Highlights
What are the main findings?
- Increasing DePIN density significantly enhances solar forecasting accuracy, with optimal gains achieved using data from the first 10–15 neighboring PV systems.
- These accuracy improvements translate directly into a substantial reduction in imbalance costs for energy traders—by up to 45% compared to non-data-driven baselines.
What are the implications of the main findings?
- The results provide a blueprint for DePIN deployment, indicating that the optimal cost–benefit balance is achieved by fostering dense local clusters within a 5–10 km radius.
- The quantified marginal benefits of data sharing offer a foundation for designing sustainable, tokenized incentive mechanisms that align individual participation with collective value creation in decentralized energy markets.
Abstract
This study explores the role of decentralized physical infrastructure networks (DePINs) in enhancing solar energy forecasting, focusing on how network density influences prediction accuracy and economic viability. Using machine learning models applied to production data from 47 residential PV systems in Utrecht, Netherlands, we developed a hierarchical forecasting framework: Level 1 (clear-sky baseline without historical data), Level 2 (solo forecasting using only local historical data), and Level 3 (networked forecasting incorporating data from neighboring installations). The results show that networked forecasting substantially improves accuracy: under solo forecasting conditions (Level 2), the Random Forests model reduces Mean Absolute Error (MAE) by 17% relative to the Level 1 baseline, and incorporating all available neighbors (Level 3) further reduces the MAE by an additional 34% relative to Level 2, corresponding to a total improvement of 45% compared with Level 1. The largest accuracy gains arise from the first 10–15 neighbors, highlighting the dominant influence of local spatial correlations. These forecasting improvements translate into significant economic benefits. Imbalance costs decrease from EUR 1618 at Level 1 to EUR 1339 at Level 2 and further to EUR 884 at Level 3, illustrating the financial impact of both solo and networked data sharing. A marginal benefit analysis reveals diminishing returns beyond approximately 10–15 neighbors, consistent with spatial saturation effects within 5–10 km radii. These findings provide a quantitative foundation for incentive mechanisms in DePIN ecosystems and demonstrate that privacy-preserving data sharing mitigates data fragmentation, reduces imbalance costs for energy traders, and creates new revenue opportunities for participants, thereby supporting the development of decentralized energy markets.
Keywords:
DePIN; solar energy; machine learning; forecasting; network density; economic impact; data silos 1. Introduction
The global transition toward renewable energy sources has accelerated in recent years, driven by the urgent need to mitigate climate change and enhance energy security [1,2]. Among various renewable options, solar power has emerged as a particularly attractive choice due to its declining costs, scalability, and widespread resource availability [3]. Nevertheless, the integration of solar power into conventional grids presents significant challenges related to its inherent variability and intermittency. Fluctuations in solar irradiance due to weather conditions, seasonal patterns, and diurnal cycles can introduce substantial uncertainty into power generation [4,5].
Accurate forecasting of solar power output is crucial for minimizing the economic and technical issues associated with this variability. When forecasts are inaccurate, energy providers often face imbalance costs as they must rely on expensive backup power or balancing services to meet contractual obligations [6]. This challenge becomes more pressing as the share of solar power in the energy mix grows, increasing the grid’s vulnerability to forecast errors [7,8].
Despite widespread smart meter deployment, operational PV data remain fragmented across balance groups: BRPs do not routinely access meter-level production from other BRPs’ portfolios due to confidentiality, competition, and governance constraints embedded in current market roles and data-access regimes [9,10,11,12,13]. Public EU data services focus on aggregated market information rather than cross-party, meter-level operational streams needed for localized spatio-temporal PV nowcasting (e.g., the ENTSO-E Transparency Platform) [14].
A promising solution to address data fragmentation and improve solar forecasting accuracy lies in decentralized physical infrastructure networks (DePINs), which offer a fundamentally different, user-driven approach to decentralized data collection [15]. Rather than relying on top-down systemic changes or limited regional data sources, a DePIN empowers individual photovoltaic (PV) owners—prosumers—to voluntarily share localized production data via tokenized incentive mechanisms and blockchain-based platforms [16,17,18,19,20,21]. This creates a bottom-up, privacy-preserving data commons that bypasses traditional institutional barriers [20,22,23], generating cross-balance-group operational streams needed for accurate nowcasting while maintaining commercial confidentiality. By fostering a dense, geographically distributed array of solar nodes, the DePIN provides granular insights into fluctuating weather conditions and real-time nowcasting, thereby enhancing prediction models with advanced machine learning integration [5,24]. This facilitates direct participation in peer-to-peer data and energy markets, with automated mechanisms incentivizing contributors, unlocking novel economic opportunities in the solar sector, and aligning with evolving EU data-sharing frameworks [9,10].
Moreover, although decentralized energy systems have garnered attention for facilitating peer-to-peer trading and grid flexibility, the existing literature often examines market design, transaction mechanisms, or blockchain frameworks without systematically quantifying the direct relationship between network density, forecast accuracy, and economic returns [20]. Consequently, there is a pressing need for an integrated study that links these three components—network density, solar forecasting accuracy, and financial viability—within a decentralized physical infrastructure network (DePIN) setting.
This study complements three major strands of existing research. First, most prior work in spatial PV forecasting has relied on satellite-derived irradiance fields, reanalysis datasets, or mesoscale numerical weather prediction models. Studies using dense networks of physical PV installations are far less common, and analyses quantifying how forecast accuracy scales with the number of proximate sensors are particularly limited. By using real production measurements from closely spaced PV systems in a single, well-instrumented region, spatial correlation and network-density effects were examined in this study at a micro-climatological scale that is rarely addressed in the previous literature. Second, while sensor-density research in temperature, precipitation, and air-quality monitoring consistently shows diminishing returns beyond several kilometers, PV forecasting is governed by much shorter decorrelation lengths due to small-scale cloud dynamics. Our results indicate a higher density threshold (approximately 10–15 neighbors) for saturation, aligning with findings from high-resolution cloud-motion studies but applied here to operational PV systems rather than atmospheric proxies. Third, our contribution is empirical and operational relative to the DePIN literature, which has predominantly focused on token design, governance structures, incentive mechanisms, and interoperability. We do not introduce new blockchain mechanisms; instead, we evaluate how decentralized data availability influences forecasting accuracy and imbalance-cost proxies. Thus, the work positions the DePIN primarily as a data-access layer that enables improved spatial forecasting, rather than as a conceptual advance in decentralized infrastructure design itself. These clarifications provide a more precise positioning of the manuscript and delineate its contributions within the broader contexts of spatial forecasting, sensor-density research, and decentralized data-sharing architectures.
We provide three key advancements:
- Network density vs. forecast accuracy: An empirical, machine-learning-based analysis that quantifies how forecast performance scales with the number of neighboring PV installations in a single, well-instrumented region.
- Cost-saving analysis: A simplified imbalance-cost proxy that maps observed MAE reductions into monetary terms using real portfolio energy volumes and a representative Dutch imbalance price, providing an interpretable link between forecasting improvements and expected financial impact for a BRP.
- DePIN-oriented value allocation: A marginal-benefit framework that illustrates how the resulting imbalance-cost reductions could, in principle, fund data-sharing incentives in DePIN-like architectures, without specifying a concrete tokenomics or governance design.
By bridging the technical and economic dimensions of solar forecasting, our study provides valuable insights into how dense, decentralized sensor networks can facilitate more accurate prediction, reduce operational costs, and create new revenue streams in emerging energy markets.
The remainder of this paper is organized as follows: Section 2 reviews the relevant literature on solar forecasting methods, the DePIN paradigm, and the economic implications of accurate predictions. Section 3 outlines our dataset, forecasting methodology, and the economic model for DePIN profitability. Section 4 presents the results, highlighting improvements in forecast accuracy and associated cost savings. Section 5 discusses key findings and practical implications, followed by Section 6, which concludes with a summary of contributions and future research directions.
2. Literature Review
2.1. Solar Forecasting Methods and Networked Systems
Solar photovoltaic (PV) power forecasting has become an increasingly important research topic as the share of solar generation in modern power systems continues to rise [1,3]. Accurate forecasts reduce imbalance costs and improve grid stability by mitigating the uncertainty caused by rapidly changing solar irradiance [6,7]. Over the past decade, three major methodological directions have emerged in the forecasting literature: physical models, statistical models, and machine learning approaches.
Physical models rely primarily on numerical weather prediction (NWP) or satellite-derived irradiance fields to estimate incoming solar radiation. These irradiance estimates are then transformed into power using PV system models that incorporate module characteristics, array geometry, and inverter behavior. Although such methods offer physical interpretability and broad spatial coverage, their resolution is often too coarse to capture localized cloud effects, and their performance depends heavily on the accuracy of both the weather model and PV system parameters [7,8].
Statistical forecasting approaches represent a second major research line. Classical models such as ARIMA, SARIMA, and time-series regression techniques rely on historical PV or irradiance data to extract temporal correlations, seasonality patterns, and longer-term trends [25]. These models are computationally efficient and require fewer input variables compared with physical models. However, they tend to struggle under highly dynamic weather conditions or when changes in irradiance occur at spatial and temporal scales smaller than their modeling assumptions.
The third major class of forecasting techniques consists of machine learning and deep learning models. Artificial neural networks (ANNs), support vector machines (SVMs), Random Forests, and especially deep architectures such as Long Short-Term Memory (LSTM) networks have demonstrated strong performance in capturing nonlinear and high-dimensional relationships in PV generation data [26,27,28]. More complex hybrid models combine data-driven learning with physical constraints, achieving strong generalization and improved robustness across varying locations and weather regimes [29]. Mellit et al. [24] provided a detailed overview of the evolution of these techniques, emphasizing the growing importance of hybrid frameworks that leverage both physical knowledge and data-driven adaptability.
Despite the extensive literature, most forecasting models historically rely on data collected at a single site. Such approaches capture only local irradiance conditions and therefore fail to account for spatial changes in cloud cover and microclimatic effects [7]. In contrast, networked forecasting systems integrate measurements from geographically distributed PV installations, which allows models to exploit spatial correlations and anticipate cloud movement more effectively. Dense sensor networks capture fine-scale irradiance variations and improve real-time awareness of cloud dynamics. Studies such as those of Graabak et al. [30] and Droste et al. [31] showed that distributed datasets significantly enhance the spatial resolution of solar forecasts, while Hintz et al. [32] reported reductions in variability and improved robustness. More recent advances in artificial intelligence, including spatio-temporal graph neural networks [28,33], exploit these dense data networks to achieve significant improvements in short-term solar forecasting, particularly over horizons of minutes to hours.
Overall, the transition from single-site approaches to networked, spatially informed forecasting frameworks marks a major step forward in improving forecast accuracy, reliability, and robustness for distributed PV systems.
2.2. Network Density and Forecasting Accuracy: Insights from Cross-Domain Applications
The value of dense sensor networks is not unique to solar forecasting; it is a consistent finding across multiple scientific and engineering domains. In meteorology, for example, increasing observation density enhances the ability to capture fine-scale spatial and temporal weather patterns. Droste et al. [31] showed that urban air temperature retrieval in São Paulo improves significantly when more than 700 smartphone-based temperature sensors are available, while Meier et al. [34] demonstrated that dense citizen weather station networks in Berlin provide far more detailed insights into urban heat island patterns than traditional meteorological stations. Similarly, Hintz et al. [32] demonstrated that even noisy smartphone pressure measurements can meaningfully improve atmospheric analyses when assimilated into numerical weather prediction models, aligning with earlier work by Madaus and Mass [35].
Transportation forecasting also benefits from dense sensor networks. Gagliardi et al. [36] show that carefully optimized sensor placement enables more accurate reconstruction of traffic flows and pollutant emissions. IoT-enabled smart city systems, described by Harmon [37], rely on large volumes of real-time measurements to predict and manage traffic conditions more effectively. Deep learning models, such as those studied by Ma et al. [38] and Lv et al. [39], depend on high-frequency, high-density data to capture nonlinear dynamics in traffic behavior and to produce stable, accurate predictions.
Agricultural forecasting further reinforces these insights. Dense multisensor remote-sensing networks enable predictive models to capture subtle spatial variations in crop conditions. Adsuara et al. [40] showed that nonlinear distribution regression techniques benefit from grouped, spatially diverse observations, while Mateo-Sanchis et al. [41] demonstrated that combining optical and microwave remote-sensing features substantially improves crop yield prediction. Zhao et al. [42] found that soil nutrient forecasting accuracy increases when machine learning models are trained on densely sampled multisensor datasets, and Soussi et al. [43] discussed how smart agriculture relies on dense sensor networks to produce actionable “smart data.”
Across these domains, the conclusion is consistent: higher sensor network density systematically improves forecasting accuracy by providing richer spatial and temporal information. These cross-disciplinary findings strongly support the hypothesis that increased PV network density can similarly enhance solar forecast performance.
2.3. Decentralized Physical Infrastructure Networks (DePINs)
Decentralized physical infrastructure networks (DePINs) refer to blockchain-coordinated systems in which geographically distributed physical assets, such as sensors, energy devices, or communication nodes, are owned and operated by independent participants rather than by a central authority. A DePIN architecture typically consists of three core layers: (i) a distributed hardware layer contributed by many small-scale operators, (ii) a blockchain-based coordination and verification layer that records contributions and enforces transparent rules, and (iii) a token-based incentive mechanism that rewards participants for providing reliable physical services. This conceptualization is aligned with recent taxonomies and architectural analyses of DePIN systems [15,44]. Furthermore, token-based coordination of distributed physical infrastructure has been shown to enable efficient, trust-minimized collaboration across large-scale networks, distinguishing DePINs from traditional decentralized IoT or peer-to-peer energy platforms [45].
While DePINs share certain characteristics with adjacent decentralized frameworks, they differ in several important ways. Peer-to-peer (P2P) energy trading platforms primarily enable bilateral electricity exchanges between prosumers [46,47], but they do not coordinate or verify large-scale deployment of distributed physical assets. Decentralized IoT and sensor-sharing networks facilitate data collection across many devices [48,49], yet they typically rely on centralized cloud platforms for coordination and lack tokenized, on-chain incentive mechanisms. Tokenized real-world asset (RWA) models focus on representing physical assets as digital tokens for ownership and settlement purposes [50,51], but they do not govern how the physical hardware contributes operationally to a network. In contrast, DePINs integrate distributed physical infrastructure, blockchain-based verification, and token-driven incentives into a unified architecture designed specifically for coordinating geographically dispersed hardware at scale [15,44]. This positions DePINs as a distinct category of decentralized system, extending beyond data-only or trading-focused architectures.
Decentralized physical infrastructure networks (DePINs) build on these capabilities to create distributed systems governed by participants rather than centralized operators [15,44]. By linking physical assets to blockchain-based incentives, DePINs coordinate thousands of small-scale contributors who provide data, computing, or physical services. Smart contracts automate payments, verify contributions, and ensure transparent accounting, reducing reliance on trust and central intermediaries.
Real-world examples illustrate how DePINs deploy large-scale sensor networks. Helium rewards participants for deploying wireless hotspots that provide IoT connectivity [52], while HiveMapper creates up-to-date global maps by incentivizing users to contribute dashcam imagery [53]. In the energy sector, emerging initiatives such as Arkreen aim to aggregate distributed solar production and facilitate peer-to-peer energy trading, enabling new monetization pathways for prosumers [54]. These systems demonstrate that decentralized participation can generate high-density, high-quality datasets while distributing value fairly across the network.
2.4. Economic Implications of Forecasting Accuracy
Forecast accuracy directly affects financial performance in modern electricity markets. Operators typically purchase and schedule energy in advance; deviations from scheduled production create imbalances that must be corrected in real time [55]. Positive imbalances (excess generation) and negative imbalances (deficits) both incur financial penalties, and the severity of these penalties depends on timing, regional market structure, and TSO intervention policies. Kraas et al. [56] showed that advanced forecasting systems reduce the magnitude of such imbalances, while Brancucci Martinez-Anido et al. [57] demonstrated that improved day-ahead forecasting lowers overall generation costs by reducing the need for expensive reserve activation. Goodarzi et al. [58] further highlighted that forecast errors not only increase imbalance volumes but also elevate real-time spot prices, exacerbating market volatility.
Additional research quantifies the broader economic value of forecasting improvements. Kaur et al. [59] showed that more accurate solar forecasts reduce the burden on flexibility reserves, while Jonsson et al. [60] analyzed how forecast error drives electricity price volatility. Gonzalez-Aparicio and Zucker [61] demonstrate that forecast uncertainty significantly increases integration costs in Spain, and Pierro et al. [62] highlighted how even small reductions in error can materially reduce imbalance penalties. Forecast accuracy also interacts with market design: van der Veen and Hakvoort [63] show that imbalance settlement schemes can either amplify or mitigate financial exposure, and Cui et al. [64] argued that increased data availability reduces error costs within game-theoretic market frameworks.
A growing body of work also emphasizes the role of networked and high-density data sources in improving both technical and economic performance. Perez et al. [55], Pierro et al. [62], and Lorenz et al. [8] demonstrated that forecasts improve when geographically distributed data are incorporated. More recent studies show that richer datasets not only improve accuracy but also reduce financial exposure: Visser et al. [65,66] and Klyve et al. [67] quantified how distributed PV data networks lower imbalance settlement costs. Complementary strategies, such as the joint scheduling methods proposed by Das et al. [68] and the intra-hour imbalance prediction tools of Salem et al. [69], demonstrate additional pathways for cost reduction. Market design analysis by Moon et al. [70] further suggests that appropriate settlement rules can magnify the economic benefits of improved forecasting accuracy.
Collectively, these studies highlight the strong economic motivation for improving solar forecasting accuracy. Investments in dense sensor networks and advanced forecasting models reduce imbalance penalties, stabilize market operations, and support more efficient integration of renewable energy. These findings provide a compelling argument for the role of decentralized physical infrastructure networks (DePINs), which naturally create dense data ecosystems that improve both technical forecasting performance and downstream financial outcomes.
3. Research Methodology
3.1. Data Collection
Dataset Overview
The electricity production data used in this study were obtained from the Zenodo repository [66]. This dataset comprises one-minute resolution measurements collected over four years from 175 residential solar power systems in the Utrecht region of the Netherlands. In addition to the power production time series, the repository provides important metadata for each installation, including a unique identifier (ID); the start and end times of measurements; estimated capacities for both direct current (DC) and alternating current (AC); and information on the system’s tilt, azimuth, annual yield, and geographic location.
For forecasting purposes, only the AC power output measurements were used. Initially, the metadata were filtered based on the measurement period, location, and completeness of the data. We retained only those installations with continuous data records over the entire four-year period. However, upon review, it was determined that all systems experienced extended periods of missing data in 2016; consequently, data from 2016 were excluded from further analysis. In addition, installations lacking location information or with more than 20% missing values were removed. This filtering process resulted in a final sample of 47 solar power systems. Due to computational constraints, our forecasting experiments were conducted on a subset of data spanning nine months (from January 2017 to September 2017), which, given the one-minute resolution, amounts to 348,481 data points.
3.2. Data Preprocessing
3.2.1. Outliers Removal
Improving data quality is critical for effective forecasting. Extreme outlier values can distort underlying patterns and reduce model performance [71]. To mitigate this issue, we applied a Z-test for outlier detection. The Z-value for each data point in a given time series was computed using
where represents the power output of the ith installation at time t, is the mean output for that system, and s is the standard deviation of the time series. Data points with Z-values exceeding a threshold (set to ) were removed from the dataset.
3.2.2. Handling Missing Data
The dataset still contained missing values despite initial filtering. Given the sensitivity of forecasting models to missing information, it was essential to fill these gaps in a principled way. Rather than discarding incomplete records, we employed the Multivariate Imputation by Chained Equations (MICE) method implemented via the IterativeImputer() function from scikit-learn [72].
In this multivariate setting, each PV installation’s time series was imputed using the contemporaneous observations of all other installations. For each timestamp t, the missing value was estimated from a regression model using the remaining systems as predictors represented by Equation (1):
where is the intercept, are the regression coefficients, and k is the total number of installations considered. This formulation ensures that imputation relies exclusively on same-timestamp information from other PV systems, thereby preventing the use of future values and avoiding information leakage into subsequent forecasting steps.
The imputation procedure was executed iteratively: for each series, the regression model was first fitted on all available (non-missing) observations, missing entries were updated, and the process cycled through all variables until convergence. No temporal lags were included in the imputation model as lagged structures are explicitly captured later during feature construction for forecasting. This choice avoids introducing artificial temporal autocorrelation that may arise when temporal predictors are included directly in the imputation step. Visual inspection of imputed segments and comparison with neighboring installations confirmed that the method preserved realistic short-term variability without oversmoothing. All imputations were performed on the original one-minute data prior to resampling to fifteen-minute resolution, ensuring consistency and minimizing the influence of high-frequency missingness on later aggregation steps.
3.2.3. Removal of Negative and Non-Operational Values
Since negative power values do not make sense in the context of solar energy production, any negative readings were set to zero. Measurements recorded during the non-operational period (between 22:00 and 05:00) were also set to zero as no production occurs during these hours.
3.2.4. Resampling
After filling missing values and removing erroneous readings, we resampled the dataset originally recorded at a 1-min resolution to a 15-min resolution by aggregating the data. This preprocessing step reduced computational complexity during model training and mitigated the impact of extreme deviations in the original measurements. Similar to the approach outlined by Visser et al. [66], the resampling process reduced the dataset from 348,481 to 23,233 data points.
3.2.5. Normalization
To further improve the model training efficiency, each time series was normalized. We applied min–max normalization to scale the data into a range between 0 and 1 using the MinMaxScaler() function from scikit-learn [72]. This transformation is expressed in Equation (2):
where is the original value and is the maximum observed value for that series.
3.3. Input Feature Construction
Prior to applying the forecasting models, we constructed input features using lagged variables to capture temporal patterns in the data. Lagged variables are created by shifting past values of the normalized power output forward in time, enabling the models to account for seasonality, trends, and other time-dependent dynamics. For each PV installation, the lagged variables are defined as
where is the preprocessed and normalized power output at time t, and is the lag parameter. Given that this study focuses on short-term forecasting with a 1-h horizon () and the data is resampled to a 15-min resolution, the lag parameter is calculated as
The value of indicates that each lagged variable incorporates the fourth historical value preceding the current time step being predicted. This results in a vector of lagged features for each installation:
These lagged features form the basis for the input data in Levels 2 and 3 of the forecasting model, enhancing the ability to predict solar power output 1 h ahead while aligning with the temporal resolution of the dataset. This specification is crucial as shorter forecasting horizons can significantly influence imbalance costs in energy markets, where penalties often escalate with reduced prediction lead times.
3.4. Forecasting Model
We propose a three-tier forecasting model to systematically evaluate the impact of historical data and network density on solar power prediction accuracy: Level 1 (Solo, No Data) baseline forecasting without historical patterns or network data, Level 2 (Solo with History) individual forecasting using only local historical data, and Level 3 (Networked) collaborative forecasting incorporating neighboring installation data.
This hierarchical approach allows us to isolate and quantify the incremental benefits of historical data utilization and network effects.
3.4.1. Level 1: Solo Forecasting (No Historical Data)
The baseline level represents the simplest forecasting scenario, where predictions are made without access to historical patterns or neighboring data. Specifically, we employ the Haurwitz clear-sky Global Horizontal Irradiance (GHI) model [73], which calculates solar irradiance using only astronomical inputs such as the solar zenith angle. The model computes the clear-sky GHI, as shown in Equation (3):
where is the cosine of the solar zenith angle , clamped to non-negative values, and GHI is set to zero when . This irradiance is then converted to estimated PV power output using system-specific metadata, including tilt, azimuth, and efficiency factors. The solar position is determined via a vectorized NOAA-style algorithm based on date and time components, incorporating the equation of time and solar declination for accuracy. This approach serves as our performance baseline, representing scenarios with minimal data availability.
3.4.2. Level 2: Solo Forecasting with Historical Data
Level 2 uses only the target installation’s own historical production to capture temporal regularities and site-specific behavior, without any neighbor information. As a simple and transparent solo benchmark, we use the day-profile averaging model:
where d is the number of past days included and is the time-resolution factor.
3.4.3. Level 3: Networked Forecasting
Level 3 augments solo forecasting by incorporating information from neighboring PV installations and explicitly modeling network density. The core idea is that nearby systems experience related cloud dynamics and microclimate effects; leveraging these spatial correlations improves short-term predictions for a target unit.
Spatial Definition of Network Density
We define network density as the number of neighboring PV installations, the data of which are integrated into the forecast for unit i. Rather than fixing a geographic radius (which can produce uneven neighbor counts), we rank all candidates by geographic distance and select the top n neighbors, as shown in Equation (5):
where is the index set of the n closest neighbors for installation i and directly controls density. This number-based definition makes it straightforward to study accuracy as a function of n and to compare sites with different local deployment patterns. Figure 1 illustrates how increasing n expands the spatial footprint captured by the forecaster, thereby enriching the representation of cloud motion and local variability.
Figure 1.
Effect of increasing the inclusion radius on the number of neighboring PV installations considered for forecasting (example: installation ID010).
Empirical Justification of Geographic Neighbor Selection
To validate the use of geographical proximity as a basis for selecting neighbors, we conducted a correlation–distance analysis using the measured AC power output of all PV systems. We computed the pairwise Pearson correlation of the measured time series of each of the 1081 installation pairs and related it to their geographical separation using the Haversine formula. In Figure 2, the results display a clear decay of PV output similarity with distance: nearby installations (within 5–10 km) exhibit very high correlations , while similarity gradually decreases beyond approximately 15–20 km. The relationship is strongly monotonic , confirming that geographic distance is a reliable proxy for shared irradiance dynamics. This provides an empirical foundation for the top-k nearest-neighbor selection used in Level 3.
Figure 2.
Pearson correlation of measured PV output versus geographical distance.
Alternative Spatial Neighbor-Selection Approaches
While geographic proximity provides a strong and empirically validated baseline for identifying informative neighbors, we acknowledge that more advanced spatial-selection strategies could further enhance networked forecasting. Possible alternatives include correlation-based neighbor selection, in which units are chosen based on historical production similarity rather than distance; cloud-motion-aware dynamic neighborhoods derived from satellite or sky-imager nowcasting; spatial interpolation and kriging methods that estimate continuous irradiance fields; and graph-based learning approaches where neighbor relationships are learned endogenously by the model. These techniques typically require additional data sources or more complex architectures and are therefore beyond the scope of the present study, but they represent promising directions for future work.
Feature Construction from Neighbors
After selecting , we form a neighbor feature block that stacks the lagged production histories of the n neighbors over the same window used for the target:
where each column contains the lagged power values of neighbor over . The complete Level 3 input concatenates the target’s own history with the neighbor block:
This design captures both temporal structure (lags) and spatial context (neighbors). If desired, one may append simple spatial summaries (e.g., neighbor mean, range, or dispersion) or distance weights, but these are not required by the core formulation.
Because the input explicitly depends on the number of neighbors, the forecast accuracy is directly linked to network density n, as shown in Equation (8):
where is the predicted power output for installation i at time t, F is the chosen learning algorithm, and is the learned parameters.
Training Structure Across Installations
All forecasting models in this study are trained on an installation-by-installation basis. For each PV unit i, we constructed a dedicated training dataset derived from its own production history and the lagged histories of its n nearest neighbors, as defined in Equations (5)–(7). Because the set of neighbors and the corresponding input matrix differ across installations, a centralized training strategy would not be appropriate: different units do not share identical feature structures. Likewise, regional grouping was not used, since the spatial correlations captured by the Level 3 design depend specifically on each unit’s local neighborhood rather than on administrative or geographic region boundaries. Each installation therefore receives its own trained model , ensuring that forecasts are tailored to its local microclimatic and network context.
Including neighbors provides two complementary benefits: (i) anticipation of local changes as upwind neighbors partially reveal imminent cloud passages and (ii) noise reduction, since multiple sources help distinguish true irradiance shifts from sensor anomalies. As n increases, accuracy typically improves rapidly at first (the closest neighbors are most informative), then saturates as marginal neighbors add redundant or weakly correlated signals.
Justification of Forecasting Model Selection
The learning algorithms used in this study—Random Forests (RFs), Extreme Gradient Boosting (XGB), Support Vector Regression (SVR), and Multi-Layer Perceptron (MLP)—were chosen because they represent the four most widely adopted and consistently high-performing model families in short-term solar power forecasting. Ensemble tree methods such as RF and XGB have been repeatedly shown to handle nonlinear irradiance–power relationships, heterogeneous feature sets, and noisy measurements with strong robustness [74,75]. Kernel-based models such as SVR are well established in irradiance and PV forecasting due to their ability to model complex nonlinear patterns in high-dimensional spaces using appropriate kernel functions [76,77]. Neural approaches such as MLPs remain a standard baseline in PV forecasting and achieve strong performance when learning smooth nonlinear mappings from past observations to future power output [26]. Using these four model classes enables a comparison across complementary learning paradigms (ensembles, boosting, kernel methods, and neural networks), all of which have demonstrated reliability and competitive accuracy in prior solar forecasting studies.
3.5. Hyperparameter Tuning and Configuration
To ensure optimal performance across all machine learning models, we implemented a systematic hyperparameter optimization process using randomized search with 5-fold time-series cross-validation. This approach preserved temporal dependencies while identifying robust parameter configurations. We tuned the number of estimators, maximum depth, and regularization parameters of the tree-based ensembles to balance model complexity and generalization capability. The Multilayer Perceptron architectures were optimized through variations in hidden layers, neuron counts, and activation functions, while Support Vector Regression focused on kernel parameters and penalty terms. All models shared consistent training configurations, including temporal splitting to maintain chronological integrity and early stopping to prevent overfitting. The complete hyperparameter search spaces for each algorithm are detailed in Table 1.
Table 1.
Hyperparameter configurations and search ranges for machine learning models.
The hyperparameter tuning process employed randomized search with 50 iterations per model, optimizing for negative Mean Absolute Error to align with our primary evaluation metric. This comprehensive approach ensured that performance comparisons across forecasting levels reflected model capabilities rather than suboptimal configurations, providing a fair basis for evaluating the impact of network density on prediction accuracy.
Temporal Splitting and Prevention of Information Leakage
All hyperparameter optimization and model training procedures were performed using strictly time-aware data splits to ensure chronological integrity. We employed scikit-learn’s TimeSeriesSplit for all models, which guarantees that training folds contain only past observations and validation folds contain strictly future observations. This prevents any leakage of future information into the learning process.
To avoid feature leakage through preprocessing, normalization and imputation were performed after each time split, using statistics computed only on the training portion of each fold. Forecasting models therefore never had access to future values, future-derived normalization parameters, or future lagged features during training. The same procedure was applied consistently across Level 2 and Level 3 experiments to ensure comparability.
3.6. Statistical Significance Testing
We performed a paired Wilcoxon signed-rank test on the per-installation MAE values to verify that the improvement from solo forecasting (Level 2) to networked forecasting (Level 3) is statistically robust. The test compares matched errors from the same PV units under Level 2 and Level 3 conditions and is appropriate here because MAE distributions are non-normal and the samples are paired across installations. We evaluated the one-sided hypothesis that Level 3 achieves lower MAE than Level 2.
3.7. Economic Model
3.7.1. Imbalance Costs
The economic impact was evaluated from the perspective of Balance Responsible Parties (BRPs), focusing on total imbalance costs.
In liberalized electricity markets, each Balance Responsible Party (BRP)—typically a utility or trader—must keep its portfolio’s production and consumption in line with the schedule it submits. If the actual production–consumption balance in a settlement period deviates from the scheduled balance, the Transmission System Operator (TSO) restores system balance in real time and settles the difference with the BRP as an imbalance cost [63].
While imbalance pricing can be asymmetric in practice, we employed a simplified model using a single, representative average imbalance price (EUR/MWh). This approach is suitable for estimating the expected financial impact of forecast errors. The total imbalance cost C (EUR) over a given horizon can be approximated as the product of this price, the scale of the forecast error, and the relevant energy volume. The Mean Absolute Error (MAE) is used as the error metric, as shown in Equation (9):
where E is the total energy volume (MWh). In this framing, any reduction in translates directly into lower imbalance costs, creating a direct and measurable monetary value for improved forecasting.
We can define the imbalance costs for each of our three forecasting levels based on the respective Mean Absolute Error (MAE) achieved. Specifically, the imbalance cost for Level 1 (solo forecasting without historical data) is approximated as , where reflects the baseline error from the clear-sky model. For Level 2 (solo forecasting with historical data), the cost is , capturing improvements from incorporating local temporal patterns. Finally, for Level 3 (networked forecasting), the cost becomes , which benefits from spatial correlations and thus typically yields the lowest MAE. This formulation enables a direct comparison of economic savings across levels, quantifying how incremental enhancements in forecast accuracy—driven by historical data and network density—translate into reduced imbalance penalties for BRPs.
In the DePIN context, the economic improvements observed at Level 2 are enabled by the decentralized network’s ability to aggregate and make historical data readily available for individual installations, facilitating portfolio-wide accuracy gains through incentivized data contributions without requiring cross-sharing. At Level 3, further enhancements arise not only from addressing the data silo problem inherent in traditional BRP structures—where confidentiality and competition limit access to cross-portfolio operational data—but also from enhancing predictions within a single BRP’s own PV portfolio through the integration of spatial forecasting methods if not already employed. By enabling privacy-preserving neighbor-based sharing, DePINs reduce these barriers, unlocking spatial correlations that drive down forecast errors and imbalance costs.
3.7.2. Marginal Benefit Analysis
We introduce a marginal benefit analysis to quantify the economic value of increasing data access within the DePIN network. The marginal benefit of providing additional neighbor data access is defined as the reduction in total imbalance costs attributable to each additional data connection made available to participants.
The marginal benefit for increasing from to k neighbors per PV system is calculated as shown in Equation (10):
where is the marginal benefit per additional data connection (EUR), is the total imbalance cost with k neighbors accessible per PV system (EUR), and is the total imbalance cost with neighbors accessible per PV system (EUR).
This analysis was conducted within the fixed network of 47 PV systems, where we varied the number of neighboring systems for which the data could be accessed by each participant (from 0 to 46 neighbors). The approach quantifies how increasing data sharing density, rather than network size, contributes to collective forecasting improvements and enables the design of economically sustainable incentive structures in DePIN networks.
4. Results
This section presents the findings from our experiments, focusing on the impact of participation levels in the DePIN on forecasting accuracy and the resulting economic benefits. We evaluate performance across the three forecasting levels outlined in the methodology: Level 1 (clear-sky baseline with no data sharing), Level 2 (solo forecasting using historical data from individual PV systems), and Level 3 (networked forecasting incorporating data from neighboring PV systems). Forecasting accuracy is assessed using the Mean Absolute Error (MAE), as defined in the methodology, to quantify prediction performance. Economic benefits are evaluated through total imbalance costs (C), approximated as , where is the average imbalance price and E is the total energy volume, enabling direct comparisons of cost savings () across levels. Several forecasting methods are compared, namely, a clear-sky model (CS), baseline averaging (AVG) model, Support Vector Regression (SVR), Random Forests (RFs), Extreme Gradient Boosting (XGB), and a Multilayer Perceptron (MLP), to provide a comprehensive assessment.
4.1. Forecasting Accuracy
4.1.1. Forecasting Accuracy at Level 1
At Level 1, no data is shared, and forecasting relies solely on a clear-sky model, which estimates PV production based on astronomical parameters without historical or real-time data. Specifically, we employ the Haurwitz clear-sky Global Horizontal Irradiance (GHI) model, which calculates solar irradiance using only astronomical inputs such as solar zenith angle [73].
The performance metrics for this level were calculated across the 47 PV installations in the dataset, comparing the model’s predictions against actual power output. The distribution statistics of these metrics are summarized in Table 2. The clear-sky model exhibits relatively high errors, with a mean Mean Absolute Error (MAE) of 0.0817 ± 0.0045, a mean Root Mean Square Error (RMSE) of 0.1488 ± 0.0075, and a mean Coefficient of Determination () of 0.6313 ± 0.0407. These values highlight the limitations of non-data-driven approaches, particularly in accounting for cloud cover, atmospheric conditions, and other localized variabilities that affect solar output.
Table 2.
Distribution statistics of forecasting performance metrics across PV installations using the Haurwitz clear-sky GHI model.
4.1.2. Forecasting Accuracy at Level 2
At Level 2, forecasting relies solely on historical data from the individual PV installation, without incorporating spatial information from neighboring systems. This represents a solo forecasting approach that leverages temporal patterns from the system’s own production history.
We compared the performance of several forecasting methods in this configuration: a baseline averaging model (AVG), which uses simple day-profile averaging based on historical data without machine learning, and advanced machine learning models, namely, Support Vector Regression (SVR), Random Forests (RFs), Extreme Gradient Boosting (XGB), and a Multilayer Perceptron (MLP). This evaluation quantifies the benefits of machine learning over the simple history-based AVG approach for solo forecasting.
The results are summarized numerically in Table 3. Three common forecasting accuracy metrics were employed: Mean Absolute Error (MAE), Root Mean Square Error (RMSE), and the Coefficient of Determination ().
Table 3.
Forecasting accuracy for evaluated models at Level 2 (mean ± std across PV units).
The results demonstrate that all Level 2 models, including the simple AVG baseline, achieve comparable or slightly better performance than the Level 1 clear-sky model, underscoring the value of incorporating historical data from individual PV systems. Notably, the machine learning models (except SVR) outperform the AVG baseline, highlighting the advantages of data-driven approaches in capturing complex temporal patterns over both the non-data-driven Level 1 baseline and the history-only AVG method. Among them, the Random Forests model achieved the lowest MAE (0.0676 ± 0.0026) and highest (0.741 ± 0.014), while the MLP achieved the lowest RMSE (0.1213 ± 0.005), indicating its superior ability to model non-linear relationships in historical data. XGB also showed substantial improvements over AVG and Level 1, further validating the value of machine learning for solo forecasting. Interestingly, the AVG model achieved a lower MAE than SVR (0.1046 ± 0.0060), suggesting that simple averaging can be effective for minimizing average absolute errors, though it underperforms in explaining variance and handling variability compared with the better machine learning methods and offers only marginal gains over Level 1.
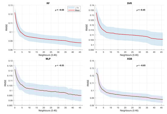
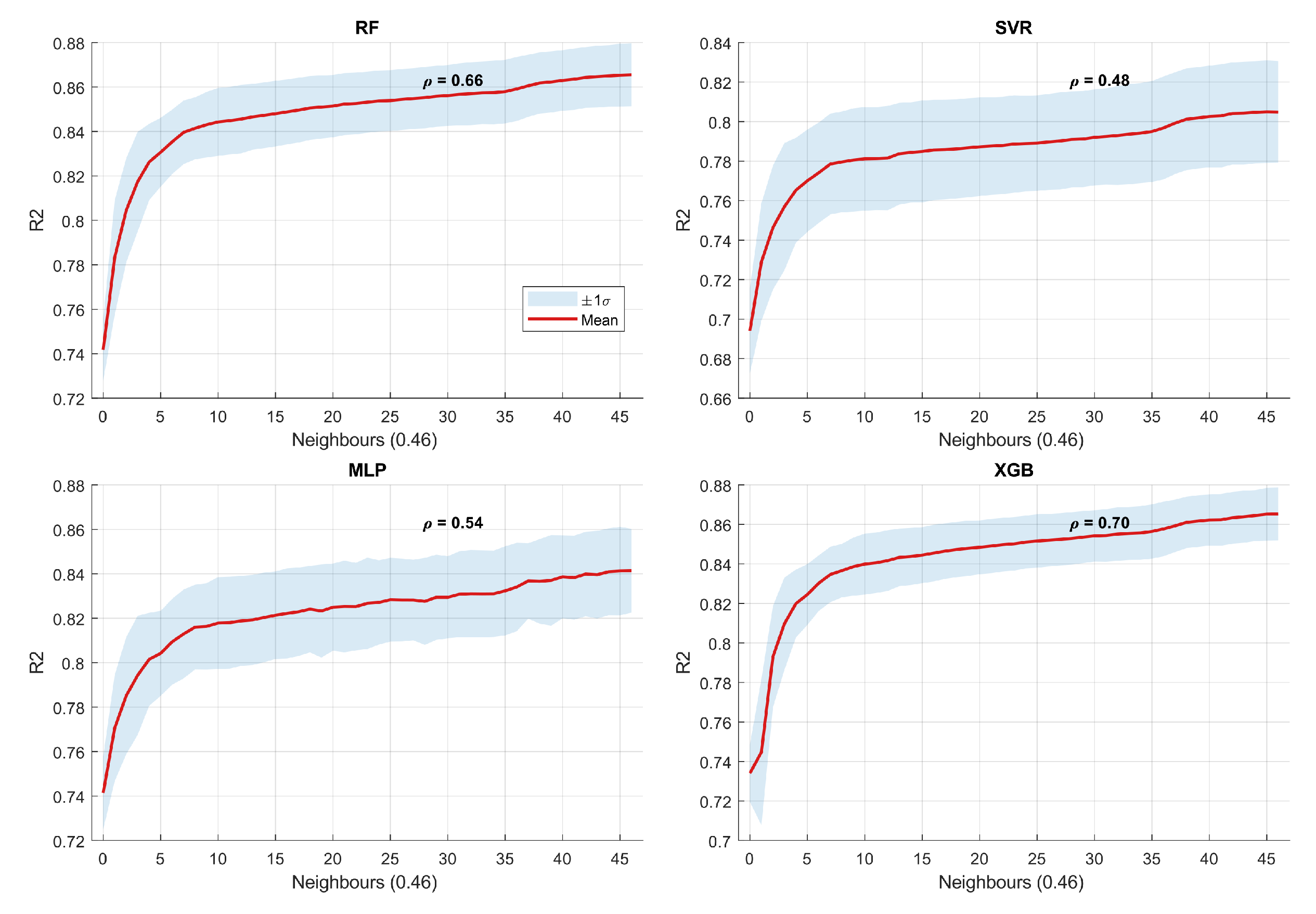
4.1.3. Forecasting Accuracy at Level 3: Impact of Network Density
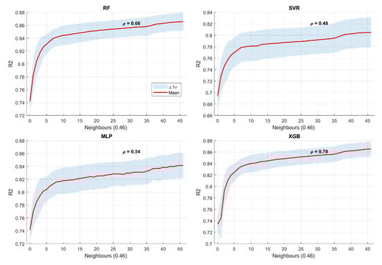
At Level 3, forecasting incorporates historical data from both the target PV installation and a varying number of neighboring installations, leveraging spatial correlations to enhance predictions. This networked approach builds directly on the solo machine learning models from Level 2 (equivalent to 0 neighbors), allowing us to quantify the incremental benefits of increasing network density.
Figure 3, Figure 4 and Figure 5 present the evolution of forecasting accuracy metrics with the increase in the number of neighboring installations. The figures illustrate the distribution of forecasting results across PV units for each level of network density, with the first box (0 neighbors) representing the Level 2 solo performance for the machine learning models.
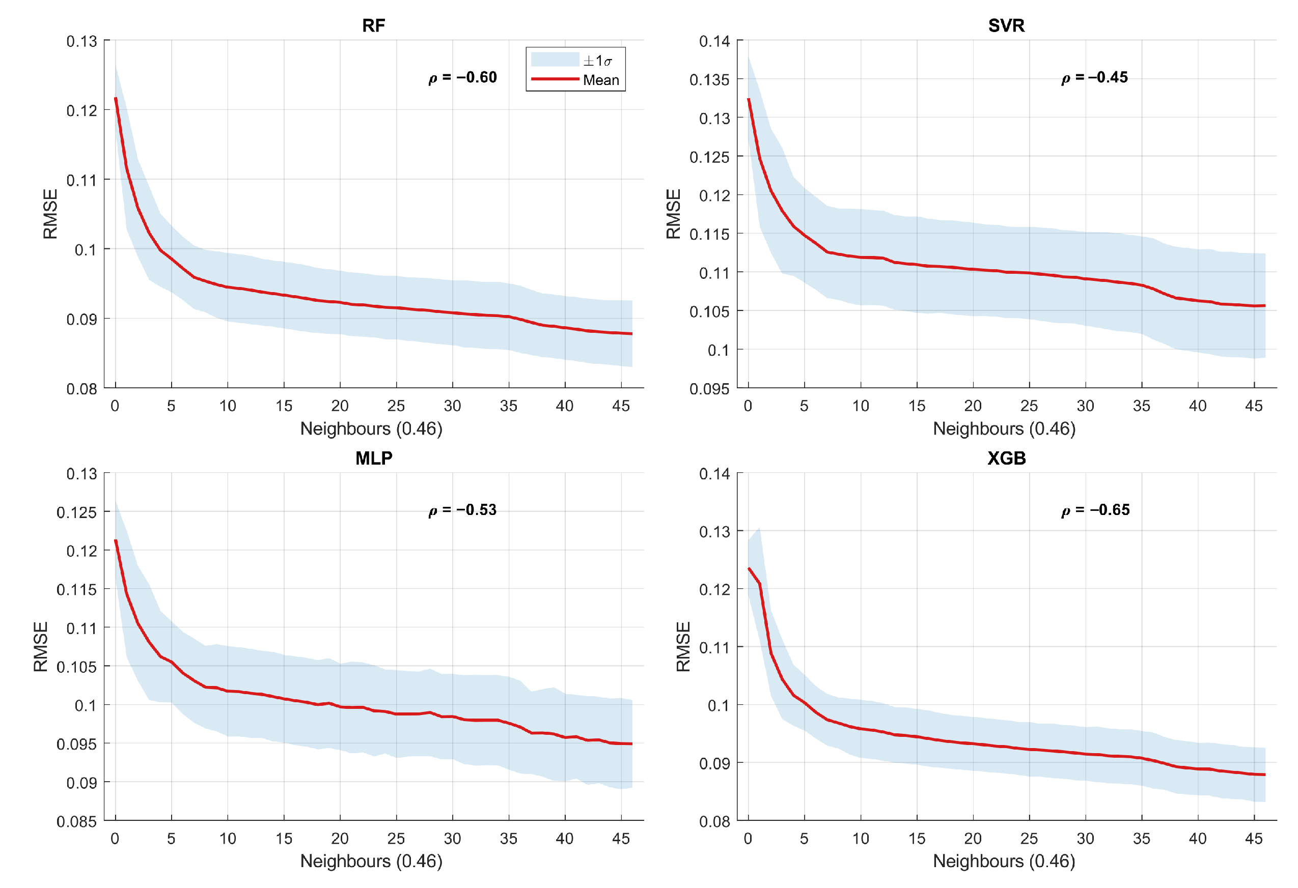
Figure 3.
Distribution of MAE values as a function of the number of neighboring PV installations included.
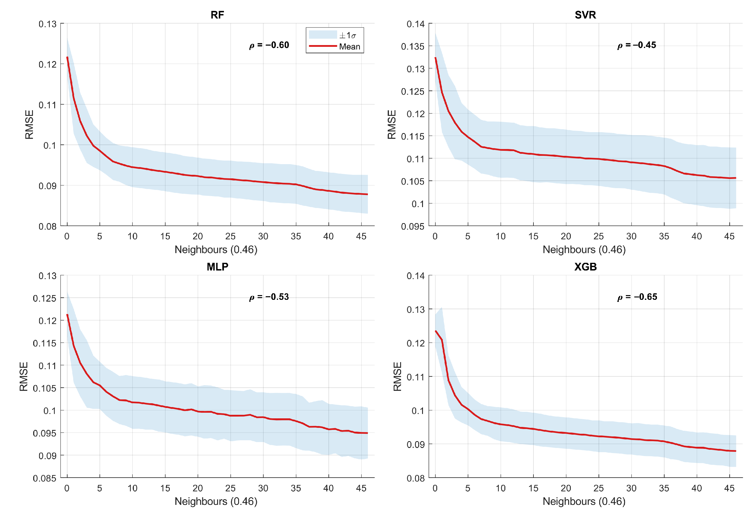
Figure 4.
Distribution of RMSE values as a function of the number of neighboring PV installations included.
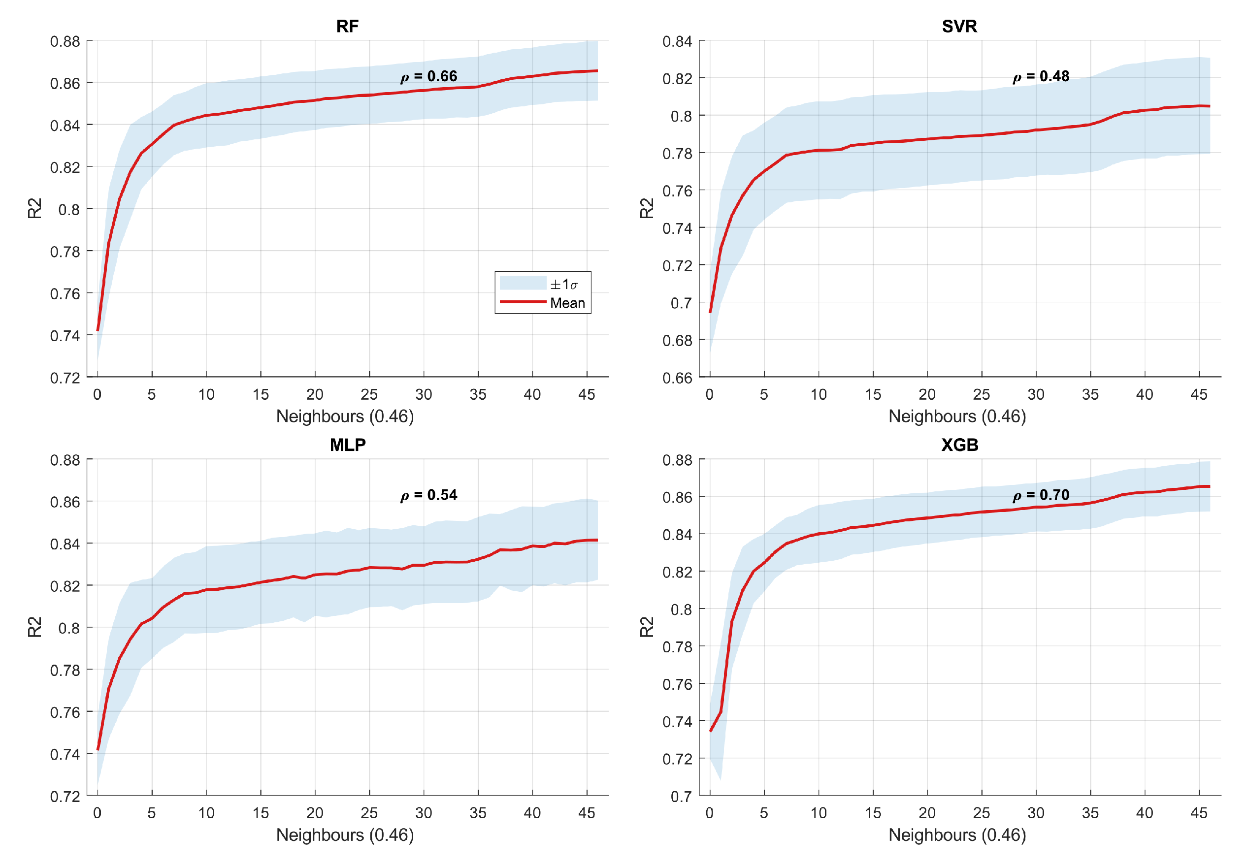
Figure 5.
Distribution of values as a function of the number of neighboring PV installations included.
The results show that MAE decreases sharply when the first few neighboring installations are added, with most of the improvement occurring within the first 10–15 neighbors. Beyond this point, the curve flattens, indicating diminishing marginal forecasting benefits as spatial redundancy increases.
RMSE follows the same pattern as MAE: the accuracy improves quickly with initial increases in network density, and the gains saturate once roughly 10–15 neighbors are incorporated. This reinforces that short-term irradiance dynamics are primarily informed by geographically close systems.
The R2 metric increases significantly as nearby neighbors are included, confirming that spatial information enhances the explanatory power of the model. The improvement tapers off with larger neighbor counts, consistent with the saturation behavior observed in MAE and RMSE.
Across all forecasting models (RF, XGB, SVR, and MLP), the results consistently demonstrate improvements in forecasting accuracy as additional neighboring installations are included, extending the gains observed at Level 2 over the non-data-driven Level 1 baseline. MAE and RMSE decrease with network density, while increases, indicating closer alignment between predicted and actual production compared with solo forecasting.
We applied a paired Wilcoxon signed-rank test to the Random Forests MAE values across all 47 PV installations to confirm that the observed improvement from Level 2 to Level 3 is statistically significant. The test indicated a highly significant reduction in error when using 10 nearest neighbors . This shows that the gain from network-based forecasting is not due to random variation but is statistically robust.
Model comparisons reveal distinctive sensitivities to network density. To quantify these observations, we computed Spearman correlation coefficients between the number of neighboring PV installations and the three forecasting metrics. These coefficients, annotated in Figure 3, Figure 4 and Figure 5, confirm the visual trends:
- XGB consistently achieves the strongest correlations (absolute values ), underlining its robustness to spatial data integration.
- RF follows closely, with correlation values around 0.7–0.8, also indicating high sensitivity to network density.
- SVR and the MLP show weaker coefficients (absolute values generally ), reflecting limited responsiveness to neighboring installations.
In summary, the analysis establishes a robust link between forecasting accuracy and network density at Level 3, with clear thresholds (about ten neighbors), beyond which additional data provide diminishing returns. It highlights the superior adaptability of XGB and RF in networked settings, reinforces the critical role of spatial correlation in decentralized solar forecasting, and demonstrates substantial gains over the solo approaches at Levels 1 and 2.
4.2. Economic Impact
4.2.1. Imbalance Costs at Level 1
The imbalance price used in this study was determined based on market data from the Dutch electricity sector. Specifically, we adopted the average price for shortages in 2023, which was 198 EUR/MWh according to a Rabobank report [78]. This value serves as the representative average imbalance price () in our simplified economic model, reflecting the costs incurred by Balance Responsible Parties (BRPs) for deviations in the balancing market. Given that our forecasting model provides predictions 1 h ahead, this aligns with intraday market dynamics, where imbalance costs often increase due to the urgency of short-term grid adjustments. This estimate helps quantify the financial implications of forecast errors, emphasizing the potential for cost reductions through improved accuracy in DePIN frameworks. At Level 1, where no data is shared and forecasting relies on the clear-sky model, the imbalance costs represent the baseline economic burden for the BRP. The economic burden of Level 1 participants is quantified through the imbalance costs they impose, as shown in Equation (9):
where represents the imbalance costs attributable to Level 1 forecasting inaccuracy, EUR/MWh is the average imbalance price, is the forecasting error using the clear-sky model, and MWh is the total energy volume for the portfolio of 47 PV systems over the 9-month period (January to September 2016, computed from the de-normalized energy production data totaling 100,078.90 kWh). This level highlights the financial inefficiencies associated with non-data-driven forecasting, where the full imbalance costs are borne by the BRP without any mitigating contributions from participants.
4.2.2. Imbalance Costs at Level 2
At Level 2, where forecasting incorporates historical data from individual PV systems without cross-sharing, the imbalance costs are reduced compared with Level 1 due to improved accuracy from local temporal patterns. We evaluated the economic burden using the Mean Absolute Error (MAE) from various models, as detailed in the methodology.
The imbalance costs for each model are quantified using Equation (9), with EUR/MWh and MWh. The cost for the Random Forests (RFs) model, which achieves the lowest MAE and highest relative savings, is calculated as shown in Equation (12):
Similar calculations apply to the other models (Table 4). The 17.24% relative savings with the RF model represent the portfolio-wide economic benefit if the historical data from all PV systems—covering the full energy production of the portfolio—are shared within the DePIN, enabling these accuracy improvements across the entire network.
Table 4.
Imbalance costs and relative savings for evaluated models at Level 2 (mean across PV units). Relative savings are calculated using , where EUR 1618.
This level demonstrates the economic benefits of utilizing historical data within a DePIN framework, where participants contribute their own data to enable these accuracy gains, potentially receiving tokenized rewards from the resulting cost savings borne by the BRP. Note that some models, such as SVR, may yield higher costs than Level 1, highlighting the importance of selecting appropriate forecasting methods.
4.2.3. Imbalance Costs at Level 3
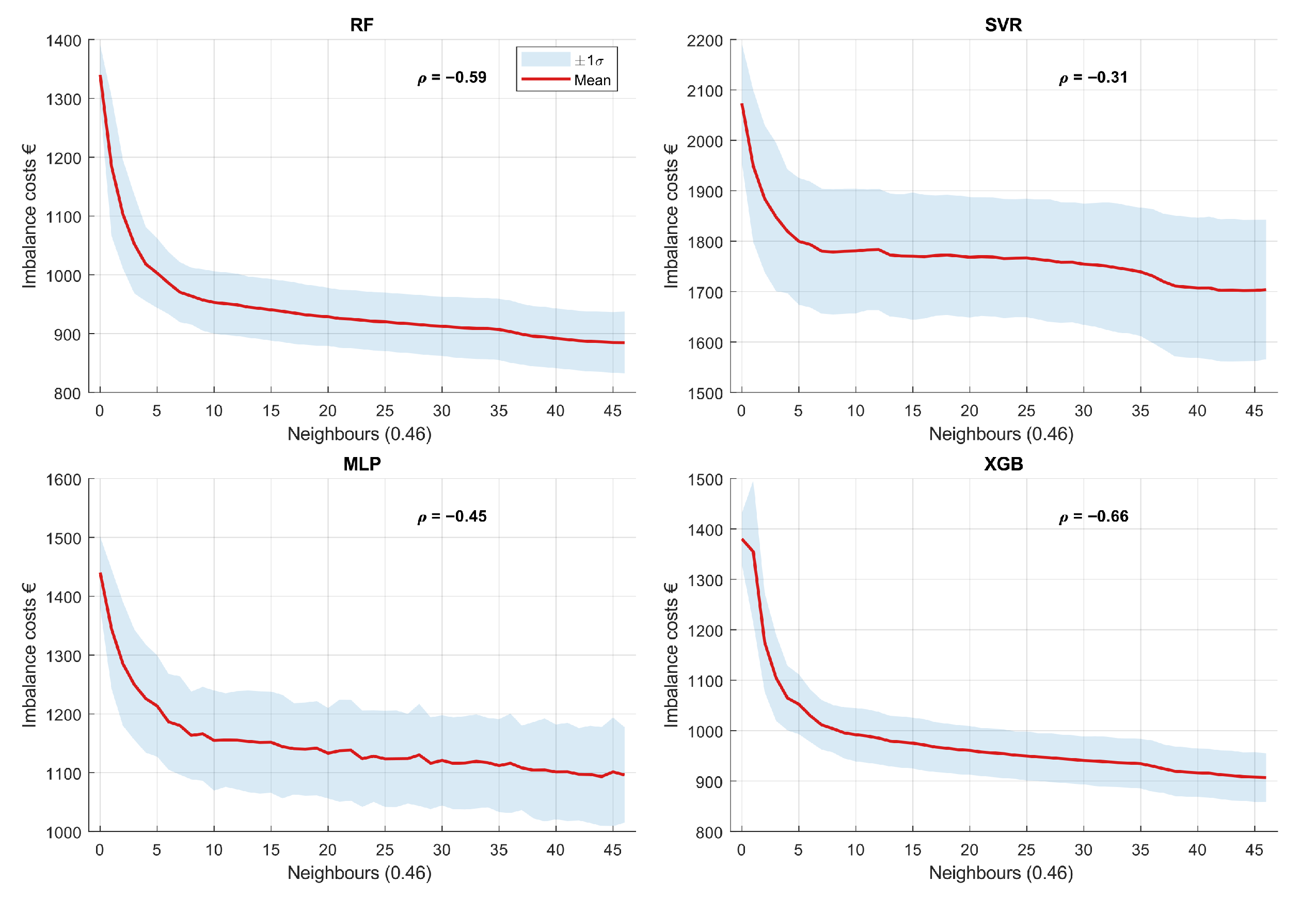
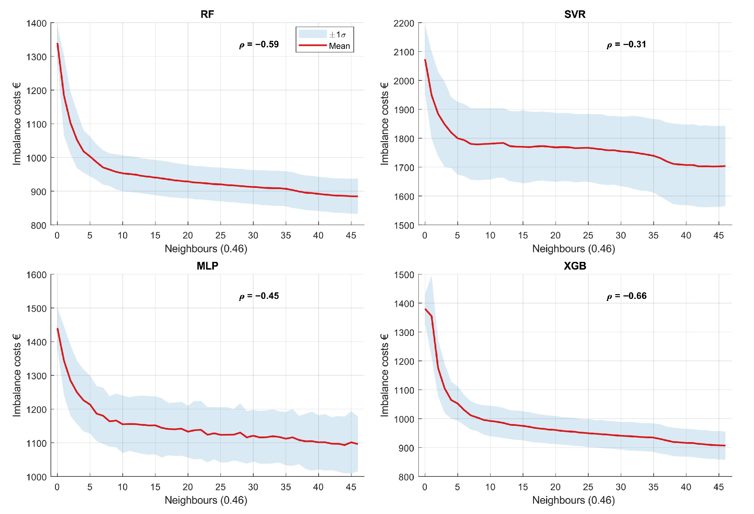
At Level 3, where forecasting incorporates historical data from both the target PV installation and neighboring installations, the economic benefits are substantially enhanced through the network effect. The relationship between network density and economic costs follows a similar pattern to the forecasting accuracy improvements observed in Figure 3, Figure 4 and Figure 5.
Figure 6 illustrates the reduction in imbalance costs as the network density increases, using the Random Forests model as representative. The economic costs show a clear decreasing trend with the increase in the network density, mirroring the improvements in forecasting accuracy. The most significant cost reductions occur within the first 10–15 neighboring installations, with diminishing returns beyond this threshold.
Figure 6.
Economic cost (EUR) as a function of the number of neighboring PV installations included.
To quantify these improvements, the imbalance costs for key network densities using the Random Forests model are reported in Table 5. The Level 2 configuration (0 neighbors) results in an imbalance cost of EUR 1339, whereas incorporating only five neighbors reduces this to EUR 1002. Increasing to ten neighbors yields EUR 953, while the full-network scenario (46 neighbors) achieves the lowest cost of EUR 884.
Table 5.
Imbalance costs at different network densities (Random Forests model).
4.2.4. Sensitivity to Imbalance Price Variability
We performed a sensitivity analysis by varying the representative imbalance price by around the Dutch 2023 average (198 EUR/MWh) to evaluate the robustness of the economic conclusions with respect to real-world imbalance price volatility. Table 6 reports the resulting imbalance costs for key network densities.
Table 6.
Price sensitivity of imbalance costs in low (), baseline, and high () imbalance price scenarios.
Because the imbalance-cost model is linear in the imbalance price (Equation (9)), absolute costs scale proportionally with the price level. Importantly, however, the relative savings achieved with networked forecasting remain unchanged. For example, the cost reduction from Levels 2 to 3 with full-network access remains approximately 33% across all three price scenarios, and the reduction from Levels 2 to 3 with ten neighbors remains 28.9%. This demonstrates that the economic benefits of network-based forecasting are robust to realistic fluctuations in imbalance pricing.
4.2.5. Marginal Benefits and Spatial Analysis
The analysis evaluates the marginal benefit (MB), defined as the reduction in total imbalance cost per additional participating PV system. Figure 7 illustrates the relationship between marginal benefit and the number of participants, revealing a strong trend of diminishing marginal returns. As the collaborative forecasting pool scales, total costs decrease from EUR 1340 (with 0 participants) to EUR 885 (with 46 participants), demonstrating significant improvements in cost efficiency through network expansion.
Figure 7.
Marginal Benefit versus Number of Participating PV Systems.
The marginal benefit analysis shows that the initial participants provide the most substantial value, with the first additional system yielding EUR 155.28 in cost savings. Beyond approximately 20 participants, the marginal benefit stabilizes at low levels, generally remaining below EUR 3 per additional system.
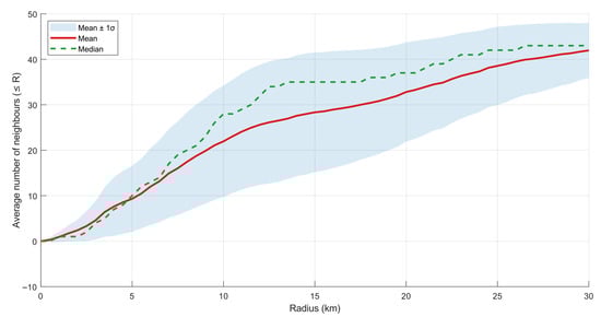
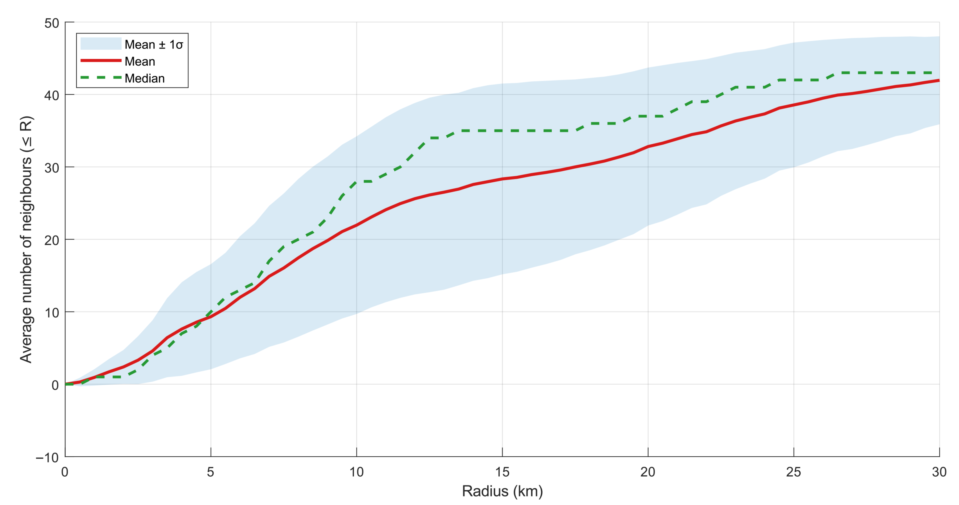
Table 7 and Figure 8 detail how system interconnections evolve with the increase in the geographical radius, revealing three distinct phases of network development.
Table 7.
Neighborhood density evolution with the increase in radius.
Figure 8.
Average number of neighbors as a function of radius.
During the rapid local clustering phase (0–7.5 km), connectivity grows exponentially with a 483% increase in mean neighbors from 2.5 to 7.5 km, forming dense local clusters with strong spatial correlation. The Transition to Regional Network phase (7.5–15 km) shows continued growth at a reduced rate (77% increase), integrating local clusters into a regional network. Finally, the Saturation and Completion phase (15–30 km) exhibits dramatically slowed growth (48% increase over 15 km), approaching full network integration.
Intermediate radii (5–15 km) show median exceeding mean, demonstrating above-average connectivity for most systems. Large radii (≥20) exhibit convergence of mean and median values, indicating uniform connectivity as the network approaches completeness. The standard deviation pattern peaks at 15 km radius () when connectivity variability is maximized, then decreases with network uniformity.
5. Discussion
This study provides the first integrated analysis of how network density in decentralized physical infrastructure networks (DePINs) affects both the solar forecasting accuracy and economic viability. By separating descriptive results from interpretive insights, the following discussion synthesizes the key mechanisms behind the observed performance patterns and highlights their broader implications.
5.1. Technical Implications for Solar Forecasting
Across all machine learning models, the forecasting accuracy improved consistently with the inclusion of neighboring PV installations, but these gains followed a clear saturation pattern. The strongest improvements occurred within the first 10–15 neighbors, after which additional installations contributed increasingly redundant information. This behavior reflects the underlying spatial correlation structure: nearby PV systems experience highly similar irradiance dynamics due to shared cloud movements and micro-local weather patterns, while installations beyond roughly 10–15 km—corresponding to typical cloud field scales in the Utrecht region—exhibit markedly weaker correlations. Consequently, the diminishing returns observed in the MAE, RMSE, and metrics directly stem from the reduced informational value of more distant nodes.
The model-specific behavior further elucidates the mechanisms of networked forecasting. Random Forests and XGBoost achieved the largest accuracy gains, confirming their capacity to exploit fine-grained non-linear relationships embedded in spatially distributed data. In contrast, the SVR and MLP displayed flatter improvements and higher variability across installations, suggesting weaker sensitivity to spatial features and greater dependence on hyperparameters. The strong negative Spearman correlations between the network density and both the MAE and RMSE, and the corresponding positive correlations with , reinforce that increased density systematically enhances predictive power up to the saturation threshold.
Overall, the technical findings indicate that DePIN-based forecasting benefits substantially from local clustering, with approximately 10 neighbors providing a practical upper bound for meaningful improvements in short-term solar predictions.
5.2. Economic Viability and Market Transformation
The economic analysis showed that network-driven gains in accuracy translate directly into substantial reductions in imbalance costs. The relative cost savings remained stable across different imbalance price scenarios because the economic model is linear in price; thus, improvements in MAE retain their proportional value under both high- and low-price conditions. This robustness strengthens the practical relevance of the observed cost reductions.
Interpreting the cost curve reveals the same saturation behavior visible in the forecasting metrics. The steepest decrease in imbalance costs occurs when moving from zero to approximately ten neighbors, consistent with the region of highest spatial correlation. Beyond this range, marginal cost reductions taper off sharply. The marginal benefit analysis further illustrates this phenomenon: the first few additional neighbors offer large reductions in imbalance costs, but the marginal value rapidly declines until stabilizing at very low levels once the network becomes fully interconnected.
These diminishing marginal returns have important implications for DePIN economics. Incentive structures should not reward unlimited expansion of data connectivity but rather prioritize reaching an optimal local density. High rewards are justified for early contributors who help establish the first few meaningful data links, while subsequent connections should receive smaller rewards to avoid over-incentivizing redundant data.
5.3. DePIN as a Solution to Data Fragmentation
Beyond the forecasting performance, the results underscore the role of the DePIN as a mechanism for overcoming entrenched data fragmentation in electricity markets. Traditional BRP frameworks prevent cross-portfolio access to operational PV measurements due to confidentiality and governance constraints. The DePIN enables prosumers to voluntarily and securely share data with privacy-preserving incentives, thereby unlocking spatial correlations that conventional market structures cannot access.
The two-layer benefit structure—improvements from solo historical data (Level 2) and additional improvements from spatial data (Level 3)—shows that DePINs can be deployed incrementally. Participants receive immediate value from sharing their own data, with additional value unlocked as local clusters densify. This gradual adoption pathway is particularly relevant for real-world deployment, where network density develops unevenly over time.
5.4. Practical Implementation Considerations
The spatial analysis revealed three distinct phases in the growth of neighbor connectivity: rapid local clustering within 5–10 km, a transition phase up to 15 km, and a saturation phase beyond 15 km where nearly all systems become interconnected. These phases closely match the marginal benefit behavior observed economically, confirming that spatial topology directly drives the forecasting value.
The alignment between geographical distance and forecasting benefit suggests that DePIN deployment strategies should aim to achieve dense local clusters before attempting broad regional coverage. Urban and suburban environments—where distances between installations are naturally small—represent ideal early deployment regions. Nevertheless, the strong performance of the forecasting models even with only 47 installations demonstrates that meaningful value can be created in medium-density regions as well.
Regulatory considerations further support DePIN implementation. The emerging EU Data Act and interoperability frameworks emphasize user consent, privacy preservation, and data portability, all of which align with the DePIN architecture. As a result, decentralized data sharing through tokenized participation can operate within existing regulatory constraints while enhancing grid resilience.
5.5. Limitations and Research Boundaries
Several limitations should be considered when interpreting these results. First, the analysis is restricted to a single geographical region (Utrecht), the relatively homogeneous climate and dense urban layout of which may not reflect conditions in other areas. Spatial correlation patterns, cloud dynamics, and irradiance variability can differ substantially across climates. In addition, the study focuses exclusively on residential-scale PV systems; utility-scale installations may exhibit different spatial and temporal behavior, and the extent to which our results generalize to those settings remains uncertain.
Second, the forecasting horizon examined here is limited to one hour ahead, which is relevant for intraday market decisions but represents only one segment of the forecasting landscape. Very short-term horizons (minutes ahead) or longer-term forecasts (day-ahead) are governed by different physical processes and may exhibit different relationships between network density and accuracy. As a result, the density–accuracy patterns identified in this study should not be assumed to hold uniformly across other horizons.
Finally, the economic model adopts a simplified imbalance pricing scheme based on a single representative average price. While this abstraction helps isolate the effect of forecasting accuracy, real-world settlement systems often include asymmetric pricing, time-dependent penalties, and ancillary services that can amplify or diminish the financial impact of forecast errors. Moreover, the 198 EUR/MWh reference value reflects conditions in the Dutch market during 2023 and may differ substantially in other regulatory or market contexts. Consequently, the economic results should be interpreted as illustrative rather than universally transferable.
5.6. Broader Implications for Energy Transition
The collective results point to broader implications for the future of renewable energy systems. By enabling privacy-preserving, incentive-aligned data sharing, DePINs effectively transform distributed PV assets into a collaborative sensing network. This bottom-up architecture complements traditional centralized grid monitoring and forecasting, offering resilience, redundancy, and cost-effective scalability.
The demonstrated success of ensemble machine learning models highlights the growing importance of AI techniques in managing distributed energy resources. As renewable penetration increases, accurate short-term forecasting will play a critical role in mitigating volatility and reducing infrastructure stress.
Finally, the principles demonstrated here—network-density-driven accuracy improvements, diminishing marginal returns, and decentralized incentive structures—extend naturally to other distributed resources, such as wind turbines, batteries, electric vehicles, and demand-responsive loads. DePIN architectures thus offer a foundational framework for the next generation of decentralized, user-centric, and economically sustainable energy systems.
6. Conclusions
This study presents a systematic analysis of how decentralized data sharing in decentralized physical infrastructure networks (DePINs) can improve both the technical and economic performance of solar power forecasting. Using real-world data from 47 PV systems in Utrecht, we developed a hierarchical forecasting framework that isolates the contributions of historical data (Level 2) and spatial neighbor information (Level 3). The results demonstrate that increasing network density substantially improves forecasting accuracy, with the most pronounced gains occurring when approximately 10–15 neighboring installations are included. These technical improvements translate directly into economic benefits: networked forecasting reduces imbalance costs by up to 45% relative to the non-data-driven Level 1 baseline and by 34% compared with Level 2 solo forecasting. These reductions reflect the strong spatial correlations in PV production within 5–10 km radii, where local cloud dynamics dominate short-term irradiance variability.
The main contributions of this work are threefold. First, we provide an empirical characterization of the relationship between the network density and forecasting accuracy, identifying a clear diminishing-returns pattern beyond 10–15 neighbors. Second, we quantify how the resulting accuracy gains reduce imbalance costs, including a sensitivity analysis demonstrating that the relative financial benefits persist across realistic price-volatility scenarios. Third, we show that DePIN-style data sharing could help overcome operational data fragmentation by enabling privacy-preserving access to distributed PV measurements.
While these findings highlight the potential of DePIN-enabled forecasting, they should not be interpreted as universally transferable. The analysis focuses on a single region, a one-hour forecasting horizon, and residential-scale PV systems. Future work should evaluate the density–accuracy relationship across diverse climates, geographies, and system scales and investigate how advanced spatio-temporal models (e.g., graph neural networks) interact with network density. In addition, real-world DePIN deployments will require careful design of token-based incentives and privacy safeguards, which remain open research directions.
Overall, our results suggest that decentralized data-sharing architectures hold promise for improving short-term forecasting and reducing imbalance costs. Rather than definitive claims of scalability, these findings should be viewed as a foundation for future exploration of DePIN-based forecasting in larger and more heterogeneous energy systems.
Author Contributions
Conceptualization, M.C.; Methodology, M.C. and A.M.; Validation, M.C. and P.P.; Formal analysis, P.P.; Investigation, M.C. and A.M.; Resources, A.M.; Data curation, A.M.; Writing—original draft, M.C. and A.M.; Writing—review & editing, P.P.; Visualization, A.M.; Supervision, M.C. and P.P.; Project administration, M.C.; Funding acquisition, P.P. All authors have read and agreed to the published version of the manuscript.
Funding
Slovenian Research Agency: P2-0270; Ministry of Higher Education, Science and Technology of the Republic of Slovenia: 100-15-0510.
Data Availability Statement
The processed photovoltaic dataset used in this study, including the 15-min aggregated power measurements from 47 residential PV systems in Utrecht (The Netherlands) and the corresponding forecasting results, is openly available at the GitHub repository [79]. The original raw data is publicly available as the Utrecht Solar PV Dataset [66].
Conflicts of Interest
The authors declare no conflicts of interest.
References
- Intergovernmental Panel on Climate Change (IPCC). Technical Summary. In Climate Change 2021—The Physical Science Basis; Cambridge University Press: Cambridge, UK, 2023; pp. 35–144. [Google Scholar] [CrossRef]
- IEA. World Energy Outlook 2022; IEA Report; IEA: Paris, France, 2022. [Google Scholar]
- IEA. Renewable Energy Statistics 2023; IRENA Report; IEA: Paris, France, 2023. [Google Scholar]
- Antonanzas, J.; Pozo-Vázquez, D.; Fernandez-Jimenez, L.A.; Martinez-de Pison, F.J. The value of day-ahead forecasting for photovoltaics in the Spanish electricity market. Sol. Energy 2017, 158, 140–146. [Google Scholar] [CrossRef]
- Diagne, M.; David, M.; Lauret, P.; Boland, J.; Schmutz, N. Review of solar irradiance forecasting methods and a proposition for small-scale insular grids. Renew. Sustain. Energy Rev. 2013, 27, 65–76. [Google Scholar] [CrossRef]
- Morales, J.M.; Conejo, A.J.; Madsen, H.; Pinson, P.; Zugno, M. Integrating Renewables in Electricity Markets: Operational Problems; International Series in Operations Research & Management Science; Springer: Boston, MA, USA, 2014; Volume 205. [Google Scholar] [CrossRef]
- Inman, R.H.; Pedro, H.T.; Coimbra, C.F. Solar forecasting methods for renewable energy integration. Prog. Energy Combust. Sci. 2013, 39, 535–576. [Google Scholar] [CrossRef]
- Lorenz, E.; Scheidsteger, T.; Hurka, J.; Heinemann, D.; Kurz, C. Regional PV power prediction for improved grid integration. Prog. Photovoltaics Res. Appl. 2011, 19, 757–771. [Google Scholar] [CrossRef]
- European Union. Regulation (EU) 2023/2854 on Harmonised Rules on Fair Access to and Use of Data (Data Act); European Union: Brussels, Belgium, 2023. [Google Scholar]
- European Commission. Commission Regulation (EU) 2017/2195 of 23 November 2017 Establishing a Guideline on Electricity Balancing; Official Journal of the European Union: Brussels, Belgium, 2017; pp. 6–53, L 312. [Google Scholar]
- CEER. Data Sharing in the Energy Sector: Best Practices and Recommendations; Technical Report; Council of European Energy Regulators (CEER): Brussels, Belgium, 2022. [Google Scholar]
- European Data Protection Supervisor. Opinion on Smart Metering; Technical Report; EDPS: Brussels, Belgium, 2012. [Google Scholar]
- OECD. Competition and Privacy in Digital Markets: Policy Interactions; Technical Report; Organisation for Economic Co-Operation and Development: Paris, France, 2024. [Google Scholar]
- ENTSO-E. ENTSO-E Transparency Platform. Available online: https://transparency.entsoe.eu/ (accessed on 7 October 2025).
- von der Assen, J.; Killer, C.; De Carli, A.; Stiller, B. Performance Analysis of Decentralized Physical Infrastructure Networks and Centralized Clouds. arXiv 2024, arXiv:2404.08306. [Google Scholar] [CrossRef]
- Helium Systems, Inc. Helium: A Decentralized Wireless Network; Helium Systems, Inc.: San Francisco, CA, USA, 2021. [Google Scholar]
- Hivemapper Inc. Hivemapper Litepaper: A Decentralized Mapping Network; Helium Systems, Inc.: San Francisco, CA, USA, 2023. [Google Scholar]
- Ocean Protocol Foundation. Ocean Protocol: A Decentralized Data Exchange Protocol to Unlock Data for AI; Ocean Protocol Foundation: Singapore, 2020. [Google Scholar]
- Streamr Network. The Streamr Network: A Decentralized Real-Time Data Transport Protocol; Streamr Network: Zug, Switzerland, 2023. [Google Scholar]
- Andoni, M.; Robu, V.; Flynn, D.; Abram, S.; Geach, D.; Jenkins, D.; McCallum, P.; Peacock, A. Blockchain technology in the energy sector: A systematic review of challenges and opportunities. Renew. Sustain. Energy Rev. 2019, 100, 143–174. [Google Scholar] [CrossRef]
- Alladi, T.; Chamola, V.; Rodrigues, J.J.P.C.; Kozlov, S.A. Blockchain in Smart Grids: A Review on Different Use Cases. Sensors 2019, 19, 4862. [Google Scholar] [CrossRef]
- Kairouz, P.; McMahan, H.B.; Avent, B.; Bellet, A.; Bennis, M.; Bhagoji, A.N. Advances and Open Problems in Federated Learning. Found. Trends Mach. Learn. 2021, 14, 1–210. [Google Scholar] [CrossRef]
- Energy Web Foundation. Decentralized Operating System (EW-DOS): Digital Infrastructure for the Energy Transition; Technical Report; Energy Web: Zug, Switzerland, 2020. [Google Scholar]
- Mellit, A.; Pavan, A.M.; Ogliari, E.; Leva, S.; Lughi, V. Advanced Methods for Photovoltaic Output Power Forecasting: A Review. Appl. Sci. 2020, 10, 487. [Google Scholar] [CrossRef]
- Wang, S.; Li, C.; Lim, A. Why Are the ARIMA and SARIMA not Sufficient. arXiv 2019. [Google Scholar] [CrossRef]
- Mellit, A.; Kalogirou, S.A. Artificial intelligence techniques for photovoltaic applications: A review. Prog. Energy Combust. Sci. 2008, 34, 574–632. [Google Scholar] [CrossRef]
- Lee, W.; Kim, K.; Park, J.; Kim, J.; Kim, Y. Forecasting Solar Power Using Long-Short Term Memory and Convolutional Neural Networks. IEEE Access 2018, 6, 73068–73080. [Google Scholar] [CrossRef]
- Jang, S.Y.; Oh, B.T.; Oh, E. A Deep Learning-Based Solar Power Generation Forecasting Method Applicable to Multiple Sites. Sustainability 2024, 16, 5240. [Google Scholar] [CrossRef]
- Bouzerdoum, M.; Mellit, A.; Massi Pavan, A. A hybrid model (SARIMA–SVM) for short-term power forecasting of a small-scale grid-connected photovoltaic plant. Sol. Energy 2013, 98, 226–235. [Google Scholar] [CrossRef]
- Graabak, I.; Svendsen, H.; Korpås, M. Developing a wind and solar power data model for Europe with high spatial-temporal resolution. In Proceedings of the 2016 51st International Universities Power Engineering Conference, UPEC 2016, Coimbra, Portugal, 6–9 September 2016; pp. 1–6. [Google Scholar] [CrossRef]
- Droste, A.M.; Pape, J.J.; Overeem, A.; Leijnse, H.; Steeneveld, G.J.; Van Delden, A.J.; Uijlenhoet, R. Crowdsourcing urban air temperatures through smartphone battery temperatures in São Paulo, Brazil. J. Atmos. Ocean. Technol. 2017, 34, 1853–1866. [Google Scholar] [CrossRef]
- Hintz, K.S.; Vedel, H.; Kaas, E. Collecting and processing of barometric data from smartphones for potential use in numerical weather prediction data assimilation. Meteorol. Appl. 2019, 26, 733–746. [Google Scholar] [CrossRef]
- Simeunović, J.; Schubnel, B.; Alet, P.J.; Carrillo, R.E. Spatio-temporal graph neural networks for multi-site PV power forecasting. IEEE Trans. Sustain. Energy 2021, 13, 1210–1220. [Google Scholar] [CrossRef]
- Meier, F.; Fenner, D.; Grassmann, T.; Otto, M.; Scherer, D. Crowdsourcing air temperature from citizen weather stations for urban climate research. Urban Clim. 2017, 19, 170–191. [Google Scholar] [CrossRef]
- Madaus, L.E.; Mass, C.F. Evaluating Smartphone Pressure Observations for Mesoscale Analyses and Forecasts. Weather. Forecast. 2017, 32, 511–531. [Google Scholar] [CrossRef]
- Gagliardi, G.; Gallelli, V.; Violi, A.; Lupia, M.; Cario, G. Optimal Placement of Sensors in Traffic Networks Using Global Search Optimization Techniques Oriented towards Traffic Flow Estimation and Pollutant Emission Evaluation. Sustainability 2024, 16, 3530. [Google Scholar] [CrossRef]
- Harmon, R.R.; Castro-Leon, E.G.; Bhide, S. Smart cities and the Internet of Things. Portland Int. Conf. Manag. Eng. Technol. 2015, 2015, 485–494. [Google Scholar] [CrossRef]
- Ma, X.; Tao, Z.; Wang, Y.; Yu, H.; Wang, Y. Long short-term memory neural network for traffic speed prediction using remote microwave sensor data. Transp. Res. Part C Emerg. Technol. 2015, 54, 187–197. [Google Scholar] [CrossRef]
- Lv, Y.; Duan, Y.; Kang, W.; Li, Z.; Wang, F.Y. Traffic Flow Prediction with Big Data: A Deep Learning Approach. IEEE Trans. Intell. Transp. Syst. 2015, 16, 865–873. [Google Scholar] [CrossRef]
- Adsuara, J.E.; Perez-Suay, A.; Munoz-Mari, J.; Mateo-Sanchis, A.; Piles, M.; Camps-Valls, G. Nonlinear distribution regression for remote sensing applications. IEEE Trans. Geosci. Remote Sens. 2019, 57, 10025–10035. [Google Scholar] [CrossRef]
- Mateo-Sanchis, A.; Piles, M.; Muñoz-Marí, J.; Adsuara, J.E.; Pérez-Suay, A.; Camps-Valls, G. Synergistic integration of optical and microwave satellite data for crop yield estimation. Remote Sens. Environ. 2019, 234, 111460. [Google Scholar] [CrossRef] [PubMed]
- Zhao, W.; Chuluunbat, G.; Unagaev, A.; Efremova, N. Soil nitrogen forecasting from environmental variables provided by multisensor remote sensing images. arXiv 2024. [Google Scholar] [CrossRef]
- Soussi, A.; Zero, E.; Sacile, R.; Trinchero, D.; Fossa, M. Smart Sensors and Smart Data for Precision Agriculture: A Review. Sensors 2024, 24, 2647. [Google Scholar] [CrossRef]
- Ballandies, M.C.; Wang, H.; Law, A.C.C.; Yang, J.C.; Gösken, C.; Andrew, M. A Taxonomy for Blockchain-based Decentralized Physical Infrastructure Networks (DePIN). arXiv 2023, arXiv:2309.16707. [Google Scholar] [CrossRef]
- Messina, A.; Mettler, M.; Singh, A. Token-Based Coordination of Distributed Physical Infrastructure. J. Networked Syst. 2024, 12, 225–242. [Google Scholar]
- Zhu, T.; Huang, X.; Guo, K.; Xu, Y.; Wang, K. Peer-to-peer energy trading: A review of the literature. Appl. Energy 2020, 268, 114978. [Google Scholar]
- Talari, S.; Shafie-Khah, M.; Siano, P.; Loia, V.; Tommasetti, A.; Catalão, J.P. A Review of Smart Cities Based on the Internet of Things Concept. Energies 2017, 10, 421. [Google Scholar] [CrossRef]
- Atzori, L.; Iera, A.; Morabito, G. The Internet of Things: A survey. Comput. Netw. 2010, 54, 2787–2805. [Google Scholar] [CrossRef]
- Gubbi, J.; Buyya, R.; Marusic, S.; Palaniswami, M. Internet of Things (IoT): A vision, architectural elements, and future directions. Future Gener. Comput. Syst. 2013, 29, 1645–1660. [Google Scholar] [CrossRef]
- Chen, S.; Jiang, M.; Luo, X. Exploring the Security Issues of Real World Assets (RWA). In Proceedings of the DeFi 2024—Proceedings of the Workshop on Decentralized Finance and Security, Salt Lake City, UT, USA, 14–18 October 2024; pp. 31–40. [Google Scholar] [CrossRef]
- Schär, F. Decentralized Finance: On Blockchain- and Smart Contract-Based Financial Markets. SSRN Electron. J. 2020. [Google Scholar] [CrossRef]
- Dzhunev, P. Helium Network—Integration of Blockchain Technologies in the Field of Telecommunications. In Proceedings of the 13th National Conference with International Participation, ELECTRONICA 2022, Sofia, Bulgaria, 19–20 May 2022. [Google Scholar] [CrossRef]
- Čerba, O.; Andrš, T.; Fournier, L.; Vaněk, M. Cartography & Web3. Int. J. Cartogr. 2023, 9, 437–448. [Google Scholar] [CrossRef]
- 2025 Arkreen Network. What Is Arkreen|Arkreen Documentation. Available online: https://docs.arkreen.com/ (accessed on 7 October 2025).
- Perez, R.; Schlemmer, J.; Hemker, K.; Kivalov, S.; Kankiewicz, A.; Dise, J. Solar energy forecast validation for extended areas & economic impact of forecast accuracy. In Proceedings of the 2016 IEEE 43rd Photovoltaic Specialists Conference (PVSC), Portland, OR, USA, 5–10 June 2016; pp. 1119–1124. [Google Scholar] [CrossRef]
- Kraas, B.; Schroedter-Homscheidt, M.; Madlener, R. Economic merits of a state-of-the-art concentrating solar power forecasting system for participation in the Spanish electricity market. Sol. Energy 2013, 93, 244–255. [Google Scholar] [CrossRef]
- Brancucci Martinez-Anido, C.; Botor, B.; Florita, A.R.; Draxl, C.; Lu, S.; Hamann, H.F.; Hodge, B.M. The value of day-ahead solar power forecasting improvement. Sol. Energy 2016, 129, 192–203. [Google Scholar] [CrossRef]
- Goodarzi, S.; Perera, H.N.; Bunn, D. The impact of renewable energy forecast errors on imbalance volumes and electricity spot prices. Energy Policy 2019, 134, 110827. [Google Scholar] [CrossRef]
- Kaur, A.; Nonnenmacher, L.; Pedro, H.T.; Coimbra, C.F. Benefits of solar forecasting for energy imbalance markets. Renew. Energy 2016, 86, 819–830. [Google Scholar] [CrossRef]
- Jónsson, T.; Pinson, P.; Madsen, H. On the market impact of wind energy forecasts. Energy Econ. 2010, 32, 313–320. [Google Scholar] [CrossRef]
- González-Aparicio, I.; Zucker, A. Impact of wind power uncertainty forecasting on the market integration of wind energy in Spain. Appl. Energy 2015, 159, 334–349. [Google Scholar] [CrossRef]
- Pierro, M.; Perez, R.; Perez, M.; Moser, D.; Cornaro, C. Italian protocol for massive solar integration: Imbalance mitigation strategies. Renew. Energy 2020, 153, 725–739. [Google Scholar] [CrossRef]
- Van Der Veen, R.A.; Hakvoort, R.A. Balance responsibility and imbalance settlement in Northern Europe—An evaluation. In Proceedings of the 2009 6th International Conference on the European Energy Market, EEM 2009, Leuven, Belgium, 27–29 May 2009. [Google Scholar] [CrossRef]
- Cui, J.; Gu, N.; Zhao, T.; Wu, C.; Chen, M. Forecast Competition in Energy Imbalance Market. IEEE Trans. Power Syst. 2022, 37, 2397–2413. [Google Scholar] [CrossRef]
- Visser, L.R.; AlSkaif, T.A.; Khurram, A.; Kleissl, J.; van Sark, W.G. Probabilistic solar power forecasting: An economic and technical evaluation of an optimal market bidding strategy. Appl. Energy 2024, 370, 123573. [Google Scholar] [CrossRef]
- Visser, L.R.; Elsinga, B.; Alskaif, T.A.; Van Sark, W.G. Open-source quality control routine and multi-year power generation data of 175 PV systems. J. Renew. Sustain. Energy 2022, 14, 043501. [Google Scholar] [CrossRef]
- Klyve, O.S.; Nygård, M.M.; Riise, H.N.; Fagerström, J.; Marstein, E.S. The value of forecasts for PV power plants operating in the past, present and future Scandinavian energy markets. Sol. Energy 2023, 255, 208–221. [Google Scholar] [CrossRef]
- Das, S.S.; Das, A.; Dawn, S.; Gope, S.; Ustun, T.S. A Joint Scheduling Strategy for Wind and Solar Photovoltaic Systems to Grasp Imbalance Cost in Competitive Market. Sustainability 2022, 14, 5005. [Google Scholar] [CrossRef]
- Salem, T.S.; Kathuria, K.; Ramampiaro, H.; Langseth, H. Forecasting Intra-Hour Imbalances in Electric Power Systems. Proc. AAAI Conf. Artif. Intell. 2019, 33, 9595–9600. [Google Scholar] [CrossRef]
- Moon, H.; Lee, D.; Han, J.; Yoon, Y.; Kim, S. Impact of Imbalance Pricing on Variable Renewable Energies with Different Prediction Accuracies: A Korean Case. Energies 2021, 14, 3976. [Google Scholar] [CrossRef]
- Benallal, H.; Abouelaziz, I.; Mourchid, Y.; Falou, A.A.; Tairi, H.; Riffi, J.; Hassouni, M.E. A new approach for removing point cloud outliers using the standard score. Pattern Recognit. Track. XXXIII 2022, 12101, 56–62. [Google Scholar] [CrossRef]
- Pedregosa, F.; Varoquaux, G.; Gramfort, A.; Michel, V.; Thirion, B.; Grisel, O.; Blondel, M.; Prettenhofer, P.; Weiss, R.; Dubourg, V.; et al. Scikit-learn: Machine learning in Python. J. Mach. Learn. Res. 2011, 12, 2825–2830. [Google Scholar] [CrossRef]
- Haurwitz, B. Isolation in relation to cloud type. J. Atmos. Sci. 1948, 5, 110–113. [Google Scholar] [CrossRef]
- Voyant, C.; Notton, G.; Kalogirou, S.; Nivet, M.L.; Paoli, C.; Motte, F.; Fouilloy, A. Machine learning methods for solar radiation forecasting: A review. Renew. Energy 2017, 105, 569–582. [Google Scholar] [CrossRef]
- Ahmed, R. A survey on solar forecasting: Methods, applications, and challenges. Sol. Energy 2020, 187, 678–713. [Google Scholar]
- Mellit, A.; Pavan, A. An SVM-based model for forecasting solar radiation. Energy Convers. Manag. 2010, 51, 135–145. [Google Scholar]
- Birkeland, D.; AlSkaif, T.; Duivenvoorden, S.; Meeng, M.; Pennings, J.M.E. Quantifying and Modeling Price Volatility in the Dutch Intraday Electricity Market. Energy Rep. 2024, 12, 3830–3842. [Google Scholar] [CrossRef]
- de Boer, S. The Dutch Electricity Sector—Part 4: Changing Electricity Markets Present Opportunities and Risks for Businesses and Households. RaboResearch. 2024. Available online: https://www.rabobank.com/knowledge/d011430987-the-dutch-electricity-sector-part-4-changing-electricity-markets-present-opportunities-and-risks-for-businesses-and-households (accessed on 7 October 2025).
- Corn, M.; Murko, A.; Podržaj, P. DePIN Solar Forecasting Dataset—47 PV Systems (Utrecht, NL). 2025. Available online: https://github.com/markocorn/depin-solar-forecasting-data-47pv (accessed on 30 January 2025).
Disclaimer/Publisher’s Note: The statements, opinions and data contained in all publications are solely those of the individual author(s) and contributor(s) and not of MDPI and/or the editor(s). MDPI and/or the editor(s) disclaim responsibility for any injury to people or property resulting from any ideas, methods, instructions or products referred to in the content. |
© 2025 by the authors. Licensee MDPI, Basel, Switzerland. This article is an open access article distributed under the terms and conditions of the Creative Commons Attribution (CC BY) license (https://creativecommons.org/licenses/by/4.0/).







