Examination of the Performance of a Three-Phase Atmospheric Turbulence Model for Line-Source Dispersion Modeling Using Multiple Air Quality Datasets
Abstract
:1. Introduction
2. Material Methods
2.1. Line Source Models
- SLINE: This is a recently developed line-source dispersion model that incorporates the effect of wind shear (magnitude) on the dispersion of gaseous pollutants. The assumptions used in the SLINE 1.0 model are: (i) the wind direction is always perpendicular to the highway; (ii) the dispersion is of a non-fumigation type; (iii) the velocity profile with height above ground level is assumed to be the same for all downwind distances; (iv) a power-law profile is assumed for the velocity, i.e., the magnitude of the wind velocity near the ground level changes rapidly and follows a power law; (v) the eddy diffusivity profile is a conjugate of the velocity profile; and (vi) the emission rate is constant. The SLINE 1.1 model follows a TPT model which is a function of downwind distance. The expression for calculating the ground-level concentration for stable and unstable atmospheric conditions is given as Equations (1) and (2) [9]:where, C is the concentration of pollutants at a point (x, z),q (g/m/s) is the emission rate of pollutants,x (m) is the downwind distance,z (m) is the vertical height of the receptor above the ground,u (m/s) is the wind velocity at the vertical height z,(m/s) is the effective wind velocity,m is the exponent of the power-law velocity profile,n is the exponent for the eddy diffusivity profile,s is the stability parameter based on m and n. (s = (m + 1)/(m − n + 2)),θ (degrees) is the angle between the line source and the wind direction,(m/s) is the surface friction velocity,L is the Monin–Obukhov length,a, and are the empirical coefficients,vertical spread due to mobile turbulence, andH is the height of the source.The model will be called SLINE 1.1 because the turbulence model is revised as given in Section 2.2 for this paper.
- CALINE4: This is a line-source Gaussian plume dispersion model used for regulatory purposes for predicting the concentrations of pollutants near roadways. The roadway geometry, worst-case meteorological parameters, anticipated traffic volumes, and receptor positions are the initial input parameters for the model for regulatory work. The approach followed by CALINE4 assumes (i) a homogeneous wind flow field (both vertically and horizontally), (ii) steady-state conditions, and (iii) negligible along-wind diffusion. The horizontal and vertical dispersion are adequately described as unimodal. The CALINE4 model contains improved algorithms for vertical and horizontal dispersion. However, the focus of this study is on the generic equation (see Equation (3)) of CALINE4 [16].where, and are the horizontal and vertical dispersion coefficients (m), andand are the finite line-source endpoints in y-coordinates (> ).
- ADMS: The Cambridge Environmental Research Consultants (CERC) developed the ADMS model. Roads are modeled as line sources with no plume rise and with modifications to account for traffic-produced turbulence, and street canyons, which is an optional feature. The vertical plume spread parameter () is increased to consider the extra vertical turbulence produced by traffic on busy roads [17]. Similarly, an extra component is included (not for street canyons) in the lateral plume spread parameter to model the effect of lateral turbulence. The predicted concentration (C) from a finite crosswind line source of length is given by Equation (4) [17].where, y is the lateral distance from the plume centerline (m),is the height of the plume above the ground (m), and U is the wind speed at the plume height (m/s),
- SLSM: SLSM is a simple line-source model used to calculate the concentration of the pollutant from a mobile source using basic meteorological data and source information. The concentration is uniform in the y-direction at any given downwind distance. The wind direction is considered normal to the line of emission. If the wind direction is not normal to the line of emission, then θ (the angle between the wind direction and line source) is considered, and Sinθ appears in the equation. The Sinθ is not used in the equation if the angle is less than 45 degrees. The equation is taken from the textbook by Wark et al. [14].
2.2. Turbulence Parametrization
2.3. Field Data and Atmospheric Stability
2.4. Statistical Evaluation Methods
- (a)
- Fractional Bias (FB): The fractional bias is a ratio between the difference of the average values and the summation of the average values of the observed and predicted concentration of pollutants, multiplied by two. It is a dimensionless number. In the ideal case, the value of FB is equal to zero. However, if its value is between −2.0 and +2.0, then the model can be referred to as better performing. If the FB value is less than −0.67, then the model is underpredicting, and if the value is less than −2.0, then the model is extremely underpredicting. If the value is higher than +0.6, then the model is overpredicting, and if the value is higher than +2.0, then the model is extremely overpredicting. The value of FB is influenced by infrequently occurring high concentration values [30,31].where, is the observed concentration of pollutant, and is the model-predicted concentration of pollutants.
- (b)
- Normalized Root Mean Square Error (NMSE): The scatter in the data collected is then normalized by the product of the average values of observed and predicted concentrations of pollutants. In the ideal case, the value of NMSE is zero. A smaller NMSE value denotes that the model is better performing. NMSE values cannot be used for accessing the model predicted concentrations that are over- or underpredicted [30,32].
- (c)
- Coefficient of Determination (R2): The coefficient of determination is the square of the correlation between the predicted and observed values. R2 values range from 0 to 1. For example, an R2 of 0.50 means there is 50 percent of the variance needed to predict the actual observed value [30,33].where n is the number of data points, Σ is the summation notation, and ‘i’ represents the ith value of concentration.
- (d)
- Geometric Mean Bias (MG): The MG value is reliable when the magnitude of the observed and predicted concentrations of the pollutants varies significantly. Extremely low values of concentrations also have strong influences on the MG value. In the ideal case, the MG value is equal to 1. If the MG value is equal to +0.5, then the model is underpredicting, and if the value is equal to +2.0, then the model is overpredicting [30,34].
- (e)
- (f)
- Mean Squared Log Error (MSLE): Its values lie between 0 and ∞. A smaller value of MSLE indicates that the model is performing better [36].
- (g)
- Mean Absolute Percentage Error (MAPE): MAPE is a measure of the accuracy of the model as a percentage. MAPE can be calculated as the average absolute percent error for each predicted concentration minus the observed concentration divided by the observed concentration [37].
3. Results and Discussion
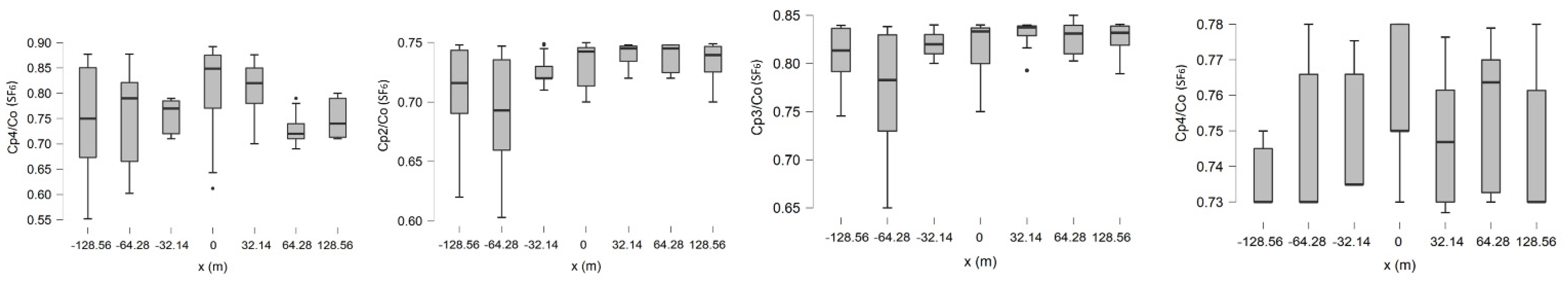
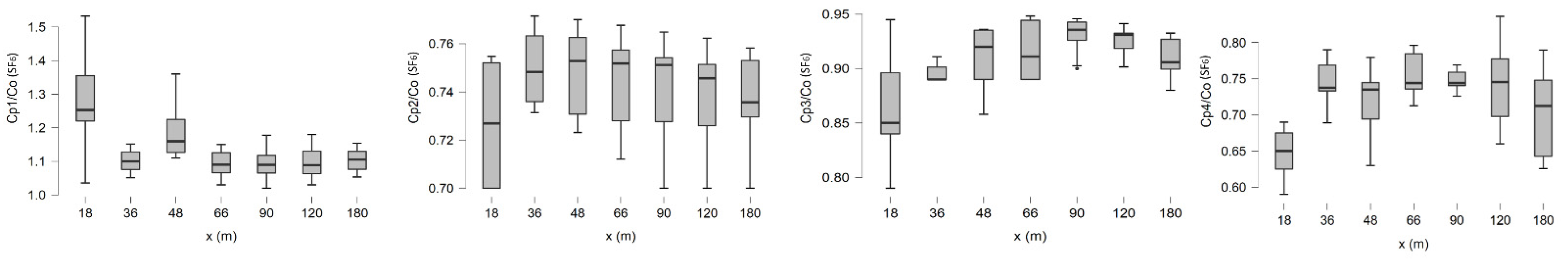
3.1. Cp/Co Plots
3.2. Statistical Evaluation Results
3.3. Role of Quantile-Quantile (Q-Q) Plots
3.4. Performance of the Basic Line-Source Model (SLSM) Using Three-Phase Turbulence Parameterization
3.5. Summary
4. Conclusions
Author Contributions
Funding
Data Availability Statement
Acknowledgments
Conflicts of Interest
References
- US EPA. Air Quality Dispersion Modeling. Available online: https://www.epa.gov/scram/air-quality-dispersion-modeling (accessed on 18 October 2021).
- Holmes, N.S.; Morawska, L. A Review of Dispersion Modelling and Its Application to the Dispersion of Particles: An Overview of Different Dispersion Models Available. Atmos. Environ. 2006, 40, 5902–5928. [Google Scholar] [CrossRef] [Green Version]
- Hanna, S.R.; Egan, B.A.; Purdum, J.; Wagler, J. Evaluation of the ADMS, AERMOD, and ISC3 Dispersion Models with the OPTEX, Duke Forest, Kincaid, Indianapolis and Lovett Field Datasets. Int. J. Environ. Pollut. 2001, 16, 301–314. [Google Scholar] [CrossRef]
- Levitin, J.; Härkönen, J.; Kukkonen, J.; Nikmo, J. Evaluation of the CALINE4 and CAR-FMI Models against Measurements near a Major Road. Atmos. Environ. 2005, 39, 4439–4452. [Google Scholar] [CrossRef]
- Broderick, B.; O’Donoghue, R. Spatial Variation of Roadside C2–C6 Hydrocarbon Concentrations during Low Wind Speeds: Validation of CALINE4 and COPERT III Modelling. Transp. Res. Part D Transp. Environ. 2007, 12, 537–547. [Google Scholar] [CrossRef]
- Righi, S.; Lucialli, P.; Pollini, E. Statistical and Diagnostic Evaluation of the ADMS-Urban Model Compared with an Urban Air Quality Monitoring Network. Atmos. Environ. 2009, 43, 3850–3857. [Google Scholar] [CrossRef]
- Heist, D.; Isakov, V.; Perry, S.; Snyder, M.; Venkatram, A.; Hood, C.; Stocker, J.; Carruthers, D.; Arunachalam, S.; Owen, R.C. Estimating Near-Road Pollutant Dispersion: A Model Inter-Comparison. Transp. Res. Part D Transp. Environ. 2013, 25, 93–105. [Google Scholar] [CrossRef]
- Agharkar, A. Model Validation and Comparative Performance Evaluation of MOVES/CALINE4 and Generalized Additive Models for Near-Road Black Carbon Prediction. Ph.D. Thesis, University of Cincinnati, Cincinnati, OH, USA, 2017. [Google Scholar]
- Madiraju, S.V.H.; Kumar, A. Development and Evaluation of SLINE 1.0, a Line Source Dispersion Model for Gaseous Pollutants by Incorporating Wind Shear Near the Ground under Stable and Unstable Atmospheric Conditions. Atmosphere 2021, 12, 618. [Google Scholar] [CrossRef]
- Yu, Y.-T. Parameterization of Vertical Dispersion Coefficient (σz) near Roadway: Vehicle Wake, Density and Types. Ph.D. Thesis, Illinois Institute of Technology, Chicago, IL, USA, 2020. [Google Scholar]
- Macdonald, R. Theory and Objectives of Air Dispersion Modelling. Modelling Air Emissions for Compliance. MME 474A Wind Engineering. 2003, pp. 1–27. Available online: http://citeseerx.ist.psu.edu/viewdoc/download?doi=10.1.1.409.9932&rep=rep1&type=pdf (accessed on 18 October 2021).
- Carruthers, D.; Di Sabatino, S.; Hunt, J. Urban Air Quality: Meteorological Processes. Air Pollut. Sources Stat. Health Eff. 2021, 163–191. [Google Scholar] [CrossRef]
- Benson, P.E. Modifications to the Gaussian Vertical Dispersion Parameter, Σz, near Roadways. Atmos. Environ. 1982, 16, 1399–1405. [Google Scholar] [CrossRef]
- Wark, K.; Warner, C.F.; Davis, W.T. Air Pollution: Its Origin and Control; Addison-Wesley: Boston, MA, USA, 1998; ISBN 0-673-99416-3. [Google Scholar]
- CERC. Environmental Software. Available online: https://www.cerc.co.uk/environmental-software.html (accessed on 18 October 2021).
- Johnson, R.A.; Anderson, M.; Lilly, E.; Hok, C. Implementation of CALINE4; University of Alaska-Fairbanks: Fairbanks, AK, USA, 1988. [Google Scholar]
- Road Sources; Cambridge Environmental Research Group: Cambridge, UK, 2020; pp. 1–3.
- Chock, D.P. General Motors Sulfate Dispersion Experiment. Bound. -Layer Meteorol. 1980, 18, 431–451. [Google Scholar] [CrossRef]
- Snyder, M.G.; Venkatram, A.; Heist, D.K.; Perry, S.G.; Petersen, W.B.; Isakov, V. RLINE: A Line Source Dispersion Model for near-Surface Releases. Atmos. Environ. 2013, 77, 748–756. [Google Scholar] [CrossRef]
- Thykier-Nielsen, S.; Deme, S.; Mikkelsen, T. Description of the Atmospheric Dispersion Module RIMPUFF; Riso National Laboratory: Roskilde, Denmark, 1999; pp. 1–58. [Google Scholar]
- Kumar, A. Effects of Cross-Wind Shear on Horizontal Dispersion. J. Environ. Eng. 1986, 112, 1–11. [Google Scholar] [CrossRef]
- Chock, D.P. A Simple Line-Source Model for Dispersion near Roadways. Atmos. Environ. 1978, 12, 823–829. [Google Scholar] [CrossRef]
- Benson, P.E. Caline 4-A Dispersion Model for Predictiong Air Pollutant Concentrations Near Roadways; Federal Highway Administration Report FHWA/CA/TL-84/15 (NTIS PB 85 211498/AS); California State Department of Transportation: Sacramento, CA, USA, 1984. [Google Scholar]
- Finn, D.; Clawson, K.L.; Carter, R.G.; Rich, J.D.; Eckman, R.M.; Perry, S.G.; Isakov, V.; Heist, D.K. Tracer Studies to Characterize the Effects of Roadside Noise Barriers on Near-Road Pollutant Dispersion under Varying Atmospheric Stability Conditions. Atmos. Environ. 2010, 44, 204–214. [Google Scholar] [CrossRef]
- Venkatram, A.; Isakov, V.; Thoma, E.; Baldauf, R. Analysis of Air Quality Data near Roadways Using a Dispersion Model. Atmos. Environ. 2007, 41, 9481–9497. [Google Scholar] [CrossRef]
- Baldauf, R.; Thoma, E.; Hays, M.; Shores, R.; Kinsey, J.; Gullett, B.; Kimbrough, S.; Isakov, V.; Long, T.; Snow, R.; et al. Traffic and Meteorological Impacts on Near-Road Air Quality: Summary of Methods and Trends from the Raleigh Near-Road Study. J. Air Waste Manag. Assoc. 2008, 58, 865–878. [Google Scholar] [CrossRef] [PubMed]
- Leelőssy, Á.; Molnár, F.; Izsák, F.; Havasi, Á.; Lagzi, I.; Mészáros, R. Dispersion Modeling of Air Pollutants in the Atmosphere: A Review. Open Geosci. 2014, 6, 257–278. [Google Scholar] [CrossRef]
- Scire, J.S.; Robe, F.R.; Fernau, M.E.; Yamartino, R.J. A User’s Guide for the CALMET Meteorological Model; Earth Tech LLC: Land O’Lakes, FL, USA, 2000. [Google Scholar]
- CMAS. Community Modeling and Analysis System. Available online: https://www.cmascenter.org/download/data.cfm (accessed on 18 October 2021).
- Model Evaluation. Available online: http://www.eng.utoledo.edu/aprg/courses/dm/hmodel.html (accessed on 10 April 2021).
- Boylan, J.W.; Russell, A.G. PM and Light Extinction Model Performance Metrics, Goals, and Criteria for Three-Dimensional Air Quality Models. Atmos. Environ. 2006, 40, 4946–4959. [Google Scholar] [CrossRef]
- Moursi, A.S.; El-Fishawy, N.; Djahel, S.; Shouman, M.A. An IoT Enabled System for Enhanced Air Quality Monitoring and Prediction on the Edge. Complex Intell. Syst. 2021, 7, 2923–2947. [Google Scholar] [CrossRef]
- Chicco, D.; Warrens, M.J.; Jurman, G. The Coefficient of Determination R-Squared Is More Informative than SMAPE, MAE, MAPE, MSE and RMSE in Regression Analysis Evaluation. PeerJ Comput. Sci. 2021, 7, e623. [Google Scholar] [CrossRef]
- Amoatey, P.; Omidvarborna, H.; Affum, H.A.; Baawain, M. Performance of AERMOD and CALPUFF Models on SO2 and NO2 Emissions for Future Health Risk Assessment in Tema Metropolis. Hum. Ecol. Risk Assess. Int. J. 2019, 25, 772–786. [Google Scholar] [CrossRef]
- Zwain, H.M.; Nile, B.K.; Faris, A.M.; Vakili, M.; Dahlan, I. Modelling of Hydrogen Sulfide Fate and Emissions in Extended Aeration Sewage Treatment Plant Using TOXCHEM Simulations. Sci. Rep. 2020, 10, 1–11. [Google Scholar]
- Botchkarev, A. Performance Metrics (Error Measures) in Machine Learning Regression, Forecasting and Prognostics: Properties and Typology. arXiv 2018, arXiv:1809.03006. [Google Scholar]
- Tofallis, C. Measuring Relative Accuracy: A Better Alternative to Mean Absolute Percentage Error; Hertfordshire Business School Working Paper; University of Hertfordshire Business School, University of Hertfordshire, Hatfield: Hertfordshire, UK, 2013. [Google Scholar] [CrossRef]
- Vijay, P.; Shiva Nagendra, S.M.; Gulia, S.; Khare, M.; Bell, M.; Namdeo, A. Performance Evaluation of UK ADMS-Urban Model and AERMOD Model to Predict the PM10 Concentration for Different Scenarios at Urban Roads in Chennai, India and Newcastle City, UK. In Urban Air Quality Monitoring, Modelling and Human Exposure Assessment; Springer Transactions in Civil and Environmental Engineering; Springer: Cham, Switzerland, 2021; pp. 169–181. ISBN 9789811555114. [Google Scholar]
- Dėdelė, A.; Miškinytė, A. Estimation of Inter-Seasonal Differences in NO 2 Concentrations Using a Dispersion ADMS-Urban Model and Measurements. Air Qual. Atmos. Health 2015, 8, 123–133. [Google Scholar] [CrossRef]
- Jamshidi Kalajahi, M.; Khazini, L.; Rashidi, Y.; Zeinali Heris, S. Development of Reduction Scenarios Based on Urban Emission Estimation and Dispersion of Exhaust Pollutants from Light Duty Public Transport: Case of Tabriz, Iran. Emiss. Control Sci. Technol. 2020, 6, 86–104. [Google Scholar] [CrossRef]
- Shishegaran, A.; Saeedi, M.; Kumar, A.; Ghiasinejad, H. Prediction of Air Quality in Tehran by Developing the Nonlinear Ensemble Model. J. Clean. Prod. 2020, 259, 120825. [Google Scholar] [CrossRef]
- Bruce, P.; Bruce, A. Practical Statistics for Data Scientists; O’Reilly Media, Inc.: Newton, MA, USA, 2017; ISBN 978-1-4919-5296-2. [Google Scholar]
- Moriasi, D.N.; Arnold, J.G.; van Liew, M.W.; Bingner, R.L.; Harmel, R.D.; Veith, T.L. Model Evaluation Guidelines for Systematic Quantification of Accuracy in Watershed Simulations. Trans. ASABE 2007, 50, 885–900. [Google Scholar] [CrossRef]
- Patryla, L.; Galeriua, D. Statistical Performances Measures—Models Comparison; CEA: Paris, France, 2011. [Google Scholar]
- Patel, V.C.; Kumar, A. Evaluation of Three Air Dispersion Models: ISCST2, ISCLT2, and SCREEN2 for Mercury Emissions in an Urban Area. Environ. Monit. Assess. 1998, 53, 259–277. [Google Scholar] [CrossRef]
- Hedges, L.V.; Olkin, I. Statistical Methods for Meta-Analysis; Academic Press: Cambridge, MA, USA, 2014; ISBN 0-08-057065-8. [Google Scholar]
- Jauvion, G.; Cassard, T.; Quennehen, B.; Lissmyr, D. DeepPlume: Very High Resolution Real-Time Air Quality Mapping. arXiv 2020, arXiv:2002.10394. [Google Scholar]
- Li, X.; Peng, L.; Yao, X.; Cui, S.; Hu, Y.; You, C.; Chi, T. Long Short-Term Memory Neural Network for Air Pollutant Concentration Predictions: Method Development and Evaluation. Environ. Pollut. 2017, 231, 997–1004. [Google Scholar] [CrossRef]
- Chang, J.C.; Hanna, S.R. Technical Descriptions and User’s Guide for the BOOT Statistical Model Evaluation Software Package, Version 2.0; George Mason University and Harvard School of Public Health: Fairfax, VA, USA, 2005. [Google Scholar]
- Kadiyala, A.; Kumar, A. Guidelines for Operational Evaluation of Air Quality Models; LAP LAMBERT Academic Publishing: Chisinau, Republic of Moldova, 2012; ISBN 978-3-8465-3277-5. [Google Scholar]
- Goss-Sampson, M. Statistical Analysis in JASP: A Guide for Students; University of Greenwich: Amsterdam, The Netherlands, 2019. [Google Scholar] [CrossRef]
- Kadiyala, A.; Kaur, D.; Kumar, A. Development of Hybrid Genetic-Algorithm-Based Neural Networks Using Regression Trees for Modeling Air Quality inside a Public Transportation Bus. J. Air Waste Manag. Assoc. 2013, 63, 205–218. [Google Scholar] [CrossRef] [PubMed] [Green Version]






| Atmospheric Stability | Empirical Coefficients | Value |
|---|---|---|
| Unstable conditions | a | 0.40 |
| bu | 2.00 | |
| Weakly unstable conditions | a | 0.75 |
| bu | 3.50 | |
| Weakly stable conditions | a | 0.58 |
| bs | 2.00 | |
| Stable conditions | a | 0.55 |
| bs | 3.00 |
| Atmospheric Stability | Pasquill Class [14] | Monin Obukhov Length (m) [27] | Richardson Number (Ri) [27] | Temperature Gradient (Degree Centigrade/100m) [14] | Standard Deviation of Vertical Wind Direction (Degree) [14] |
|---|---|---|---|---|---|
| Extremely unstable conditions | A | −2 to −3 | −0.86 | ≤−1.9 | ≤12 |
| Moderately unstable conditions | B | −4 to −5 | ≥−0.86 to <−0.37 | −1.9 to ≤−1.7 | ≥10 to <12 |
| Slightly unstable conditions | C | −12 to −15 | ≥−0.37 to <−0.10 | −1.7 to ≤−1.5 | ≥7.8 to <10 |
| Neutral conditions | D | Infinite | ≥−0.10 to <0.053 | −1.5 to ≤−0.5 | ≥5 to <7.8 |
| Slightly stable conditions | E | 35 to 75 | 0.053 ≤ to <0.134 | −0.5 to ≤−1.5 | ≥2.4 to <5 |
| Moderately stable conditions | F | 8 to 35 | 0.134≤ | 1.5 to ≤4.0 | <2.4 |
| Extremely Stable | G | - | - | >4.0 | - |
| Statistical Indicator | FB | NMSE | R2 | MG | VG | MSLE | MAPE | |
|---|---|---|---|---|---|---|---|---|
| Ideal Values | 0 | 0 | 1 | 1 | 1 | 0 | 0 | |
| CALRANS99 (Data 1) Stable Conditions | SLINE 1.1 | 0.11 | 0.05 | 0.88 | 0.89 | 1.20 | 0.00258 | 0.12 |
| CALINE4 | −0.26 | 0.37 | 0.75 | 1.44 | 1.35 | 0.00946 | 0.19 | |
| ADMS | −0.14 | 0.10 | 0.86 | 1.24 | 1.22 | 0.00328 | 0.12 | |
| SLSM | −0.26 | 0.35 | 0.73 | 1.41 | 1.48 | 0.01561 | 0.23 | |
| CALRANS99 (Data 1) Unstable Conditions | SLINE 1.1 | −0.16 | 0.14 | 0.87 | 1.28 | 1.13 | 0.00530 | 0.15 |
| CALINE4 | −0.31 | 0.54 | 0.71 | 1.48 | 1.41 | 0.02019 | 0.28 | |
| ADMS | −0.19 | 0.21 | 0.86 | 1.33 | 1.24 | 0.00860 | 0.19 | |
| SLSM | −0.28 | 0.47 | 0.72 | 1.44 | 1.49 | 0.01602 | 0.25 | |
| Raleigh 2006 experiment (Data 2) Stable Conditions | SLINE 1.1 | 0.15 | 0.05 | 0.75 | 0.88 | 1.22 | 0.00408 | 0.14 |
| CALINE4 | −0.29 | 0.12 | 0.65 | 1.45 | 1.49 | 0.00172 | 0.26 | |
| ADMS | −0.10 | 0.02 | 0.76 | 1.20 | 1.27 | 0.00206 | 0.09 | |
| SLSM | −0.33 | 0.17 | 0.58 | 1.49 | 1.51 | 0.02117 | 0.28 | |
| Raleigh 2006 experiment (Data 2) Unstable Conditions | SLINE 1.1 | −0.11 | 0.02 | 0.87 | 1.11 | 1.11 | 0.00219 | 0.10 |
| CALINE4 | −0.23 | 0.09 | 0.68 | 1.46 | 1.46 | 0.01020 | 0.21 | |
| ADMS | −0.14 | 0.03 | 0.86 | 1.25 | 1.22 | 0.00360 | 0.13 | |
| SLSM | −0.25 | 0.11 | 0.66 | 1.49 | 1.47 | 0.01235 | 0.23 | |
| Idaho Falls 2008 (Data 3) Stable Conditions | SLINE 1.1 | 0.14 | 0.04 | 0.80 | 0.86 | 1.22 | 0.00546 | 0.16 |
| CALINE4 | −0.32 | 0.18 | 0.73 | 1.48 | 1.51 | 0.02130 | 0.27 | |
| ADMS | −0.22 | 0.07 | 0.87 | 1.24 | 1.25 | 0.00546 | 0.20 | |
| SLSM | −0.26 | 0.11 | 0.69 | 1.48 | 1.47 | 0.02130 | 0.22 | |
| Idaho Falls 2008 (Data 3) Unstable Conditions | SLINE 1.1 | −0.12 | 0.03 | 0.85 | 1.13 | 1.24 | 0.00382 | 0.12 |
| CALINE4 | −0.26 | 0.10 | 0.74 | 1.42 | 1.48 | 0.01491 | 0.24 | |
| ADMS | −0.17 | 0.04 | 0.83 | 1.29 | 1.33 | 0.00570 | 0.16 | |
| SLSM | −0.26 | 0.11 | 0.74 | 1.41 | 1.49 | 0.01433 | 0.24 |
| Statistical Indicator | FB | NMSE | R2 | MG | VG | MSLE | MAPE |
|---|---|---|---|---|---|---|---|
| Data 1 (Stable) | −0.17 | 0.26 | 0.79 | 1.35 | 1.38 | 0.01032 | 0.21 |
| Data 1 (unstable) | −0.19 | 0.34 | 0.78 | 1.32 | 1.37 | 0.01125 | 0.22 |
| Data 2 (Stable) | −0.22 | 0.13 | 0.69 | 1.36 | 1.39 | 0.01984 | 0.30 |
| Data 2 (unstable) | −0.14 | 0.09 | 0.72 | 1.33 | 1.35 | 0.00987 | 0.37 |
| Data 3 (Stable) | −0.17 | 0.10 | 0.75 | 1.34 | 1.35 | 0.01863 | 0.25 |
| Data 3 (unstable) | −0.17 | 0.09 | 0.80 | 1.32 | 1.38 | 0.01104 | 0.20 |
Publisher’s Note: MDPI stays neutral with regard to jurisdictional claims in published maps and institutional affiliations. |
© 2022 by the authors. Licensee MDPI, Basel, Switzerland. This article is an open access article distributed under the terms and conditions of the Creative Commons Attribution (CC BY) license (https://creativecommons.org/licenses/by/4.0/).
Share and Cite
Madiraju, S.V.H.; Kumar, A. Examination of the Performance of a Three-Phase Atmospheric Turbulence Model for Line-Source Dispersion Modeling Using Multiple Air Quality Datasets. J 2022, 5, 198-213. https://doi.org/10.3390/j5020015
Madiraju SVH, Kumar A. Examination of the Performance of a Three-Phase Atmospheric Turbulence Model for Line-Source Dispersion Modeling Using Multiple Air Quality Datasets. J. 2022; 5(2):198-213. https://doi.org/10.3390/j5020015
Chicago/Turabian StyleMadiraju, Saisantosh Vamshi Harsha, and Ashok Kumar. 2022. "Examination of the Performance of a Three-Phase Atmospheric Turbulence Model for Line-Source Dispersion Modeling Using Multiple Air Quality Datasets" J 5, no. 2: 198-213. https://doi.org/10.3390/j5020015
APA StyleMadiraju, S. V. H., & Kumar, A. (2022). Examination of the Performance of a Three-Phase Atmospheric Turbulence Model for Line-Source Dispersion Modeling Using Multiple Air Quality Datasets. J, 5(2), 198-213. https://doi.org/10.3390/j5020015