Next Article in Journal
Visiting Heritage Sites in AR and VR
Previous Article in Journal
Regional Identity and Intangible Heritage Related to Saffron Cultivation in Castilla-La Mancha (Spain)
 
 
Font Type:
Arial Georgia Verdana
Font Size:
Aa Aa Aa
Line Spacing:
Column Width:
Background:
Article

Protective Coatings for Metals in Scientific—Technical Heritage: The Collection of the Spanish National Museum of Science and Technology (MUNCYT)

by
María Teresa Molina
1,*,
Emilio Cano
1,
Joaquina Leal
2,
Rafael Fort
3,
Mónica Álvarez de Buergo
3 and
Blanca Ramírez-Barat
1
1
Centro Nacional de Investigaciones Metalúrgicas (CENIM), Consejo Superior de Investigaciones Científicas (CSIC), 28040 Madrid, Spain
2
Museo Nacional de Ciencia y Tecnología (MUNCYT), 28100 Madrid, Spain
3
Instituto de Geociencias (IGEO), Consejo Superior de Investigaciones Científicas (CSIC), Universidad Complutense de Madrid (UCM), 28040 Madrid, Spain
*
Author to whom correspondence should be addressed.
Heritage 2023, 6(3), 2473-2488; https://doi.org/10.3390/heritage6030130
Submission received: 27 January 2023 / Revised: 16 February 2023 / Accepted: 23 February 2023 / Published: 24 February 2023
(This article belongs to the Section Materials and Heritage)

Abstract

This paper presents results on the protective properties of different coatings over metals representative of those found in scientific–technical heritage collections. An examination of several objects in the collection of the Spanish National Museum of Science and Technology have allowed the identification of brass and steel as the most representative metals, and the existence of coatings (mainly shellac and acrylic resins) applied for aesthetic and/or conservation purposes. Based on these findings, brass and steel coupons coated with Paraloid B-44, B-48, B-67, B-72, Incralac, Cosmolloid H80, B-72 + H80 double layer and shellac have been studied to carry out a first screening in order to select the most promising candidates and determine the most appropriate methodology and key factors for the study. Coatings have been aged up to 336 h using cycles of UV light and water condensation. The change in the aspect of the coupons has been assessed via visual examination, optical microscopy and colorimetric measurements, with B-44 and Incralac showing the least change. EIS has been used for a quantitative evaluation of the protective properties and FTIR to measure chemical changes experienced by some coatings, such as B-48 and B-67. These evaluations allowed us to follow, understand and compare the behaviour of the different coatings and substrates after artificial ageing.

1. Introduction

Unlike artistic heritage, scientific and technical objects have not been created to be long-lasting or to be displayed in museums. Today, preserving them can be the greatest material testimony of one part of our history, which in some cases has no written evidence [1]. Conservation of these collections is a challenge for many reasons. On the one hand, criteria and methodologies are adapted from other types of heritage with completely different needs. Aspects such as the importance of movement and functioning—which impose the replacement of components—dimensions, the lack of specialized conservation professionals and policies have been pointed out [2,3,4].
From the material point of view, we are confronted with objects that are made up of a wide variety of materials, among which metals have a special relevance, both considering their abundance and the great variety of their nature, manufacturing techniques and finishing (polished, painted, with incised or excised markings, etc., either for decoration or technical requirements). It is very common in the same collection or even in the same object to find other materials too, such as plastics, wood, leather, paper, textiles, or even different liquids and chemical products [3,5,6]. This represents an additional challenge, due to the different environmental conditions required for the optimal conservation and incompatibilities between materials of the same object, in which the degradation of one of the materials can produce deterioration of others coexisting in the object [3,6].
Given the abundance of metals and the complex environment they are exposed to, one of the key aspects in the conservation of scientific and technical heritage is the protection of those metals against corrosion. In this kind of objects, even a light layer of corrosion could lead to a severe alteration of the original aspect and loss of surface information (engraved characters or drawings, measurement scales, etc.); therefore, the use of protective coatings against corrosion is essential. The condition of these metallic surfaces is also particular to this type of heritage: while patinas (either naturally or artificially developed) are very common in archaeological or artistic heritage, these are usually absent or very thin in scientific–technical artefacts. This different surface can drastically affect the reactivity of the surface with the environment and the performance of the coatings, inhibitors or other protection systems used in conservation treatments [7,8]. It is therefore necessary to develop and test ad hoc conservation treatments on metals with the composition and surface condition found in scientific–technical objects [3].
In order to contribute to the conservation of such collections and to investigate the most appropriate coatings considering various factors, including the characteristics and history of the objects, the COMPACT project is being carried out in collaboration with the National Museum of Science and Technology (MUNCYT), one of the largest scientific and technical collections in Spain, comprising more than 19,000 scientific instruments, technological devices, vehicles, and tools from the XVI century up to today [9]. The general approach of the project is grounded on the characterization of the nature of the materials, the conservation conditions of the objects and the environment they are exposed to in order to develop tailored laboratory studies addressing the specific needs of the actual collection [10].
It is very difficult to address the vast number of factors involved in a study of this type, such as the nature of the metal, type of coating, application method, ageing tests, aesthetic changes, chemical changes, protective capacity, etc. The work presented here aims to contribute to stablish evidence-based criteria for protection of bare metals in scientific and technical collections. To do so, a range of objects in the collection of MUNCYT has been analysed to identify typical composition of metals and coatings in scientific/technical collections. Based on the results obtained, metallic substrates and coatings have been selected to carry out an accelerated ageing test to assess the performance of these coatings for the protection of this type of metallic heritage.

2. Materials and Methods

2.1. Characterisation of the Metals and Original Coatings

Qualitative and quantitative elemental analysis of metal objects can reveal important information about their composition and the manufacturing techniques used [11,12]. Therefore, the metallic part of selected objects from the MUNCYT collection has been analysed in situ with a portable XRF (THERMO NITON XL3T GOLDD) which has a 50 kV and 100 μA X-ray generator. The measurements were carried out directly on the sample surface with a measurement time of 25 s and a spot of 8 mm, performing between three and nine measurements on each artefact. For some objects with a golden appearance, the mercury concentration was measured in soil mode.
After identifying the metals in the objects, they were analysed with FTIR in order to find any original coatings [12]. A Bruker Alpha II spectrometer with external reflection module was used. Spectra were acquired in absorbance with a resolution of 4 cm−1 in the range 400–4000 cm−1, collecting 64 scans in each area. Backgrounds were performed on gold plate and data were processed with OPUS 8.2 software.

2.2. Sample Preparation

From the results of the analysis of the objects in the museum’s collection (see Section 3.1 below), materials were selected for the study of several traditional coatings on the most representative metals and their finishes.

2.2.1. Substrates and Coatings

To carry out the coating test, brass (CDA 260 alloy; ~70% copper) and steel (0.15% Mn and between 0.015 and 0.04% of other minority elements) were selected as substrates for the application of the different coating systems. Brass coupons measuring 5 × 5 × 0.2 cm (steel) and 5 × 5 × 0.03 cm were cut and sanded with P320 and P600 grit emery paper and cleaned with ethanol. A finer sandpaper was not used to obtain a better adherence of the film. Acrylic resins (Paraloid B-44, Paraloid B-48, Paraloid B-67, Paraloid B-72 and Incralac), a natural resin (shellac) as the most representative original coating of the MUNCYT collection, and a microcrystalline wax (Cosmolloid H80) were selected as coatings. A double protection system of a first layer of Paraloid B72 and a second layer of Cosmolloid H80 was also considered. Paraloids (supplied by Kremer Pigmente GmbH & Co., Aichstetten, Germany) were dissolved at 10% wt. in xylene, Incralac was not dissolved (it was used already prepared by Kremer), shellac (supplied by C.T.S España S.L.) was dissolved in ethanol following the methodology of Schröter‘s varnish A in [13] and wax (C.T.S España S.L) was hot-dissolved at 10% wt. in white spirit. Coupons were prepared in triplicate. Several criss-cross layers were applied using a brush to achieve a thickness value close to 8–12 µm which was the result of applying a single layer of Incralac. When multiple layers were applied, they were allowed to dry for 48 h before the next layer was applied.

2.2.2. Thickness

Once the coatings have dried to the touch, thickness was measured with an Elcometer 456 thickness gauge, using a probe for ferrous and non-ferrous materials based on electromagnetic induction. A total of 12 measurements were taken for each coupon and the results were then averaged. Table 1 shows the final thicknesses of the coatings before the accelerated ageing test. The measurements are diverse and can show high deviations due to the formation of heterogeneous zones caused by “waves” formation, especially when several layers are applied. The values for wax should be considered with some caution, since it is a soft material that can deform with the measurement.

2.2.3. Artificial Ageing

After the 48 h drying time had elapsed, an artificial ageing test was carried out in a UV/CON chamber (Q-Lab Corporation, Westlake, OH, USA) alternating 340 nm UV-A light and condensation according to ISO 4892:3 standard [14]. Alternating cycles of 4 h of UV-A light (0.63 W/(m2-nm) at 60 ± 2.5 °C and 4 h of condensation at 50 ± 2.5 °C were carried out for 336 h. The test was stopped at the mid time point (168 h) to evaluate colour changes and protective capacity of the coatings at two time points.

2.3. Evaluation Techniques

Colour measurements were carried out using a Konica-Minolta CM-700-d spectrophotometer with the standard illuminant D65 and the observer at 10°. The colour coordinates L*, a* and b*, in the CIELAB colour space, were recorded in six zones for each sample (Ø = 6 mm) before and after ageing. Since the coupons are made in triplicate, an average is taken for each coating to obtain the L*a*b* values. The colour differences were calculated from the following formula: ∆E = √(∆L2 + ∆a2 + ∆b2).
An Olympus BX41M LED reflected light metallurgical microscope with a 5x objective was used to observe the homogeneity and appearance of the coatings before and after accelerated ageing. The images were obtained from the Olympus Stream Basic software. For a more visual and general analysis, a macro-scale photographic monitoring was carried out with a Canon EOS 700D camera.
Protective properties of the coatings were assessed through electrochemical impedance spectroscopy (EIS) using the G-PE cell developed for electrochemical analysis in cultural heritage [15,16]. An AISI 316 stainless steel wire (1.5 mm thick) and AISI 316 stainless steel mesh were used as pseudo reference and counter electrode, respectively. Distilled water with 10 ppm acetic acid was used as electrolyte based on the fact that this acid is one of the most common pollutants found in museum indoor environments [17,18,19] and gelled at 2% agarose w/v according to [20]. The amount of acid used is a compromise between a sufficiently conductive electrolyte and a low aggressiveness solution that does not damage the coating/metal surface. EIS spectra have been acquired with a Gamry Reference 600 potentiostat, with 20 mV RMS amplitude (at the open circuit potential, OCP) and 10 points/decade from 100 kHz to 10 mHz. The system was left to stabilize at OCP for 30 min before measurements. The area exposed to the electrolyte was 3.14 cm2.

3. Results and Discussion

3.1. Section I: Materials Characterization

The metallic components of more than 20 objects of different dimensions and characteristics from the MUNCYT were analysed with portable XRF in order to identify which metals are the most characteristic of this particular collection. Table 2 shows some examples of objects analysed. The vast majority are made of brass and steel, but there are also objects made of silver, copper, lead and in some cases with a gold-plated finish, such as the artillery compass, made using the Ormolu technique (mercury gilding). There are also objects with particular finishes, such as the steel case of the gramophone, which has a painted finish simulating wood. The brasses analysed contain less than 35% Zn, which makes them ideal for manufacturing these types of objects, as they are soft, ductile and suitable for cold working. Depending on the type of object, more complex alloys have been found with elements such as Fe, Pb or Sn, used to increase hardness, mechanical resistance or corrosion resistance.
From these results, bare brass and steel were selected as substrates for coating evaluation. Both metals are the most representative in scientific and technical collections and also of very different behaviour: while brass is a copper alloy, quite stable and with a natural protective patina of copper oxides, steel is a metal sensitive to moisture and whose corrosion products do not protect the metal.
Regarding the presence of original coatings on the objects, i.e., coatings existing on the objects when they were in use, many of the brass objects appeared to be coated. The application of natural resins on brass was a technique widely used from the 17th and 18th centuries onwards in scientific and technical heritage for aesthetic and protective purposes [21]. In the case of the MUNCYT collection, shellac was identified on most of the brass objects through FTIR analysis (Figure 1).
On the other side, acrylic resins such as Paraloid have also been found, which cannot be attributed to original coatings but to previous restorations. These types of acrylic resins and waxes are the most common product used for corrosion protection of metallic cultural heritage [22]. For that reason, some of the selected coatings may be feasible to apply to bare brass and steel. Incralac and/or Paraloid B44 have been widely studied and used as protective coatings for copper alloys exposed outdoors due to their good performance [23,24]. However, there is hardly any evidence of the behaviour of these coatings on other bare substrates [25]. Paraloid B48 is specifically marketed as a metal protector because of its good adhesion even on bare metal. Likewise, few studies are found that justify its performance and compare it with other coatings [26,27]. Paraloid B67 was formulated with a different composition from the others—Isobutyl methacrylate—which gives it more hardness and resistance, but it has not been widely applied because it tends to become insoluble over time [28]. Therefore, it was decided that it be included in the study in order to evaluate its performance and compare with the most promising ones. Paraloid B-72 and microcrystalline waxes such as H80 are the most investigated and used coatings—including at MUNCYT. There are studies with different results; therefore, it is necessary to include them to compare it in this case. Finally, shellac is also investigated to evaluate its performance as original coating of the object.

3.2. Section II: Coatings Evaluation

3.2.1. Visual Changes

Figure 2 shows the effect of the accelerated ageing on the metal coupons with the different coatings. Corrosion spots are visible in most of the coupons in a different extension, only B44, B72, and INC have been successful on at least two of the three coupons. Conversely, due to condensation during the accelerated ageing test, the B72, INC and shellac coatings turned whitish during at the end of the test (Figure 2(E.1,H.1,H.2,I.1,I.2)). In the case of B72, this water whitening disappeared when the moisture content evaporated, while it remained in the INC and shellac coatings. The fact that it only affected these coatings can be related both to the composition of the coating and its glass transition temperature, as will be addressed in Section 3.2.3.
The samples have been studied in more detail in order to learn more about the degradation of the coatings. It must also be considered that accelerated aging systems can be too aggressive; therefore, coatings showing light corrosion might still be worth taking into consideration for further tests. In fact, except for shellac, all coatings have protected the metal to a certain extent when compared to the unprotected surface. Bare brass has developed a uniform and dark brown corrosion layer, while steel shows spots of corrosion, with a larger corrosion concentration at the borders, where humidity accumulates on the fasteners that hold the coupon in the chamber. On the bottom and left side borders of the brass, the coupons are different from the rest of the coupon. This is caused by the mechanical clamping method that has kept this area covered and protected in the chamber, whereas in the steel coupons, it is not visible because they have been fixed with adhesive.

3.2.2. Aesthetic Changes

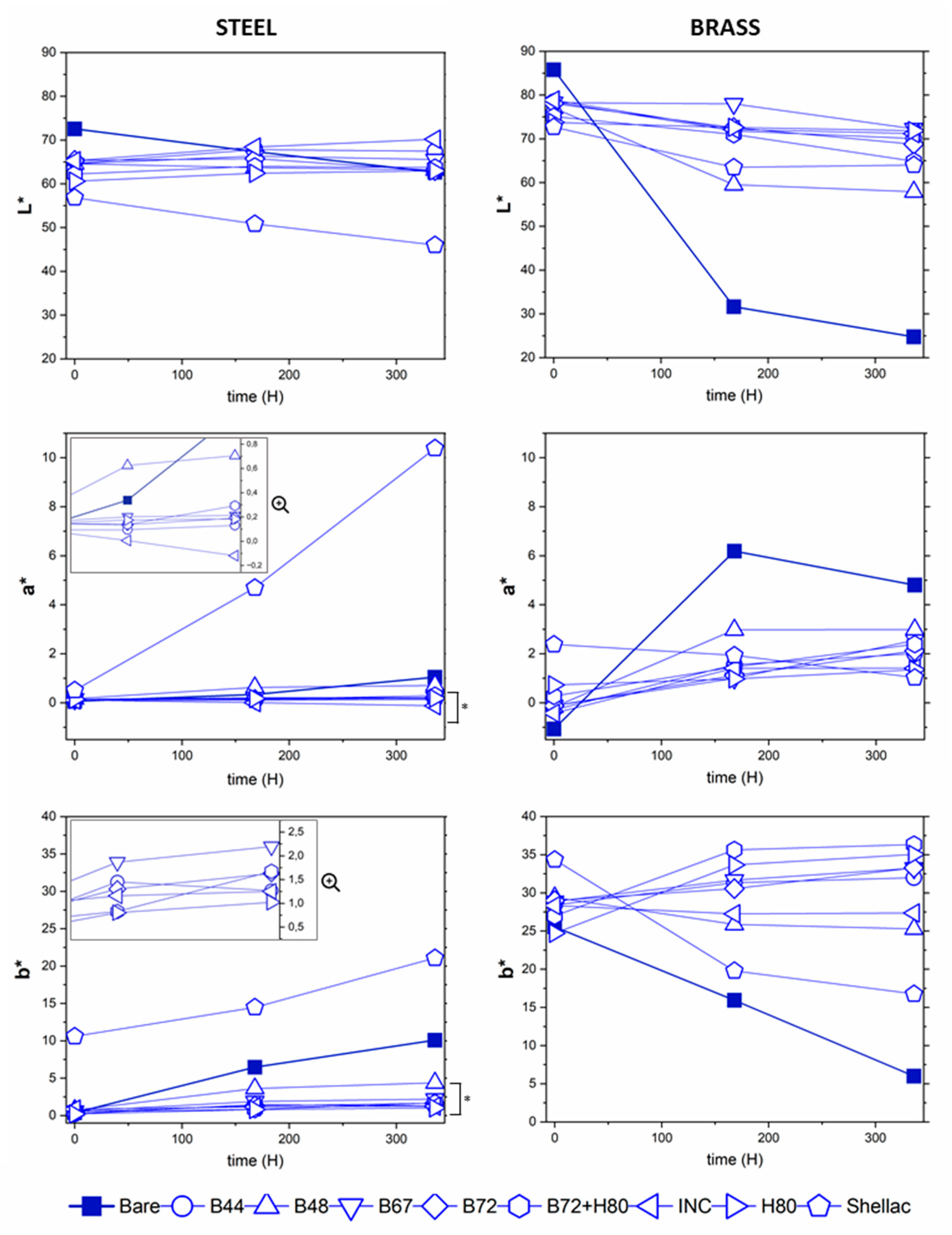
Transparency and stability of the visual aspect of coatings are very important factors to fulfil heritage conservation criteria. In addition, colour changes are also indicative of chemical changes, which may result in changes in the protective properties. For these reasons, colour changes have been quantified via colorimetric analysis. The results of the L*a*b* values for the different ageing times can be seen in Figure 3 for brass and steel. All coatings start at time zero with similar values due to their transparency, with the exception of shellac due to its golden colour. Both uncoated metals have the highest L* values; therefore, it can be said that when the coatings are applied, the samples darken slightly.
Changes in unprotected coupons are very noticeable. The brass darkens significantly and uniformly due to corrosion. As can be seen in Figure 3, after 168 h of ageing, the L* value decreases from 85 units to 31 units. However, corrosion of the steel coupons is irregular and it is not so much reflected in the L*a*b* values due to the measuring spot.
On B48 and B67, small pitting develops on both metals. Although the pitting on the brass coupons is almost imperceptible to the eye, the overall colour change is more pronounced. This is particularly evident for brass coated with B48 and can be seen in the decrease in L*, increase in a* and decrease in b*, as well as in Figure 2C.1. For B67 (with a lower pitting rate), although pitting can be identified with the naked eye on the steel, the colour changes are not as noticeable as with the reference metal. The behaviour of shellac is also remarkable. On steel, after 168 h, a significant corrosion was already visible. On brass, however, a greyish layer formed which reduced the L* value by more than 50 units after 168 h. This may be due to the resin degradation.
In general, the a* value seems to be the most stable parameter in all coatings overall on steel. However, the greatest variability can be seen in the b* coordinate, which is related to yellowing. After 336 h, on the steels, INC and H80 give the best results with a Δb* of less than one unit, and between 1–2 for the other coatings. For brass, the result changes, with H80 and B72 + H80 being the ones with a higher Δb*, reaching up to 10 units. This yellowing can also be seen in the photos in Figure 2(F.1,G.1).
As the oxidation of the underlying metal contributes to the measured colour, which is easy to see for steel but not so clear for brass, coating was partially removed in some samples to measure the metal changes after artificial ageing. The colour changes of brass coupons with coating and with coating removed are given in Figure 4, showing the contribution of the oxidation of the base metal to colour change.
Comparing the values between coated and uncoated brass before and after ageing treatment, different features are observed. L* values after ageing are considerably lower than the unaged metal, but as the differences between coated and uncoated metal after ageing are minimal, it can be attributed exclusively to the metal oxidation. For b*, uncoated metal after ageing gets yellower, while the differences between coated and uncoated brass indicate that except wax, coatings tend to blue. It is remarkable that for H80 L*a*b*, the parameters do not change after removing the coating, meaning that it remains colourless.
Once the L*a*b* values have been analysed individually, the colour differences ΔE* are calculated (Table 3). For steel, global changes are small, as only shellac exceeds 5 units—colour difference detectable by a standard observer [29]. The ones that have corroded are B48 and, to a minor extent, B67, while the differences in B44 and INC are due to the fogging.
In brass, the differences are greater and more difficult to quantify due to substrate corrosion. It is necessary to contrast them with the visualisation of coatings and substrates on a smaller scale, as well as their protective behaviour after ageing in order to be able to make a first selection of the most suitable coatings for each case.

3.2.3. Changes at the Microscopic Scale

For a more detailed analysis of the performance of the coatings, coupons have been analysed with a microscope before and after 336 h of ageing, and after the coating removal. In the unaged samples, all the coatings formed a fairly homogeneous layer without porosity on the metal (Figure 5A), but after ageing, all the acrylic resins showed a kind of crater-shaped holes all over the surface (Figure 5B). This can be attributed to a dewetting process, which can occur when the glass transition temperature of the coating is exceeded [30,31,32]. According to the commercial companies, the acrylic resins that are used range from a Tg of 40 °C for B72 to 60 °C for INC and B44, a temperature that, in this case, has been overcome or equalled by the ageing cycles in the QUV/SE chamber. Although these are the Tg of the polymers, it should not be forgotten that the Tg of the coating is reduced by the presence of the solvent [33]. Anyway, a significant correlated difference can be observed between the advanced dewetting process in B72, intermediate phase for B67 and B72 + H80 and early phase in INC, B44 and B48. This deterioration is not visible to the naked eye and although it does not produce any aesthetic change, it cannot be overlooked as one of the reasons for the failure of its protective capacity.
The microscope also confirmed that the colour changes of some coupons, such as B48 on brass, were due to pitting corrosion of the substrate and not to alteration of the coating. As can be seen in Figure 5C, when the coating was removed with a swab soaked in acetone, three areas could be distinguished: the pore area (dewetting in early stage + pin-holes from the drying of the coating), the area where the swab had stirred the coating, filling the defects, and the area of the metal with corrosion products. It is remarkable that although B48 has a Tg of 50 °C, it is one of the least defective, maintaining a fairly covered surface in almost all area of the coupons.
The differences between the different Tg of the coatings is also responsible for the water whitening of some of the coatings such as INC, B72 and shellac. When the Tg of the polymer is lower than the condensation cycle temperature as is the case for B72 and shellac, water diffuses through the polymer matrix and plasticises the coating. However, when dried again at a temperature equal to or higher than its Tg, it regains its clarity [34,35]. This has not happened with shellac due to its higher water solubility. It is necessary to study whether some of the additives in the INC composition favour the water uptake of the coating, which remains in the interior until it dries out above its Tg.

3.2.4. Protective Capacity

EIS data for coatings are usually represented using Bode plots, which show the logarithm of the impedance modulus, |Z|, and the phase angle, φ, vs. the logarithm of the frequency. Figure 6A,B shows the evolution of |Z| of two very different cases in terms of coating performance. INC (Figure 6A) is a good example of an almost fully capacitive behaviour at t = 0 h. For the total frequency range, |Z| increases with a constant slope and φ remains at 90°. After t = 168 h and t = 336 h, a resistive component is observed in the low frequency region, which is evidenced by the appearance of a horizontal stretch while the φ decreases. This is related to ageing and coating defects. However, this is not the case for B48 coupons (Figure 6B). At mid frequencies of t = 0 h, there is a change in the slope and a decrease in the φ, indicating that the coating is far from being as ideal as INC. It should be noted that as the ageing time increases, so does the slope and φ, and other elements corresponding to the corrosion process appear.
The interpretation of the EIS results in the application of coatings on metallic heritage is usually based on a simplified approach, using the value of |Z| at the low frequency limit as a measure of the protective properties of coatings [8,36,37,38,39], since the presence of the other elements such as electrolyte resistance, diffusion, etc., usually contributes less than the coating [37]. A detailed analysis of these elements, their individual contribution and evolution over time can be carried out by fitting the experimental spectra to an electrical equivalent circuit [15,40], but this is beyond the scope of this paper.
Taking into account all the considerations above, the protective capacity of all coatings has been evaluated using |Z| at the lower frequency limit (10−2 Hz). Results can be seen in Figure 7 and discussed in three groups. Starting with the bare metals, the impedance of the brass coupon increases progressively with ageing, thanks to the development of a thin, compact and homogeneous corrosion layer acting as a protective patina. Steel also shows a |Z| increase due to the formation of an oxide layer with a slight barrier effect, though this effect decreases with ageing as iron does not tend to produce protective patinas. Focusing on the coatings, two different behaviours are observed: coatings whose |Z| decreases with ageing time, and coatings whose |Z| increases or remains the same at t = 168 h but decreases at t = 336 h.
Normally, degradation of the coating increases the porosity and defects such as dewetting in the film barrier, favouring the penetration of the electrolyte that reaches and attacks the metal surface. The resistance of the coating decreases and impedance decays. This is observed for most coatings on brass and some on steel such as the double layer system or shellac. For coated steel, the general trend of behaviour is the second one. This may be related to the initial clogging of the coating pores and defects caused by corrosion products, which becomes less relevant as the degradation of the polymer increases. Moreover, in these cases, if the coating is one of those with a high Tg such as B44, INC and B48, and a low dewetting process (as seen in the previous section), it is possible that when exposed to the first cycles at 60 °C, the solvent will evaporate, raising the Tg of the polymer again. This would maintain a more resistant and rigid film than at t = 0 h. A similar case happens with wax. The increase in |Z| after 168 h of ageing may be due to the annealing of the film at 60 °C without reaching its melting point. However, as in [41], the failure of this coating is caused when the film is degraded, defects are produced and the electrolyte permeates.
Paraloid B48, however, has a more particular behaviour as the |Z| increases by almost two orders of magnitude after ageing in both metals. In this case, in addition to the possible contribution to the barrier effect of the corrosion products produced, other changes in the coating could be involved. A possible explanation can be the presence of the butyl ester group in the polymer composition (about 25% BMA), which tends to cross-link rapidly and extensively in the early hours of ageing [28]. Such chemical changes can also be very relevant and have a more negative impact in other cases. B67 is composed entirely of butyl methacrylate and, in addition to cross-linking reactions, chain fragmentations occur, causing instability at the molecular and structural level, as indicated in [42], which could lead to a poor protective capacity over time as can already be seen in Figure 5. FTIR measurements are needed to confirm these chemical changes and their relationship with resistance.

3.2.5. FTIR Analysis

Chemical changes have been analysed through FTIR for the coatings aged at different times compared to unaged coatings. FTIR results showed no differences between coatings applied on steel or brass, supporting that the main differences observed in the performance of the coating and visual aspect are mainly related to the reaction of the metal with the electrolyte permeating the coating. B67 has undergone the most changes. As can be seen in the right spectrum in Figure 8A, there is an increase in absorption in the hydroxyl region from 3600–3340 cm−1, a decrease and broadening of the lower part of the carbonyl peak from 1737 cm−1 and of new components appear at 1686 cm−1 and 1630 cm−1. These results are in agreement with those obtained in [41,42] and confirm what was already expected from the protective capacity data. It is an unstable polymer where cross-linking and chain scission prevails. B72 also shows changes due to photo-oxidation, which is already noticeable at 168 h and increases up to 336 h. The general decrease in all the bands is noteworthy, which may be largely due to the loss of monomers due to the chains scission.
As for B48, which seemed to increase its protective capacity after ageing, changes have also been found at the molecular level, but to a lesser extent, as can be seen in Figure 8B. It can be appreciated how the absorption in the -OH region increases (three peaks between 3630 and 3440 cm−1) and the broadening of the carbonyl ester band with the appearance of a new component at 1645 cm−1. No changes have been detected in B44 and INC. H80 has also remained unchanged, except that the absorption bands decrease due to the loss of material. As for shellac, the characteristic peaks of the resin can hardly be identified after ageing due to its degradation. The ageing test carried out is much more aggressive than the natural ageing that the shellac of the objects analysed has undergone since its application.

4. Conclusions

The most characteristic metals and their possible original coatings from the MUNCYT collection have been identified, allowing the selection of the relevant materials for a laboratory study of coatings tailored for the conservation of metals in scientific–technical collection. This part of the study has also provided further insight into the collection, about which little information was available until now. In future studies, the intention is to characterise other materials such as plastics, which may be contributing to the degradation of the metal.
The combination of visual examination, optical microscopy, colorimetric measurements, EIS and FTIR has allowed us to follow, understand and compare the changes and protective properties of the different coatings upon artificial ageing. The importance of contrasting results obtained using different techniques must be emphasised, as isolated results can lead to erroneous conclusions. The importance of the experimental design and of correlating the visual aspect with the experimental measurements has also been shown. A noteworthy caveat of our study is that accelerated ageing has been used, and as with any accelerated essay, the behaviour of the metal/coating system might differ in real conditions. However, this methodology has allowed to rapidly compare different coating and set a basis for further long-term natural-ageing studies.
Additional studies are also needed to better understand the interaction of the metal corrosion process and the formation of corrosion products with the coating and its degradation. The increase of the impedance of the metal/patina/coating system observed for some systems upon ageing, and the differences observed between the two metals studied, highlight the importance of studying the whole system, and not assuming that the performance of one coating material is independent of the substrate.

Author Contributions

Conceptualization, E.C. and B.R.-B.; Data curation, M.T.M.; Formal analysis, M.T.M., R.F. and M.Á.d.B.; Funding acquisition, E.C.; Investigation, M.T.M., J.L., R.F., M.Á.d.B. and B.R.-B.; Methodology, E.C. and B.R.-B.; Resources, J.L., R.F. and M.Á.d.B.; Supervision, E.C. and B.R.-B.; Validation, M.T.M., E.C. and B.R.-B.; Visualization, all authors; Writing—original draft, M.T.M.; Writing—review and editing, E.C. and B.R.-B. All authors have read and agreed to the published version of the manuscript.

Funding

This work has been funded by MCIN/AEI/10.13039/501100011033 and “ERDF A way of making Europe”, under the project COMPACT (HAR2017-89911-R) and the predoctoral grant PRE2018-086667 additionally funded by “ESF Investing in your future”. It has also been funded by the Community of Madrid and the European Social Fund, under the TOP Heritage-CM programme (P2018/NMT-4372).

Data Availability Statement

The data from this work are available and published in the institutional repository Digital.CSIC. https://doi.org/10.20350/digitalCSIC/15113 (accessed on 23 January 2023).

Acknowledgments

The authors acknowledge the support of the Plataforma Temática Interdisciplinar “Patrimonio Abierto: Investigación y Sociedad” (PTI-PAIS) of CSIC, as well as the collaboration of MUNCYT.

Conflicts of Interest

The authors declare no conflict of interest.

References

  1. Moreno-Gómez, E. Instrumentos de La Ciencia Española: Los Aparatos Históricos Del CSIC; Consejo Superior de Investigaciones Cientificas, Ed.; Catarata: Madrid, Spain, 2019. [Google Scholar]
  2. Newey, H. Conservation and the preservation of scientific and industrial collections. Stud. Conserv. 2000, 45, 137–139. [Google Scholar] [CrossRef]
  3. Lemos, M.; Tissot, I. Reflections on the conservation challenges of scientific and technological objects. Conserv. Patrim. 2020, 33, 24–31. [Google Scholar] [CrossRef]
  4. Wain, A. The importance of movement and operation as preventive conservation strategies for heritage machinery. JAIC 2017, 56, 81–95. [Google Scholar] [CrossRef]
  5. Pye, E. Challenges of conservation: Working objects. Sci. Museum Group J. 2022, 6, 1–25. [Google Scholar] [CrossRef] [PubMed]
  6. Díaz-Cortés, A.; Barat, B.R.; Leal, J.; Llorente, I.; del Egido, M.; Cano, E. Diagnosis of the condition of scientific and technical collections: Historical extinguishers of the MUNCYT. Ge-Conservacion 2020, 18, 7–19. [Google Scholar] [CrossRef]
  7. Cano, E.; Lafuente, D. Corrosion Inhibitors for the Preservation of Metallic Heritage Artefacts. In Corrosion and Conservation of Cultural Heritage Metallic Artefacts; Woodhead Publishing: Sawston, UK, 2013; Volume 594, pp. 570–594. [Google Scholar]
  8. Otieno-Alego, V.; Hallam, D.; Viduka, A.; Heath, G.; Creagh, D. Electrochemical impedance studies of the corrosion resistance of wax coatings on artificially patinated bronze. In Proceedings of the METAL 98: Proceedings of the International Conference on Metals Conservation, Draguignan-Figanières, France, 27–29 May 1998; Mourey, W., Robbiola, L., Eds.; James and James: London, UK, 1998; pp. 315–319. [Google Scholar]
  9. Web MUNCYT. Available online: https://www.muncyt.es/ (accessed on 23 January 2023).
  10. Molina, M.T.; Ramirez Barat, B.; Díaz, I.; Cano, E. Estrategias Innovadoras para la conservación preventiva de Los objetos metálicos en colecciones de museos. In Proceedings of the MetalEspaña 2020/2021 III Congreso de Conservación y Restauración del Patrimonio Metálico; Barrio Martín, J., Buendía Ortuño, M., Eds.; Universidad Autónoma de Madrid: Madrid, Spain, 2022; pp. 39–46. [Google Scholar]
  11. Karydas, A.G. Application of a portable XRF spectrometer for the non-invasive analysis of museum metal artefacts. Ann. Chim. 2007, 97, 419–432. [Google Scholar] [CrossRef]
  12. Maguregui, M.; Morillas, H.; Marcaida, I.; García-Florentino, C.; de Errazti, I.O.; Aransay, C.; Madariaga, J.M. A non-invasive in situ methodology to characterise the lacquers and metals from the edo period Japanese armour. Microchem. J. 2018, 137, 160–167. [Google Scholar] [CrossRef]
  13. Schröter, J.; Michel, A.; Mirabaud, S.; Bellot-Gurlet, L.; Paris, C.; Brambilla, L. Transparent varnishes on copper alloys dating from the 19th century: Characterization and identification strategies. In Proceedings of the Metal 2019: Interim Meeting of the ICOM-CC Metals Working Group, Neuchâtel, Switzerland, 2–6 September 2019; Chemello, C., Brambilla, L., Joseph, E., Eds.; Haute Ecole Arc: Neuchâtel, Switzerland, 2019; pp. 58–66. [Google Scholar]
  14. ISO 4892-3; Plastics–Methods of Exposure to Laboratory Light Sources—Part 3: Fluorescent UV Lamps. ISO: Geneva, Switzerland, 2016.
  15. Ramírez Barat, B.; Cano, E.; Letardi, P. Advances in the Design of a Gel-Cell Electrochemical Sensor for Corrosion Measurements on Metallic Cultural Heritage. Sens. Actuators B Chem. 2018, 261, 572–580. [Google Scholar] [CrossRef]
  16. Cano, E.; Crespo, A.; Lafuente, D.; Ramirez Barat, B. A novel gel polymer electrolyte cell for In-Situ application of corrosion electrochemical techniques. Electrochem. Commun. 2014, 41, 16–19. [Google Scholar] [CrossRef]
  17. Grzywacz, C.M. Monitoring for Gaseous Pollutants in Museum Environments; The Getty: Los Angeles, CA, USA, 2006; ISBN 978-0-89236-851-8. [Google Scholar]
  18. Tétreault, J. Airborne Pollutants in Museums, Galleries and Archives: Risk Assessment, Control Strategies and Preservation Management; Canadian Conservation Institute: Ottawa, ON, Canada, 2003. [Google Scholar]
  19. Tétreault, J.; Cano, E.; Van Bommel, M.; Scott, D.; Dennis, M.; Barthés-Labrousse, M.G.; Minel, L.; Robbiola, L. Corrosion of copper and lead by formaldehyde, formic and acetic acid vapours. Stud. Conserv. 2003, 48, 237–250. [Google Scholar] [CrossRef]
  20. Ramírez Barat, B.; Cano, E. Agar versus Agarose Gelled Electrolyte for In Situ Corrosion Studies on Metallic Cultural Heritage. ChemElectroChem 2019, 6, 2553–2559. [Google Scholar] [CrossRef]
  21. Lanterna, G.; Giatti, A. Caratterizzazione non invasiva delle vernici da ottone degli strumenti scientifici: Ricette storiche, realizzazione di provini verniciati, ricerca analitica e applicazioni “In Situ” su strumenti storici. OPD Restauro 2014, 26, 165–180. [Google Scholar]
  22. Argyropoulos, V.; Giannoulaki, M.; Michalakakos, G.P.; Siatou, A. A Survey of the Type of Corrosion Inhibitors and Protective Coatings Used for the Conservation of Metal Objects from Museum Collections in the Mediterranean Basin. In Proceedings of the Strategies for Saving Our Cultural Heritage, Cairo, Egypt, 26–28 February 2007; Argyropoulos, V., Hein, A., Harith, M.A., Eds.; T.E.I. of Athens: Greece, Athens; pp. 166–170. [Google Scholar]
  23. Wolfe, J.; Grayburn, R.; Khanjian, H.; Heginbotham, A.; Phenix, A. Deconstructing incralac: A formulation study of acrylic coatings for the protection of outdoor bronze sculpture. In Proceedings of the ICOM-CC 18th Triennial Conference, Copenhagen, Denmark, 4–8 September 2017; Brigland, J., Ed.; International Council of Museums: Paris, France, 2017. [Google Scholar]
  24. Watkinson, D. Preservation of metallic cultural heritage. In Shreir’s Corrosion; Elsevier: Oxford, UK, 2010; pp. 3307–3340. [Google Scholar]
  25. Wolfram, J.; Brüggerhoff, S.; Eggert, G. Better than Paraloid B-72? Testing Poligen® Waxes as Coatings for Metal Objects. In Proceedings of the Metal 2010: Interim Meeting of the ICOM-CC Metal Working Group, Charleston, SC, USA, 11–15 October 2010; Mardikian, P., Chemello, C., Watters, C., Hull, P., Eds.; Clemson University: Clemson, SC, USA, 2011; pp. 167–177. [Google Scholar]
  26. Brostoff, L.B. Coating Strategies for the Protection of Outdoor Bronze Art and Ornamentation. Ph.D. Thesis, University of Amsterdam, Amsterdam, The Netherlands, 24 April 2003. [Google Scholar]
  27. Švadlena, J.; Stoulil, J. Evaluation of protective properties of acrylate varnishes used for conservation of historical metal artefacts. Koroze Ochr. Mater. 2017, 61, 25–31. [Google Scholar] [CrossRef]
  28. Lazzari, M.; Chiantore, O. Thermal-ageing of paraloid acrylic protective polymers. Polymer 2000, 41, 6447–6455. [Google Scholar] [CrossRef]
  29. Mokrzycki, W.; Tatol, M. Color difference delta E-A survey. Mach. Graph. Vis. 2011, 20, 383–411. [Google Scholar]
  30. Reiter, G. Unstable thin polymer films: Rupture and dewetting processes. Langmuir 1993, 9, 1344–1351. [Google Scholar] [CrossRef]
  31. Mukherjee, R.; Sharma, A. Instability, self-organization and pattern formation in thin soft films. Soft Matter. 2015, 11, 8717–8740. [Google Scholar] [CrossRef]
  32. Forrest, J.A.; Dalnoki-Veress, K. The Glass Transition in Thin Polymer Films. Adv. Colloid Interface Sci. 2001, 94, 167–195. [Google Scholar] [CrossRef]
  33. Vinçotte, A.; Beauvoit, E.; Boyard, N.; Guilminot, E. Effect of Solvent on PARALOID® B72 and B44 Acrylic Resins Used as Adhesives in Conservation. Herit. Sci. 2019, 7, 1–9. [Google Scholar] [CrossRef]
  34. Jiang, B.; Tsavalas, J.G.; Sundberg, D.C. Water whitening of polymer films: Mechanistic studies and comparisons between water and solvent borne films. Prog. Org. Coat. 2017, 105, 56–66. [Google Scholar] [CrossRef]
  35. Tsavalas, J.G.; Sundberg, D.C. Hydroplasticization of polymers: Model predictions and application to emulsion polymers. Langmuir 2010, 26, 6960–6966. [Google Scholar] [CrossRef] [PubMed]
  36. Ellingson, L.A.; Brostoff, L.B.; Shedlosky, T.J.; Bierwagen, G.P.; De la Rie, E.R. The use of electrochemical impedance spectroscopy in the evaluation of coatings for outdoor bronze. Stud. Conserv. 2004, 49, 53–62. [Google Scholar] [CrossRef]
  37. Ramírez Barat, B.; Crespo, A.; García, E.; Díaz, S.; Cano, E. An EIS Study of the Conservation Treatment of the Bronze Sphinxes at the Museo Arqueológico Nacional (Madrid). J. Cult. Herit. 2017, 24, 93–99. [Google Scholar] [CrossRef]
  38. Letardi, P. Laboratory and field tests on patinas and protective coating systems for outdoor bronze monuments. In Proceedings of the Metal 04: Interim Meeting of the ICOM-CC Metals Working Group, Camberra, Australia, 4–8 October 2004; Hallam, D., John, A., Eds.; National Museum of Australia: Canberra, Australia, 2004; pp. 379–387. [Google Scholar]
  39. Cano, E.; Lafuente, D.; Bastidas, D.M. Use of EIS for the evaluation of the protective properties of coatings for metallic cultural heritage: A review. J. Solid State Electrochem. 2010, 14, 381–391. [Google Scholar] [CrossRef]
  40. Swartz, N.; Clare, T.L. On the protective nature of wax coatings for culturally significant outdoor metalworks: Microstructural flaws, oxidative changes, and barrier properties. J. Am. Inst. Conserv. 2015, 54, 181–201. [Google Scholar] [CrossRef]
  41. Chiantore, O.; Trossarelli, L.; Lazzari, M. Photooxidative degradation of acrylic and methacrylic polymers. Polymer 2000, 41, 1657–1668. [Google Scholar] [CrossRef]
  42. Chiantore, O.; Lazzari, M. Photo-oxidative stability of paraloid acrylic protective polymers. Polymer 2001, 42, 17–27. [Google Scholar] [CrossRef]
Figure 1. FTIR spectra of the original coatings found on brass objects. (Red): Morse telegraph station (1907–1925). (Blue): Convex flat lens foot (1875–1895). (Green): Morse’s printing telegraph (1890–1915). (Black): Shellac reference.
Figure 1. FTIR spectra of the original coatings found on brass objects. (Red): Morse telegraph station (1907–1925). (Blue): Convex flat lens foot (1875–1895). (Green): Morse’s printing telegraph (1890–1915). (Black): Shellac reference.
Heritage 06 00130 g001
Figure 2. Comparison of coatings after 336 h of ageing on brass (A.1I.1) and steel (A.2I.2) coupons. The most representative coupon of the three studied is illustrated for each coating.
Figure 2. Comparison of coatings after 336 h of ageing on brass (A.1I.1) and steel (A.2I.2) coupons. The most representative coupon of the three studied is illustrated for each coating.
Heritage 06 00130 g002
Figure 3. L*a*b* colour coordinates of the coatings on steel and brass at time 0 and after accelerated ageing for 168 h and 336 h. The brackets with (*) represent the area of the y-axis that has been enlarged.
Figure 3. L*a*b* colour coordinates of the coatings on steel and brass at time 0 and after accelerated ageing for 168 h and 336 h. The brackets with (*) represent the area of the y-axis that has been enlarged.
Heritage 06 00130 g003
Figure 4. Colour changes of brass with coating and ageing.
Figure 4. Colour changes of brass with coating and ageing.
Heritage 06 00130 g004
Figure 5. Optical microscopic observation of the coatings. (A) B72 coating on brass before accelerated ageing. (B) Detachment of the B72 coating on brass after 336 h of ageing due to dewetting. (C) Coating removal of B48 on brass after 336 h of ageing (from left to right): Area of pin-holes and dewetting, area stripped by the swab and area of uncoated metal with corrosion after cleaning.
Figure 5. Optical microscopic observation of the coatings. (A) B72 coating on brass before accelerated ageing. (B) Detachment of the B72 coating on brass after 336 h of ageing due to dewetting. (C) Coating removal of B48 on brass after 336 h of ageing (from left to right): Area of pin-holes and dewetting, area stripped by the swab and area of uncoated metal with corrosion after cleaning.
Heritage 06 00130 g005
Figure 6. Representation of Bode diagrams of (A) INC and (B) B48 coatings on brass before ageing and at different ageing times (t = 168 h and t = 336 h).
Figure 6. Representation of Bode diagrams of (A) INC and (B) B48 coatings on brass before ageing and at different ageing times (t = 168 h and t = 336 h).
Heritage 06 00130 g006
Figure 7. EIS measurements on steel and brass substrates. Representation of the |Z| of the different coatings at a frequency of 10−2 Hz. The results are shown averaged from the triplicate coupons and at three times.
Figure 7. EIS measurements on steel and brass substrates. Representation of the |Z| of the different coatings at a frequency of 10−2 Hz. The results are shown averaged from the triplicate coupons and at three times.
Heritage 06 00130 g007
Figure 8. FTIR absorbance spectra of coatings (A) B48 on steel (unaged vs. t = 336) and (B) B67 on brass (unaged vs. t = 168).
Figure 8. FTIR absorbance spectra of coatings (A) B48 on steel (unaged vs. t = 336) and (B) B67 on brass (unaged vs. t = 168).
Heritage 06 00130 g008
Table 1. Average thicknesses and standard deviations obtained from coatings before accelerated ageing for each of the triplicate coupons.
Table 1. Average thicknesses and standard deviations obtained from coatings before accelerated ageing for each of the triplicate coupons.
Thicknesses on Steel (µm)Thicknesses on Brass (µm)
Coupon 1Coupon 2Coupon 3Coupon 1Coupon 2Coupon 3
B447.8 ± 1.313.8 ± 4.710.2 ± 2.45.8 ± 2.17.7 ± 3.35.7 ± 3.5
B485.1 ± 1.46.9 ± 1.79.6 ± 2.46.4 ± 3.67 ± 3.110 ± 3.9
B674.5 ± 0.84 ± 0.65.1 ± 1.91.6 ± 13.1 ± 2.34.5 ± 5.2
B723.5 ± 0.86.2 ± 1.87.2 ± 1.75.5 ± 2.54.9 ± 3.27.2 ± 2.7
B72 + H806.1 ± 1.36.9 ± 2.25.8 ± 1.26.3 ± 2.410 ± 3.96.1 ± 3.2
H804.6 ±1.44.2 ± 1.94.5 ± 1.912.9 ± 2.810.9 ± 4.313.3 ± 3.5
Incralac8.6 ±2.711.9 ± 2.910.9 ± 3.812.2 ± 2.911.5 ± 3.68 ± 2.2
Shellac4.6 ± 0.56.2 ± 0.89.2 ± 1.46.3 ± 1.77.3 ± 3.16.4 ± 1.4
Table 2. Identification of some MUNCYT objects by XRF. The average result of several measurement areas is shown.
Table 2. Identification of some MUNCYT objects by XRF. The average result of several measurement areas is shown.
ObjectName (Date)XRF Elemental Quantification (% in Mass)Assignation
Heritage 06 00130 i001Reflector Telescope
(1755)
69.52% Cu, 32.08% Zn, 2.95% Pb, 0.29% Fe, 0.32% Sn,
0.05% Sb, 0.03% Ni
Brass
Heritage 06 00130 i002Tellurium
(1789)
74.47% Cu, 18.91% Zn, 2.63% Pb, 0.53% Sn, 0.37% Fe,
0.05% Sb, 0.04% Ni
Brass
Heritage 06 00130 i003Mammoth Gramophone
(1907–1914)
(Horn): 64.13% Cu, 35.34% Zn, 0.3.6% Pb, 0.06% Fe,
0.04% Cd, 0.02% Sn
Brass
(Arm): 49.55% Ni, 49.41% Fe, 0.29% Co, 0.30% Mn, 0.20% Zn, 0.05% Ti, 0.02% PbNickel-plated steel
Heritage 06 00130 i004Artillery compass
(1584)
47.81% Au, 41.94% Cu, 8.09% Zn, 0.81% Pb, 0.25% Fe, 0.20% Ni, 0.21% Sn, 0.06% Sb, 0.22% Ag
+ (123,331.80 ppm of Hg)
Gold plated copper (Ormolu)
Heritage 06 00130 i005Gramophone PathéPost
(1908)
(Box): 64.14% Fe, 25.41% Pb, 1.74% Ti, 0.90% V, 0.67% Mn, 0.40% S, 0.26% Co, 0.23% Cu, 0.17% Cr, 0.07% ZnMinium painted steel
Heritage 06 00130 i006Buttocks exvoto
(XIX century)
66.93% Ag, 30.08% Cu, 1.53% Zn, 1.11% Ni, 0.33% PbSilver and copper alloy
Heritage 06 00130 i007Trepanning set
(1820–1840)
(Tools): 98.55% Fe, 0.41% Mn, 0.20% Ni, 0.09% Cu, 0.06% CrSteel
(Tool handles): 91.32% Ag, 5.58% Cu, 2.06% Fe, 0.44% Cr, 0.23% Pb, 0.20% Au, 0.14% ZnSterling silver
Table 3. ΔE* after complete ageing test.
Table 3. ΔE* after complete ageing test.
Colour Differences (ΔE*)
BareB44B48B67B72B72 + H80INCH80Shellac
Steel13.92.94.12.02.61.94.92.518.6
Brass64.39.319.97.910.314.07.910.519.6
Disclaimer/Publisher’s Note: The statements, opinions and data contained in all publications are solely those of the individual author(s) and contributor(s) and not of MDPI and/or the editor(s). MDPI and/or the editor(s) disclaim responsibility for any injury to people or property resulting from any ideas, methods, instructions or products referred to in the content.

Share and Cite

MDPI and ACS Style

Molina, M.T.; Cano, E.; Leal, J.; Fort, R.; Álvarez de Buergo, M.; Ramírez-Barat, B. Protective Coatings for Metals in Scientific—Technical Heritage: The Collection of the Spanish National Museum of Science and Technology (MUNCYT). Heritage 2023, 6, 2473-2488. https://doi.org/10.3390/heritage6030130

AMA Style

Molina MT, Cano E, Leal J, Fort R, Álvarez de Buergo M, Ramírez-Barat B. Protective Coatings for Metals in Scientific—Technical Heritage: The Collection of the Spanish National Museum of Science and Technology (MUNCYT). Heritage. 2023; 6(3):2473-2488. https://doi.org/10.3390/heritage6030130

Chicago/Turabian Style

Molina, María Teresa, Emilio Cano, Joaquina Leal, Rafael Fort, Mónica Álvarez de Buergo, and Blanca Ramírez-Barat. 2023. "Protective Coatings for Metals in Scientific—Technical Heritage: The Collection of the Spanish National Museum of Science and Technology (MUNCYT)" Heritage 6, no. 3: 2473-2488. https://doi.org/10.3390/heritage6030130

APA Style

Molina, M. T., Cano, E., Leal, J., Fort, R., Álvarez de Buergo, M., & Ramírez-Barat, B. (2023). Protective Coatings for Metals in Scientific—Technical Heritage: The Collection of the Spanish National Museum of Science and Technology (MUNCYT). Heritage, 6(3), 2473-2488. https://doi.org/10.3390/heritage6030130

Article Metrics

Back to TopTop