Next Article in Journal
Systematic Mapping Study of Sales Forecasting: Methods, Trends, and Future Directions
Next Article in Special Issue
Decentralized Physical Infrastructure Networks (DePINs) for Solar Energy: The Impact of Network Density on Forecasting Accuracy and Economic Viability
Previous Article in Journal / Special Issue
Forecasting Thailand’s Transportation CO2 Emissions: A Comparison among Artificial Intelligent Models
 
 
Font Type:
Arial Georgia Verdana
Font Size:
Aa Aa Aa
Line Spacing:
Column Width:
Background:
Article

Modeling CO2 Emission Forecasting in Energy Consumption of the Industrial Building Sector under Sustainability Policy in Thailand: Enhancing the LISREL-LGM Model

by
Chaiyan Junsiri
1,2,3,*,
Pruethsan Sutthichaimethee
4 and
Nathaporn Phong-a-ran
5
1
Department of Agricultural Engineering, Faculty of Engineering, Khon Kaen University, Khon Kaen 40002, Thailand
2
Agricultural Machinery and Postharvest Technology Center, Khon Kaen University, Khon Kaen 40002, Thailand
3
Postharvest Technology Innovation Center, Science, Research and Innovation Promotion and Utilization Division, Office of the Ministry of Higher Education, Science, Research and Innovation, Bangkok 10400, Thailand
4
Faculty of Economics, Chulalongkorn University, Wang Mai, Khet Pathum Wan, Bangkok 10330, Thailand
5
Faculty of Business Administration and Information Technology, Rajamangala University of Technology Isan, Khon Kaen 40000, Thailand
*
Author to whom correspondence should be addressed.
Forecasting 2024, 6(3), 485-501; https://doi.org/10.3390/forecast6030027
Submission received: 26 April 2024 / Revised: 16 June 2024 / Accepted: 19 June 2024 / Published: 24 June 2024
(This article belongs to the Special Issue Renewable Energy Forecasting: Innovations and Breakthroughs)

Abstract

This research aims to study and develop a model to demonstrate the causal relationships of factors used to forecast CO2 emissions from energy consumption in the industrial building sector and to make predictions for the next 10 years (2024–2033). This aligns with Thailand’s goals for sustainability development, as outlined in the green economy objectives. The research employs a quantitative research approach, utilizing Linear Structural Relationships based on a Latent Growth Model (LISREL-LGM model) which is a valuable tool for efficient country management towards predefined green economy objectives by 2033. The research findings reveal continuous significant growth in the past economic sector (1990–2023), leading to subsequent growth in the social sector. Simultaneously, this growth has had a continuous detrimental impact on the environment, primarily attributed to the economic growth in the industrial building sector. Consequently, the research indicates that maintaining current policies would result in CO2 emissions from energy consumption in the industrial building sector exceeding the carrying capacity. Specifically, the growth rate (2033/2024) would increase by 28.59%, resulting in a surpassing emission of 70.73 Mt CO2 Eq. (2024–2033), exceeding the designated carrying capacity of 60.5 Mt CO2 Eq. (2024–2033). Therefore, the research proposes strategies for country management to achieve sustainability, suggesting the implementation of new scenario policies in the industrial building sector. This course of action would lead to a reduction in CO2 emissions (2024–2033) from energy consumption in the industrial building sector to 58.27 Mt CO2 Eq., demonstrating a decreasing growth rate below the carrying capacity. This underscores the efficacy and appropriateness of the LISREL-LGM model employed in this research for guiding decision making towards green economy objectives in the future.

1. Introduction

The Earth Summit, also known as the Rio Conference or the United Nations Conference on Environment and Development (UNCED), took place in Rio de Janeiro, Brazil, in 1992 [1]. Its objective was to establish strategies for addressing environmental and developmental issues [2]. It marked the first conference to outline comprehensive approaches to addressing environmental challenges within the framework of sustainable development, encompassing the three pillars of sustainable development as follows: social, economic, and environmental dimensions [3,4]. The conference resulted in the establishment of the Commission on Sustainable Development (CSD), comprising 53 member states responsible for sustainable development issues, tasked with monitoring the implementation of the World Summit on Sustainable Development (WSSD) outcomes [5]. The CSD reports its findings to the United Nations General Assembly through the Economic and Social Council (ECOSOC). During the summit, three documents and two agreements were recognized as follows: [3,5,6]
  • The Rio Declaration on Environment and Development, which outlines the rights and responsibilities of the United Nations in carrying out development activities to improve the quality of life for people.
  • The Statement of Forest Principles, providing guidelines for the sustainable management of forest resources.
  • Agenda 21, serving as a blueprint for global action towards sustainable development in the social, economic, and environmental spheres.
  • The United Nations Framework Convention on Climate Change, ratified by Thailand on 28 December 1994.
  • The Convention on Biological Diversity, ratified by Thailand on 29 January 2004.
However, in implementing UNCED since the Rio 1992 conference to Rio +20, the concept of “green economy in the context of sustainable development and poverty eradication” has been proposed. The concept of a green economy is not an entirely academic idea but should be developed based on objectives, principles, and practices according to the framework of the United Nations Conference on Environment and Development (UNCED 1992), particularly the Rio Declaration and Agenda 21, which include the following key principles [2]:
  • Awareness and acknowledgment of the global environmental crisis and the necessity to reform “patterns of production and consumption”.
  • Adherence to the “precautionary principle”.
  • Adherence to the “right to development” and the necessity of development and economic growth in Thailand, which is developing concurrently with social objectives.
Before and during the economic crisis (1997–2001), Thailand found that the efforts in these areas were not sustainably successful. The economy was not growing, and the crisis led Thailand to borrow foreign money to support the economy. Consequently, social development could not progress, and the population lacked security, with continuous health issues. Furthermore, environmental degradation—specifically, high levels of greenhouse gas emissions—occurred. Therefore, Thailand adjusted its national management plan from 2002 onwards, placing significant emphasis on sustainable development [7,8,9]. Policies were devised to ensure fair and transparent operations and to clarify policy implementation for managing Thailand. Thailand accelerated its development by consistently promoting economic growth alongside social development. Consequently, Thailand has achieved significant success, particularly in continuously increasing exports [10,11]. This is evidenced by increased support for exports to various trading partners with a diverse range of products, expanded access to key export markets, increased production capacity for exports, and consistent efforts to build confidence in trading partners regarding product quality. Furthermore, there have been efforts to reduce imports across various product categories and to promote domestic production for self-sufficiency. Furthermore, the government has also intensified efforts to attract foreign investors to invest in various industrial sectors, notably in the industrial building sector, and expanded into various regions across the country. It has been observed that Thailand currently (as of 2023) has seen a significant increase in the industrial building sector by more than tenfold since 2002 [1,12]. The government has consistently promoted key investment sources for industrial building and has reduced various fees, including annual taxes for industrial buildings. Consequently, both domestic investors and global investors have increasingly turned to investing, leading to a significant surge in Gross Domestic Product (GDP) growth rates continuously. This indicates that the Thai government has successfully implemented economic policies [13].
Based on the continuous economic policy implementation leading to sustained growth, the government has similarly propelled social development consistently. This growth stems directly from the impetus generated by economic growth itself, along with efforts to promote, support, and undertake actions fostering social growth across all dimensions. For instance, the government promotes healthcare by ensuring universal access to treatment for all diseases [13,14], enhances safety in all areas continuously, reduces illiteracy rates through educational promotion, supports basic education, ensures income distribution for widespread fairness, and reduces unemployment through job creation and increased income. Consequently, concerning social policies, it can be deemed that the Thai government has implemented measures successfully and in accordance with international agreements [15].
When considering environmental aspects, it is evident that energy consumption has continuously increased, resulting in a corresponding increase in greenhouse gas emissions [13,16]. Specifically, CO2 emissions have shown persistent growth, notably in the industrial building sector, where energy consumption has increased significantly [12,13,17]. These CO2 emissions have escalated more rapidly than in other sectors, surpassing the carrying capacity that Thailand can sustain. Analyses of past data over both medium (1–10 years) and long-term (1–20 years) periods [13,17,18] reveal a high growth rate of CO2 emissions [11]. From these data, it is apparent that government policies regarding environmental management have not been successful.
However, the establishment of sustainability policies must be approached cautiously, with continuous implementation and performance evaluation of plans in the short, medium, and long terms. This is essential to ensure the accuracy of operational directions and the efficiency of implementation, fostering genuine development across economic, social, and environmental dimensions concurrently. Nevertheless, this research has identified numerous challenges in aligning operations with sustainability plans in Thailand, as historical data indicate significant economic and social development but a less synchronous advancement in environmental aspects. Consequently, this research endeavors to address this disparity by introducing a pivotal tool—CO2 emission prediction derived from energy consumption analysis in the industrial building sector. This tool aims to inform future policy formulation and development plans in Thailand. Through a comprehensive review of domestic and international research, it became evident that Thailand lacks research addressing these challenges, particularly in analyzing new scenario policies to strategize national management. Thus, this research identifies a critical gap and employs advanced statistical modeling to ensure the completeness and validity of its findings.

2. Literature Reviews

This literature presents a diverse array of studies exploring the intricate relationships between various variables within the context of building energy efficiency, climate change adaptation, and environmental sustainability. Dicko, Roux, and Peuportier [19] delve into the challenge of achieving net-zero carbon performance in buildings, exemplified by a French residential building case study. The study underscores the importance of incorporating bio-sourced materials and renewable energy systems to mitigate greenhouse gas emissions. It also highlights the necessity of a circular economy approach in construction to further reduce environmental impacts. For the Middle East Gulf states, Kutty, Barakat, Darsaleh, and Kim [20] investigate the implications of climate change on building energy consumption and adaptation measures. The systematic review emphasizes passive design considerations as effective strategies for mitigating climate change effects on building energy use. Consuegra, Ludueña, Frutos, Frutos, Alonso, and Oteiza [21] assess energy improvements achieved through building envelope retrofitting, emphasizing the challenge of quantifying energy savings accurately due to varying occupant behaviors. Seraj, Jahromi, and Amirkhani [22] develop a data-driven AI model for enhancing energy efficiency in UK residential buildings, highlighting the potential of machine learning in predicting energy performance under retrofit scenarios. Bahrami, Soltanifar, Fallahi, Meschi, and Sohani [23] explore the energy and economic advantages of using solar stills for renewable energy-based multi-generation, demonstrating the viability of solar desalination as a cost-effective alternative. Shi, Wang, Xu, Gao, Cao, Luo, Xi, and Zhang [24] examine the ecological compensation standard in Xinjiang, China, emphasizing the need for regionalized accounting frameworks to address ecological deficits and promote sustainable development. Vidal, Minguillón, and Otaegi [25] present a long-term analysis of energy consumption and thermal comfort in a Passivhaus apartment, emphasizing the challenge of overheating in milder climates and advocating for adaptive design strategies. In fact, metaheuristic optimization techniques for energy conservation in buildings are reviewed by Pillay and Saha [26] in highlighting the role of swarm intelligence in optimizing building energy performance. Pierozan, Scolaro, Watzko, and Ghisi [27] evaluate the technical and economic feasibility of nearly zero-energy buildings in Brazil, emphasizing the importance of energy efficiency measures and on-site renewable energy generation. Gassar and Cha [28] review energy prediction techniques for large-scale buildings, identifying research gaps and proposing modifications to enhance prediction accuracy. Ahamed, Guo, and Tanino [29] model heating demands in a Chinese-style solar greenhouse using TRNSYS software (Version 18.0), highlighting the importance of reducing prediction uncertainty in greenhouse microclimates. Li [30] investigates the relationship between economic growth and marine ecological environment in coastal China, highlighting the need for targeted strategies to balance economic development with environmental protection. Habibi and Kahe [31] evaluate the role of green infrastructure in microclimate and building energy efficiency in an arid urban setting, showcasing the potential of sustainable landscaping strategies in mitigating urban heat island effects and reducing energy consumption. Overall, these studies provide valuable insights into the complex interplay between various factors influencing building energy efficiency, climate resilience, and environmental sustainability, underscoring the importance of integrated approaches in addressing contemporary challenges in the built environment.
Moreover, the optimization of energy consumption in industrial buildings is imperative for sustainable development and environmental conservation. Various models and techniques have been proposed to enhance the accuracy of energy consumption prediction and load forecasting in these buildings. Zrira, Idrissi, Farssi, and Khan [32] introduce a deep learning approach combining the Bidirectional Long Short-Term Memory (BiLSTM) model with attention mechanism to forecast Sea Surface Temperature (SST). The Attention-BiLSTM model demonstrates superior prediction outcomes compared to alternative models, highlighting its potential for accurate forecasting. Koukaras, Mustapha, Mystakidis, and Tjortjis [33] focus on short-term load forecasting in the building sector and perform a comparative analysis of machine learning models. Models like HGBR, LGBMR, and ETR show promising results, with the resampled 1 h 1-step-ahead prediction being the most accurate. Tian, Chen, and Zhao [34] address the challenge of accurate energy consumption prediction in large public buildings. Their proposed combined prediction model, incorporating signal decomposition, feature screening, and BiLSTM-Attention mechanism, significantly improves prediction accuracy compared to other methods. Natarajan, Preethaa, Wadhwa, Choi, Chen, Lee, and Mi [35] propose a hybrid deep learning model for energy consumption prediction in buildings, leveraging IoT data and convolutional neural networks combined with LSTM units. The model demonstrates superior performance in accurately predicting energy usage. Also, the impact of weather data errors on building energy predictions is investigated by Li, Wang, Zhang, Xu, and Zhan [36] upon utilizing LSTM models with data from neighboring weather stations. Their findings underscore the correlation between weather errors and energy consumption, emphasizing the importance of accurate weather data. Khadra, Akander, and Myhren [37] evaluate the greenhouse gas payback time of different HVAC systems in renovated multifamily buildings. Their life cycle assessment highlights the environmental benefits of certain HVAC systems, aiding in informed decision making for energy-efficient renovations. Qin, Yu, Li, Li, and Zhang [38] focus on predicting nearly zero-energy building loads using machine learning techniques. Their study emphasizes the importance of feature selection and addresses real-world uncertainties to improve prediction accuracy. Rathinam, Mauer, Bläker, Pasel, Landwehrkamp, Bathen, and Panglisch [39] present a systematic study on the thermal reactivation of activated carbons, aiming to reduce CO2 emissions associated with fresh activated carbon production. Their predictive model optimizes reactivation conditions, achieving significant energy savings. Ji, Cao, and Li [40] propose a multi-task learning and temporal-fusion-transformer-based forecasting model for building power consumption. The MTLTFT model outperforms baseline methods, offering accurate predictions for energy consumption. Dudkina, Crisostomi, and Franco [41] evaluate machine learning algorithms for predicting CO2 levels in buildings, emphasizing the importance of intelligent control systems for energy efficiency and air quality maintenance. Zhao and Fan [42] introduce a hybrid prediction approach for cold load prediction in industrial buildings, combining ISOA, VMD, RF, and BiLSTM-attention. The proposed method demonstrates excellent predictive performance, contributing to energy efficiency and sustainability. Kabir, Hossain, and Andersson [43] present an advanced explainable belief rule-based framework for energy consumption prediction, offering high accuracy and interpretability. The framework outperforms traditional machine learning algorithms in terms of explainability and accuracy. Li, Shi, Sun, Xing, Zhang, and Xue [44] conduct a simulation and forecasting study on the factors affecting PM2.5 emissions related to energy consumption in the Beijing-Tianjin-Hebei region. Their findings underscore the importance of effective management strategies to mitigate PM2.5 pollution. Al-Haija [45] proposes a stochastic estimation framework for the yearly evolution of worldwide electricity consumption, utilizing an autoregressive model to forecast future trends. The framework achieves high accuracy in predicting global electricity consumption trends over four decades. In this part of the literature review, various models and techniques for energy consumption prediction and load forecasting are highlighted in industrial buildings, emphasizing the importance of accurate predictions for sustainable energy management and environmental conservation.
After reviewing literature both domestically and internationally, it was found that the models generated in the past did not consider the problems arising from estimation. If the analysis results in spurious findings, it can lead to errors in the analysis and high forecasting inaccuracies. The models in the past only involved causal analysis, which could not determine the path analysis of latent variables and direct and indirect effects. Moreover, the models in the past could not discover new scenario policies generated from model construction, unlike this research. The researcher identified these shortcomings and developed a LISREL-LGM model to ensure validity and avoid issues like autocorrelation, multicollinearity, and heteroskedasticity. Additionally, this model performs better in forecasting and has higher accuracy compared to past models. For this research, the researcher conducted quantitative research using secondary data from 1990 to 2023. The data were sourced from key agencies directly responsible in Thailand, including the Office of the National Economic and Social Development Council (NESDC) [1], the Thailand Greenhouse Gas Management Organization (a public organization) [2], the Department of Alternative Energy Development and Efficiency [4], and the National Statistical Office, Ministry of Information and Communication Technology [5]. The research steps are illustrated in Figure 1.
Figure 1 illustrates the research process for developing a predictive model of CO2 emissions from energy consumption in the industrial building sector using the LISREL-LGM model. The researcher defined the research steps as follows:
  • Select variables and test for stationarity using unit root tests. If the data are nonstationary, correct them by taking the first difference. If correction is not possible, the variables must be removed from the model, based on the principles of Dickey and Fuller [46,47].
  • Conduct co-integration tests on stationary variables following Johansen’s approach [48,49].
  • Examine the properties of the model and test the validity of the model.
  • Evaluate the performance using statistical measures such as mean absolute percentage error (MAPE) and root mean square error (RMSE) of the LISREL-LGM model against previous models including Ordinary Least Squares (OLS), Back Propagation (BP), Artificial Neural Network (ANN), Adaptive Neuro-Fuzzy Inference System (ANFIS), Grey model, and Autoregressive Integrated Moving Average (ARIMA) models.
  • Forecast CO2 emissions for the upcoming 10 years (2024–2033) and propose new scenario policies.
For this research, the researcher has formulated two hypotheses as follows:
  • Each latent variable has a direct effect relationship with the others.
  • Each latent variable has an indirect effect relationship with the others.

3. The Material and Methods

For this research, the materials and methods were determined by considering the causal factors of the various variables used to construct the model. These variables include dimensions and directions of relationships. This model is referred to as the Linear Structural Relationships based on Latent Growth Model (LISREL-LGM model), with the following details:

3.1. LISREL-LGM Model

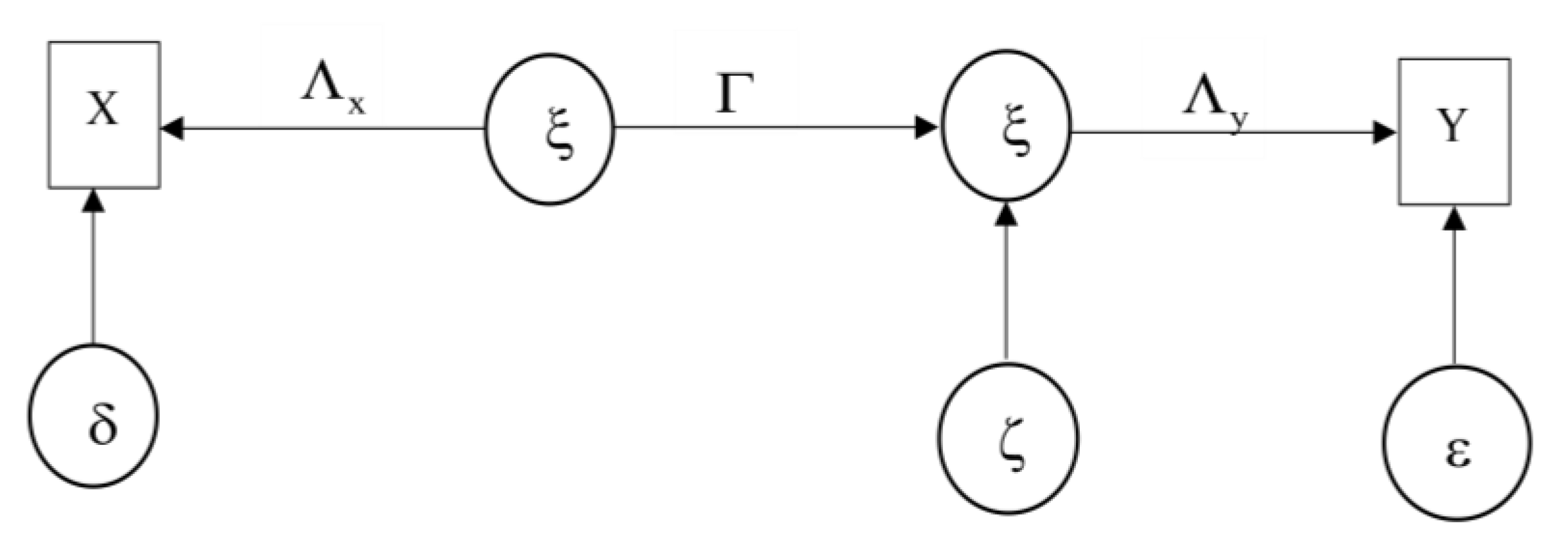
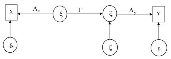
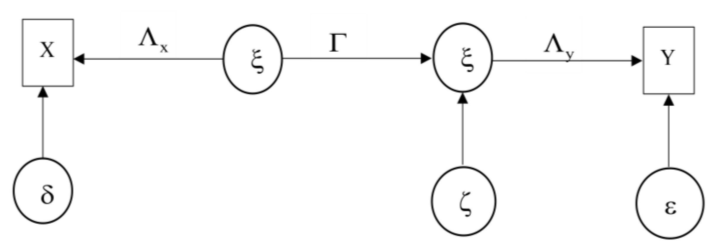
The LISREL-LGM model represents a structural framework of causal relationships comprising latent variables, encompassing both independent and dependent variables. Although these latent variables may not be directly observable, they are important as determinants. This model consists of two parts, the measurement model and the structural equation model, as illustrated in Figure 2 [50].
From Figure 2, it is evident that the LISREL-LGM model consists of two components:
1.
Measurement Model or Confirmatory Factor Models
The measurement model is an analytical model that depicts the relationship between observed variables and latent variables. This model comprises two sets of observable variables: latent exogenous variables, denoted as x = ( x 1 , x 2 , x p ) , and latent endogenous variables, denoted as y = ( y 1 , y 2 , y q ) . These sets of variables, X and Y, are subjected to component analysis, resulting in latent common factors ξ = ( ξ 1 , ξ 2 , ξ m ) and η = ( η 1 , η 2 , η n ) , as well as the specific components (error terms) δ = ( δ 1 , δ 2 , δ p ) and ε = ( ε 1 , ε 2 , ε p ) , respectively, as per the following equations [50,51]:
X = Λ x ξ + δ
Y = Λ y η + ε
From Equations (1) and (2), let X denote the vector of observed values of the independent variable (indexing the latent variable as ξ ), Λ x represent the matrix of regression coefficients or weights of the components showing the relationship between X and ξ , δ denote the vector of errors in equations X , Y denote the vector of values from the measurement of the observed dependent variable (indicating the latent variable that is the dependent variable η ), Λ y , and ε denote the vector of errors in equation Y .
For the preliminary agreement, it adheres to the basic agreement framework of component analysis, such as E ( η ) = 0 , E ( ξ ) = 0 , E ( ε ) = 0 , E ( δ ) = 0 , E ( Γ ε ) = 0 , E ( ξ δ ) = 0 , E ( ε ε ) = θ ε 2 , E ( δ δ ) = θ δ 2 , where θ ε and θ δ are diagonal matrices [50].
2.
Structural Equation Model (SEM)
A structural equation model is a model that specifies the structural relationships between components or latent variables. Latent variables η and ξ generally have oblique relationships both within variable groups and between variable groups. η designates the latent endogenous variables, while ξ designates the latent exogenous variables, as per the equation [15,51].
η = β η + Γ ξ + ζ
From Equation (3), η (eta) is defined as the vector of latent endogenous variables, ξ (xi) is the vector of latent exogenous variables, and β (beta) is the matrix of regression coefficients, which shows the direct influence of η on other η s Therefore, the diagonal elements of matrix β are zero, 0; Γ (gamma) is the matrix of regression coefficients, which shows the direct influence of ξ on η .
Assuming that β * = 1 β is a non-singular matrix and the determinant of the matrix is zero, we can construct the covariance matrices of observable variables. These can be used to build a forecasting model, represented by equations that the researcher employs for predicting future CO2 emissions. This is derived from the following equations [50,51]:
x x = E ( x x ) = E Λ x ξ + δ Λ x ξ + δ
y y = E ( y y ) = E Λ y η + ε Λ y η + ε
x y = E ( x y ) = E Λ x ξ + δ Λ x η + ε
From Equations (4)–(6), the structure is defined as a model specifying the structural relationship between latent variables “ η ” and “ ξ ”, encompassing relationships both within and between variable groups. Here, η s designates the latent endogenous variables, and ξ ' designates the latent exogenous variables. It is observed that when ψ = ( ξ ξ ) and θ ε = E ( ε ε ) , the elements of x x , x y , and x y are functions of the values of Λ x , Λ y , and θ ε is the value of the parameters within various matrices, designated as fixed constants, constrained to be equal to or between certain parameter values, or set as free variables according to the nature of each model.
Consequently, the covariance matrix of the observed variables predicted by this constructed model is characterized as follows [50]:
= x x y x x y y y
The observed covariance matrix of the variables computed from the collected data exhibits the following characteristics:
S = S x x S y x S x y S y y

3.2. Estimation of Parameters from the LISREL-LGM Model

In estimating parameters from the LISREL-LGM model, the researchers have selected the most appropriate approach, which involves models of relationships where one or more dependent variables are related to one or more independent variables. Additionally, they have employed a causal model, which observes the contemporaneous relationships of time series data.
In this research, it is assumed that z t and x t represent stationary time series of dependent and independent variables, respectively. The model demonstrates the relationship between the time series z t and x t as follows [15,16,50]:
z t = ν 0 x t + ν 1 x t 1 + ν 2 x t 2 + + η t
From Equation (9), it expresses that ν ( β ) = ν 0 + ν 1 β + ν 2 β 2 + = j = 0 ν j β j . This expression is referred to as the Transfer Function, while the term η t is referred to the Noise Model. η t is independent of the sequence x t . The coefficients of the Transfer Function, ν 0 , ν 1 , ν 2 , , are called Impulse Response Weights. The Transfer Function model is stable if j = 0 ν j < .
In constructing the Transfer Function model, the Transfer Function ν ( β ) and the Noise Model η t must be defined using information from the sequences z t and x t as follows [15,17]:
ν ( β ) = ϖ h ( β ) β b δ r ( β )
From Equation (10), it is denoted as ϖ h ( β ) = ϖ 0 ϖ 1 β ϖ h β h to represent the h -order polynomial of the time series x , where h denotes the number of past values of the sequence x influencing z t , δ r ( β ) = 1 δ 1 β δ r β r is to represent the r -order polynomial of the sequence z , where r denotes the number of past values of the time series z related to z t . Additionally, b represents the delay parameter, indicating the number of time lags before the variable x affects z . Thus, z is influenced by the values of x b time lags ago ( x t b , x t b 1 , x t b 2 , ) [18].
A crucial tool in determining the relationship between the sequences x t and z t is the Cross-Correlation Function (CCF). It uses the symbol ρ x z . The procedure for model specification is outlined as follows [50,51]:
  • Specify the ARMA model of the sequence x as ϕ x ( β ) x t = θ x ( β ) α 1 and generate the sequence α t as α t = ϕ x ( β ) θ x ( β ) x t , which represents the residual sequence of the model for x t and is white noise with mean = 0 and variance = σ 2 .
  • Generate the sequence β t as β t = ϕ x ( β ) θ x ( β ) z t .
  • Calculate the cross-correlation function between the sequences α t and β t ; ρ α β ( k ) .
  • Determine the values of b, r, and h, preferably from the CCF of α and β , which has a similar pattern to the Impulse Response Weights of the example ( ν k ) compared to the characteristics of Impulse Response Weights.

4. Empirical Analysis

This research study aims to develop a predictive model for CO2 emissions based on energy consumption in the industrial building sector, contributing to the sustainability of development in Thailand. Quantitative research methods were employed, utilizing the LISREL-LGM model. The generated model is intended for forecasting purposes over the next decade (2024–2033). The results of the analysis are detailed as follows:

4.1. Screening of Influencing Factors for Model Input

This research utilized the LISREL-LGM model to construct a predictive model of CO2 emissions from energy consumption in the industrial building sector, aiming to contribute to the sustainable development of Thailand. Latent variables, including economic, were specified in the model, comprising economic ( E c o n o ) , social ( S o c ) , and environmental ( E n v i t ) variables, while the observed variables contain of 14 factors, which are economic indicators, GDP per capita ( Y i ) , urbanization rate ( U ) , new industrial structure ( N i ) , exports ( E M ) , indirect foreign investment ( I f ) , foreign tourists ( F i ) , and industrial building rate ( B u i i ) . The social indicators are employment ( L a r ) , health and illness ( H e a ) , social security ( S e ) , and consumer protection ( Pr o ) . The environmental indicators include Carbon dioxide emissions ( C O 2 ) , energy consumption ( E ) , and energy intensity ( E n i ) . For the analysis in this research, the researchers analyzed the characteristics and relationships of the aforementioned causal factors using the LISREL-LGM model. All indicators employed in this model must be stationary variables at the same level. However, from the analysis results, it was found that all indicators were not stationary at level I(0) at a significance level of α = 0.01. Consequently, the researchers performed first-difference estimation, I(1), and compared the test results with the MacKinnon critical value based on the augmented Dickey–Fuller theory, as shown in Table 1.
Based on Table 1, the researcher examined the properties of various indicators for stationarity. The examination revealed that all indicators were non-stationary at level I(0). Therefore, the researcher had to perform first-difference estimation. It was found that after first-differencing at level I(1), all indicators became stationary. This was evident from the Tau test statistic, which exceeded the MacKinnon critical value with a probability value of 0.000, indicating significance at the first-difference level of α = 0.01, symbolized by ***. Thus, it was deemed appropriate to analyze the relationship between all indicators in the long term. For this research, the co-integration test analysis approach was chosen following the framework proposed by Johansen and Juselius, as shown in Table 2.

4.2. Analysis of Co-Integration

In Table 2, the researcher analyzed the long-term relationship of all indicators that were stationary (stationary at first difference) using co-integration tests. It was found that all indicators exhibited co-integration at a significant level of 1%, as the trace statistic test yielded 255.05 and the maximum Eigen statistic test yielded 120.25, both of which were greater than the MacKinnon critical values at a significant level of 1%. Therefore, all indicators can be utilized for analyzing error correction mechanisms ( E M t 1 ) and examining the influence of causal factors using the LISREL-LGM model, as depicted in Figure 3.

4.3. Formation of Analysis Modeling with the LISREL-LGM Model

The LISREL-LGM model is a structural equation modeling framework comprising 14 indicators representing all causal factors and exhibiting the extent of adaptability towards equilibrium. The results of the analysis are detailed below.
Figure 3 illustrates the causal relationships within the LISREL-LGM model under the framework of sustainability policy with identified latent and observed variables as per Section 3.1. From the results of the research, it was found that the parameter values of the LISREL-LGM model at statistically significant levels of 1% demonstrate high validity and appropriateness. This is evidenced by the goodness of fit indicators, including root mean square error of approximation (RMSEA) and root mean square residual (RMR) values close to 0, and goodness of fit index (GFI) and adjusted goodness of fit index (AGFI) values approaching 1.00. Additionally, the Best Linear Unbiased Estimation (BLUE) test confirms that the LISREL-LGM model possesses the desirable properties of BLUE without encountering errors such as heteroskedasticity, multicollinearity, and autocorrelation. Therefore, based on the LISREL-LGM model, the researchers can infer the following hypotheses: (1) The economic sector has a direct effect on the environmental sector amounting to 59% at a significance level of 1%; (2) the economic sector has a direct effect on the social sector amounting to 38% at a significance level of 1%; (3) the social sector has a direct effect on the environmental sector amounting to 41% at a significance level of 1%; (4) the social sector has a direct effect on the economic sector amounting to 33% at a significance level of 1%; (5) the environmental sector has a direct effect on the social sector amounting to 35% at a significance level of 1%; and (6) the environmental sector has an indirect effect on the economic sector through the social sector amounting to 15% at a significance level of 1%.
For the analysis of adaptability towards equilibrium, it is observed that the environmental sector exhibits the slowest adaptation rate towards equilibrium. Specifically, it is found that the environmental sector only demonstrates an adaptability rate ( E M t 1 ) of 11%, which is considerably lower compared to the economic sector, exhibiting the highest adaptability rate ( E M t 1 ) at 72%, and the social sector, showing a secondary adaptability rate ( E M t 1 ) of 42%. Consequently, based on this research, it is evident that the environmental sector faces substantial challenges in adaptation. Any occurrences of adverse effects in both the medium and long term would significantly hinder the return to its original state, requiring prolonged periods for recovery. This, in turn, could lead to escalating and continuous damage.
Therefore, the researchers employed the LISREL-LGM model to assess performance for forecasting, aiming to instill confidence in its application for future prediction. Performance was compared with previous models utilized, namely the ordinary least square model (OLS model), Neural network model (BP model), artificial neural network model (ANN model), adaptive neuron-fuzzy inference system model (ANFIS model), Grey model, and autoregressive integrate moving average model (ARIMA model). Statistical measures employed for evaluation included MAPE and RMSE, as detailed below.
Table 3 displays the findings obtained from evaluating the performance of the LISREL-LGM model alongside several prior models. These include the Grey model, ARIMA model, ANFIS model, ANN model, BP model, and OLS model. It is noteworthy to understand that the OLS model investigates relationships between multiple variables to estimate or predict the value of one variable based on others that are correlated [52]. The BP model, characterized by a three-layer neural network (input, hidden, and output), connects neurons in the hidden layer through specific weights adjusted by the Adam optimizer using the back-propagation algorithm to optimize parameters until minimal error is achieved [53]. The ANN model is proficient in capturing intricate, nonlinear relationships across multiple inputs and outputs, effectively optimizing, predicting, forecasting, and controlling diverse systems [54]. The ANFIS model integrates ANN and fuzzy logic techniques to harness their respective strengths, enhancing adaptability in learning data patterns and being widely utilized in forecasting applications [55]. The ARIMA model, a cornerstone of Box–Jenkins time series analysis, employs historical data relationships to model data behaviors and provide insights for future forecasts [56], and the Grey model is a conceptual model that integrates both complete and incomplete data types. The data tend to exhibit exponential trends. This model is utilized for forecasting in decision making and development across various industries, such as predicting agricultural product demand, forecasting energy consumption of air conditioners, earthquake planning, and forecasting sales of non-alcoholic beverages [57].
The researcher utilized secondary data spanning from 1990 to 2023 and employed various factors as proposed earlier. The researcher controlled these factors consistently across all forecasting models to ensure fairness and impartiality in comparing performance.
In this regard, the researcher has presented the results of comparing the performance of each model to clearly demonstrate which model is most suitable for future forecasting. However, the researcher will not present the results of the calculations for each model in this paper because the purpose of this research is to demonstrate whether the LISREL-LGM model is suitable for use as the model in this study. The research findings indicate that the LISREL-LGM model has the lowest MAPE and RMSE values, with values of 1.01% and 1.25%, respectively, demonstrating its suitability compared to other models in the past. Hence, the researchers employed the LISREL-LGM model for forecasting CO2 emissions from energy consumption in the industrial building sector for the next 10 years (2024–2033). Furthermore, the analysis results from this research led the researchers to discover a novel inquiry, revealing that the economic sector is the most influential factor in driving changes in the environmental sector. Specifically, it was found that industrial buildings are the most significant indicators affecting the economic sector. Therefore, the researchers can propose setting the industrial building rate as a new scenario policy, as detailed below.

4.4. Forecasting CO2 Emissions from Energy Consumption in the Industrial Building Sector Using the LISREL-LGM Model

In this forecasting endeavor, the researchers applied the LISREL-LGM model to predict CO2 emissions resulting from energy consumption in the industrial building sector over the forthcoming decade (2024–2033). This modeling approach is illustrated in Figure 4.
Figure 4 illustrates the forecast of CO2 emissions from energy consumption in the industrial building sector using the LISREL-LGM model from 2024 to 2033 under sustainability policy. It is found that CO2 emissions consistently increase, as indicated by the solid purple line, with a growth rate (2033–2024) increasing by 28.59%, resulting in a total of 70.73 Mt CO2 Eq. (2024–2033). In fact, Thailand has set a carrying capacity limit of 60.5 Mt CO2 Eq. (2024–2033) [2]. Therefore, in the next 10 years, CO2 emissions from energy consumption in the industrial building sector will exceed the environmental capacity, leading to significant adverse effects. In response, the researcher has proposed a new scenario policy by maintaining the industrial building rate constant. The research findings show that CO2 emissions (2024–2033) from energy consumption in the industrial building sector increase to 58.27 Mt CO2 Eq., as indicated by the light blue line. This rate of increase is lower than the carrying capacity, providing a significant guideline and leading to new discoveries for the researcher.

5. Conclusions and Discussion

This research has developed a novel forecasting model named the LISREL-LGM model. This model incorporates advanced statistical techniques to ensure validity throughout its construction process. Each step of the model development considers validity as a fundamental principle. Furthermore, the properties of all indicators used in this model are thoroughly examined, and potential issues arising from estimation results are closely monitored. This model represents a departure from previous research, serving as a policy-making tool. Significant discoveries have been made through this model, and it possesses distinctive features facilitating its effective application across various sectors and contexts. The software utilized in this research includes LISREL, in conjunction with EVIEWS, chosen for its suitability in handling advanced statistics and ensuring genuine quality. Additionally, this model has been examined and found to be free from issues such as heteroskedasticity, multicollinearity, and autocorrelation.
The research investigates the extent to which various factors contribute to the magnitude of direct and indirect relationships. The researchers identified from the model that the factor exerting the greatest influence on changes in the environmental sector is the economic sector, which has a direct impact. The most significant indicator for this change is the industrial building rate, which exhibits the highest magnitude of influence compared to other indicators in this model. Additionally, the ability to adapt to the equilibrium of the environmental sector is found to be significantly slow, affecting the difficult recovery from severe destruction. Furthermore, the researchers evaluated the performance of the LISREL-LGM model using statistical measures such as mean absolute percentage error (MAPE) and root mean square error (RMSE). In this research, the LISREL-LGM model was compared with previous models including the OLS model, BP model, ANN model, ANFIS model, ARIMA model, and Grey models. The examination results revealed that the LISREL-LGM model exhibited the lowest MAPE and RMSE values, followed by the Grey model, ARIMA model, ANFIS model, ANN model, BP model, and OLS model, respectively. The results of this research indicate that the LISREL-LGM model is the most suitable model compared to previous models. This is because the LISREL-LGM model studies the influence of relationships through causal analysis, including both direct and indirect effects, allowing for a detailed understanding of the magnitude and order of these influences. This is highly beneficial for policy formulation and planning in Thailand, leading to the highest efficiency. Additionally, the model can be used for accurate forecasting, providing Thailand with a crucial tool for national strategic planning. Moreover, the model can discover key approaches for determining new scenario policies based on estimation results, enabling even more precise planning. This demonstrates that the LISREL-LGM model is highly potent and possesses significant validity, making it exceptionally suitable for forecasting, particularly for predicting CO2 emissions from energy consumption in the industrial building sector. When the researcher forecasted CO2 emissions for the period from 2024 to 2033, it was found that CO2 emissions continuously increased, with a growth rate (2033/2024) rising by 28.59%, surpassing the carrying capacity. Therefore, the researcher established a new scenario policy by setting an industrial building rate. This policy resulted in CO2 emissions from energy consumption in the industrial building sector increasing to 58.27 Mt CO2 Eq. by 2033, which shows a slower rate of increase and is below the carrying capacity. This approach provides an important guideline for using the model to inform future policymaking in Thailand.
From the results of this research, the researcher found discoveries that align with the initially set hypotheses and identified the magnitude of the relationships, both direct and indirect effects, at a significant level of 1%. The findings are consistent with the hypotheses and can be summarized as follows: (1) The economic sector has a direct effect on the environmental sector with the highest influence, followed by (2) the social sector having a direct effect on the environmental sector. Additionally, the economic sector has a direct effect on the social sector, (4) the environmental sector has a direct effect on the social sector, (5) the social sector has a direct effect on the economic sector, and finally, (6) the environmental sector has an indirect effect on the economic sector, mediated through the social sector.
Recommendations: The implementation of sustainability policies should adopt the LISREL-LGM model to forecast CO2 emissions resulting from energy consumption in the industrial building sector. This model can then be applied to other sectors due to its suitability and high validity, making it the best model available. Also, this model has not found any problems that cause this model to lack reliability. Historically, Thailand has pursued policies by analyzing and managing the economic, social, and environmental sectors separately. However, no model has been found suitable for application, leading to inaccuracies in policy formulation and a lack of sustainability. Therefore, it is imperative for the government to prioritize the adoption of high-quality models as crucial tools for accurate policy formulation and effective implementation in the future.
The limitation of this research is that Thailand’s sustainable development policy planning overlooks concurrent economic, social, and environmental causative factors, and lacks essential data for crucial indicators such as oil prices. Consequently, new scenario policies may fail to encompass all significant indicators, leading to incomplete policy coverage.

Author Contributions

Conceptualization, C.J., P.S. and N.P.-a.-r.; methodology, C.J., P.S. and N.P.-a.-r.; software, C.J., P.S. and N.P.-a.-r.; validation, C.J., P.S. and N.P.-a.-r.; formal analysis, C.J., P.S. and N.P.-a.-r.; investigation, C.J., P.S. and N.P.-a.-r.; resources, C.J., P.S. and N.P.-a.-r.; data curation, C.J., P.S. and N.P.-a.-r.; writing original draft preparation, C.J., P.S. and N.P.-a.-r.; writing review and editing, C.J. and P.S.; visualization.; supervision, C.J. and P.S.; project administration, C.J. and P.S. All authors have read and agreed to the published version of the manuscript.

Funding

This research received no external funding.

Institutional Review Board Statement

Not applicable.

Informed Consent Statement

Not applicable.

Data Availability Statement

All data used in this study are publicly available and mentioned in the paper.

Acknowledgments

This research was supported by the Postharvest Technology Innovation Center, Science, Research and Innovation Promotion and Utilization Division, Office of the Ministry of Higher Education, Science, Research and Innovation, Thailand, and Agricultural Machinery and Postharvest Technology Center, Khon Kaen University, Thailand.

Conflicts of Interest

The authors declare no conflicts of interest.

References

  1. Office of the National Economic and Social Development Council (NESDC). Available online: https://www.nesdc.go.th/nesdb_en/main.php?filename=index (accessed on 10 February 2024).
  2. Thailand Greenhouse Gas Management Organization (Public Organization). Available online: https://www.tgo.or.th/2023/index.php/th (accessed on 10 February 2024).
  3. The World Bank: Energy Use (Kg of Oil Equivalent Per Capita) Home Page. Available online: https://data.worldbank.org/indicator/EG.USE.PCAP.KG.OE (accessed on 10 February 2024).
  4. Department of Alternative Energy Development and Efficiency. Available online: https://www.dede.go.th/ (accessed on 20 February 2024).
  5. National Statistic Office Ministry of Information and Communication Technology. Available online: https://www.nso.go.th/nsoweb/index?set_lang=en (accessed on 25 February 2024).
  6. Sutthichaimethee, P.; Kubaha, K. The Efficiency of Long-Term Forecasting Model on Final Energy Consumption in Thailand’s Petroleum Industries Sector: Enriching the LT-ARIMAXS Model under a Sustainability Policy. Energies 2018, 11, 2063. [Google Scholar] [CrossRef]
  7. Sutthichaimethee, P.; Chatchorfa, A.; Suyaprom, S. A Forecasting Model for Economic Growth and CO2 Emission Based on Industry 4.0 Political Policy under the Government Power: Adapting a Second-Order Autoregressive-SEM. J. Open Innov. Technol. Mark. Complex. 2019, 5, 69. [Google Scholar]
  8. Sutthichaimethee, J.; Kubaha, K. The Relationship of Causal Factors Affecting the Future Equilibrium Change of Total Final Energy Consumption in Thailand’s Construction Sector under a Sustainable Development Goal: Enriching the SE-VARX Model. Resources 2019, 8, 1. [Google Scholar] [CrossRef]
  9. United Nations Framework Convention on Climate Change, UNFCCC, Bonn, Germany. The Paris Agreement: An Early Assessment. Environ. Policy Law 2014, 44, 485–488. [Google Scholar]
  10. United Nations Framework Convention on Climate Change, UNFCCC, Bonn, Germany, Global Progress in Environmental Law. Environ. Policy Law 2016, 46, 23–27.
  11. Sutthichaimethee, J.; Kubaha, K. Forecasting Energy-Related Carbon Dioxide Emissions in Thailand’s Construction Sector by Enriching the LS-ARIMAXi-ECM Model. Sustainability 2018, 10, 3593. [Google Scholar] [CrossRef]
  12. Pollution Control Department Ministry of Natural Resources and Environment. Enhancement and Conservation of National Environmental Quality Act, B.E. 2535. Available online: https://www.pcd.go.th/ (accessed on 25 February 2024).
  13. Pollution Control Department Ministry of Natural Resources and Environment. Navigation of Thai Waterways Act, B.E. 2546. Available online: https://www.pcd.go.th/ (accessed on 25 February 2024).
  14. Pollution Control Department Ministry of Natural Resources and Environment. Principle 4: In Order to Achieve Sustainable Development, Environmental Protection Shall Constitute an Integral Part of the Development Process and Cannot be Considered in Isolation from it. Available online: http://infofile.pcd.go.th/law/Environmental%20law55_1.pdf?CFID=1741861&CFTOKEN=32274043 (accessed on 25 February 2024).
  15. Sutthichaimethee, P.; Ariyasajjakorn, D. Forecasting Model of GHG Emission in Manufacturing Sectors of Thailand. J. Ecol. Eng. 2017, 18, 18–24. [Google Scholar] [CrossRef][Green Version]
  16. Wang, Z.; Mae, M.; Yamane, T.; Ajisaka, M.; Nakata, T.; Matsuhashi, R. Enhanced Day-Ahead Electricity Price Forecasting Using a Convolutional Neural Network–Long Short-Term Memory Ensemble Learning Approach with Multimodal Data Integration. Energies 2024, 17, 2687. [Google Scholar] [CrossRef]
  17. Yang, Y.; Dong, R.; Ren, X.; Fu, M. Exploring Sustainable Planning Strategies for Carbon Emission Reduction in Beijing’s Transportation Sector: A Multi-Scenario Carbon Peak Analysis Using the Extended STIRPAT Model. Sustainability 2024, 16, 4670. [Google Scholar] [CrossRef]
  18. Gao, Z.; Mo, X.; Li, H. Prediction of PM2.5 Concentration Based on Deep Learning, Multi-Objective Optimization, and Ensemble Forecast. Sustainability 2024, 16, 4643. [Google Scholar] [CrossRef]
  19. Dicko, A.H.; Roux, C.; Peuportier, B. Achieving Net Zero Carbon Performance in a French Apartment Building? Energies 2023, 16, 7608. [Google Scholar] [CrossRef]
  20. Kutty, N.A.; Barakat, D.; Darsaleh, A.O.; Kim, Y.K. A Systematic Review of Climate Change Implications on Building Energy Consumption: Impacts and Adaptation Measures in Hot Urban Desert Climates. Buildings 2024, 14, 13. [Google Scholar] [CrossRef]
  21. Martín-Consuegra, F.; Luduena, C.A.; De Frutos, F.; Frutos, B.; Alonso, C.; Oteiza, I. Expectations and Outcomes when Quantifying Energy Improvements Achieved by Building Envelope Retrofitting. Sustainability 2024, 16, 3214. [Google Scholar] [CrossRef]
  22. Seraj, H.; Bahadori-Jahromi, A.; Amirkhani, S. Developing a Data-Driven AI Model to Enhance Energy Efficiency in UK Residential Buildings. Sustainability 2024, 16, 3151. [Google Scholar] [CrossRef]
  23. Bahrami, A.; Soltanifar, F.; Fallahi, P.; Meschi, S.S.; Sohani, A. Energy and Economic Advantages of Using Solar Stills for Renewable Energy-Based Multi-Generation of Power and Hydrogen for Residential Buildings. Buildings 2024, 14, 1041. [Google Scholar] [CrossRef]
  24. Shi, J.; Wang, T.; Xu, L.; Gao, Z.; Cao, C.; Luo, Y.; Xi, Y.; Zhang, Y. Study on the Ecological Compensation Standard in the Xinjiang Uygur Autonomous Region of China under the Perspective of Natural Capital Supply and Demand. Sustainability 2024, 16, 3078. [Google Scholar] [CrossRef]
  25. Rodríguez-Vidal, I.; Hernández-Minguillón, R.J.; Otaegi, J. Long-Term Analysis of Energy Consumption and Thermal Comfort in a Passivhaus Apartment in Spain. Buildings 2024, 14, 878. [Google Scholar] [CrossRef]
  26. Pillay, T.L.; Saha, A.K. A Review of Metaheuristic Optimization Techniques for Effective Energy Conservation in Buildings. Energies 2024, 17, 1547. [Google Scholar] [CrossRef]
  27. Pierozan, E.; Piccinini Scolaro, T.; Watzko, E.S.; Ghisi, E. Technical and Economic Feasibility of Multi-Family Social Housing and Nearly Zero-Energy Buildings in Southern Brazil. Sustainability 2024, 16, 2608. [Google Scholar] [CrossRef]
  28. Gassar, A.A.A.; Cha, S.H. Energy prediction techniques for large-scale buildings towards a sustainable built environment: A review. Energy Build. 2020, 224, 110238. [Google Scholar] [CrossRef]
  29. Ahamed, M.S.; Guo, H.; Tanino, K. Modeling heating demands in a Chinese-style solar greenhouse using the transient building energy simulation model TRNSYS. J. Build. Eng. 2020, 29, 101114. [Google Scholar] [CrossRef]
  30. Li, C. Relationship between economic growth and marine ecological environment based on VAR models. J. Sea Res. 2024, 197, 102462. [Google Scholar] [CrossRef]
  31. Habibi, A.; Kahe, N. Evaluating the Role of Green Infrastructure in Microclimate and Building Energy Efficiency. Buildings 2024, 14, 825. [Google Scholar] [CrossRef]
  32. Zrira, N.; Idrissi, A.K.; Farssi, R.; Khan, H.A. Time series prediction of sea surface temperature based on BiLSTM model with attention mechanism. J. Sea Res. 2024, 198, 102472. [Google Scholar] [CrossRef]
  33. Koukaras, P.; Mustapha, A.; Mystakidis, A.; Tjortjis, C. Optimizing Building Short-Term Load Forecasting: A Comparative Analysis of Machine Learning Models. Energies 2024, 17, 1450. [Google Scholar] [CrossRef]
  34. Tian, Z.; Chen, D.; Zhao, L. Short-Term Energy Consumption Prediction of Large Public Buildings Combined with Data Feature Engineering and Bilstm-Attention. Appl. Sci. 2024, 14, 2137. [Google Scholar] [CrossRef]
  35. Natarajan, Y.; K. R., S.P.; Wadhwa, G.; Choi, Y.; Chen, Z.; Lee, D.-E.; Mi, Y. Enhancing Building Energy Efficiency with IoT-Driven Hybrid Deep Learning Models for Accurate Energy Consumption Prediction. Sustainability 2024, 16, 1925. [Google Scholar]
  36. Li, G.; Wang, Y.; Zhang, C.; Xu, C.; Zhan, L. Study on the Impact of Building Energy Predictions Considering Weather Errors of Neighboring Weather Stations. Sensors 2024, 24, 1157. [Google Scholar] [CrossRef]
  37. Khadra, A.; Akander, J.; Myhren, J.A. Greenhouse Gas Payback Time of Different HVAC Systems in the Renovation of Nordic District-Heated Multifamily Buildings Considering Future Energy Production Scenarios. Buildings 2024, 14, 413. [Google Scholar] [CrossRef]
  38. Qin, H.; Yu, Z.; Li, Z.; Li, H.; Zhang, Y. Nearly Zero-Energy Building Load Forecasts through the Competition of Four Machine Learning Techniques. Buildings 2024, 14, 147. [Google Scholar] [CrossRef]
  39. Rathinam, K.; Mauer, V.; Bläker, C.; Pasel, C.; Landwehrkamp, L.; Bathen, D.; Panglisch, S. Eliminating Luck and Chance in the Reactivation Process: A Systematic and Quantitative Study of the Thermal Reactivation of Activated. Carbons. C 2023, 9, 115. [Google Scholar] [CrossRef]
  40. Ji, W.; Cao, Z.; Li, X. Multi-Task Learning and Temporal-Fusion-Transformer-Based Forecasting of Building Power Consumption. Electronics 2023, 12, 4656. [Google Scholar] [CrossRef]
  41. Dudkina, E.; Crisostomi, E.; Franco, A. Prediction of CO2 in Public Buildings. Energies 2023, 16, 7582. [Google Scholar] [CrossRef]
  42. Zhao, W.; Fan, L. Short-Term Load Forecasting Method for Industrial Buildings Based on Signal Decomposition and Composite Prediction Model. Sustainability 2024, 16, 2522. [Google Scholar] [CrossRef]
  43. Kabir, S.; Hossain, M.S.; Andersson, K. An Advanced Explainable Belief Rule-Based Framework to Predict the Energy Consumption of Buildings. Energies 2024, 17, 1797. [Google Scholar] [CrossRef]
  44. Li, D.; Shi, Y.; Sun, Y.; Xing, Y.; Zhang, R.; Xue, J. Simulation and Forecasting Study on the Influential Factors of PM2.5 Related to Energy Consumption in the Beijing–Tianjin–Hebei Region. Sustainability 2024, 16, 3152. [Google Scholar] [CrossRef]
  45. Abu Al-Haija, Q. A Stochastic Estimation Framework for Yearly Evolution of Worldwide Electricity Consumption. Forecasting 2021, 3, 256–266. [Google Scholar] [CrossRef]
  46. Dickey, D.A.; Fuller, W.A. Likelihood ratio statistics for autoregressive time series with a unit root. Econometrica 1981, 49, 1057–1072. [Google Scholar] [CrossRef]
  47. MacKinnon, J. Critical Values for Cointegration Test in Long-Run Economic Relationships; Engle, R., Granger, C., Eds.; Oxford University Press: Oxford, UK, 1991. [Google Scholar]
  48. Johansen, S. Likelihood-Based Inference in Cointegrated Vector Autoregressive Models; Oxford University Press: New York, NY, USA, 1995. [Google Scholar]
  49. Johansen, S.; Juselius, K. Maximum likelihood estimation and inference on cointegration with applications to the demand for money. Oxf. Bull. Econ. Stat. 1990, 52, 169–210. [Google Scholar] [CrossRef]
  50. Enders, W. Applied Econometrics Time Series; Wiley Series in Probability and Statistics; University of Alabama: Tuscaloosa, AL, USA, 2010. [Google Scholar]
  51. Harvey, A.C. Forecasting, Structural Time Series Models and the Kalman Filter; Cambridge University Press: Cambridge, UK, 1990. First published in 1989. [Google Scholar]
  52. Luo, Z.; Yang, X. Interrelationships between Urbanization and Ecosystem Services in the Urban Agglomeration around Poyang Lake and Its Zoning Management at an Integrated Multi-Scale. Sustainability 2024, 16, 5128. [Google Scholar] [CrossRef]
  53. Wang, Y.; Yao, Y.; Zou, Q.; Zhao, K.; Hao, Y. Forecasting a Short-Term Photovoltaic Power Model Based on Improved Snake Optimization, Convolutional Neural Network, and Bidirectional Long Short-Term Memory Network. Sensors 2024, 24, 3897. [Google Scholar] [CrossRef]
  54. Kusonkhum, W.; Srinavin, K.; Chaitongrat, T. The Adoption of a Big Data Approach Using Machine Learning to Predict Bidding Behavior in Procurement Management for a Construction Project. Sustainability 2023, 15, 12836. [Google Scholar] [CrossRef]
  55. Zhang, Z.; Nan, Q. Adaptive Network-Based Fuzzy Inference System–Proportional–Integral– Derivative Controller Based on FPGA and Its Application in Radiofrequency Ablation Temperature Control. Appl. Sci. 2024, 14, 4510. [Google Scholar] [CrossRef]
  56. Yang, J.; Kim, J.; Ryu, H.; Lee, J.; Park, C. Predicting Car Rental Prices: A Comparative Analysis of Machine Learning Models. Electronics 2024, 13, 2345. [Google Scholar] [CrossRef]
  57. Zhian, T.; Hashemi Monfared, S.A.; Rashki, M.; Azizyan, G. Enhancing Decision Fusion for Wastewater Treatment System Selection Using Monte Carlo Simulation and Gray Analytic Hierarchy Process. Water 2024, 16, 1709. [Google Scholar] [CrossRef]
Figure 1. Research process.
Figure 1. Research process.
Forecasting 06 00027 g001
Figure 2. The general LISREL-LGM model.
Figure 2. The general LISREL-LGM model.
Forecasting 06 00027 g002
Figure 3. The causal relationship in the LISREL-LGM model. ** denotes the 95% confidence interval, while *** denotes the 99% confidence interval.
Figure 3. The causal relationship in the LISREL-LGM model. ** denotes the 95% confidence interval, while *** denotes the 99% confidence interval.
Forecasting 06 00027 g003
Figure 4. The forecasting results of CO2 emission from 2024 to 2033 in Thailand.
Figure 4. The forecasting results of CO2 emission from 2024 to 2033 in Thailand.
Forecasting 06 00027 g004
Table 1. Stationary at first difference I (1).
Table 1. Stationary at first difference I (1).
StationaryMacKinnon Critical Value
VariablesTau Test1%5%10%
Δ ln ( Y i ) −5.15 ***−4.50−3.75−2.95
Δ ln ( U ) −5.29 ***−4.50−3.75−2.95
Δ ln ( Ni ) −5.05 ***−4.50−3.75−2.95
Δ ln ( EM ) −4.77 ***−4.50−3.75−2.95
Δ ln ( If ) −5.05 ***−4.50−3.75−2.95
Δ ln ( Fi ) −4.99 ***−4.50−3.75−2.95
Δ ln ( B u i i ) −5.95 ***−4.50−3.75−2.95
Δ ln ( Lar ) −4.75 ***−4.50−3.75−2.95
Δ ln ( Hea ) −4.80 ***−4.50−3.75−2.95
Δ ln ( Se ) −4.95 ***−4.50−3.75−2.95
Δ ln ( Pro ) −5.05 ***−4.50−3.75−2.95
Δ ln ( C O 2 ) −5.75 ***−4.50−3.75−2.95
Δ ln ( E ) −5.92 ***−4.50−3.75−2.95
Δ ln ( Eni ) −5.01 ***−4.50−3.75−2.95
Note: Yi is the per capita GDP, U is the urbanization rate, N i is the industrial structure, E M is the is the net exports, I f is the indirect foreign investment, F i is the foreign tourists, B u i i is the industrial building rate, L a r is the employment, H e a is the health and illness, S e is the social security, Pr o is the consumer protection, C O 2 is the carbon dioxide emissions, E is the energy consumption, E n i is the energy intensity, and *** denotes a significance, α = 0.01.
Table 2. Co-integration test.
Table 2. Co-integration test.
VariablesCo-Integration TestMacKinnon Critical Value
Δ ln ( Yi ) , Δ ln ( U ) , Δ ln ( Ni ) , Δ ln ( EM ) , Δ ln ( If ) , Δ ln ( Fi ) , Δ ln ( B u i i ) , Δ ln ( Lar ) , Δ ln ( Hea ) , Δ ln ( Se ) , Δ ln ( Pro ) , Δ ln ( CO 2 ) , Δ ln ( E ) , Δ ln ( Eni ) Trace statistic testMax-Eigen statistic test1%5%
255.05 ***120.25 ***25.0511.20
*** denotes significance α = 0.01.
Table 3. Performance measurement results for forecasting.
Table 3. Performance measurement results for forecasting.
Forecasting ModelMAPE (%)RMSE (%)
OLS model 20.0522.42
BP model13.5118.45
ANN model11.5012.50
ANFIS model11.0511.95
ARIMA model10.5511.75
Grey model5.558.20
LISREL-LGM model1.011.25
Disclaimer/Publisher’s Note: The statements, opinions and data contained in all publications are solely those of the individual author(s) and contributor(s) and not of MDPI and/or the editor(s). MDPI and/or the editor(s) disclaim responsibility for any injury to people or property resulting from any ideas, methods, instructions or products referred to in the content.

Share and Cite

MDPI and ACS Style

Junsiri, C.; Sutthichaimethee, P.; Phong-a-ran, N. Modeling CO2 Emission Forecasting in Energy Consumption of the Industrial Building Sector under Sustainability Policy in Thailand: Enhancing the LISREL-LGM Model. Forecasting 2024, 6, 485-501. https://doi.org/10.3390/forecast6030027

AMA Style

Junsiri C, Sutthichaimethee P, Phong-a-ran N. Modeling CO2 Emission Forecasting in Energy Consumption of the Industrial Building Sector under Sustainability Policy in Thailand: Enhancing the LISREL-LGM Model. Forecasting. 2024; 6(3):485-501. https://doi.org/10.3390/forecast6030027

Chicago/Turabian Style

Junsiri, Chaiyan, Pruethsan Sutthichaimethee, and Nathaporn Phong-a-ran. 2024. "Modeling CO2 Emission Forecasting in Energy Consumption of the Industrial Building Sector under Sustainability Policy in Thailand: Enhancing the LISREL-LGM Model" Forecasting 6, no. 3: 485-501. https://doi.org/10.3390/forecast6030027

APA Style

Junsiri, C., Sutthichaimethee, P., & Phong-a-ran, N. (2024). Modeling CO2 Emission Forecasting in Energy Consumption of the Industrial Building Sector under Sustainability Policy in Thailand: Enhancing the LISREL-LGM Model. Forecasting, 6(3), 485-501. https://doi.org/10.3390/forecast6030027

Article Metrics

Back to TopTop