Integrating Fuzzy Cognitive Maps and the Delphi Method in the Conservation of Transhumance Heritage: The Case of Andorra
Abstract
1. Introduction
Transhumance in Andorra
2. Research Design
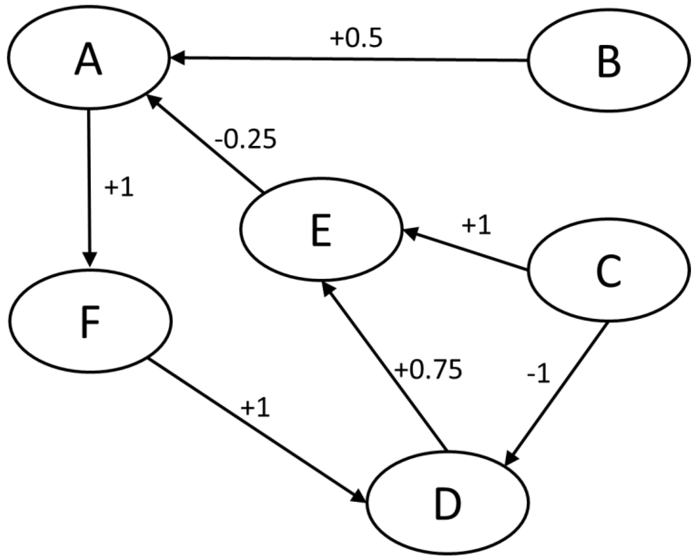
2.1. Construction of the Preliminary Fuzzy Cognitive Maps
2.2. FCM Analysis and Improvement by Experts
2.3. Static and Dynamic Analysis
3. Results
3.1. The Preliminary Fuzzy Cognitive Map
3.2. FCM Analysis and Improvement by Andorran Experts
3.3. Static Analysis
4. Discussion
4.1. FCM and Its Improvement by Andorran Experts
4.2. Implementation of Static and Dynamic Analysis in Planning and Decision–Making
5. Conclusions
Author Contributions
Funding
Data Availability Statement
Acknowledgments
Conflicts of Interest
References
- Liechti, K.; Biber, J.P. Pastoralism in Europe: Characteristics and Challenges of Highland-Lowland Transhumance. OIE Rev. Sci. Tech. 2016, 35, 561–575. [Google Scholar] [CrossRef] [PubMed]
- Wang, J.J. Flood Risk Maps to Cultural Heritage: Measures and Process. J. Cult. Herit. 2015, 16, 210–220. [Google Scholar] [CrossRef]
- Rodríguez-Rosales, B.; Abreu, D.; Ortiz, R.; Becerra, J.; Cepero-Acán, A.E.; Vázquez, M.A.; Ortiz, P. Risk and Vulnerability Assessment in Coastal Environments Applied to Heritage Buildings in Havana (Cuba) and Cadiz (Spain). Sci. Total Environ. 2021, 750, 141617. [Google Scholar] [CrossRef] [PubMed]
- Ortiz, R.; Ortiz, P.; Martín, J.M.; Vázquez, M.A. A New Approach to the Assessment of Flooding and Dampness Hazards in Cultural Heritage, Applied to the Historic Centre of Seville (Spain). Sci. Total Environ. 2016, 551–552, 546–555. [Google Scholar] [CrossRef] [PubMed]
- Andretta, M.; Coppola, F.; Modelli, A.; Santopuoli, N.; Seccia, L. Proposal for a New Environmental Risk Assessment Methodology in Cultural Heritage Protection. J. Cult. Herit. 2017, 23, 22–32. [Google Scholar] [CrossRef]
- Miranda, F.N.; Ferreira, T.M. A Simplified Approach for Flood Vulnerability Assessment of Historic Sites. Nat. Hazards 2019, 96, 713–730. [Google Scholar] [CrossRef]
- Watts, J.M.; Kaplan, M.E. Fire Risk Index for Historic Buildings. Fire Technol. 2001, 37, 167–180. [Google Scholar] [CrossRef]
- Forino, G.; MacKee, J.; von Meding, J. A Proposed Assessment Index for Climate Change-Related Risk for Cultural Heritage Protection in Newcastle (Australia). Int. J. Disaster Risk Reduct. 2016, 19, 235–248. [Google Scholar] [CrossRef]
- Corbera Millán, M. Organización de Los Espacios de Pastos En La Montaña Atlántica: Los Nombres, Las Formas y Las Funciones. Ería 2013, 93, 275–292. [Google Scholar]
- Guillot, F. Le Pastoralisme Au Moyen Âge En Vallée Du Vicdessos, à Travers La Documentation Écrite Médiévale: Grands Troupeaux et Communautés Paysannes; 2014. Available online: https://hal.science/hal-00870874/document (accessed on 10 April 2024).
- Mas, S. Aspectes de l’art Popular d’Andorra; Impremta Principat: Andorra la Vella, Andorra, 2016. [Google Scholar]
- UNESCO Intangible Cultural Heritage. Available online: https://ich.unesco.org/ (accessed on 8 March 2021).
- Kosko, B. Fuzzy Cognitive Maps. Int. J. Man. Mach. Stud. 1986, 24, 65–75. [Google Scholar] [CrossRef]
- Axelrod, R. Structure of Decision: The Cognitive Maps of Political Elites; Princeton University Press: Princeton, NJ, USA, 1976; ISBN 9781400871957. [Google Scholar]
- Alonso González, C.; García de Jalón, D.; Solana Gutiérrez, J.; Rincón Sanz, G. Utilización de Mapas de Conocimiento Difuso (MCD) En La Asignación de Prioridades de La Restauración Fluvial: Aplicación al Río Esla. Cuad. Soc. Española Cienc. For. 2015, 41, 367–380. [Google Scholar] [CrossRef]
- Sobrino, A. Imperfect Causality: Combining Experimentation and Theory. In Combining Experimentation and Theory. Studies in Fuzziness and Soft Computing; Springer: Berlin/Heidelberg, Germany, 2012; Volume 271, pp. 371–389. [Google Scholar] [CrossRef]
- Papageorgiou, E.I.; Markinos, A.; Gemptos, T. Application of Fuzzy Cognitive Maps for Cotton Yield Management in Precision Farming. Expert. Syst. Appl. 2009, 36, 12399–12413. [Google Scholar] [CrossRef]
- Papageorgiou, E.; Kontogianni, A. Using Fuzzy Cognitive Mapping in Environmental Decision Making and Management: A Methodological Primer and an Application. In International Perspectives on Global Environmental Change; InTech: London, UK, 2012. [Google Scholar]
- Gray, S.A.; Gray, S.; Cox, L.J.; Henly-Shepard, S. Mental Modeler: A Fuzzy-Logic Cognitive Mapping Modeling Tool for Adaptive Environmental Management. In Proceedings of the Annual Hawaii International Conference on System Sciences, Wailea, HI, USA, 7–10 January 2013; pp. 965–973. [Google Scholar]
- Henly-Shepard, S.; Gray, S.A.; Cox, L.J. The Use of Participatory Modeling to Promote Social Learning and Facilitate Community Disaster Planning. Environ. Sci. Policy 2015, 45, 109–122. [Google Scholar] [CrossRef]
- Lawrence, A.; Stewart, A. Sustainable Forestry Decisions: On the Interface between Technology and Participation. Math. Comput. For. Nat.-Resour. Sci. 2011, 3, 42–52. [Google Scholar]
- Martinez, P.; Blanco, M.; Castro-Campos, B. The Water-Energy-Food Nexus: A Fuzzy-Cognitive Mapping Approach to Support Nexus-Compliant Policies in Andalusia (Spain). Water 2018, 10, 664. [Google Scholar] [CrossRef]
- Hobbs, B.F.; Ludsin, S.A.; Knight, R.L.; Ryan, P.A.; Biberhofer, J.; Ciborowski, J.J.H. Fuzzy Cognitive Mapping as a Tool to Define Management Objectives for Complex Ecosystems. Ecol. Appl. 2002, 12, 1548–1565. [Google Scholar] [CrossRef]
- Din, M.-A.; Coculescu, C. Modeling Of Urban Policies For Housing With Fuzzy Cognitive Map Methodology. J. Inf. Syst. Oper. Manag. 2015, 9, 276–290. [Google Scholar]
- Papageorgiou, E.I.; Salmeron, J.L. A Review of Fuzzy Cognitive Maps Research during the Last Decade. IEEE Trans. Fuzzy Syst. 2013, 21, 66–79. [Google Scholar] [CrossRef]
- Özesmi, U.; Özesmi, S.L. Ecological Models Based on People’s Knowledge: A Multi-Step Fuzzy Cognitive Mapping Approach. Ecol. Modell. 2004, 176, 43–64. [Google Scholar] [CrossRef]
- Salmeron, J.L.; Vidal, R.; Mena, A. Ranking Fuzzy Cognitive Map Based Scenarios with TOPSIS. Expert. Syst. Appl. 2012, 39, 2443–2450. [Google Scholar] [CrossRef]
- Gray, S.; Chan, A.; Clark, D.; Jordan, R. Modeling the Integration of Stakeholder Knowledge in Social-Ecological Decision-Making: Benefits and Limitations to Knowledge Diversity. Ecol. Modell. 2012, 229, 88–96. [Google Scholar] [CrossRef]
- Stach, W.; Kurgan, L.; Pedrycz, W.; Reformat, M. Genetic Learning of Fuzzy Cognitive Maps. Fuzzy Sets Syst. 2005, 153, 371–401. [Google Scholar] [CrossRef]
- Gray, S.A.; Gray, S.; de Kok, J.L.; Helfgott, A.E.R.; O’Dwyer, B.; Jordan, R.; Nyaki, A. Using Fuzzy Cognitive Mapping as a Participatory Approach to Analyze Change, Preferred States, and Perceived Resilience of Social-Ecological Systems. Ecol. Soc. 2015, 20, 11. [Google Scholar] [CrossRef]
- Salmeron, J.L. Supporting Decision Makers with Fuzzy Cognitive Maps. Res.-Technol. Manag. 2009, 52, 53–59. [Google Scholar] [CrossRef]
- Özesmi, U.; Özesmi, S. A Participatory Approach to Ecosystem Conservation: Fuzzy Cognitive Maps and Stakeholder Group Analysis in Uluabat Lake, Turkey. Environ. Manag. 2003, 31, 518–531. [Google Scholar] [CrossRef] [PubMed]
- Garcia de Jalón, D.; Alonso, C.; González del Tango, M.; Martinez, V.; Gurnell, A.; Lorenz, S.; Wolter, C.; Rinaldi, M.; Belletti, B.; Mosselman, E.; et al. Review on Effects of Pressures on Hydromorphological Variables and Ecologically Relevant Processes|REFORM. Available online: https://www.reformrivers.eu/deliverables/d1-2 (accessed on 8 March 2021).
- Santoro, S.; Pluchinotta, I.; Pagano, A.; Pengal, P.; Cokan, B.; Giordano, R. Assessing Stakeholders’ Risk Perception to Promote Nature Based Solutions as Flood Protection Strategies: The Case of the Glinščica River (Slovenia). Sci. Total Environ. 2019, 655, 188–201. [Google Scholar] [CrossRef]
- Gray, S.A.; Zanre, E.; Gray, S.R.J. Fuzzy Cognitive Maps as Representations of Mental Models and Group Beliefs. Intell. Syst. Ref. Libr. 2014, 54, 29–48. [Google Scholar] [CrossRef] [PubMed]
- Infante-Moro, A.; Infante-Moro, J.C.; Gallardo-Pérez, J. Fuzzy Cognitive Maps and Their Application in Social Science Research: A Study of Their Main Problems. Educ. Knowl. Soc. (EKS) 2021, 22, 1–14. [Google Scholar] [CrossRef]
- Asuero, A.G.; Sayago, A.; González, A.G. The Correlation Coefficient: An Overview. Crit. Rev. Anal. Chem. 2006, 36, 41–59. [Google Scholar] [CrossRef]
- Cohen, J. Statistical Power Analysis for the Behavioral Sciences, 2nd ed.; Lawrence Erlbaum Associates: Mahwah, NJ, USA, 1988; ISBN 0-8058-0283-5. [Google Scholar]
- Linstone, H.A.; Turoff, M. The Delphi Method: An Efficient Procedure to Generate Knowledge; Addison-Wesley Educational Publishers Inc.: Boston, MA, USA, 2011; ISBN 0-201-04294-0. [Google Scholar]
- Okoli, C.; Pawlowski, S.D. The Delphi Method as a Research Tool: An Example, Design Considerations and Applications. Inf. Manag. 2004, 42, 15–29. [Google Scholar] [CrossRef]
- Landeta, J. Current Validity of the Delphi Method in Social Sciences. Technol. Forecast. Soc. Chang. 2006, 73, 467–482. [Google Scholar] [CrossRef]
- Reguant-Álvarez, M.; Torrado-Fonseca, M. El Método Delphi. REIRE Rev. d’Innovació Recer. Educ. 2016, 9, 87–102. [Google Scholar] [CrossRef]
- Ortiz, R.; Ortiz, P. Vulnerability Index: A New Approach for Preventive Conservation of Monuments. Int. J. Archit. Herit. 2016, 10, 1078–1100. [Google Scholar] [CrossRef]
- Ortiz, P.; Antunez, V.; Martín, J.M.; Ortiz, R.; Vázquez, M.A.; Galán, E. Approach to Environmental Risk Analysis for the Main Monuments in a Historical City. J. Cult. Herit. 2014, 15, 432–440. [Google Scholar] [CrossRef]
- Ortiz, R.; Ortiz, P.; Vázquez, M.A.; Martín, J.M. Integration of Georeferenced Informed System and Digital Image Analysis to Asses the Effect of Cars Pollution on Historical Buildings. Constr. Build. Mater. 2017, 1, 320–333. [Google Scholar] [CrossRef]
- Prieto, A.J.; Turbay, I.; Ortiz, R.; Chávez, M.J.; Macías-Bernal, J.M.; Ortiz, P. A Fuzzy Logic Approach to Preventive Conservation of Cultural Heritage Churches in Popayán, Colombia. Int. J. Archit. Herit. 2020, 15, 1910–1929. [Google Scholar] [CrossRef]
- Palacios, J.L. Estrategias de Ponderación de La Respuesta En Encuestas de Satisfacción de Usuarios de Servicios. Metodol. Encuestas 2002, 4, 175–194. [Google Scholar]
- Lara, R.B.; González, S.; Maikel, E.; Leyva Vázquez, Y. Análisis Estático En Mapas Cognitivos Difusos Basado En Una Medida de Centralidad Compuesta. Cienc. Inf. 2014, 45, 31–36. [Google Scholar]
- Maridueña Arroyave, M.R.; Leyva Vázquez, M.; Febles Estrada, A. Modeling and Analysis of Science and Technology Indicators Using Fuzzy Cognitive Maps. Inf. Sci. 2016, 47, 17–24. [Google Scholar]
- Smarandache, F.; Leyva Vázquez, M. Modelos Mentales y Mapas Cognitivos Neutrosóficos. In Neutrosofía: Nuevos Avances en el Tratamiento de la Incertidumbre; Pons Publishing House: Brussels, Belgium, 2018; pp. 34–43. ISBN 9781599735726. [Google Scholar]
- Castilla Espino, D.; Jiménez de Madariaga, C. Modelado Del Patrimonio Cultural Inmaterial de La UNESCO Mediante Mapas Cognitivos Difusos. In Annals of Applied Economics (ASEPELT 2017); Mendes, I., Borges, M.R., Coelho, M., Mendes, Z., Eds.; SOCIUS/ISEG and ASEPELT: Lisboa, Portugal, 2017; pp. 226–239. ISBN 978-989-96593-5-3. [Google Scholar]
- Masciotta, M.G.; Morais, M.J.; Ramos, L.F.; Oliveira, D.V.; Sánchez-Aparicio, L.J.; González-Aguilera, D. A Digital-Based Integrated Methodology for the Preventive Conservation of Cultural Heritage: The Experience of HeritageCare Project. Int. J. Archit. Herit. 2019, 15, 844–863. [Google Scholar] [CrossRef]
- Wijesuriya, G.; Thompson, J.; Young, C. Managing Cultural World Heritage; UNESCO, ICOMOS, ICCROM, IUCN: Paris, France, 2013; ISBN 978-92-3-001223-6. [Google Scholar]
- Consell General del Principat d’Andorra. Llei 9/2003, Del 12 de Juny, Del Patrimoni Cultural d’Andorra. In Butlletí Of. Principat D’andorra; 2003; 55, pp. 1887–1897. [Google Scholar]
- Agapiou, A.; Alexakis, D.D.; Lysandrou, V.; Sarris, A.; Cuca, B.; Themistocleous, K.; Hadjimitsis, D.G. Impact of Urban Sprawl to Cultural Heritage Monuments: The Case Study of Paphos Area in Cyprus. J. Cult. Herit. 2015, 16, 671–680. [Google Scholar] [CrossRef]
- Consell General of the Principality of Andorra. Llei General. d’ordenació Del. Territori i Urbanisme. In Butlletí Of. Principat D’andorra; 2021; 10, pp. 379–400. [Google Scholar]
- Al-Houdalieh, S.H.; Sauders, R.R. Building Destruction: The Consequences of Rising Urbanization on Cultural Heritage in the Ramallah Province. Int. J. Cult. Prop. 2009, 16, 1–23. [Google Scholar] [CrossRef]
- Departament d’Estadística (Govern d’Andorra). A179. Economic Overview, 2022; Govern d’Andorra: Andorra, 2023. Available online: https://www.estadistica.ad/portal/apps/sites/#/estadistica-ca/pages/publicacio?Idioma=ca&Id=31107&IdCat=3 (accessed on 10 April 2024).
- Troitiño Vinuesa, M.Á.; Troitiño Torralba, L. Territorial View of Heritage and Tourism Sustainability. Boletín Asoc. Geógrafos Españoles 2018, 78, 212–244. [Google Scholar] [CrossRef]
- Loulanski, T.; Loulanski, V. The Sustainable Integration of Cultural Heritage and Tourism: A Meta-Study. J. Sustain. Tour. 2011, 19, 837–862. [Google Scholar] [CrossRef]
- Pastor Alfonso, M.J. El Patrimonio Cultural Como Opción Turística. Horiz. Antropológicos 2003, 9, 97–115. [Google Scholar] [CrossRef][Green Version]
- Garcia-Lluelles, E.; Valiente, G.C.; Casalprim-Ramonet, M. El Impacto Del Turismo En Andorra: La Percepción De Los Residentes. Cuad. Tur. 2023, 52, 123–147. [Google Scholar] [CrossRef]
- Cuevas, T.; Berthet, N. Andorra, Contexto Presente Del Turismo Nodal Entre Francia y España. Eur. Sci. J. 2012, 8, 78–101. [Google Scholar]
- Christoforou, A.; Andreou, A.S. A Framework for Static and Dynamic Analysis of Multi-Layer Fuzzy Cognitive Maps. Neurocomputing 2017, 232, 133–145. [Google Scholar] [CrossRef]
- Govern D’Andorra Institut d’Estudis Andorrans. Available online: https://www.iea.ad/ (accessed on 8 March 2021).
- Holtorf, C. Embracing Change: How Cultural Resilience Is Increased through Cultural Heritage. World Archaeol. 2018, 50, 639–650. [Google Scholar] [CrossRef]
- Prieto, A.J.; Macías-Bernal, J.M.; Chávez de Diego, M.J.; Alejandre, F.J. Expert System for Predicting Buildings Service Life under ISO 31000 Standard. Application in Architectural Heritage. J. Cult. Herit. 2016, 18, 209–218. [Google Scholar] [CrossRef]
- Herráez, J.A.; Durán, D.; García Martínez, E. Fundamentos de Conservación Preventiva; IPCE: Madrid, Spain, 2017. [Google Scholar]
- Landeta Rodríguez, J. El Método Delphi: Una Técnica de Previsión Para La Incertidumbre; Ariel: Barcelona, Spain, 1999. [Google Scholar]
- Sackman, H. Delphi Assessment: Expert Opinion, Forecasting, and Group Process; The Rand Corporation: Santa Mónica, CA, USA, 1974. [Google Scholar]
- Drumm, S.; Bradley, C.; Moriarty, F. ‘More of an Art than a Science’? The Development, Design and Mechanics of the Delphi Technique. Res. Soc. Adm. Pharm. 2022, 18, 2230–2236. [Google Scholar] [CrossRef] [PubMed]
- Loo, R. The Delphi Method: A Powerful Tool for Strategic Management. Int. J. Police Strateg. Manag. 2002, 25, 1363–1951. [Google Scholar] [CrossRef]
- García-Ruiz, J.M.; Tomás-Faci, G.; Diarte-Blasco, P.; Montes, L.; Domingo, R.; Sebastián, M.; Lasanta, T.; González-Sampériz, P.; López-Moreno, J.I.; Arnáez, J.; et al. Transhumance and Long-Term Deforestation in the Subalpine Belt of the Central Spanish Pyrenees: An Interdisciplinary Approach. Catena 2020, 195, 104744. [Google Scholar] [CrossRef]
- Dilmé Bejarano, E. Preserving Vernacular Architecture in Andorra. Loggia Arquit. Restauración 2020, 33, 20–43. [Google Scholar] [CrossRef]
- Ministerio de Cultura y Deporte. National Plan To Safeguard Intangible Cultural Heritage; Gobierno de España: Madrid, Spain, 2011. Available online: https://www.cultura.gob.es/planes-nacionales/en/dam/jcr:73de51a5-978f-47c4-a67a-42b20e09fe41/08-inmaterial-eng.pdf (accessed on 10 April 2024).






| Experts | Country | Formation | Academic Level | Expertise (Years) | Current Position |
|---|---|---|---|---|---|
| 1 | Italy | Architecture | MSc in Architecture and Urban Planning | Architecture and territorial strategic planning (20 years) | Technician in the Department of Cultural Initiatives |
| 2 | United Kingdom | Geography | PhD in Geography MSc in Landscape and Culture | Geography and landscape design (13 years) | Postdoctoral research and assistant professor |
| 3 | Spain | Chemistry | PhD in Chemistry MSc in environmental management | Evaluation of Risks and vulnerability. Preventive conservation and diagnosis of cultural heritage (25 years) | Full Professor |
| 4 | Andorra | Conservator-restorer of cultural heritage | MSc in diagnosis of cultural heritage | Conservation of dry-stone monuments (10 years) | Technician in the Department of Andorran Cultural Heritage |
| 5 | Spain | Sports science | PhD in Physical Activity and Sports Sciences | Hiking, mountaineering and outdoor activities (20 years) | Professor |
| Experts | Academic Level | Years Working for Andorran Cultural Heritage | Positions Held in the Andorran Cultural Heritage Sector |
|---|---|---|---|
| 1 | Degree in History, MSc in cultural management and in strategic management of museums and heritage centers. | 12 years | Currently a museum technician in the Department of Cultural Initiatives |
| 2 | Degree in Architecture. MSc in architectural conservation and rehabilitation. | 11 years | Currently an architectural heritage technician in the Department of Cultural Heritage |
| 3 | Degree in Works of Art Conservation. | 17 years | Currently a conservator technician in the Department of Cultural Heritage |
| 4 | Degree in Art History and Fine Arts. | 21 years | Currently a conservator technician in the Department of Cultural Heritage |
| 5 | Degree in History, expertized in the study of vernacular architecture | Since 1980 Officially retired, he still works for Andorran cultural heritage | He worked for 20 years as an inventory technician in the Department of Cultural Heritage, 4 years as head of the Andorran Ethnology Service and 1 year as head of the Immovable Heritage Area (monuments and sites). |
| 6 | Diploma in Works of Art Conservation. Stage in the Instituto Centrale per il Restauro. | 39 years (from 1982 to 2021) Officially retired | She worked as a conservator technician in the former National Artistic Heritage Department, for 16 years as Head of the Andorran Inventory and Conservation Section, 2 years as head of the Movable Heritage and Museums Department and 10 years as head of the Movable Heritage Area. |
| 7 | Degree in History. MSc in management, conservation, and enhancement of territorial heritage. | 5 years | Currently an archaeologist in the Department of Cultural Heritage |
| Categories | Numerical Value * |
|---|---|
| Very important | 4 |
| Important | 2.8 |
| Somewhat important | 1.6 |
| Unimportant | 0.4 |
| Concepts | Factors | Final Receivers |
|---|---|---|
| Governance Factors | Conservation State of Intangible Heritage and Conservation State of Tangible Heritage |
| Natural Hazards | |
| Anthropogenic Factors | |
| Others |
| Question | 1st Round | 2nd Round | ||||||
|---|---|---|---|---|---|---|---|---|
| Very Important (%) | Important (%) | Somewhat Important (%) | Unimportant (%) | Very Important (%) | Important (%) | Somewhat Important (%) | Unimportant (%) | |
| How important is the cataloguing for the conservation of cultural heritage? | 7 (100) | 0 | 0 | 0 | 7 (100) | 0 | 0 | 0 |
| How important is the cataloguing for the elaboration of georeferenced cultural maps? | 4 (57.14) | 3 (42.86) | 0 | 0 | 4 (57.14) | 3 (42.86) | 0 | 0 |
| How important is the georeferencing of heritage in the design of cultural itineraries? | 2 (28.57) | 5 (71.43) | 0 | 0 | 0 | 7 (100) | 0 | 0 |
| Is urbanization an important factor for deterioration of the immovable heritage? | 6 (85.71) | 1 (14.29) | 0 | 0 | 7 (100) | 0 | 0 | 0 |
| How important is environmental pollution caused by road traffic in Andorra? | 2 (28.57) | 5 (71.43) | 0 | 0 | 1 (14.29) | 6 (85.71) | 0 | 0 |
| How important is the government investments in the cultural heritage preservation? | 0 | 3 (42.86) | 1 (14.29) | 3 (42.86) | 2 (28.57) | 3 (42.86) | 2 (28.57) | 0 |
| How important is the government investments in the cultural heritage research? | 0 | 0 | 5 (71.43) | 2 (28.57) | 0 | 0 | 5 (71.43) | 2 (28.57) |
| How important is the action of governments (in general) to provide a legal framework that protects the cultural heritage? | 5 (71.43) | 2 (28.57) | 0 | 0 | 6 (85.71) | 1 (14.29) | 0 | 0 |
| Is Andorran Cultural Heritage Law an important legislation for the conservation of our transhumant heritage? | 5 (71.43) | 1 (14.29) | 1 (14.29) | 0 | 6 (85.71) | 1 (14.29) | 0 | 0 |
| Is Andorran Cultural Heritage Law an important tool in the fight against cultural vandalism? | 1 (14.29) | 1 (14.29) | 4 (57.14) | 1 (14.29) | 1 (14.29) | 1 (14.29) | 4 (57.14) | 1 (14.29) |
| How important are the protective environments of the current Law for the protection of the monuments and archaeological sites against urban plans? | 0 | 0 | 1 (14.29) | 6 (85.71) | 0 | 0 | 0 | 7 (100) |
| How important is the combined action of rain and wind for the conservation of our immovable cultural heritage? | 1 (14.29) | 5 (71.43) | 1 (14.29) | 0 | 0 | 6 (85.71) | 1 (14.29) | 0 |
| How important are sudden changes in temperature (T and relative humidity (HR) for the degradation of our cultural heritage? | 1 (14.29) | 6 (85.71) | 0 | 0 | 1 (14.29) | 6 (85.71) | 0 | 0 |
| How important is environmental pollution for the degradation of our cultural heritage? | 1 (14.29) | 3 (42.86) | 3 (42.86) | 0 | 0 | 3 (42.86) | 4 (57.14) | 0 |
| How important are the floods caused by rivers and torrents for the conservation of our cultural heritage? | 1 (14.29) | 5 (71.43) | 1 (14.29) | 0 | 2 (28.57) | 4 (57.14) | 1 (14.29) | 0 |
| How important are the rock falls and snow avalanches for the conservation of our cultural heritage? | 0 | 4 (57.14) | 3 (42.86) | 0 | 0 | 4 (57.14) | 3 (42.86) | 0 |
| Are biological contaminants (xylophagous insects, excrement, fungi, etc.) an important problem for the conservation of our cultural heritage? | 1 (14.29) | 5 (71.43) | 1 (14.29) | 0 | 0 | 6 (85.71) | 1 (14.29) | 0 |
| How important is the cultural vandalism (graffiti, damage to heritage, etc.) in Andorra? | 1 (14.29) | 6 (85.71) | 0 | 0 | 0 | 6 (85.71) | 1 (14.29) | 0 |
| How important are security measures to prevent vandalism and theft in cultural heritage? | 2 (28.57) | 5 (71.43) | 0 | 0 | 1 (14.29) | 6 (85.71) | 0 | 0 |
| Is the current population density in Andorra an important problem for heritage conservation? | 2 (28.57) | 2 (28.57) | 2 (28.57) | 1 (14.29) | 1 (14.29) | 2 (28.57) | 3 (42.86) | 1 (14.29) |
| How important is the influx of road traffic with the population growth? | 5 (71.43) | 1 (14.29) | 1 (14.29) | 0 | 5 (71.43) | 2 (28.57) | 0 | 0 |
| Is the tourism an important factor of deterioration for the conservation of tangible cultural heritage (i.e., immovable and movable property)? | 0 | 2 (28.57) | 4 (57.14) | 1 (14.29) | 0 | 1 (14.29) | 5 (71.43) | 1 (14.29) |
| …and for the conservation of intangible heritage (intangible assets such as festivals and traditions)? | 0 | 2 (28.57) | 3 (42.86) | 2 (28.57) | 0 | 2 (28.57) | 3 (42.86) | 2 (28.57) |
| How important is the increase in road traffic in Andorra with the arrival of tourists? | 3 (42.86) | 4 (57.14) | 0 | 0 | 4 (57.14) | 3 (42.86) | 0 | 0 |
| How important is public awareness and active participation in the conservation, preservation and enhancement of cultural heritage? | 4 (57.14) | 0 | 3 (42.86) | 0 | 4 (57.14) | 2 (28.57) | 1 (14.29) | 0 |
| How important is the citizen awareness and commitment with heritage for reducing the cultural vandalism? | 6 (85.71) | 1 (14.29) | 0 | 0 | 7 (100) | 0 | 0 | 0 |
| How important is investment in research for cultural heritage knowledge? | 3 (42.86) | 0 | 3 (42.86) | 1 (14.29) | 6 (85.71) | 0 | 1 (14.29) | 0 |
| How important is to invest in research when studying and disseminating our cultural heritage? | 6 (85.71) | 1 (14.29) | 0 | 0 | 6 (85.71) | 1 (14.29) | 0 | 0 |
| Are cultural itineraries an important way to increase tourism? | 0 | 6 (85.71) | 1 (14.29) | 0 | 0 | 6 (85.71) | 1 (14.29) | 0 |
| How important is tourism for increasing the socio-economic level of the population? | 1 (14.29) | 6 (85.71) | 0 | 0 | 0 | 7 (100) | 0 | 0 |
| Are cultural itineraries an important way for better preserving the cultural heritage? | 2 (28.57) | 5 (71.43) | 0 | 0 | 0 | 7 (100) | 0 | 0 |
| How important are the financial resources of a community for heritage conservation? | 3 (42.86) | 3 (42.86) | 1 (14.29) | 0 | 3 (42.86) | 3 (42.86) | 1 (14.29) | 0 |
| How important is to share knowledge about our pastoral heritage for raising greater citizen awareness and participation towards it? | 3 (42.86) | 4 (57.14) | 0 | 0 | 2 (28.57) | 5 (71.43) | 0 | 0 |
| How important is to promote the use of public heritage for increasing knowledge among citizens? | 4 (57.14) | 3 (42.86) | 0 | 0 | 4 (57.14) | 3 (42.86) | 0 | 0 |
| Is the tourism in Andorra an important factor in promoting some kind of cultural vandalism? | 0 | 2 (28.57) | 5 (71.43) | 0 | 0 | 2 (28.57) | 5 (71.43) | 0 |
| With the arrival of tourists in the principality, how important is environmental pollution growth? | 1 (14.29) | 5 (71.43) | 1 (14.29) | 0 | 1 (14.29) | 6 (85.71) | 0 | 0 |
| How important is public awareness of heritage for the promotion of cultural tourism? | 6 (85.71) | 1 (14.29) | 0 | 0 | 6 (85.71) | 1 (14.29) | 0 | 0 |
| How important is the georeferencing of our heritage for promoting its accessibility? | 0 | 5 (71.43) | 2 (28.57) | 0 | 0 | 7 (100) | 0 | 0 |
| How important is cultural tourism in providing the necessary financial resources for the preservation of our heritage? | 2 (28.57) | 4 (57.14) | 1 (14.29) | 0 | 2 (28.57) | 5 (71.43) | 0 | 0 |
| How important is to share knowledge about our pastoral heritage for increasing cultural tourism in our country? | 2 (28.57) | 5 (71.43) | 0 | 0 | 2 (28.57) | 5 (71.43) | 0 | 0 |
| How important is the increase in population to make the heritage more vulnerable? | 2 (28.57) | 5 (71.43) | 0 | 0 | 2 (28.57) | 5 (71.43) | 0 | 0 |
| How important is the citizen awareness and commitment for a best preservation of the cultural heritage? | 6 (85.71) | 1 (14.29) | 0 | 0 | 6 (85.71) | 1 (14.29) | 0 | 0 |
| How important is the Andorran Cultural Heritage Law for promoting the inventory of the cultural property? | 6 (85.71) | 1 (14.29) | 0 | 0 | 7 (100) | 0 | 0 | 0 |
| A) Conservation State of Intangible Heritage | B) Conservation State of Intangible Heritage | 1. Cataloguing | 2. Collection of Data in a WebGIS platform | 3. Urbanization: Intensification of land Use | 4. Road Traffic | 5. Political Commitment | 6. Legislation for Conservation | 7. Erosion by Wind/Rain | 8. Damage by Temperatures (thermal Stress/Frozen) | 9. Air Pollutants | 10. Biological Agents | 11. Flooding | 12. Avalanche of Rocks/Snow | 13. Vandalism (Graffiti, Excrements, …) | 14. Accessibility (Theft, Loss of Material, Foreign Elements, …) | 15. Population Density | 16. Socio-Economic Level of the Population in the Environment | 17. Tourism | 18. Compatible Uses | 19. Citizen Awareness and Involvement | 20. Research Investments | 21.. Tourist Itineraries for Transhumance | 22. Financial Resources | 23. Knowledge Co-Production | |
|---|---|---|---|---|---|---|---|---|---|---|---|---|---|---|---|---|---|---|---|---|---|---|---|---|---|
| (A) Conservation State of Intangible Heritage | |||||||||||||||||||||||||
| (B) Conservation State of Intangible Heritage | |||||||||||||||||||||||||
| 1 | 1 | 0.87 | ||||||||||||||||||||||
| −0.7 | 0.7 | |||||||||||||||||||||||
| −1 | 0.91 | |||||||||||||||||||||||
| 0.74 | ||||||||||||||||||||||||
| 0.96 | 0.31 | 0.4 | ||||||||||||||||||||||
| 0.96 | 0.96 | 1 | −0.1 | −0.49 | ||||||||||||||||||||
| −0.66 | ||||||||||||||||||||||||
| −0.74 | ||||||||||||||||||||||||
| −0.53 | ||||||||||||||||||||||||
| −0.66 | ||||||||||||||||||||||||
| −0.74 | ||||||||||||||||||||||||
| −0.57 | ||||||||||||||||||||||||
| −0.66 | ||||||||||||||||||||||||
| 0.74 | ||||||||||||||||||||||||
| −0.53 | 0.91 | 0.91 | 0.74 | 0.79 | 0.79 | −0.7 | ||||||||||||||||||
| |||||||||||||||||||||||||
| −0.4 | −0.4 | 0.87 | 0.74 | 0.49 | 0.7 | |||||||||||||||||||
| 0.87 | ||||||||||||||||||||||||
| 0.83 | 0.83 | −1 | 0.96 | 0.96 | ||||||||||||||||||||
| 0.91 | 0.91 | 0.96 | ||||||||||||||||||||||
| 0.7 | 0.7 | 0.7 | 0.66 | 0.79 | ||||||||||||||||||||
| 0.79 | 0.79 | |||||||||||||||||||||||
| 0.7 | 0.79 | 0.79 |
| Concept | Indegree | Outdegree | Centrality | Type |
|---|---|---|---|---|
| (A) Conservation State of Intangible Heritage | 5.59 | 0 | 5.59 | Receiver |
| (B) Conservation State of Intangible Heritage | 12.55 | 0 | 12.55 | Receiver |
| 1.96 | 2.87 | 4.83 | Ordinary |
| 1.57 | 1.40 | 2.97 | Ordinary |
| 1.01 | 1.91 | 2.92 | Ordinary |
| 2.69 | 0.74 | 3.43 | Ordinary |
| 0 | 1.67 | 1.67 | Driver |
| 0.96 | 3.51 | 4.47 | Ordinary |
| 0 | 0.66 | 0.66 | Driver |
| 0 | 0.74 | 0.74 | Driver |
| 2.22 | 0.53 | 2.75 | Ordinary |
| 0 | 0.66 | 0.66 | Driver |
| 0 | 0.74 | 0.74 | Driver |
| 0 | 0.57 | 0.57 | Driver |
| 3.51 | 0.66 | 4.17 | Ordinary |
| 1.49 | 0.74 | 2.23 | Ordinary |
| 0 | 5.37 | 5.37 | Driver |
| 2.01 | 0 | 2.01 | Receiver |
| 0.66 | 3.60 | 4.26 | Ordinary |
| 0.96 | 0.87 | 1.83 | Ordinary |
| 0.79 | 4.58 | 5.37 | Ordinary |
| 0.31 | 2.78 | 3.09 | Ordinary |
| 2.45 | 3.55 | 6 | Ordinary |
| 1.19 | 1.58 | 2.77 | Ordinary |
| 0 | 2.28 | 2.28 | Driver |
Disclaimer/Publisher’s Note: The statements, opinions and data contained in all publications are solely those of the individual author(s) and contributor(s) and not of MDPI and/or the editor(s). MDPI and/or the editor(s) disclaim responsibility for any injury to people or property resulting from any ideas, methods, instructions or products referred to in the content. |
© 2024 by the authors. Licensee MDPI, Basel, Switzerland. This article is an open access article distributed under the terms and conditions of the Creative Commons Attribution (CC BY) license (https://creativecommons.org/licenses/by/4.0/).
Share and Cite
Segura, L.; Ortiz, R.; Becerra, J.; Ortiz, P. Integrating Fuzzy Cognitive Maps and the Delphi Method in the Conservation of Transhumance Heritage: The Case of Andorra. Heritage 2024, 7, 2730-2754. https://doi.org/10.3390/heritage7060130
Segura L, Ortiz R, Becerra J, Ortiz P. Integrating Fuzzy Cognitive Maps and the Delphi Method in the Conservation of Transhumance Heritage: The Case of Andorra. Heritage. 2024; 7(6):2730-2754. https://doi.org/10.3390/heritage7060130
Chicago/Turabian StyleSegura, Lluís, Rocío Ortiz, Javier Becerra, and Pilar Ortiz. 2024. "Integrating Fuzzy Cognitive Maps and the Delphi Method in the Conservation of Transhumance Heritage: The Case of Andorra" Heritage 7, no. 6: 2730-2754. https://doi.org/10.3390/heritage7060130
APA StyleSegura, L., Ortiz, R., Becerra, J., & Ortiz, P. (2024). Integrating Fuzzy Cognitive Maps and the Delphi Method in the Conservation of Transhumance Heritage: The Case of Andorra. Heritage, 7(6), 2730-2754. https://doi.org/10.3390/heritage7060130

