An In-Depth Look at Rising Temperatures: Forecasting with Advanced Time Series Models in Major US Regions
Abstract
1. Introduction
- 1.
- Autoregressive Integrated Moving Average
- 2.
- Exponential Smoothing
- 3.
- Multilayer Perceptron
- 4.
- Gaussian Processes
2. Materials and Methods
2.1. Data and Study Areas
- Houston
- Chicago
- Boston
- San Francisco
- Miami
2.2. Time Series Forecasting Models
2.2.1. Autoregressive Integrated Moving Average
- 1.
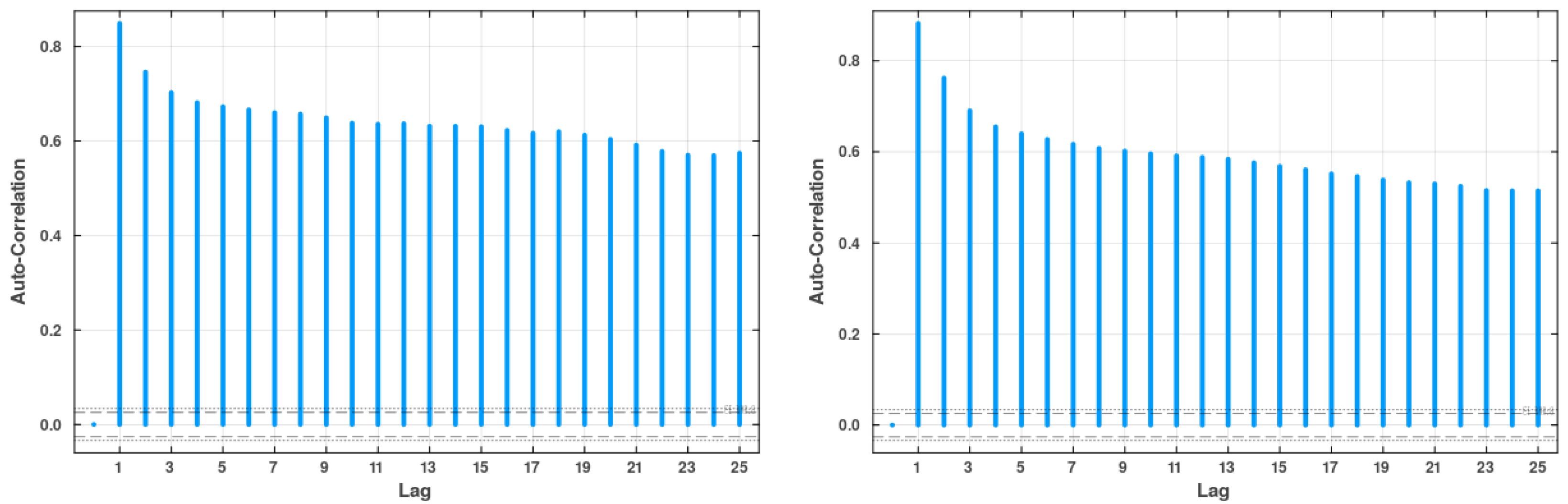
- Identification stage: Ensuring that the time series is stationary. The Augmented Dickey–Fuller (ADF) test determines whether the time series is stationary. The autocorrelation function (ACF) and the partial autocorrelation function (PACF) are used to identify the appropriate AR, MA, or ARMA models. The ACF assesses the correlation across all lags or intervals between observations, while the PACF focuses on the direct correlation at specific lags, accounting for the influence of intermediate lags.
- 2.
- Estimation Stage: Estimating the model parameters using goodness-of-fit tests to determine p, d, and q. The Akaike Information Criterion (AIC) and the Bayesian Information Criterion (BIC) are commonly used for model selection:The AIC measures the information value of the model using maximum likelihood estimates, denoted as L, and the number of parameters in the model, denoted as k. The BIC is similar to the AIC but includes a larger penalty term for the number of observations, denoted as n.
- 3.
- Forecasting Stage: Using the fitted model to forecast future values of time series.
2.2.2. Exponential Smoothing
2.2.3. Multilayer Perceptron
2.2.4. Gaussian Processes
2.2.5. Model Selection Criterion
3. Results
3.1. Hyperparameters Optimization
3.1.1. Autoregressive Integrated Moving Average
3.1.2. Exponential Smoothing
3.1.3. Multilayer Perceptrons
3.1.4. Gaussian Processes
3.2. Comparative Forecasting Performance
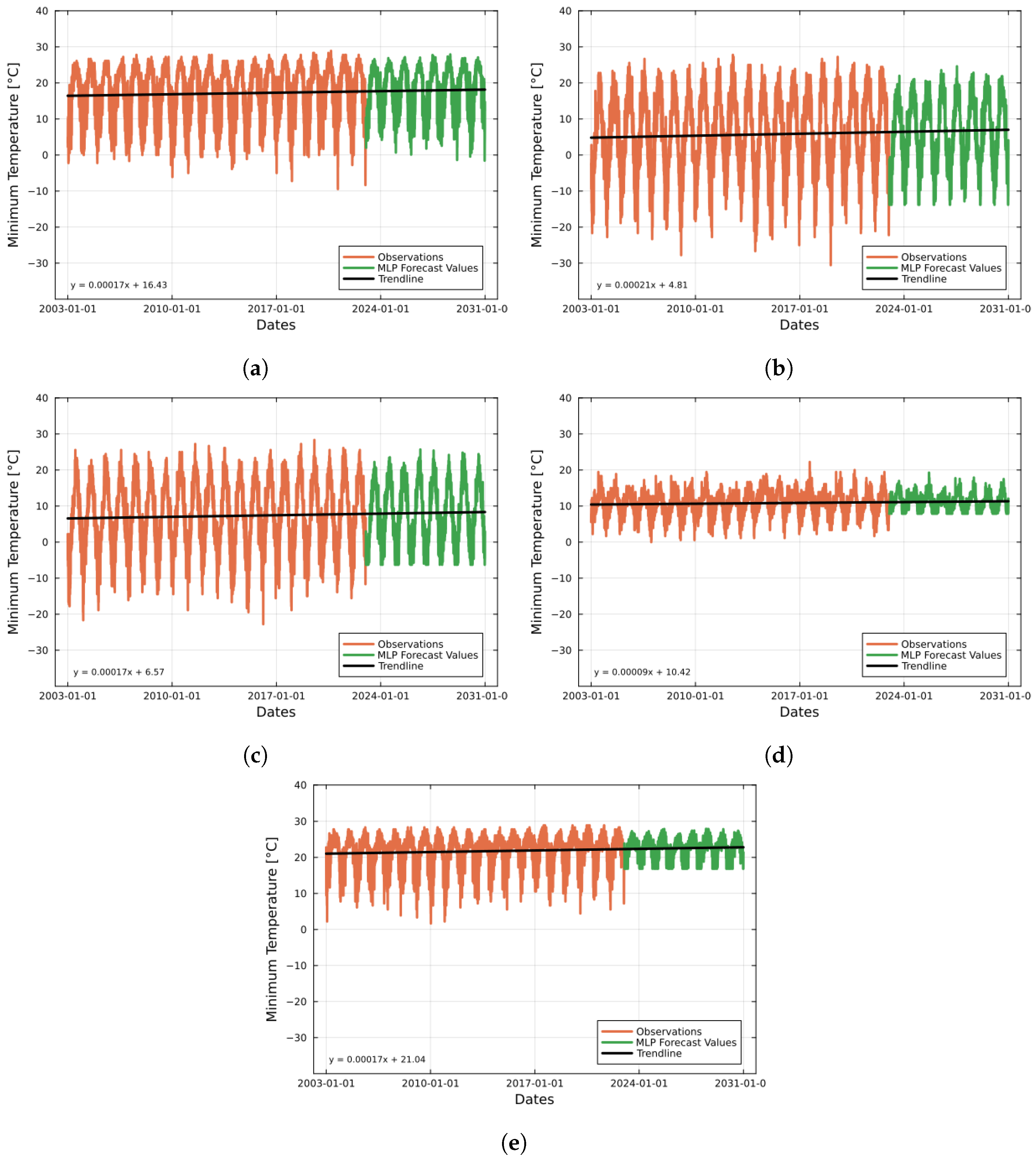
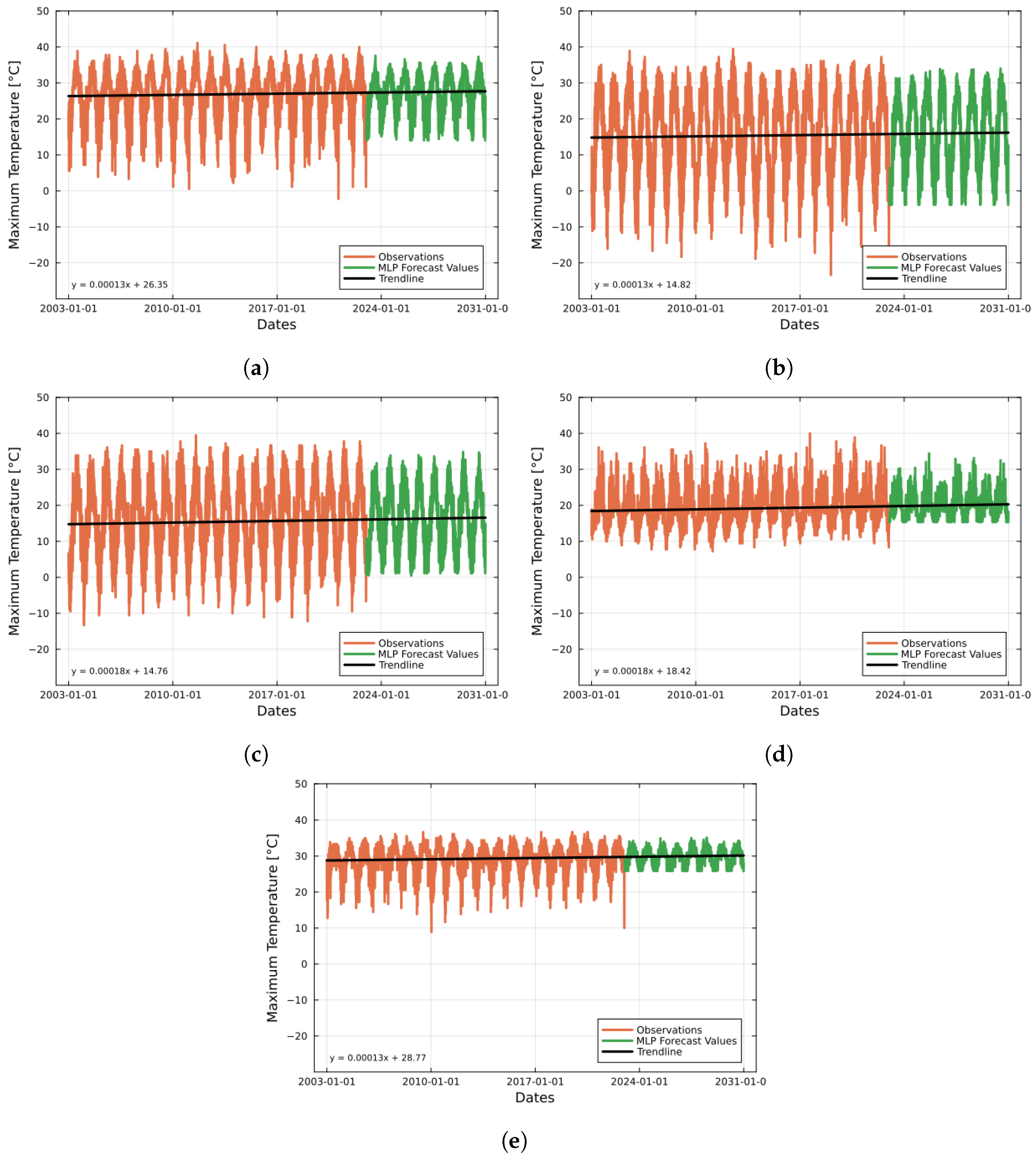
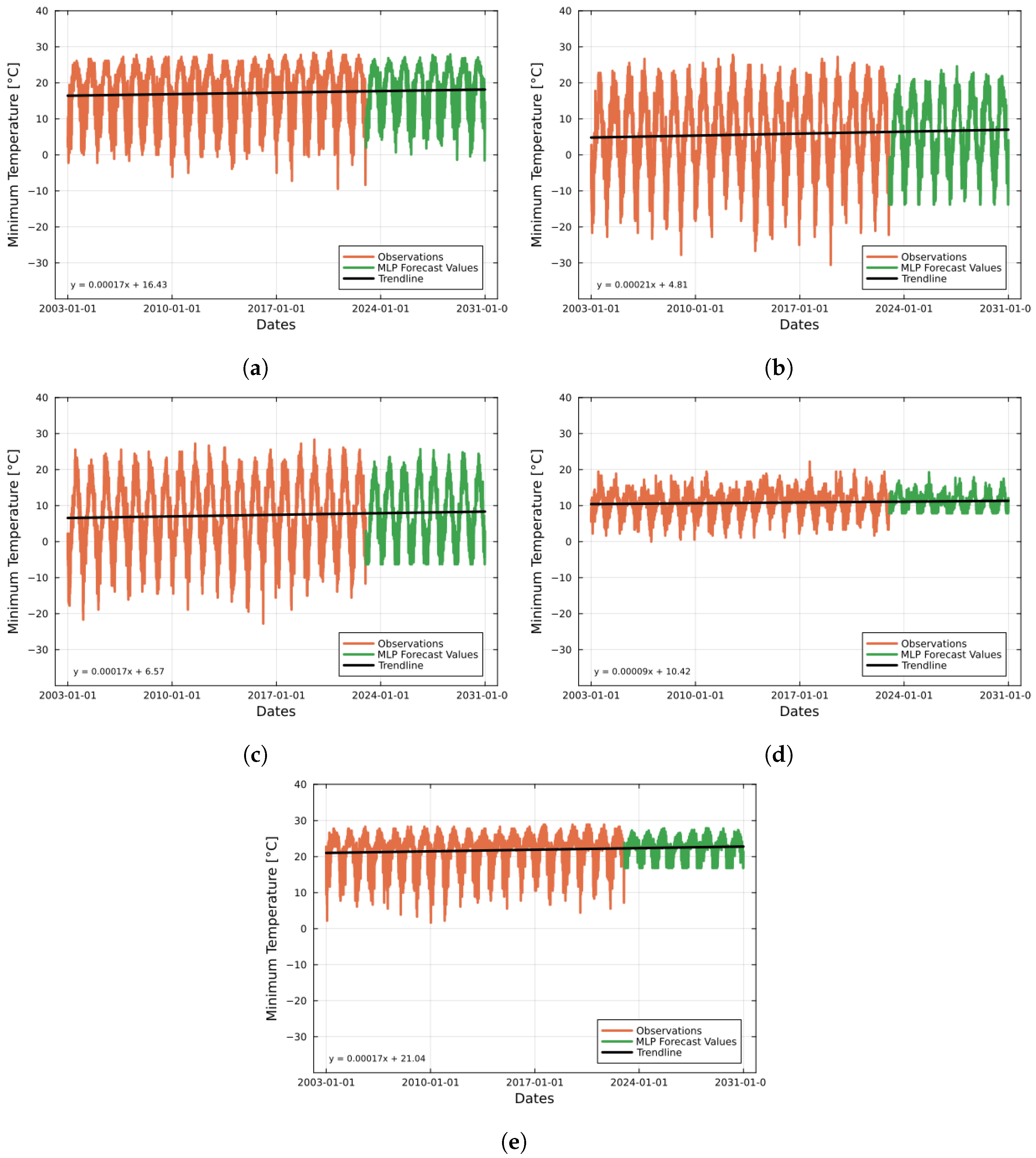
3.3. Temperature Projections
4. Discussion and Conclusions
Author Contributions
Funding
Data Availability Statement
Conflicts of Interest
Acronyms
| ADF | Augmented Dickey–Fuller Test |
| ACF | Auto-Correlation Function |
| AIC | Akaike Information Criterion |
| ARIMA | Autoregressive Integrated Moving Average |
| BIC | Bayesian Information Criterion |
| ETS | Exponential Smoothing |
| GP | Gaussian Processes |
| MAE | Mean Absolute Error |
| MSE | Mean Squared Error |
| MLP | Multilayer Perceptron |
| PACF | Partial Autocorrelation Function |
| ReLu | Rectified Linear Unit |
| RMSE | Root Mean Squared Error |
| TES | Triple Exponential Smoothing |
Appendix A
Appendix A.1. ACF and PACF Plots for Maximum and Minimum Temperatures of the Four Remaining Cities
Appendix A.2. Time Series Decomposition Plots for Maximum and Minimum Temperatures of the Four Remaining Cities
References
- United Nations. Framework Convention on Climate Change; Adoption of the Paris Agreement. 2015. Available online: https://unfccc.int/sites/default/files/l09r01.pdf (accessed on 16 July 2024).
- Pretis, F.; Schwarz, M.; Tang, K.; Haustein, K.; Allen, M.R. Uncertain impacts on economic growth when stabilizing global temperatures at 1.5 °C or 2 °C warming. Philos. Trans. R. Soc. A Math. Phys. Eng. Sci. 2018, 376, 20160460. [Google Scholar] [CrossRef] [PubMed]
- Jacob, D.; Kotova, L.; Teichmann, C.; Sobolowski, S.P.; Vautard, R.; Donnelly, C.; Koutroulis, A.G.; Grillakis, M.G.; Tsanis, I.K.; Damm, A.; et al. Climate Impacts in Europe Under +1.5 °C Global Warming. Earth’s Future 2018, 6, 264–285. [Google Scholar] [CrossRef]
- Döll, P.; Trautmann, T.; Gerten, D.; Schmied, H.M.; Ostberg, S.; Saaed, F.; Schleussner, C.F. Risks for the global freshwater system at 1.5 °C and 2 °C global warming. Environ. Res. Lett. 2018, 13, 044038. [Google Scholar] [CrossRef]
- Ebi, K.L.; Hasegawa, T.; Hayes, K.; Monaghan, A.; Paz, S.; Berry, P. Health risks of warming of 1.5 °C, 2 °C, and higher, above pre-industrial temperatures. Environ. Res. Lett. 2018, 13, 063007. [Google Scholar] [CrossRef]
- Intergovernmental Panel on Climate Change (IPCC). Summary for policymakers. In Global Warming of 1.5 °C: IPCC Special Report on Impacts of Global Warming of 1.5 °C above Pre-Industrial Levels in Context of Strengthening Response to Climate Change, Sustainable Development, and Efforts to Eradicate Poverty; Masson-Delmotte, V., Zhai, P., Pörtner, H.O., Roberts, D., Skea, J., Shukla, P., Pirani, A., Moufouma-Okia, W., Péan, C., Pidcock, R.S.C., et al., Eds.; Cambridge University Press: Cambridge, UK, 2022; pp. 1–24. [Google Scholar] [CrossRef]
- Arnell, N.W.; Lowe, J.A.; Lloyd-Hughes, B.; Osborn, T.J. The impacts avoided with a 1.5 °C climate target: A global and regional assessment. Clim. Chang. 2018, 147, 61–76. [Google Scholar] [CrossRef]
- Shi, C.; Jiang, Z.H.; Chen, W.L.; Li, L. Changes in temperature extremes over China under 1.5 °C and 2 °C global warming targets. Adv. Clim. Chang. Res. 2018, 9, 120–129. [Google Scholar] [CrossRef]
- Vose, R.S.; Easterling, D.R.; Kunkel, K.E.; LeGrande, A.N.; Wehner, M.F. Temperature changes in the United States. In Climate Science Special Report: Fourth National Climate Assessment; Wuebbles, D.J., Fahey, D.W., Hibbard, K.A., Dokken, D.J., Stewart, B.C., Maycock, T.K., Eds.; U.S. Global Change Research Program: Washington, DC, USA, 2017; Volume 1, pp. 185–206. [Google Scholar] [CrossRef]
- Chattopadhyay, S.; Edwards, D.R. Long-Term Trend Analysis of Precipitation and Air Temperature for Kentucky, United States. Climate 2016, 4, 10. [Google Scholar] [CrossRef]
- Lee, J.; Li, S.; Lund, R. Trends in Extreme U.S. Temperatures. J. Clim. 2014, 27, 4209–4225. [Google Scholar] [CrossRef]
- Kunkel, K.E.; Vose, R.S.; Stevens, L.E.; Knight, R.W. Is the monthly temperature climate of the United States becoming more extreme? Geophys. Res. Lett. 2015, 42, 629–636. [Google Scholar] [CrossRef]
- National Centers for Environmental Information. Climate at a Glance. Available online: https://www.ncei.noaa.gov/access/monitoring/climate-at-a-glance/ (accessed on 12 July 2024).
- Lai, Y.; Dzombak, D.A. Use of the Autoregressive Integrated Moving Average (ARIMA) Model to Forecast Near-Term Regional Temperature and Precipitation. Weather Forecast. 2020, 35, 959–976. [Google Scholar] [CrossRef]
- Muhamad, N.S.; Din, A.M. Exponential smoothing techniques on daily temperature level data. In Proceedings of the 6th International Conference on Computing and Informatics, Kuala Lumpur, Malaysia, 25–27 April 2017; Volume 217, pp. 62–68. [Google Scholar]
- Medar, R.; Angadi, A.B.; Niranjan, P.Y.; Tamase, P. Comparative study of different weather forecasting models. In Proceedings of the 2017 International Conference on Energy, Communication, Data Analytics and Soft Computing (ICECDS), Chennai, India, 1–2 August 2017; pp. 1604–1609. [Google Scholar] [CrossRef]
- Faraway, J.; Chatfield, C. Time Series Forecasting with Neural Networks: A Comparative Study Using the Air Line Data. J. R. Stat. Soc. Ser. C Appl. Stat. 1998, 47, 231–250. [Google Scholar] [CrossRef]
- Ahmed, N.K.; Atiya, A.F.; Gayar, N.E.; El-Shishiny, H. An Empirical Comparison of Machine Learning Models for Time Series Forecasting. Econ. Rev. 2010, 29, 594–621. [Google Scholar] [CrossRef]
- Kumar, N.; Middey, A. Extreme climate index estimation and projection in association with enviro-meteorological parameters using random forest-ARIMA hybrid model over the Vidarbha region, India. Environ. Monit. Assess. 2023, 195, 380. [Google Scholar] [CrossRef] [PubMed]
- Shukur, O.B.; Lee, M.H. Daily wind speed forecasting through hybrid KF-ANN model based on ARIMA. Renew. Energy 2015, 76, 637–647. [Google Scholar] [CrossRef]
- Dankwa, P.; Cudjoe, E.; Amuah, E.E.Y.; Kazapoe, R.W.; Agyemang, E.P. Analyzing and forecasting rainfall patterns in the Manga-Bawku area, northeastern Ghana: Possible implication of climate change. Environ. Chall. 2021, 5, 100354. [Google Scholar] [CrossRef]
- Fatima, S.; Ali, S.S.; Zia, S.S.; Hussain, E.; Fraz, T.R.; Khan, M.S. Forecasting carbon dioxide emission of Asian countries using ARIMA and simple exponential smoothing models. Int. J. Econ. Environ. Geol. 2019, 10, 64–69. [Google Scholar]
- Van Rossum, G.; Drake, F.L. Python 3 Reference Manual; CreateSpace: Scotts Valley, CA, USA, 2009. [Google Scholar]
- Bezanson, J.; Karpinski, S.; Shah, V.B.; Edelman, A. Julia: A Fast Dynamic Language for Technical Computing. arXiv 2012, arXiv:1209.5145. [Google Scholar]
- National Centers for Environmental Information. Climate Data Online. Available online: https://www.ncdc.noaa.gov/cdo-web/ (accessed on 19 June 2024).
- United States Census Bureau. Geographic Levels. 2021. Available online: https://www.census.gov/programs-surveys/economic-census/guidance-geographies/levels.html (accessed on 19 June 2024).
- Beck, H.E.; Zimmermann, N.E.; McVicar, T.R.; Vergopolan, N.; Berg, A.; Wood, E.F. Present and future Köppen-Geiger climate classification maps at 1-km resolution. Sci. Data 2018, 5, 180214. [Google Scholar] [CrossRef]
- Kottek, M.; Grieser, J.; Beck, C.; Rudolf, B.; Rubel, F. World Map of the Köppen? Geiger climate classification updated. Meteorol. Z. 2006, 15, 259–263. [Google Scholar] [CrossRef]
- Peel, M.C.; Finlayson, B.L.; McMahon, T.A. Updated world map of the Köppen-Geiger climate classification. Hydrol. Earth Syst. Sci. 2007, 11, 1633–1644. [Google Scholar] [CrossRef]
- Ansel, J.; Yang, E.; He, H.; Gimelshein, N.; Jain, A.; Voznesensky, M.; Bao, B.; Bell, P.; Berard, D.; Burovski, E.; et al. PyTorch 2: Faster Machine Learning Through Dynamic Python Bytecode Transformation and Graph Compilation. In Proceedings of the 29th ACM International Conference on Architectural Support for Programming Languages and Operating Systems (ASPLOS’24), La Jolla, CA, USA, 27 April–1 May 2024; Volume 2. [Google Scholar] [CrossRef]
- Urbano, F. Forecast.jl: A Julia Package for Time Series Forecasting. 2020. Available online: https://github.com/viraltux/Forecast.jl (accessed on 22 August 2024).
- Saavedra, R.; Bodin, G.; Souto, M. StateSpaceModels.jl: A Julia Package for time series Analysis in a State-Space Framework. arXiv 2020, arXiv:1908.01757. [Google Scholar]
- Fairbrother, J.; Nemeth, C.; Rischard, M.; Brea, J.; Pinder, T. GaussianProcesses.jl: A Nonparametric Bayes Package for the Julia Language. J. Stat. Softw. 2022, 102, 1–36. [Google Scholar] [CrossRef]
- Box, G.; Jenkins, G.M. Time Series Analysis: Forecasting and Control; Holden-Day: San Francisco, CA, USA, 1976. [Google Scholar]
- Shumway, R.H.; Stoffer, D.S. ARIMA models. In Time Series Analysis and Its Applications: With R Examples; Springer International Publishing: Cham, Switzerland, 2017; pp. 75–163. [Google Scholar] [CrossRef]
- Brown, R. Exponential Smoothing for Predicting Demand; Little: Cambridge, MA, USA, 1956. [Google Scholar]
- Holt, C.C. Forecasting seasonals and trends by exponentially weighted moving averages. Int. J. Forecast. 2004, 20, 5–10. [Google Scholar] [CrossRef]
- Popescu, M.C.; Balas, V.E.; Perescu-Popescu, L.; Mastorakis, N. Multilayer perceptron and neural networks. WSEAS Trans. Circuits Syst. 2009, 8, 579–588. [Google Scholar]
- Park, I.; Kim, H.S.; Lee, J.; Kim, J.H.; Song, C.H.; Kim, H.K. Temperature Prediction Using the Missing Data Refinement Model Based on a Long Short-Term Memory Neural Network. Atmosphere 2019, 10, 718. [Google Scholar] [CrossRef]
- Kingma, D.P.; Ba, J. Adam: A Method for Stochastic Optimization. arXiv 2017, arXiv:1412.6980. [Google Scholar]
- Quadrianto, N.; Kersting, K.; Xu, Z. Gaussian Process. In Encyclopedia of Machine Learning; Springer: Boston, MA, USA, 2010; pp. 428–439. [Google Scholar] [CrossRef]
- Roberts, S.; Osborne, M.; Ebden, M.; Reece, S.; Gibson, N.; Aigrain, S. Gaussian processes for time series modelling. Philos. Trans. R. Soc. A Math. Phys. Eng. Sci. 2013, 371, 20110550. [Google Scholar] [CrossRef]
- Corani, G.; Benavoli, A.; Zaffalon, M. Time Series Forecasting with Gaussian Processes Needs Priors. In Machine Learning and Knowledge Discovery in Databases, Applied Data Science Track; Dong, Y., Kourtellis, N., Hammer, B., Lozano, J.A., Eds.; Springer: Cham, Switzerland, 2021; pp. 103–117. [Google Scholar] [CrossRef]
- Hyndman, R.J. Measuring forecast accuracy. In Business Forecasting: Practical Problems and Solutions; Wiley: Hoboken, NJ, USA, 2014; pp. 177–183. [Google Scholar]
- Cleveland, R.B.; Cleveland, W.S.; Terpenning, I. STL: A Seasonal-Trend Decomposition Procedure Based on Loess. J. Off. Stat. 1990, 6, 3–73. [Google Scholar]
- Marchildon, A.L.; Zingg, D.W. A Non-Intrusive Solution to the Ill-Conditioning Problem of the Gradient-Enhanced Gaussian Covariance Matrix for Gaussian Processes. J. Sci. Comput. 2023, 95, 65. [Google Scholar] [CrossRef]
- Mohammadi, B.; Mehdizadeh, S.; Ahmadi, F.; Lien, N.T.T.; Linh, N.T.T.; Pham, Q.B. Developing hybrid time series and artificial intelligence models for estimating air temperatures. Stoch. Environ. Res. Risk Assess. 2021, 35, 1189–1204. [Google Scholar] [CrossRef]
- Ustaoglu, B.; Cigizoglu, H.; Karaca, M. Forecast of daily mean, maximum and minimum temperature time series by three artificial neural network methods. Meteorol. Appl. 2008, 15, 431–445. [Google Scholar] [CrossRef]
- Xiao, C.; Chen, N.; Hu, C.; Wang, K.; Gong, J.; Chen, Z. Short and mid-term sea surface temperature prediction using time series satellite data and LSTM-AdaBoost combination approach. Remote Sens. Environ. 2019, 233, 111358. [Google Scholar] [CrossRef]
- Paniagua-Tineo, A.; Salcedo-Sanz, S.; Casanova-Mateo, C.; Ortiz-García, E.; Cony, M.; Hernández-Martín, E. Prediction of daily maximum temperature using a support vector regression algorithm. Renew. Energy 2011, 36, 3054–3060. [Google Scholar] [CrossRef]
- Zhang, Z.; Dong, Y. Temperature Forecasting via Convolutional Recurrent Neural Networks Based on time series Data. Complexity 2020, 2020, 3536572. [Google Scholar] [CrossRef]
- Seneviratne, S.I.; Rogelj, J.; Sèfèrian, R.; Wartenburger, R.; Allen, M.R.; Cain, M.; Millar, R.J.; Ebi, K.L.; Ellis, N.; Hoegh-Guldberg, O.; et al. The many possible climates from the Paris Agreement’s aim of 1.5 °C warming. Nature 2018, 558, 41–49. [Google Scholar] [CrossRef]


















| Variables | Measures | Houston | Chicago | Boston | San Francisco | Miami |
|---|---|---|---|---|---|---|
| TMAX | ADF Values | −9.16 | −7.74 | −8.28 | −13.76 | −10.53 |
| p-values | <1 × 10−14 | <1 × 10−10 | <1 × 10−12 | <1 × 10−24 | <1 × 10−18 | |
| TMIN | ADF Values | −9.08 | −7.50 | −6.58 | −10.41 | −11.80 |
| p-values | <1 × 10−14 | <1 × 10−10 | <1 × 10−8 | <1 × 10−17 | <1 × 10−21 |
| Variables | City | AIC Score | BIC Score | Model |
|---|---|---|---|---|
| TMAX | Houston | 3.38 | 20,558.26 | ARIMA (88,0,0) |
| Chicago | 4.04 | 24,473.82 | ARIMA (109,0,0) | |
| Boston | 4.06 | 24,590.41 | ARIMA (108,0,0) | |
| San Francisco | 3.08 | 18,412.60 | ARIMA (19,0,0) | |
| Miami | 2.30 | 14,700.06 | ARIMA (100,0,0) | |
| TMIN | Houston | 3.28 | 20,070.57 | ARIMA (101,0,0) |
| Chicago | 3.66 | 22,267.02 | ARIMA (106,0,0) | |
| Boston | 3.23 | 19,856.57 | ARIMA (108,0,0) | |
| San Francisco | 1.95 | 12,845.68 | ARIMA (97,0,0) | |
| Miami | 2.55 | 16,098.39 | ARIMA (106,0,0) |
| Kernel Composition | RMSE Values |
|---|---|
| N(1) + P(0,1,1) + RBF(4,0) | 12.51 |
| N(1) + P(0,1,1) | 12.81 |
| P(0,1,1) + RBF(4,0) | 12.81 |
| N(1) + P(0,1,2) + RBF(4,0) | Failed due to infinite sin values |
| N(1) + P(0,1,0) + RBF(4,0) | Failed due to infinite sin values |
| N(1) + P(0,1,1) + RBF(2,0) | 12.80 |
| N(1) + P(0,1,1) + RBF(5,0) | 12.83 |
| N(1) + P(0,1,1) + RBF(4,4) | 76 |
| N(1) + P(0,1,0) + RBF(4,4) | 76 |
| N(1) + P(0,1,1) + RBF(3,0) | 12.86 |
| N(1) + P(1,1,1) + RBF(4,0) | Failed due to infinite sin values |
| Model | Measures | Houston | Chicago | Boston | San Francisco | Miami |
|---|---|---|---|---|---|---|
| ARIMA | RMSE | 11.24 | 16.75 | 13.74 | 8.62 | 5.45 |
| MAE | 8.90 | 14.10 | 11.33 | 6.69 | 4.29 | |
| ETS | RMSE | 28.14 | 30.28 | 25.54 | 14.62 | 7.11 |
| MAE | 25.63 | 25.09 | 20.87 | 12.07 | 5.92 | |
| MLP | RMSE | 6.09 | 8.24 | 8.25 | 4.99 | 3.54 |
| MAE | 4.42 | 6.33 | 6.53 | 3.81 | 2.29 | |
| GP | RMSE | 12.51 | - | 17.94 | - | - |
| MAE | 10.36 | - | 15.24 | - | - |
| Model | Measures | Houston | Chicago | Boston | San Francisco | Miami |
|---|---|---|---|---|---|---|
| ARIMA | RMSE | 11.60 | 16.75 | 11.59 | 5.50 | 6.82 |
| MAE | 9.65 | 12.90 | 9.43 | 4.53 | 5.48 | |
| ETS | RMSE | 21.50 | 23.67 | 22.52 | 9.41 | 7.32 |
| MAE | 18.65 | 19.29 | 18.48 | 8.00 | 5.56 | |
| MLP | RMSE | 5.70 | 6.56 | 5.42 | 2.81 | 4.00 |
| MAE | 4.00 | 5.01 | 4.07 | 2.13 | 2.80 | |
| GP | RMSE | - | - | - | - | - |
| MAE | - | - | - | - | - |
Disclaimer/Publisher’s Note: The statements, opinions and data contained in all publications are solely those of the individual author(s) and contributor(s) and not of MDPI and/or the editor(s). MDPI and/or the editor(s) disclaim responsibility for any injury to people or property resulting from any ideas, methods, instructions or products referred to in the content. |
© 2024 by the authors. Licensee MDPI, Basel, Switzerland. This article is an open access article distributed under the terms and conditions of the Creative Commons Attribution (CC BY) license (https://creativecommons.org/licenses/by/4.0/).
Share and Cite
Kinast, K.B.; Fokoué, E. An In-Depth Look at Rising Temperatures: Forecasting with Advanced Time Series Models in Major US Regions. Forecasting 2024, 6, 815-838. https://doi.org/10.3390/forecast6030041
Kinast KB, Fokoué E. An In-Depth Look at Rising Temperatures: Forecasting with Advanced Time Series Models in Major US Regions. Forecasting. 2024; 6(3):815-838. https://doi.org/10.3390/forecast6030041
Chicago/Turabian StyleKinast, Kameron B., and Ernest Fokoué. 2024. "An In-Depth Look at Rising Temperatures: Forecasting with Advanced Time Series Models in Major US Regions" Forecasting 6, no. 3: 815-838. https://doi.org/10.3390/forecast6030041
APA StyleKinast, K. B., & Fokoué, E. (2024). An In-Depth Look at Rising Temperatures: Forecasting with Advanced Time Series Models in Major US Regions. Forecasting, 6(3), 815-838. https://doi.org/10.3390/forecast6030041

