junction device using wafer thickness, a wide range of doping levels of the crystalline substrate, from 1 to 1000 μm, was selected. The simulated device’s characteristics included short-circuit current density (ISC, JSC), open-circuit voltage (Uxx, VOC), fill factor (FF), and power conversion efficiency (PCE).
The short-circuit current (ISC) increases with the thickness of the crystalline layer of n conductivity type up to a thickness of 100 μm, as shown in Figure 2a. The increase in the value of the short-circuit current is mainly because photons are absorbed in the layer of crystalline silicon, and electron-hole pairs are formed in the p-n junction region. Note that in industrial manufacturing of solar cells, the production method defines the minimum value of the substrate thickness. Another effect of increasing the thickness of the amorphous layer of p-type conductivity is a drop in the short-circuit current, as shown in Figure 2d. This effect is caused by the low mobility and lifetime of charge carriers in the amorphous film. The drop in performance is associated with an increase in the series resistance of the structure. However, it is worth noting that the minimum film thickness should be limited by the propagation of the curvature of the energy bands of homo- or hetero- p-n and pi-n junctions.
The short-circuit current also reduces with increased doping in the crystalline substrate (see Figure 2b) due to the increased probability of Auger recombination of charge carriers when a certain doping level is reached [22]. Due to the quality of the amorphous silicon material, the structure’s resistance increases, which decreases the short-circuit current as the thickness of the amorphous layer increases.
The form fill factor curve (Figure 3) depends on the structure’s series and parallel resistance. Thus, the form factor is influenced by energy barriers and transitions in the band diagram of the structure, the form of which, in turn, depends on the doping level of the layer under consideration. As can be seen from the figure, with increasing emitter doping levels, starting from a particular value, a sharp increase in FF is observed.
However, due to the quality of the amorphous silicon material, the structure’s resistance increases, which decreases the fill factor (Figure 3c) and the short-circuit current (Figure 2c). The overall influence of the above-described dependencies negatively affects the photocell’s efficiency (Figure 4c,d). The efficiency of the photocell decreases with increasing thickness of the emitter layer, which is associated with an increase in the series resistance of the structure. An increase in the concentration of the majority charge carriers in the crystalline silicon substrate is accompanied by an increase in the efficiency of the photocell (Figure 4b). This dependence is associated with an increase in the conductivity of the structure. A change in the degree of doping entails a change in the curvature of the energy bands in the band diagram; such a change affects the short-circuit current and open-circuit voltage (Figure 2b and Figure 5b). There is an increase in the values of these characteristics in a particular range. However, after passing the extremum point, a drop in the efficiency of the solar cell is observed. This behavior of the curve can be explained in the following way: with an increase in the concentration of the majority charge carriers, the probability of Auger recombination in the semiconductor also increases. This entails a decrease in the short-circuit current and open-circuit voltage [23]. As a result, at the extremum point, the influence of Auger recombination has a more substantial effect on the dependence of the efficiency of the photocell, which leads to a decrease in efficiency.
The open-circuit voltage curve depends on the processes of charge carrier recombination in the structure. Because almost 100% of the cell structure is single-crystalline silicon, the open-circuit voltage depends on the processes of charge carrier recombination in crystalline silicon. As a result, the open-circuit voltage curve does not change its dependence on changes in the doping degree of the emitter layer (Figure 5e). An increase in the thickness of the built-in intrinsic conductivity layer does not significantly change the open-circuit voltage (Figure 5c). Because the built-in layer of intrinsic conductivity leads to better passivation of the surface states of the crystalline substrate, the recombination of charge carriers is reduced. The drop in open-circuit voltage with increasing thickness of the single-crystal substrate is due to the increase in the number of defects deep in the material, which serve as recombination centers for charge carriers.
The open-circuit voltage depends on the light current and saturation current. Because the saturation current is related to the structure’s resistance and the recombination of charge carriers, the open-circuit voltage curve is similar to the short-circuit current curve (Figure 5 vs. Figure 2). Because the photocell’s efficiency depends on the short-circuit current and open-circuit voltage, the efficiency value also decreases with increasing thickness of the amorphous silicon layer of p-type conductivity (Figure 4d).
The short-circuit current I and the open-circuit voltage Uxx increase with the thickness of the crystalline layer of n-type conductivity up to a thickness of 100 μm (Figure 2 and Figure 5). At the same time, the value FF remains unchanged (Figure 3a). The efficiency of Cell 1 increases from 6.61% at 1 µm to 22.92% at 1000 µm (Figure 4). The immutability of FF can be explained by its definition according to the formula: the power in the photocell begins to grow in the numerator of the formula and, at the same time, the denominator of the expression, which includes the products of the short-circuit current and Voc, also grow. In the end, FF remains unchanged; thus, varying the plate’s thickness results in a maximum efficiency to minimum efficiency ratio of R = 3.47.
The crystalline p-n junction device was optimized by wafer doping from 1.5 × 1016 cm−3 to 2.8 × 1019 cm−3. The latter value is the effective density of states of the conduction band in silicon, which limits the doping concentration. Increasing the doping degree reduces cell output values over a wide range. This is mainly due to a short-circuit current JSC drop, while the FF form factor remains unchanged. Over the entire optimization range, the device efficiency varies from 16.43% to 22.55%, which gives us a value of R equal to 1.37.

4. Study of the Influence of Manufacturing Parameters Affecting the Characteristics of the Structure p-Si:H/i-a-Si:H/n-c-Si

At this stage of our studies, we consider the p-a-Si:H/i-a-Si:H/n-c-Si structure (Cell 2) with the following initial parameters: p-a-Si: H layer thickness (emitter) is 10 nm, i-a-Si: H layer thickness is 10 nm, thickness n-type crystal plate is 300 μm, acceptor concentration in the emitter layer—7.47 × 1019 cm−3, and donor concentration in the substrate—1.5 × 1016 cm−3. It is assumed that the mobility of electrons and holes in amorphous silicon is μn = 20 cm2/Vs and μp = 5 cm2/Vs. The surface recombination rates for the silicon wafer were chosen to be 10 3 cm s−1, which is a reasonable approximation for the case of a passivated surface. To compare, the calculations were repeated for a non-passivated plate with a surface recombination frequency of 107 cm s−1.
Using this structure, the influence of factors such as the thickness of the emitter layer, the thickness of the amorphous silicon layer of intrinsic conductivity, and the doping of the emitter layer was studied.
Settings that affect performance in this device include inputting the following parameters: (i) thickness of the a-Si:H layer—conductivity type; (ii) thickness of the amorphous layer of a-Si-H p-type conductivity; (iii) doping of an amorphous layer of a-Si-H p-type conductivity; (iv) thickness of the c-Si single-crystal substrate with n-type conductivity; and (v) doping of a single-crystal c-Si substrate with n-type conductivity. The last two parameters have already been considered for the p-c-Si/n-c-Si (Cell 1) connection case, so we can omit the device optimization using these two already calculated parameters.
Optimization of the structure of Cell 2 by changing the thickness of the internal layer of amorphous silicon was carried out in the range from 1 to 80 nm (Figure 2c, Figure 3c, Figure 4c and Figure 5c). As shown in Figure 4c, up to 80 nm, the device efficiency remains almost constant and does not show significant changes.
The highest efficiency value of 15.23% is demonstrated at a thickness of the intrinsic amorphous layer of 1 nm, decreasing to 3.82% at 80 nm. The results show that the efficiency decreases as the inner layer’s thickness increases. These changes are accompanied by a short-circuit current and fill factor drop while the open-circuit voltage increases. This is consistent with the increased device resistance due to the thicker internal amorphous layer. At the same time, increasing the separation between the n- and p-doped layers in the device can lead to a decrease in the recombination of charge carriers. Therefore, the value of the open-circuit voltage increases. In this case, the maximum and minimum efficiency values ratio is R = 3.98.
Figure 2d, Figure 3d, Figure 4d and Figure 5d show the influence of the emitter layer’s thickness on Cell 2’s performance. The emitter layer’s thickness varied from 1 to 500 nm. Efficiency is primarily related to the decrease in open-circuit voltage and short-circuit current values; hence, efficiency decreases monotonically from 1 nm. In comparison, the fill factor slowly increases over almost the entire thickness range after a sharp drop between 1 nm and 50 nm. The value of R, in this case, is 1.74.
It has been shown that p-type a-Si-H doping of the emitter layer is one of the most substantial factors affecting device performance. The doping varied from 1 × 10 16 cm−3 to 1 × 1020 cm−3, corresponding to the effective conduction band density of states in amorphous silicon. This is consistent with the experimental values of boron concentrations in p-type amorphous silicon films, which is about 5 × 1020 cm−3, and for the case of p-type a-Si:H nanocrystalline films, is about 7 × 1019 cm−3 [22,23]. The PV efficiency rapidly increases between 6 × 1019 cm−3 and 8 × 1019 cm−3 from values close to zero to 15%, reaching a maximum of 19.1% at a density of 1 × 1020 cm−3. Further increases in the doping level did not lead to any changes in efficiency. Over the entire range of doping variations, the value of R turned out to be 1539.52.

5. Study of the Influence of Manufacturing Parameters Affecting the Characteristics of the n-c-Si:H/i-a-Si:H/n+-a-Si:H Structure

It is known that the i-n+ structure deposited on the rear surface of Cell 3, based on the HIT structure, creates a blocking field at the cell’s rear, which reduces the flow of holes toward the rear electrode and, consequently, recombination. This effect can be seen in the n-c-Si:H/i-a-Si:H/n+-a-Si:H junction, which was modeled with the following parameters: n-type crystal wafer thickness—300 µm, donor concentration in substrate is 1.5 × 1016 cm−3, thickness of the i-a-Si:H layer is 3 nm, thickness of the n+ layer is 5 nm, and donor concentration in the n+ layer is 1 × 1019 cm−3.
Settings that affect performance in this device include providing the following data: (i) doping of the rear amorphous layer of a-Si:H n+-type of conductivity; (ii) thickness of the rear amorphous layer of a-Si:H n+-conductivity type; and (iii) the thickness of the back layer of the built-in a-Si:H layer of intrinsic conductivity.
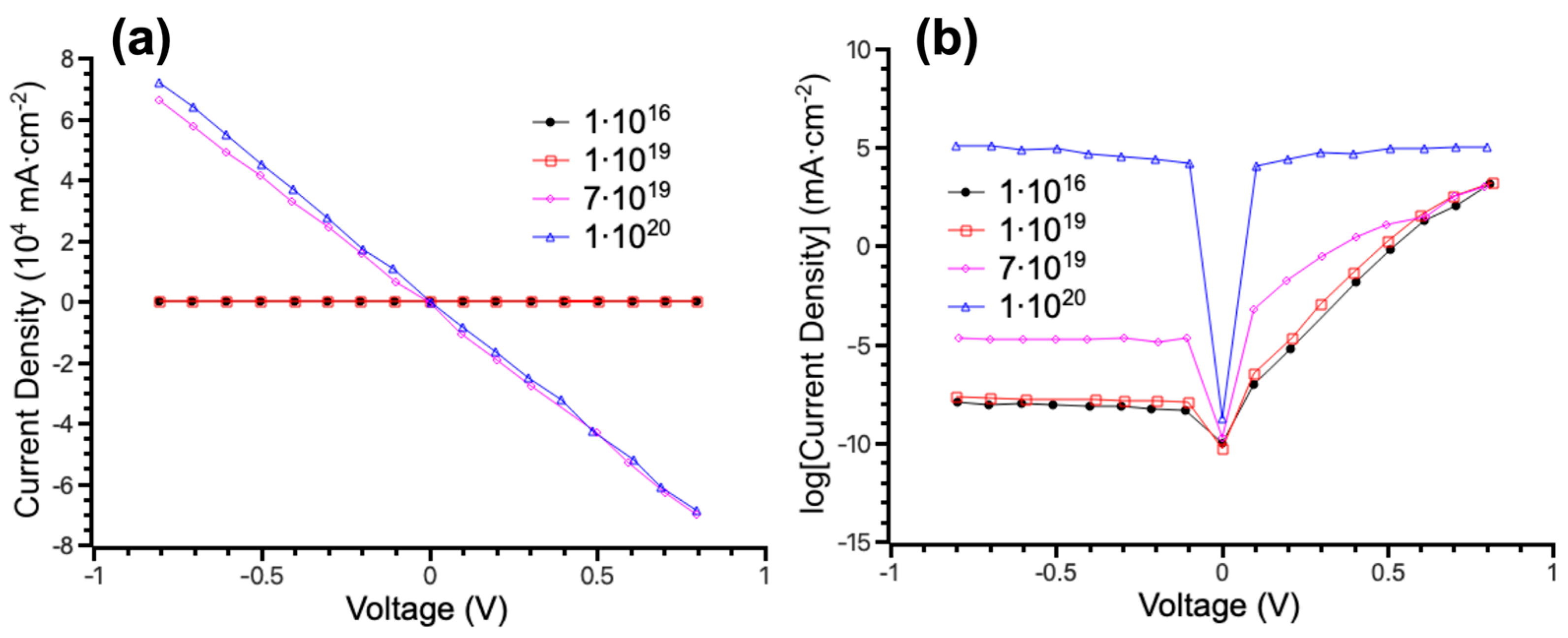
For n-i-n+ junction-based structure with initial parameters generates free carriers when illuminated, the direction of current flows in it is opposite to the direction in the HIT device. Therefore, improvement of this junction to optimize the HIT device should focus on ensuring that it creates an ohmic contact to transfer electrons separated by the pin junction to the back electrode of the HIT PV. Figure 6 shows the dark current-voltage characteristics of the n-i-n+ junction transition when the degree of doping level with the n+ layer changes from 1 × 1016 cm−3 to ×1020 cm−3. Figure 6 also shows that the junction is a diode up to a doping level of about 1 × 10 19 cm−3 n-i-n+. A further increase in doping leads to a change in the current-voltage characteristic curve, which became equivalent to an ohmic contact. This transition occurs from 1 × 1019 cm−3 to 7 × 1019 cm−3.
Figure 7 shows the evolution of the bend in the energy curve in the n-i-n+ structure with increasing doping in the n+ layer. In the graphs of Figure 7, the energy scale is plotted along the ordinate axis, and the abscissa axis corresponds to the distance in micrometers measured from the front part of the photocell. As the impurity concentration in the back layer increases, the bend in the curve decreases, resulting in a flat band situation at 7 × 1019 cm−3. This is equivalent to the formation of an ohmic contact. A further increase in concentration does not change the shape of the current-voltage characteristic curve. Therefore, it appears that n+-type doping of the a-Si:H back layer does not directly affect the efficiency of the HIT PV cell in terms of charge generation but affects it as a structure conducting the majority of charge carriers from the solar cell to the external contact. In this case, the structure acts as a barrier to minority charge carriers and does not conduct current. To achieve ohmic contact for majority charge carriers, a certain threshold doping level must be exceeded, in this case, about 7 × 1019 cm−3. Based on this analysis, it can be assumed that similarly, the role of factors such as the thickness of the n+-type a-Si:H layer and the thickness of the i-type a-Si:H layer is to provide ohmic contact for the smooth transfer of majority carriers (electrons) from the n wafer type to external contact. That is why the barrier layer must have a high level of alloying. Based on the above simulation results using simplified solar cell structures, the level of influence of each manufacturing parameter on the efficiency of a more complex HIT solar cell can be assessed. Table 1 provides the R = Effmax/Effmin values for each of the considered parameters.
It is worth saying a few words about the selection of ohmic contacts. If we assume excellent adhesion of the contact, then first of all, we need to think about ohmic contact and reducing the Schottky barrier because the I-V current through the contact will look like a parabola, which will lead to an increase in the resistance of the structure. Due to the fact that the thickness of the layers in the structure is quite thin, with the exception of the crystal layer, the curvature of the energy zones of the Schottky barrier can affect the distribution of the volume charge at heterojunctions in the neighboring region, which can affect all output characteristics.

6. Method for Calculating Schottky Layers in the HIT Structure

The presented method for computer-assisted (further optimization) optimization of a heterojunction solar cell with a HIT structure has drawbacks. One of these disadvantages is that the program does not consider the change in electric fields depending on the thickness of the space charge layer and does not consider the quantitative dependence of the passivation of broken bonds of crystalline silicon by amorphous hydrogenated silicon. Nevertheless, the demonstrated approach to optimizing photocells makes it possible to find limitations for the optimal parameters of the thickness of the layers of the studied structure from above. To estimate from below the boundaries of the optimal thicknesses and consider the software package’s shortcomings, it is necessary to consider the ITO/p-a-Si:H and p-a-Si:H/n-c-Si heterojunction.
The main part of the photocell is the p-n junction, in which electron-hole pairs are separated. Therefore, the minimum thickness of the layers of the structure that form the p-n junction must be no less than the distance over which the p-n junction field propagates. Therefore, it is crucial to calculate the distance over which the internal electric field extends; this is the so-called Schottky layer. To calculate an ideal heterojunction, the diffusion potential of the heterojunction and the absence of local states at the interface between the layers must be considered, ensuring the electrical neutrality of the interface. The method described in the work by R. L. Anderson [24] is used for calculations. The method in detail is summarized in Supplementary Materials Section S1.
The experimental technique for optimizing heterojunction solar cells of the HIT structure includes both a theoretical calculation and an experimental part. This approach provides an objective view of the results of calculations and experiments on optimizing photocells. The experimental part of the work uses modern methods for the manufacture of semiconductor structures, such as chemical processing of materials and PECVD and PVD methods. The characteristics of the manufactured structures were measured using modern research methods.
Using a computational model of a high-efficiency heterojunction silicon solar cell, an algorithm for optimizing solar cells using simulation tools is found. Initially, the relative impacts of changing each device parameter, particularly the thicknesses and doping levels for each layer, were identified. This was done by considering more superficial device structures containing certain elements of the HIT structure. These parameters were then assessed by taking into account their influence on the power conversion efficiency of the device.
The following optimal sequence of steps for optimizing the HIT photocell has been found. The first step is optimizing the doping degree of the p-type emitter layer of a-Si:H. The next step is optimizing the thickness of the front built-in a-Si:H layer of intrinsic conductivity. After this, the thickness of a single-crystal c-Si substrate of n-type conductivity should be optimized, followed by the thickness of the amorphous layer of a-Si:H p-type conductivity. The next step is optimizing the degree of doping of a single-crystal c-Si substrate of n-type conductivity. The following step of optimizing the degree of doping of the back layer of the amorphous layer of a-Si:H n+-conductivity type should be carried out. The next step is the optimization of the thickness of the rear amorphous layer of a-Si:H n+-conductivity type, and after this, optimization of the thickness of the back layer of the built-in a-Si:H layer of intrinsic conductivity.
The computer-assisted optimization method makes it possible to find restrictions for the optimal parameters of the thickness of the layers of the studied structure “from above”, that is, the upper limit of the range of optimal values. Calculating Schottky layers was used to determine the boundaries of optimal thicknesses from the bottom up. A method for calculating an anisatypical heterojunction was described to calculate Schottky layers in heterojunctions of the structure under study.

7. Theoretical Results

Based on the understanding of the influence of manufacturing parameters on the performance of a simple PV structure SC1, SC2, and SC3 (Section 2), optimization of p-i-n-i-n+ HIT was carried out: p-a-Si:H emitter layer thickness is 10 nm, acceptor concentration in the emitter layer is 7.47 × 1019 cm−3, front i-a-Si:H internal layer thickness is 10 nm, n-type crystal wafer thickness is 300 µm, donor concentration in n-type Si wafer is 1.5 × 1016 cm−3, the thickness of i-a-Si:H of the back layer is 3 nm, the thickness of the back layer n+ is 5 nm, and donor concentration in the n+ layer 1 × 10 19 cm −3. The initial efficiency of the device was 11.26%. A schematic representation of the structure and its output parameters are presented in Figure 2f.
Figure 2f shows the constituent layers of a photocell. On both sides of the crystalline substrate with n-type conductivity, thin films of amorphous silicon with intrinsic conductivity passivate the crystalline substrate’s surface states. A layer of amorphous silicon with p-type conductivity on the front side forms a p-i-n-heterojunction where electron-hole pairs are separated. An amorphous silicon layer with n+-type conductivity is placed on the backside. This layer serves to create an energy barrier for minority charge carriers.
The calculation results in Figure 8a show that the absorption of light by the PV structure almost coincides with that by crystalline silicon. The amount of monocrystalline silicon explains that this is incomparably large compared to other materials in the solar cell structure. Figure 8b shows the current-voltage characteristic of the structure under study. A blue curve indicates the dark current, and a red curve indicates the light current. The light current-voltage characteristic shows that the form factor of the photocell has a low value of 0.563, which is reflected in the final efficiency of the solar cell, which is 11.26%. The short-circuit current is 29.25 mA cm−2, and the open-circuit voltage is 0.68 V.
The band diagram of the original solar cell is shown in Figure 8c. The figure shows the curvature of the lines corresponding to the energy levels of the top of the valence band, the bottom of the conduction band, and the Fermi level in the range from 0 to 0.3 μm because the crystalline silicon region is curved upward along the energy axis relative to the amorphous p-type conductivity silicon layer. This is explained by the redistribution of charges at the heterojunction’s interfaces and the system’s tendency to reach equilibrium. In this case, the band bending goes upward from the n-type semiconductor to the p-type. The diagram has no band bending ranging from 0.3 to 300 μm because the crystalline silicon layer is hundreds of micrometers. At the same time, the influence of the electric field of the heterojunction extends to several micrometers. It can also be noted that in the range of 10~20 nm, the intrinsic conductivity layer has no curvature but a slope proportional to the electric field of the p-n junction. This is how the band diagram of a semiconductor behaves in strong electric fields, which is the field of the p-n junction for the built-in layer. A section of the BSF (back surface field) layer is shown in the band diagram corresponding to the range from 300 µm and above (Figure 7). It can be noted that an energy barrier is formed for minority charge carriers in the crystalline substrate holes. Based on this, optimization was carried out by gradually varying the parameters (details of the optimization process are presented in Section S2 of the Supplementary Materials).
As a result of the research, a standard HIT solar cell was optimized using three different sequences of optimization steps: ascending, descending, and random. It has been demonstrated that different optimization sequences lead to different final device parameters and their performance characteristics, with the descending order of the steps demonstrating higher efficiency than ascending and random orders. The presented approach may find application in optimizing other types of solar cells with many optimization parameters, such as multijunction and cascade solar cells, in simulation and laboratory studies (Table 2).
Figure 9 shows the spectral dependence of the quantum efficiency on the wavelength of the incident radiation and the dark and light current-voltage characteristics of the simulated structure. The quantum efficiency of the structure describes a characteristic curve, which shows that the primary photon absorption material in the photocell is crystalline silicon. From the light-voltage curve, it can be determined that the short-circuit current equal to 33.6 mA cm−2 and the open-circuit voltage equal to 0.7754 V.
Next, the calculations made for the photocell of the HIT structure will be presented. Calculations were made according to the method described in the supplementary (Section S1 in the Supplementary Materials). The main parameters and initial data of the materials used in the calculations are given in tables in Section S3 of the Supplementary Materials. For this purpose, an anisotype p-a-Si:H/n-c-Si heterojunction was studied at room temperature (T = 300 K). Because the layer of amorphous silicon with intrinsic conductivity is relatively thin and does not create a band tilt, it can be neglected, and only the p-n junction of the structure “heavily doped amorphous silicon of p-type conductivity—single-crystalline silicon of n-type conductivity” p-a-Si:H/n-c-Si. The main parameters and initial data used in the calculations are given in the section S3 of SI. The concentration of holes in the structure under study equals the concentration of electrons n = 1.6 × 1016 cm−3.
Research has shown that the minimum allowable thickness of amorphous silicon should be 2.53 nm (rounded to the full 3 nm), and the c-Si layer should be 289 nm. Considering all the studies using the heterojunction calculation method, the minimum thickness of the amorphous p-type emitter in the HIT structure should be 7 nm [25].
The introduction of this work showed that one of the most critical factors affecting the efficiency of a photocell of the HIT structure is the passivation of surface states on the crystalline substrate plate. Based on the simulation results, the parameters summarized in Table 3 are the most optimal for HIT. The above literary and experimental data determines the optimal value of the front and rear built-in layers of intrinsic conductivity. The dependence of the NCC lifetime on the thickness of amorphous silicon deposited on a crystalline silicon substrate [25]. This work has demonstrated that there is no valuable difference between the thickness of the amorphous film of 7 and 9 nm, so 5–7 nm values were chosen for the front, built-in layer because the optimization requires a minimum thickness of this layer. However, because the optimization for the rear built-in layer does not have such requirements for thickness, values of 7–11 nm were adopted for the rear layer because they correspond to higher lifetimes of the NCC. Further, a higher value for film thickness leads to a slight jump in the value of the NCC lifetime and the ratio of the increase in lifetime to the increase in layer thickness.

8. Experimental

Solar cells were fabricated using the optimized parameters calculated using the abovementioned method. The modeling and synthesis details are reported in the Supplementary Materials (Sections S2–S4). The performance of the manufactured cell was measured. The current-voltage characteristics were measured using a PV measurement setup. The measurement technique involves determining the dependence of the current passing through the sample on the applied voltage and calculating the resistance. Measurements are carried out under conditions of darkness and simulated solar radiation on a photovoltaic cell.
As shown in Table 4, the optimized elements produced have an efficiency of more than 20%, which coincides with the calculations presented in the third section of this work. The design of the manufactured and simulated solar cells is similar. Still, in the actual sample, there may be a different degree of doping level of the layers, other qualities of the metal contacts, and the quality of the crystalline layer in silicon, and the actual sample may differ. These differences can affect the output characteristics of the solar cell. For example, a higher short-circuit current in an actual sample can be explained by differences in the parameters responsible for the recombination of charge carriers and the parameters responsible for the reflection, transmission, and light absorption in the HIT structure. The differences in the form factor values of the model and the manufactured solar cell are explained by the fact that with lower quality or non-ideal contacts, the series and parallel resistance of the structure differs from the ideal case, which is reflected in the form factor of the studied HIT solar cells. Quantum efficiency measurements were carried out using a PV Measurements QEX10 setup. The measurement results are shown in Figure S4.1. These results demonstrate that photons are mainly absorbed in the visible and red regions of the spectrum.

9. Conclusions

In summary of our research, we can propose the following scheme of computational optimization of solar cell structures and parameters using PC1D and AFORS-HET codes. In the first step, the p-type doping level of the a-Si:H emitter layer should be optimized. Then, follow the optimization of the thickness of the front layer of the built-in a-Si:H layer of intrinsic conductivity. In the third step, optimization of the thickness of the c-Si single-crystal substrate with n-type conductivity, following optimization of the thickness of the amorphous layer of a-Si:H p-type conductivity and optimization of the degree of doping of a single-crystal c-Si substrate with n-type conductivity. Then, optimization of the degree of doping of the rear amorphous layer of a-Si:H n+-conductivity type with further optimization of the thickness of the rear amorphous layer of a-Si:H n+-conductivity type and optimization of the thickness of the back layer of the built-in a-Si:H layer of intrinsic conductivity. The calculations at additional points closer to the area of maximum efficiency for fine-tuning can also be performed. The realistic conditions can also be considered at each step of the modeling, such as the possibility of manufacturing a selected type of solar cell and measured properties of the materials.
A photocell of the HIT structure was simulated in the AFORS-HET program and then optimized using a developed methodology. Also, the optimization method included additional calculations of the heterojunction between the PV layers using the Anderson heterojunction model. In addition, during the optimization of the structure, experimental results on the passivation of defects on the surface of silicon single-crystal wafers by applying a layer of thin amorphous hydrogenated silicon of its type of conductivity were taken into account. In combination with the optimization data and additional calculations, as well as taking into account experimental data on silicon passivation, the model of a photocell was shown. As a result of our modeling, the following results were obtained: the optimal thickness of the amorphous layer of p-type conductivity is 7 nm, the optimal level of doping with impurities of an amorphous layer of p-type conductivity is of the order of 1020 cm−3, the optimal thickness of the front layer of intrinsic conductivity is in the range of 5~7 nm because such a thickness of the amorphous film ensures good passivation, and the optimal thickness of the n-type crystalline silicon substrate is 200 µm. We also found that the optimal degree of doping with impurities in a crystalline silicon substrate depends on the parameters of the crystalline wafer itself (in studied samples, the dopant concentration was considered in order of 1017 cm−3). The combination of computer-assisted modeling and analysis of experimental data suggests that the optimal thickness of the rear layer of intrinsic conductivity is in the range of 7–11 nm because, at large values of the thickness of the amorphous film, the increase in the passivation quality is not significant. We have also found that the optimal level of doping with impurities of an amorphous layer of n-type conductivity should be of the order of 1020 cm−3. Results of our simulations also demonstrate that the n-type amorphous layer provides the necessary energy barrier for minority charge carriers. Hence, the thickness of this layer plays no role in solar cells’ efficiency.
The optimal band characteristics at a fixed temperature of the metal-semiconductor contact have been studied, and a model of a photocell with an ohmic contact and a Schottky contact has been simulated [26]. The results demonstrate a significant influence of contact materials on the output characteristics of heterojunction silicon solar cells. The contact material’s work function is the main parameter influencing solar cells’ efficiency. However, for the evaluation of the efficiency of HITs, the temperature of the surroundings must also be taken into account. Thus, the final step of the simulations is the usage of calculated parameters as input for the simulation of temperature effects, as shown in the work of A.C. Piñón Reyes et al. [27].

Supplementary Materials

The following supporting information can be downloaded at: https://www.mdpi.com/article/10.3390/surfaces7040062/s1, Figure S2.1 Optimization data p-a-Si:H/i-a-Si:H/n-a-Si:H/i-a-Si:H/n+a-Si:H PV cells depending on the degree of doping of the p-type emitter. (a) Dependence of the short-circuit current density on the degree of emitter doping, (b) dependence of U xx on the degree of emitter doping, (c) dependence of the fill factor on the degree of emitter doping, (d) dependence of the PV efficiency on the degree of emitter doping. Figure S2.2 Optimization data p-a-Si:H/i-a-Si:H/n-a-Si:H/i-a-Si:H/n+a-Si:H PV cells depending on the thickness of the front built-in i-layer. (a) Dependence of the short-circuit current density on the thickness of the front built-in i-layer, (b) dependence of U xx on the thickness of the front built-in i-layer, (c) dependence of the fill factor on the thickness of the front built-in i-layer, (d) dependence of the PV efficiency on the thickness of the front built-in i-layer layer. Figure S2.3 Optimization data for p-a-Si:H/i-a-Si:H/n-a-Si:H/i-a-Si:H/n+-a-Si:H PV cells depending on the thickness of the single-crystalline substrate. (a) Дependence of the short-circuit current density I short circuit on the thickness of the single-crystalline substrate, (b) dependence of U xx on the thickness of the single-crystalline substrate, (c) dependence of the fill factor on the thickness of the single-crystalline substrate, (d) dependence of the PV efficiency on the thickness of the single-crystalline substrate. Figure S2.4 Optimization data p-a-Si:H/i-a-Si:H/n-a-Si:H/a-Si:H/n+a-Si:H PV cells depending on the thickness of the emitter layer. (a) Дependence of the short-circuit current density I short circuit on the thickness of the emitter layer, (b) dependence of Uxx on the thickness of the emitter layer, (c) dependence of the fill factor on the thickness of the emitter layer, (d) dependence of the PV efficiency on the thickness of the emitter layer. Figure S2.5 Optimization data p-a-Si:H/i-a-Si:H/n-a-Si:H/i-a-Si:H/n+a-Si:H PV cells depending on the degree of doping of the crystalline substrate n—conductivity type. (a) Dependence of the short-circuit current density on the degree of doping of the crystalline substrate n—n-conductivity type, (b) dependence of the open circuit voltage on the degree of doping of the crystalline substrate n-type of conductivity, (c) dependence of the fill factor of the degree of doping of the crystalline substrate n-type of conductivity, (d) dependence of the efficiency of the solar cell on the degree of doping of the crystalline substrate n-type of conductivity. Figure S2.6 Optimization data p-a-Si:H/i-a-Si:H/n-a-Si:H/i-a-Si:H/n+a-Si:H PV cells depending on the degree of doping of the blocking BSF layer. (a) Dependence of the short-circuit current density on the degree of doping of the blocking BSF layer, (b) dependence of the open-circuit voltage on the degree of doping of the blocking BSF layer, (c) dependence of the fill factor on the doping concentration of the blocking BSF layer, (d) dependence of the efficiency of the solar cell on the degree of doping of the BSF layer. Figure S4.1. The Uoc (a) and efficiency (b) parameters of a photocell of the HIT structure as a function of the thickness of the rear built-in amorphous layer of intrinsic conductivity. Panel (c) shows the external quantum efficiency of the solar cells; Table S2.1 Parameters of the single-crystal n -Si model used in the AFORS-HET software package, Table S2.2 Parameters of the amorphous p / n -Si model used in the AFORS-HET software package, Table S2.3 Main parameters of the optimized structure, Table S3.1 Constants used in heterojunction calculations, Table S3.2 Parameters of heterojunction materials at a temperature of 300 K, Table S4.1 Average values of parameters of HIT PV cells manufactured using wafers of batch 1 and batch 2 n-conductivity type with a thickness of 200 μm, depending on the thickness of the a-Si:H n-layer; The descriptions of Anderson model, the algorithm of the optimization of device performance, data used for the simulation of HIT in section, experimental details, details of the optimization layers’ thickness. Ref. [28] is cited in Supplementary Material.

Author Contributions

Conceptualization, N.C. and N.T.; methodology, N.C., V.K. and N.T.; software, N.C.; validation, N.C. and N.A.; formal analysis, V.K.; investigation, N.C.; resources, N.A., V.K. and N.C.; data curation, D.W.B.; writing—original draft preparation, N.C. and D.W.B.; writing—review and editing, N.A. and N.T.; visualization, N.C. and D.W.B.; supervision, N.A. and D.W.B.; project administration, D.W.B.; funding acquisition, N.C. and N.A. All authors have read and agreed to the published version of the manuscript.

Funding

This article was published within the framework of the project BR18574141 Comprehensive multi-purpose program for improving energy efficiency and resource conservation in energy and mechanical engineering for the industry of Kazakhstan Competition for program-targeted financing for scientific, scientific and technical programs for 2022–2024.

Data Availability Statement

Data available by request.

Acknowledgments

We sincerely thank the “STC Thin Film Technologies in Power Engineering” (Saint Petersburg, Russia) for their help in the investigation and experiments. We especially thank E.I. Terukov for his assistance in studying solar cells over many years.

Conflicts of Interest

The authors declare no conflicts of interest.

References

  1. Masuko, K.; Shigematsu, M.; Hashiguchi, T.; Fujishima, D.; Kai, M.; Yoshimura, N.; Yamaguchi, T.; Ichihashi, Y.; Mishima, T.; Matsubara, N.; et al. Achievement of more than 25% conversion efficiency with crystalline silicon heterojunction solar cell. IEEE J. Photovolt. 2014, 4, 1433–1435. [Google Scholar] [CrossRef]
  2. Green, M.; Dunlop, E.; Hohl-Ebinger, J.; Yoshita, M.; Kopidakis, N.; Hao, X. Solar cell efficiency tables (version 57). Prog. Photovolt. Res. Appl. 2021, 29, 3–15. [Google Scholar] [CrossRef]
  3. Gao, B.; Shao, Y.; Liu, W.; Xiang, H.; Yu, Y.; Liu, Z. Out-door reliability and degradation of HIT, CIGS, n-type multi-busbar, PERC, and CdTe modules in Shanghai, China. Sol. Energy Mater. Sol. Cells 2022, 236, 111490. [Google Scholar] [CrossRef]
  4. Wang, L.; Chen, F.; Yu, A. Simulation of high efficiency heterojunction solar cells with AFORS-HET. J. Phys. Conf. Ser. 2011, 276, 012177. [Google Scholar] [CrossRef]
  5. Panaiotti, I.E.; Terukov, E.I.; Shakhrai, I.S. A method for calculating operating characteristics of silicon heterojunction solar cells with arbitrary parameters of crystalline substrates. Tech. Phys. Lett. 2020, 46, 835–837. [Google Scholar] [CrossRef]
  6. Jiang, C.; Li, T.Z.; Zhang, X.; Hou, L. Simulation of silicon solar cell using PC1D. Adv. Mater. Res. 2012, 383, 7032–7036. [Google Scholar] [CrossRef]
  7. Stangl, R.; Leendertz, C. General principles of solar cell simulation and introduction to AFORS-HET. In Physics and Technology of Amorphous-Crystalline Heterostructure Silicon Solar Cells; Springer: Berlin/Heidelberg, Germany, 2012; pp. 445–458. [Google Scholar]
  8. Ghannam, M.; Abdulraheem, Y.; Shehada, G. Interpretation of the degradation of silicon HIT solar cells due to inadequate front contact TCO work function. Sol. Energy Mater. Sol. Cells 2016, 145, 423–431. [Google Scholar] [CrossRef]
  9. Kirner, S.; Hartig, M.; Mazzarella, L.; Korte, L.; Frijnts, T.; Scherg-Kurmes, H.; Ring, S.; Stannowski, B.; Rech, B.; Schlatmann, R. The influence of ITO dopant density on JV characteristics of silicon heterojunction solar cells: Experiments and simulations. Energy Procedia 2015, 77, 725–732. [Google Scholar] [CrossRef]
  10. Ghannam, M.; Shehadah, G.; Abdulraheem, Y.; Poortmans, J. On the possible role of the interfacial inversion layer in the improvement of the performance of hydrogenated amorphous silicon/crystalline silicon heterojunction solar cells [HIT]. Sol. Energy Mater. Sol. Cells 2015, 132, 320–328. [Google Scholar] [CrossRef]
  11. Shen, L.; Meng, F.; Liu, Z. Roles of the Fermi level of doped a-Si: H and band offsets at a-Si: H/c-Si interfaces in n-type HIT solar cells. Sol. Energy 2013, 97, 168–175. [Google Scholar] [CrossRef]
  12. Ullah, S.; Gulnaz, A.; Wang, G. Modeling and Simulation of Heterojunction Solar Cell with Mono Crystalline Silicon. J. Appl. Math. Phys. 2024, 12, 997–1020. [Google Scholar] [CrossRef]
  13. Gangwar, M.S.; Agarwal, P. Simulation and fabrication of a-Si: H thin-film solar cells: A comparative study of simulation and experimental results. J. Mater. Sci. Mater. Electron. 2024, 35, 487. [Google Scholar] [CrossRef]
  14. Morales-Acevedo, A. Fundamentals of solar cell physics revisited: Common pitfalls when reporting calculated and measured photocurrent density, open-circuit voltage, and efficiency of solar cells. Sol. Energy 2023, 262, 111774. [Google Scholar] [CrossRef]
  15. Yao, Y.; Xu, X.; Zhang, X.; Zhou, H.; Gu, X.; Xiao, S. Enhanced efficiency in bifacial HIT solar cells by gradient doping with AFORS-HET simulation. Mater. Sci. Semicond. Process. 2018, 77, 16–23. [Google Scholar] [CrossRef]
  16. Chuchvaga, N.A.; Zhilina, D.V.; Zhantuarov, S.R.; Tokmoldin, S.Z.; Terukov, E.I.; Tokmoldin, N.S. Study and optimization of heterojunction silicon solar cells. J. Phys. Conf. Ser. 2018, 993, 012039. [Google Scholar] [CrossRef]
  17. Zhao, L.; Zhou, C.L.; Li, H.L.; Diao, H.W.; Wang, W.J. Design optimization of bifacial HIT solar cells on p-type silicon substrates by simulation. Sol. Energy Mater. Sol. Cells 2008, 92, 673–681. [Google Scholar] [CrossRef]
  18. Qiu, D.; Duan, W.; Lambertz, A.; Bittkau, K.; Steuter, P.; Liu, Y.; Gad, A.; Pomaska, M.; Rau, U.; Ding, K. Front contact optimization for rear-junction SHJ solar cells with ultra-thin n-type nanocrystalline silicon oxide. Sol. Energy Mater. Sol. Cells 2020, 209, 110471. [Google Scholar] [CrossRef]
  19. Minemoto, T.; Matsui, T.; Takakura, H.; Hamakawa, Y.; Negami, T.; Hashimoto, Y.; Uenoyama, T.; Kitagawa, M. Theoretical analysis of the effect of conduction band offset of window/CIS layers on performance of CIS solar cells using device simulation. Sol. Energy Mater. Sol. Cells 2001, 67, 83–88. [Google Scholar] [CrossRef]
  20. Lien, S.-Y.; Wuu, D.-S. Simulation and fabrication of heterojunction silicon solar cells from numerical computer and hot-wire CVD. Prog. Photovolt. Res. Appl. 2009, 17, 489–501. [Google Scholar] [CrossRef]
  21. Sachenko, A.V.; Kryuchenko, Y.V.; Kostylyov, V.P.; Sokolovskyi, I.O.; Abramov, A.S.; Bobyl, A.V.; Panaiotti, I.E.; Terukov, E.I. Method for optimizing the parameters of heterojunction photovoltaic cells based on crystalline silicon. Semiconductors 2016, 50, 257–260. [Google Scholar] [CrossRef]
  22. Alpuim, P.; Chu, V.; Conde, J.P. Electronic and structural properties of doped amorphous and nanocrystalline silicon deposited at low substrate temperatures by radio-frequency plasma-enhanced chemical vapor deposition. J. Vac. Sci. Technol. A 2003, 21, 1048–1054. [Google Scholar] [CrossRef]
  23. Larbi, F.; Abdelkader, B.; Jamaldine, S.; Yahia, B.; Larbi, C.; Ana, A. Density of states in intrinsic and n/p-doped hydrogenated amorphous and microcrystalline silicon. J. Mod. Phys. 2011, 2, 1030–1036. [Google Scholar] [CrossRef]
  24. Anderson, R.L. Experiments on ge-gaas heterojunctions. Solid-State Electron. 1962, 5, 341–351. [Google Scholar] [CrossRef]
  25. Herasimenka, S.Y. Large Area Ultrapassivated Silicon Solar Cells Using Heterojunction Carrier Collectors. Ph.D. Thesis, Arizona State University, Tempe, AZ, USA, 2013. Available online: https://keep.lib.asu.edu/items/152277 (accessed on 3 September 2024).
  26. Tokmoldin, N.S.; Chuchvaga, N.A.; Tokmoldin, S.Z. Modeling the influence of contacts in heterojunction silicon solar cells. Bull. Kazakhstan Natl. Acad. Nat. Sci. 2016, 28–33. [Google Scholar]
  27. Piñón Reyes, A.C.; Ambrosio Lázaro, R.C.; Monfil Leyva, K.; Luna López, J.A.; Flores Méndez, J.; Heredia Jiménez, A.H.; Muñoz Zurita, A.L.; Severiano Carrillo, F.; Ojeda Durán, E. Study of a lead-free perovskite solar cell using CZTS as HTL to achieve a 20% PCE by SCAPS-1D simulation. Micromachines 2021, 12, 1508. [Google Scholar] [CrossRef]
  28. Froitzheim, A.; Stangl, R.; Elstner, L.; Kriegel, M.; Fuhs, W. AFORS-HET: A computer-program for the simulation of heterojunction solar cells to be distributed for public use. Photovoltaic Energy Conversio. In Proceedings of the 3rd World Conference onPhotovoltaic Energy Conversion, 2003. Proceedings of, Osaka, Japan, 11–18 May 2003; pp. 279–282. [Google Scholar]
Figure 1. Schemes of different HITs based on n-c-Si (a), a-Si:H/i-a-Si:H/n-c-Si junction (b), and n-c-Si /i-a-Si:H/n+-a-Si:H (c).
Figure 1. Schemes of different HITs based on n-c-Si (a), a-Si:H/i-a-Si:H/n-c-Si junction (b), and n-c-Si /i-a-Si:H/n+-a-Si:H (c).
Surfaces 07 00062 g001
Figure 2. Short-circuit current (ISC) as a function of (a) thickness of the crystalline substrate of n conductivity type, (b) degree of doping of the crystalline substrate of n-type of conductivity, (c) thickness of the buffer layer of its conductivity type, (d) thickness of the emitter layer of p-type of conductivity, (e) degree of doping of the p-type emitter layer conductivity. Panel (f) shows the structure of the HIT-solar cell.
Figure 2. Short-circuit current (ISC) as a function of (a) thickness of the crystalline substrate of n conductivity type, (b) degree of doping of the crystalline substrate of n-type of conductivity, (c) thickness of the buffer layer of its conductivity type, (d) thickness of the emitter layer of p-type of conductivity, (e) degree of doping of the p-type emitter layer conductivity. Panel (f) shows the structure of the HIT-solar cell.
Surfaces 07 00062 g002
Figure 3. Fill factor (FF) as a function of (a) thickness of the crystalline substrate of n conductivity type, (b) degree of doping of the crystalline substrate of n-type of conductivity, (c) thickness of the buffer layer of its conductivity type, (d) thickness of the emitter layer of p-type of conductivity, (e) degree of doping of the p-type emitter layer conductivity.
Figure 3. Fill factor (FF) as a function of (a) thickness of the crystalline substrate of n conductivity type, (b) degree of doping of the crystalline substrate of n-type of conductivity, (c) thickness of the buffer layer of its conductivity type, (d) thickness of the emitter layer of p-type of conductivity, (e) degree of doping of the p-type emitter layer conductivity.
Surfaces 07 00062 g003
Figure 4. Photocell efficiency as a function of (a) thickness of the crystalline substrate of n conductivity type, (b) degree of doping of the crystalline substrate of n-type of conductivity, (c) thickness of the buffer layer of its conductivity type, (d) thickness of the emitter layer of p-type of conductivity, (e) degree of doping of the p-type emitter layer conductivity.
Figure 4. Photocell efficiency as a function of (a) thickness of the crystalline substrate of n conductivity type, (b) degree of doping of the crystalline substrate of n-type of conductivity, (c) thickness of the buffer layer of its conductivity type, (d) thickness of the emitter layer of p-type of conductivity, (e) degree of doping of the p-type emitter layer conductivity.
Surfaces 07 00062 g004
Figure 5. Open-circuit voltage as a function of (a) thickness of the crystalline substrate of n conductivity type, (b) degree of doping of the crystalline substrate of n-type of conductivity, (c) thickness of the buffer layer of its conductivity type, (d) thickness of the emitter layer of p-type of conductivity, (e) degree of doping of the p-type emitter layer conductivity.
Figure 5. Open-circuit voltage as a function of (a) thickness of the crystalline substrate of n conductivity type, (b) degree of doping of the crystalline substrate of n-type of conductivity, (c) thickness of the buffer layer of its conductivity type, (d) thickness of the emitter layer of p-type of conductivity, (e) degree of doping of the p-type emitter layer conductivity.
Surfaces 07 00062 g005
Figure 6. Influence of n+-type a-Si:H rear layer doping on dark I-V curves of Cell 3 in the linear scale (a) and the logarithmic scale (b).
Figure 6. Influence of n+-type a-Si:H rear layer doping on dark I-V curves of Cell 3 in the linear scale (a) and the logarithmic scale (b).
Surfaces 07 00062 g006
Figure 7. The evolution of band bending within the n/i/n+ junction as a function of the doping level in the n+ layer.
Figure 7. The evolution of band bending within the n/i/n+ junction as a function of the doping level in the n+ layer.
Surfaces 07 00062 g007
Figure 8. Output parameters of the original photocell with p-i-n-i-n+ structure: quantum efficiency (a), current-voltage characteristic (b), and the band diagram (c).
Figure 8. Output parameters of the original photocell with p-i-n-i-n+ structure: quantum efficiency (a), current-voltage characteristic (b), and the band diagram (c).
Surfaces 07 00062 g008
Figure 9. Output characteristics of an optimized solar cell with p-i-n-i-n+ structure spectral characteristics of quantum efficiency (a) and light (red line) and dark (blue line) current-voltage characteristics (b).
Figure 9. Output characteristics of an optimized solar cell with p-i-n-i-n+ structure spectral characteristics of quantum efficiency (a) and light (red line) and dark (blue line) current-voltage characteristics (b).
Surfaces 07 00062 g009
Table 1. Assessment of manufacturing parameters affecting the operation of solar cells.
Table 1. Assessment of manufacturing parameters affecting the operation of solar cells.
Manufacturing ParameterInfluence of Parameters, R
p-Type doping of a-Si:H emitter layer1539.52
Thickness of the front layer of the built-in a-Si:H layer of intrinsic conductivity3.98
Thickness of single-crystal c-Si substrate with n-type conductivity3.47
Thickness of the amorphous layer of a-Si:H p-type conductivity1.74
Doping of a single-crystal c-Si substrate with n-type conductivity1.37
Doping of the rear amorphous layer of a-Si:H n+-type conductivityMust exceed the threshold value to form an ohmic contact
Thickness of the rear amorphous layer a-Si:H n+-conductivity typeShould result in ohmic back contact
Thickness of the back layer of the built-in a-Si:H layer of intrinsic conductivityShould lead to ohmic back contact and provide the necessary passivation of surface states
Table 2. Parameters of the optimized structure.
Table 2. Parameters of the optimized structure.
Layer Name
Layer optionsp-a-Sii-a-Sin-c-Sii-a-Sin+-a-Si
Thickness, microns0.0010.0012000.0030.005
Alloy level, cm−30.7 × 1020 ~1.0 1020-1.7 × 1017-1020
Final output characteristics:
VOC = 734 mV, JSC = 33.6 mA/cm2, FF = 85.06%, efficiency = 21.02%
(Reverse order)Layer name
Layer optionsp-a-Sii-a-Sin-c-Sii-a-Sin+-a-Si
Thickness, microns0.0010.0011100.0030.005
Alloy level, cm−31020-0.9 × 1017-1020
Final output characteristics:
VOC = 759.8 mV, JSC = 32.0 mA/cm 2, FF = 85.43%, efficiency = 20.78%
(Random order)Layer name
Layer optionsp-a-Sii-a-Sin-c-Sii-a-Sin+-a-Si
Thickness, microns0.0010.001400.0030.005
Alloy level, cm−31020-1.7 × 1017-1020
Final output characteristics:
VOC = 775.4 mV, JSC = 30.98 mA/cm2, FF = 85.31%, efficiency = 20.49%
Table 3. Optimized parameters of the computer model of the photocell of the HIT structure.
Table 3. Optimized parameters of the computer model of the photocell of the HIT structure.
Parameter NameParameter ValueParameter NameParameter Value
dp-a-Si7 nmNa, p-a-Si1 × 1020 cm−3
dn-c-Si200 µmNd, n-c-Si2 × 1017 cm−3
dn-a-Si20 nm (any, excluding tunneling effect)Nd, n-a-Si1 × 1020 cm−3
di-a-Si, front5–7 nmdi-a-Si, rear7–11 nm
Table 4. The I-V characteristics of manufactured HIT photocells.
Table 4. The I-V characteristics of manufactured HIT photocells.
SampleIsc, mA/cm2Uoc, mVFF, %Efficiency, %
FE_SW_137.771377.1820.64
Modeling33.673485.0620.98
Disclaimer/Publisher’s Note: The statements, opinions and data contained in all publications are solely those of the individual author(s) and contributor(s) and not of MDPI and/or the editor(s). MDPI and/or the editor(s) disclaim responsibility for any injury to people or property resulting from any ideas, methods, instructions or products referred to in the content.

Share and Cite

MDPI and ACS Style

Chuchvaga, N.; Aubakirova, N.; Tokmoldin, N.; Klimenov, V.; Boukhvalov, D.W. A Comprehensive Approach to Optimization of Silicon-Based Solar Cells. Surfaces 2024, 7, 951-968. https://doi.org/10.3390/surfaces7040062

AMA Style

Chuchvaga N, Aubakirova N, Tokmoldin N, Klimenov V, Boukhvalov DW. A Comprehensive Approach to Optimization of Silicon-Based Solar Cells. Surfaces. 2024; 7(4):951-968. https://doi.org/10.3390/surfaces7040062

Chicago/Turabian Style

Chuchvaga, Nikolay, Nazira Aubakirova, Nurlan Tokmoldin, Vasiliy Klimenov, and Danil W. Boukhvalov. 2024. "A Comprehensive Approach to Optimization of Silicon-Based Solar Cells" Surfaces 7, no. 4: 951-968. https://doi.org/10.3390/surfaces7040062

APA Style

Chuchvaga, N., Aubakirova, N., Tokmoldin, N., Klimenov, V., & Boukhvalov, D. W. (2024). A Comprehensive Approach to Optimization of Silicon-Based Solar Cells. Surfaces, 7(4), 951-968. https://doi.org/10.3390/surfaces7040062

Article Metrics

Back to TopTop