Abstract
This investigation presents a new approach for evaluating soil organic carbon (SOC) content in farming soils using a photocatalytic chemical oxygen demand (PeCOD) analyzer combined with geographic information system (GIS) technology for spatial analysis. Soil samples were collected at various sites throughout Canada and were analyzed using sieve analysis, followed by further SOC evaluation using three distinct techniques: loss on ignition (LOI), Walkley-Black, and PeCOD. The PeCOD system, which relies on the photochemical oxidation of organic carbon, showed an exciting correlation between its evaluations and SOC content, making it a prompt and reliable method to evaluate SOC. In this investigation, finer materials such as clayey soils (soil fractions of (<50 µm)) demonstrated high SOC content compared to coarser ones (soil fractions of (>75 µm)) and decreased SOC content with increased soil depth, generally below the 30 cm mark. It should be noted that this investigation revealed that other variables, such as land management practices, precipitation, and atmospheric temperature, have drastic effects on the formation and residence time of SOC. GIS georeferencing еnablеd mapping of the SOC distribution and identification of hotspot areas with high SOC content. The results of this study have implications for sustainable farming, climate change mitigation, and soil health operations by providing farmers with schemes that amplify carbon sequestration while simultaneously improving soil health.
1. Introduction
Agricultural site categorizations or environmental evaluations tend to include a measurement of total organic carbon because its presence or absence can significantly affect how compounds react in the soil or sediment. The amount of soil organic carbon (SOC) in soils and sediments can be determined using a variety of techniques. The typical origins of carbon include weathering of the parent rock or geology, breakdown of plant and animal materials, and human activity. The SOC can be identified and quantified using a wide variety of approaches and modifications of those methods. Soil organic carbon (OC) serves as an invaluable indicator of soil health, and plays a pivotal role in mitigating climate emissions through crop uptake and sequestration in agricultural soils. Agriculture and Agri-Food Canada data have demonstrated that Canadian agricultural soils possess the potential to annually capture 11.9 million tonnes of CO2 emissions from the atmosphere [1,2,3,4]. According to the latest data from the 2021 Census of Agriculture by the Government of Canada, the provinces of Alberta and Ontario stand out as the epicenter of Canadian agriculture, serving as the areas for analysis and investigation. Both provinces comprise nearly 40% of Canada’s total farm area, which makes them an exceptional setting for assessing carbon sequestration processes through stable SOC.
Accurate, rapid, and cost-effective estimation of TOC in soil is vital for farmers looking to address climate change mitigation strategies and claim future carbon credits. To this end, the Pan-Canadian Framework on Clean Growth and Climate Change emphasizes the emissions reporting options that allow traders to trade verified carbon credits both domestically and internationally [5].
Currently, soil OC can be measured either destructively or nondestructively using methods such as the Walkley–Black method and dry combustion (DC) [6,7,8,9,10,11,12]. The Walkley–Black method is an efficient and widely employed technique for measuring soil organic carbon (SOC). Based on the principle of oxidative digestion, organic matter in soil is decomposed and converted into carbon dioxide via this approach. The procedure involved mixing potassium dichromate and concentrated sulfuric acid in a digestion flask containing soil samples for testing, and then heating this solution until the organic carbon in the soil was oxidized by dichromate ions. As part of this oxidation process, the color of the solution changes from orange to green due to dichromate ion reduction, and the solution should be allowed to react for an appropriate length of time to ensure the complete digestion of organic carbon. After digestion, any excess dichromate is titrated against a ferrous ammonium sulfate solution to determine its consumption; this consumption is proportional to the organic carbon levels in the soil samples. The SOC content was calculated using a calibration factor determined from standard solutions with known concentrations of organic carbon. The Walkley–Black method offers an effective yet simple means for estimating soil organic carbon, making it popularly utilized by soil analysis laboratories and research studies alike [6,7,8,9,10,11,12]. The DC method has long been recognized and widely adopted for evaluating the organic carbon content in soil. This technique involves subjecting soil samples to elevated temperatures within a furnace where organic carbon can be converted to carbon dioxide; the technique has proven to be accurate and reliable for measuring this form of organic matter in testing laboratories worldwide [6,7,8,9,10,11,12].
However, these methods of analysis can be slow, difficult, and expensive, or require toxic chemicals for analysis. To provide an alternative solution, MANTECH Inc. (Guelph, ON, Canada) offers PeCOD analyzers (that use photochemical oxidation of organic carbon catalyzed by titanium dioxide as an analytical technique. As the oxidation reaction progresses, the excess electrical charge increases proportionately with increasing organic carbon consumption. An analyzer measures this generated charge by plotting the output current (I) against time (t), with its area under the curve directly related to the TOC content in a sample. Although our software has been configured to convert the integrated area into chemical oxygen demand (COD) values and estimate the organic matter content based on these COD values [13], there is no reliable method for analyzing soils or interpreting soil-derived data. The success of the research project would be determined if the TOC analysis protocol developed could accurately and precisely identify soil TOC content with at least 95% accuracy and 90% precision, such as standard TOC methods [14,15,16,17,18]. As part of its validation process, its results should be compared with those generated from standard methods such as the Walkley–Black method, DC, and spectral analyses for comparison purposes.
Monitoring soil organic carbon levels is essential for ensuring that agricultural practices either maintain current levels or contribute to increasing them and sequestering more carbon [19]. Certain agricultural practices, including tillage, the removal of plant residues, and a lack of soil coverage between crop seasons, are known to help lower TOC in soil. In contrast, climate-smart approaches that aim at increasing soil TOC through no-till agriculture, cover crop use, and soil amendment with organic or biochar-derived materials such as biochar and humic substances have become popular among farmers [20]. Research currently being undertaken is exploring the effects of approaches that result in soil inorganic carbon sequestration, such as enhanced rock weathering and soil remineralization, on organic carbon pools [21]. Soil organic carbon can also be considered meta-stable, as its degradation could release greenhouse gases such as CH4 and N2O into the environment. With all these research topics—many already adopted by farmers—it is imperative that reliable, cost-effective, and swift methods of measuring TOC levels across spatial and temporal scales consider both soil heterogeneity in terms of area and depth [19].
For this project, the research team introduced the fractionation of soils and used geographic information system (GIS) method to geo-reference soil sampling locations for use as a viable aid to determine the organic carbon content for current and future prediction purposes. Physical fractionation has become an effective method to gain greater insight into soil behavior and assess organic carbon content. Essentially, this technique involves segregating soil samples according to particle size, such as sand, silt, and clay, and then analyzing their organic carbon content within each fraction. Studies have demonstrated that soils with high clay content typically have relatively high organic carbon concentrations, likely attributable to their increased surface area and cation exchange capacity, enabling the retention and stabilization of organic matter. Fractionation has long been employed as a way of investigating organic matter distribution within soils, as well as in developing effective management practices to promote soil health and sequestration of carbon dioxide emissions [22].
GIS software has become increasingly popular as an approach for georeferencing soil sampling locations and producing spatially explicit maps depicting organic carbon content. GIS allows researchers to visualize and analyze soil data, making it easier to identify spatial patterns and trends related to organic carbon levels in various land use types, such as croplands, forests, or grasslands, as well as to investigate the potential effects of land use changes and management practices on carbon dynamics. It has even been employed in studies that aim at mapping and quantifying organic carbon levels within specific land uses, such as cropland forests and grasslands, creating maps of organic carbon content within various land use types that investigate impacts from land use changes and soil management practices on soil carbon dynamics [23]. Finally, the upcoming sections of this paper demonstrate the unique on-site approach to determining the organic carbon content in soils.
2. Materials and Methods
Measuring soil organic carbon (SOC) content using the PeCOD “Photocatalytic Chemical Oxygen Demand” analyzer involves some specific adaptations that must be made for each instrument being utilized. Sampling soil samples that accurately represent the characteristics of the study area is an essential step in soil analysis, as their accuracy plays an integral role in producing quality results. As soon as a sampling area is identified, it is ensured that all samples taken represent the larger study area by considering variables such as texture, color, vegetation density, and topography, as well as land use and topography. The sampling area is subdivided according to any variations observed in soil properties; the exact number of subareas depends upon both its size and the extent of variability present. Sampling points are chosen at patterns within each subarea for fair representation; alternatively, systematic sampling is used if a specific distribution pattern is needed.
At each sampling point, an auger was used to collect soil samples at various depths (for instance, 0–10 cm, 10–20 cm, and 20–30 cm) to produce a vertical profile of the soil properties. Composite samples are created by combining soil samples collected at each depth at each sampling point into one composite sample that represents the soil properties in their subarea. All the composite samples were identified by providing information such as the sampling point location, depth, date, and collection time. Furthermore, they are stored in airtight and moisture-proof containers to avoid contamination or moisture loss. The sampling process was repeated until representative soil samples from across the entire study area were obtained.
After collection, the samples were prepared by removing visible roots or stones and performing sieve analysis following ASTM C-136–01 standards [24]. Sieve analysis is an efficient method for estimating the particle size distribution of soil. Sets of sieves featuring mesh sizes of 2.0 mm, 250 µm, 75 µm, and 50 µm were used, along with weighing balances, ovens, cleaning brushes, containers for collecting the soil passing through the finest sieve, gloves, and safety glasses. The soil samples were prepared by clearing away any large stones or plant material and breaking up any clumps. Each soil sample was weighed to the nearest milligram and then heated in an oven to 105 °C for 24 h to remove moisture. The temperature gradient (°C/min) was approximately 3.33 °C/min for the oven used. It should be noted that the oven was preheated to the desired temperature, after which the soil samples were placed in the oven. The sieves were assembled for use and carefully cleaned using a cleaning brush to ensure that they were completely dry before use. Furthermore, the sieves were arranged in order of decreasing mesh size, beginning with the largest size and ending with the smallest size, starting with the collection pan at the base. The soil samples were placed onto the top sieve and shaken vigorously horizontally and vertically for 10–15 min until no more soil passed through the finest sieve. The soil retained on each sieve was weighed with a precision of up to one milligram, and was recorded for further analysis. The percentage of soil retained on each sieve was calculated by dividing its weight by its initial weight and multiplying by 100 (Equation (1)).
Fraction (%) = (Final Weight − Initial Weight)/(Initial Weight) × 100
It should be noted that while particle size classification (e.g., sands, silts, and clays) plays a part in soil organic carbon content, other factors, such as climate, vegetation, soil type, and management practices, also impact how organic carbon is distributed throughout soil layers and managed [25]. Soils with higher clay content typically exhibit higher organic carbon content due to the large surface area and cation exchange capacity of clay particles, which help protect organic matter retention and increase organic matter protection [26]. Sandy soils tend to have lower organic carbon content due to their reduced cation exchange capacity, while silt soils fall somewhere between sandy and clayey soils in terms of organic carbon content. After sieve analysis was performed, the samples were segregated, and an analysis method was used. The three (3) main organic carbon analysis methods carried out in this project were the Walkley–Black, LOI, and photocatalytic COD analyzer methods. The purpose of this study was to investigate the validity and reliability of the photocatalytic COD analyzer method compared to currently accepted methods.
First, the loss on ignition (LOI) method can be used to measure organic carbon levels in soils by measuring mass differences before and after combustion. This process typically entails several steps. First, the crucible and sample are weighed to establish an initial weight, and they are placed into a muffle furnace for exposure to high temperatures for a designated timeframe [27]. Soil is placed in a furnace at temperatures ranging between 350 and 440 °C [27], but the research team investigated temperatures ranging between 400 and 600 °C to explore the different possibilities resulting in higher temperatures. At this stage, organic matter found in the soil sample is burned away through combustion, leaving behind only inorganic matter. When complete, the remaining soil residue and the crucible are allowed to cool before being weighed once more to determine their weight. By subtracting that figure from that of the initial weight of the soil sample and subtracting the weight of the remaining residue from the initial weight of the sample, the organic carbon content can then be calculated and expressed as a percentage (Equation (2)).
Organic Matter % = (Initial Weight − Final Weight)/(Initial Weight) × 100 ≅ 1.704% TOC
This method using mass differences offers an efficient and cost-effective method for estimating soil organic carbon content. However, it should be noted that this approach does not distinguish between types of organic matter or inorganic carbon, and may introduce some inaccuracies in its results. Precise control over the combustion temperature and duration is crucial for obtaining accurate outcomes with this approach. Although the LOI method provides an estimate of total organic carbon based on its high ratio to other constituents in organic matter, when applying this method, it is essential to consider certain factors. Structural water loss during heating could result in weight loss due to structural water evaporation; this may misrepresent the organic matter content of the soil sample. Treating with hydrochloric acid prior to ignition could mitigate this effect; however, the presence of HCl could result in some organic material dissolving into the solution. LOI methods are well known for being simple, affordable, and low-risk; no harmful chemicals are necessary [27]. Although the LOI method estimates organic carbon content accurately, given its diverse nature, more investigations are needed to fully comprehend how organic matter differs among soil types to ensure accurate estimations.
One of the other current methods investigated in this project is the Walkley–Black method. The Walkley–Black method is a wet oxidation procedure used to determine total organic carbon levels in soil samples [28]. While it is considered to be semiquantitative due to requiring a correction factor specific to each sample being examined, this approach remains viable in many situations. This method assumes that organic carbon is the main reducing agent in soil organic matter and that the proportions of hydrogen and nitrogen are directly related to its carbon content. Oxidation reactions involve the use of a concentrated solution of sulfuric acid and potassium dichromate (K2Cr2O7) for organic carbon conversion to carbon dioxide (CO2) [28]. This results in the release of carbon dioxide gas as a product. Reduced dichromate ions are then back-titrated using ferrous sulfate (FeSO4) to determine any excess dichromate, while the organic carbon content is calculated by comparing the volume of titrant used during soil sample titration to that used during blank titration, typically with an approximate correction factor of 1.3 being applied, as this helps account for incomplete combustion and recovery of organic carbon using this method. The calculation of the organic carbon content in the soil samples was performed by using an equation (Equations (3) and (4) [28]) that considers both the volumes of the titrant used during the soil sample titrations and those used during the blank titrations. The organic carbon content of the soil samples was calculated and utilized to establish their final organic carbon content [29].
%TOC = 1.3 ×%WBC
%WBC = ((VBlank − VSample) × M_(Fe2+) × mcf × 0.003 × 100)/W
Abbreviations/definitions:
- %WBC: Organic carbon in the soil sample measured in the reaction.
- VBlank: Volume of titrant in blank titration.
- VSample: Volume of titrant in sample titration.
- M_(Fe2+): Concentration of ferrous sulfate.
- mcf: Moisture correction factor.
- W: Weight of the soil sample.
For the utilization of PeCOD, organic carbon in the soils was extracted in liquid form from these samples to be fed directly into a photocatalytic COD analyzer for further evaluation. To prepare the soil sample for analysis using the COD analyzer, 0.25 g of soil was weighed, and 50 mL of deionized water was added to a 100 mL cup with a sealable lid. The mixture was mixed manually for one minute and was allowed to settle for 30 min before being transferred to a 50 mL test tube and centrifuged for 15 min. Finally, using a syringe with a 45 µm filter tip, 20 mL of this solution was removed and then transferred to another 50 mL test tube, as this solution became the sample solution used for further analyses.
For the PeCOD sample setup, 15 mL of green range electrolyte was added to a test tube containing 15 mL of soil sample and mixed well using a vortex mixer. As an additional step in the preparation of the PeCOD samples, a blank sample was prepared by mixing 15 mL of Milli-Q water with 15 mL of the green range electrolyte in separate test tubes. Next, the PeCOD was calibrated by following the software setup steps, using a 1:1 ratio between the calibrant and electrolyte solutions for the green range in Port A and deionized water in Port B for calibration of the green range electrolytes. To run the PeCOD analysis, the prepared soil sample was placed in Port A, and the blank solution was placed in Port B. The analysis was started by choosing the desired number of replicates, and the data sets were collected/downloaded after every run. At the conclusion of each run, both ports were flushed with deionized water to ensure adequate cleaning between samples. The PeCOD analyzer measures the amount of oxygen necessary to oxidize organic carbon present in samples. Photocatalysis involves ultraviolet (UV) radiation stimulating a catalyst in the presence of oxygen and excitation, which generates free holes and electrons that then initiate oxidation reactions. Titanium dioxide (TiO2) has proven to be an efficient catalyst for these reactions because of its excellent efficiency, stability, low toxicity, and cost-effectiveness. For optimal photocatalysis with TiO2, wavelengths under 400 nm are necessary (approx. (λ = 354 nm)). PeCOD relies on titanium dioxide as its photocatalyst, whereby UV light exposure excites valence electrons to release free holes and electrons that then create oxygen radicals that react with organic material, breaking it down to carbon dioxide and water. As oxygen radicals react with the organics present, more free holes are freed, creating a photocurrent that measures the sample oxidation demand. Research shows that TiO2 photocatalysis is a powerful tool for removing soil polluted by pesticides, PAHs, or petroleum hydrocarbons. It seems that the speed of these clean-up reactions is closely related to how quickly organic matter breaks down and how efficient the whole process is. Multiple scientists have also investigated the UV absorbance levels and concentrations of COD and SOC in new photocatalyst solutions that are currently available on the market. Experiments examining total organic carbon (TOC) in water have some serious potential, especially in regard to identifying places with TOC contamination. Getting these soils back to their original state is not as easy; it could become tricky because each site has its own set of challenges. Therefore, studies have focused on using TiO2 photocatalysis specifically for tackling issues caused by pesticides and PAHs in soils [30,31,32].
To calculate the organic carbon content, the COD value obtained during analysis was used. The conversion factors varied according to the soil type, and could be obtained either through the literature sources or calibration curves using known organic carbon standards. Additionally, soil samples collected for sampling were georeferenced with GIS technology using GPS devices, and then were processed through GIS software to generate maps that depict the organic carbon distribution across their study areas. Interpretation of the results obtained was accomplished using spreadsheet software. Statistical measures such as the mean and standard deviation were computed to summarize the organic carbon content data, while GIS maps generated earlier allowed for the identification of areas with high or low organic carbon concentrations for spatial analysis and interpretation. To ensure the accuracy and reliability of the results, it was crucial to follow standard protocols and implement quality control procedures at each step of the process. It was also necessary to consider factors such as sample representativeness, COD analyzer calibration, and GPS device quality when interpreting the results.
3. Results and Discussion
3.1. Sampling Locations
The sampling locations were selected based on a literature review of agricultural sites across Canada, and the research team consented to the landowners entering the sites to collect and analyze the soil samples. This entails which provinces generally contain the most agricultural lands. This study was based on the consent of landowners to use their land for soil sampling and analysis. The team did not look at specific locations, since this analysis looked at analyzing soil samples from various locations regardless of the variables. Sampling quantities were unified at a total of 5 gallons per site. Previous experience in soil sampling has shown that 5 gallons were sufficient for this project.
First, Table 1 summarizes the location, sampling depth, and sampling techniques used for the soils investigated in this paper. Furthermore, as part of the results validation and verification measures, the research team checked the validity of the sieve analysis carried out by comparing their results with the results of a sieve analysis carried out at one of the Canadian Council of Independent Laboratories (CCIL) certified laboratories in Lindsay, Ontario [33].
Table 1.
Sampling locations and methods.
3.2. Physical Fractionation
The Lathom and Alberta samples were taken from a solar farm construction site, and some of the samples were sent to a third-party certified laboratory for sieve analysis. Table 2 and Table 3 summarize the sieve analysis results obtained by the research team and the certified laboratory.
Table 2.
Physical fractionation results (Lathom Field).
Table 3.
Grain size analysis results (Lathom Field).
Moreover, Table 2 summarizes the physical fractionation results of the samples collected from the Bruce Field in London, Ontario. The field was divided into two (2) zones based on homogenous characteristics. The first zone is called the control zone, and the second zone is called the wollastonite zone, as the wollastonite mineral was applied to that part of the field. Table 2 also provides the fractionation results for Loewith Field.
3.3. Loss on Ignition (LOI) Method
After confirming the validity of the sieve analysis, the samples were assigned to the specific SOC determination methods. The first determination method is the loss on ignition method, and Table 4 provides insight into the nature of the SOC content in these samples.
Table 4.
LOI Results at 500 °C.
One striking result that can be noted from the above results is the variation in soil organic carbon (SOC) content depending on soil texture. Finer-grained materials, such as clayey soils, showed greater SOC than coarser materials based on previous research showing that clay particles have an increased capacity to protect organic matter and increase SOC [25]. Furthermore, the high surface area and cation exchange capacity of clay particles facilitate the retention and stabilization of organic matter, ultimately contributing to a higher SOC content. Scientific consensus indicates that soil texture has an enormous effect on SOC content. A thorough examination of different types and their respective COD values revealed significant variations. Clayey soils particularly stood out due to their ability to hold onto more SOC than coarser-textured soils due to the increased surface area and greater capacity of clay particles to adsorb and store organic material. The correlations among soil texture, COD values, and SOC content stemmed from the physical and chemical properties of the individual soil particles, as mentioned earlier.
As noted in the above results, soil samples from the same field or soil fractions from the same sample with smaller particle sizes tended to have higher SOC contents, as predicted by the literature. It should be noted that when comparing different samples from different fields, the sole comparison using soil texture as the only variable would not satisfy the literature predictions/results.
3.4. Walkley–Black Method
The second method investigated in this project, the Walkley–Black method, was performed on the same samples, and the results are summarized in Table 5.
Table 5.
Results of the Walkley–Black method.
The names/tags for the samples are as follows: “LT-BH1” refers to a sample picked from Lathom Field in Borehole 1. When “-50” is added, the sample is fractionated to a 50 mm size. “BON-C-15” refers to a sample from the Bruce Field on the control side at a depth of 15 cm. When a “-50” or “-250” is added after “-15” or “-30”, the sample is fractionated to a 50- or 250 mm fraction. The “-W” refers to the wollastonite side of the Bruce Field.
In addition to the previous observations, this study also demonstrated a decreasing trend in organic carbon with increasing soil depth. The SOC content decreased as depth increased, which is consistent with the accumulation of organic matter near the soil surface before it gradually decomposed with depth due to the reduced input of organic material, increased decomposition rates, and leaching processes [34]. This finding highlights the significance of considering depth when assessing and managing SOC content, as deeper layers may contain lower carbon stocks. At different depths, nutrients and environmental conditions play a major role in explaining variations in SOC content. Shallow soils nearer to the soil surface tend to receive greater organic material input from vegetation, litterfall, and surface residues, which provide nutrients essential to fuel microbial activity, resulting in higher COD values and ultimately higher SOC content values. The decomposition rates of organic matter further emphasize differences in SOC content across soil depths. Shallower soils experience enhanced decomposition rates from exposure to temperature variations, air circulation, and microorganism activity. As soil depth increases, however, conditions become less ideal for rapid decomposition cycles, leading to greater carbon retention by soil matrix cells [34,35].
3.5. PeCOD Analysis
Finally, the same samples were introduced to the PeCOD, and Table 6 presents the COD value of each sample.
Table 6.
PeCOD analysis results.
The above results also demonstrated a direct relationship between chemical oxygen demand (COD) and soil organic carbon content (SOC), measured using the photocatalytic COD analyzer method used in this study. Higher COD values corresponded with greater organic carbon levels in soil samples. This suggests that a photocatalytic COD analyzer is an accurate way of estimating SOC in soils. Using UV radiation and photocatalyst photocatalysis technology, this technique has proven to be a fast and accurate way of measuring SOC in soils, while the correlation between COD and SOC dynamics further supports its effectiveness in assessing SOC dynamics in soils. The observed correlation between COD values and SOC dynamics further validates the validity and usefulness of this method as a tool for assessing SOC dynamics in soil samples. The identified relationships among soil texture, depth, COD content, and SOC content have profound ramifications for understanding SOC distribution and dynamics. Fine-grained soils with higher clay content should be recognized as potential carbon sinks, but their decreasing trend suggests that surface organic matter should be maintained through suitable land management practices [25]. To better visualize the applicability of the PeCOD to determine the organic carbon content in soils, Figure 1 and Figure 2 illustrate the results of each method on spider charts.
Figure 1.
SOC determination using conventional methods (LOI and Walkley–Black (WLK)) for selected soil samples, divided into two datasets.
Figure 2.
COD data using PeCOD for selected soil samples, divided into two datasets.
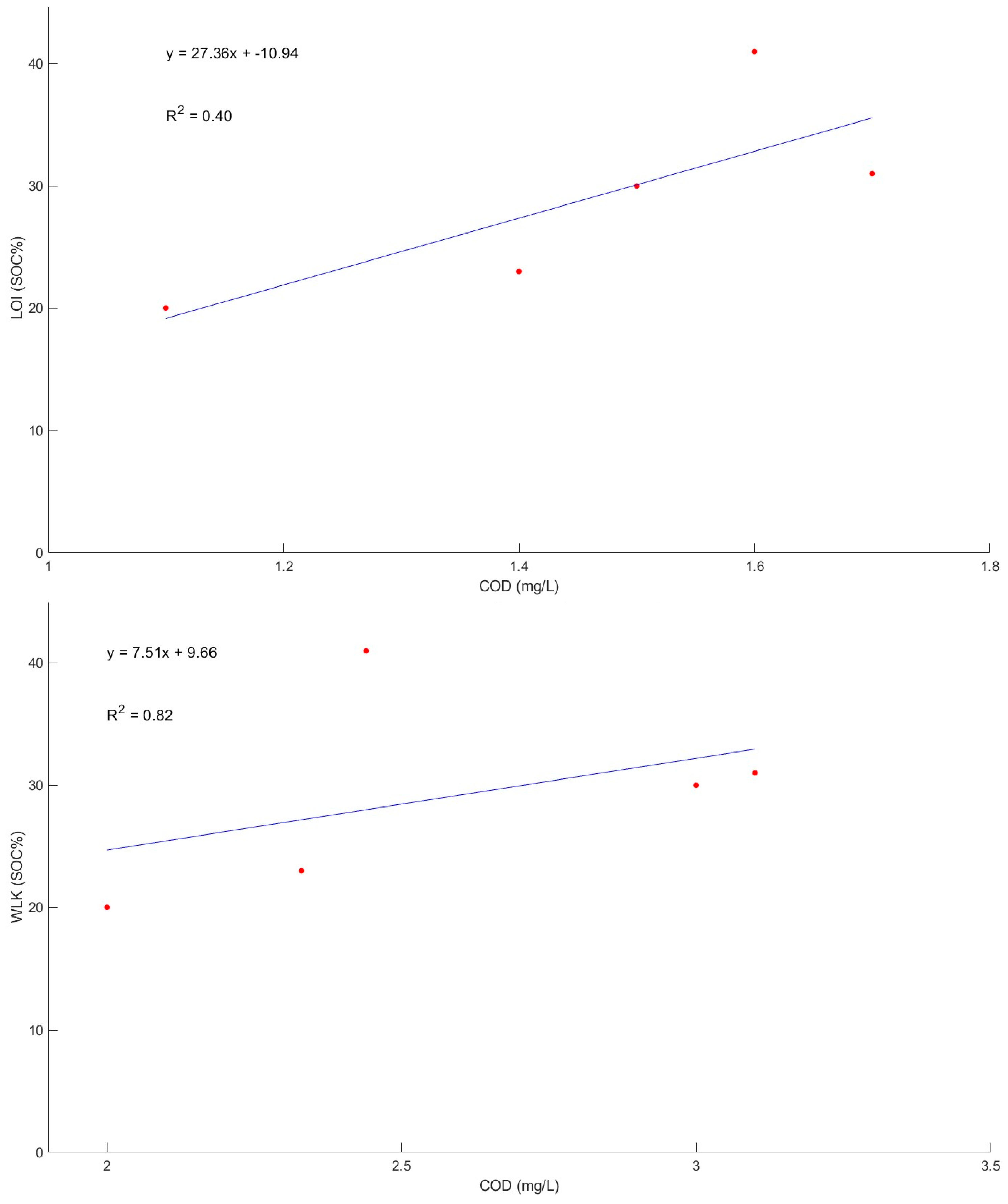
The LOI values are generally greater than the Walkley–Black values in dataset 1 graph compared to the dataset 2 graph in Figure 1. This pattern of results may have resulted in the imbalance of the amounts of soil organic carbon and soil inorganic carbon (SIC). This was concluded when comparing the sources of the soils, as the second graph shows soils sampled from Bruce Field in Ontario (BON), and the first graph shows all other soil sources. Bruce fields can be described as farmland, as several crops are being grown there in addition to the application of wollastonite to enhance fertilizer efficiency. Hence, the composition of SOC in comparison to SIC will be different than that in brownfields, such as the soils in dataset 1. Furthermore, the team prepared a linear regression analysis for Bruce Field to compare the current methods (LOI and Walkley–Black) with values from the PeCOD. Figure 3 illustrates those analyses.
Figure 3.
LOI vs. COD linear regression (top) and WLK vs. COD linear regression (bottom) for Bruce-W.
Even as the results provide valuable insights, it is necessary to recognize certain limitations and sources of error in the study. One such limitation is its spatial scope, which could impede generalizability. Soil properties differ significantly across regions, climates, and land use types, requiring caution when extrapolating findings to larger contexts. Furthermore, variations in sampling techniques, laboratory methods, and calibration procedures may introduce uncertainties that affect measurement accuracy, which must be considered for standardization and quality control in subsequent research efforts. The research time identified one other limitation of this technique, which is the exclusivity of the analysis. The PeCOD generally analyzes the samples by comparing them to a calibration standard sorbitol solution of a concentration of 120 mg/L. SOC is greatly influenced by various components, such as soil type, climate, and land use; thus, SOC exhibits substantial spatial variations. SOC levels and dynamics are integral parts of every soil type formed through pedogenesis or later land use, including their formation or stabilization processes. As SOC is both a chemical and an ecological component of soil, its various forms overlap and complement one another to form quality soil. As such, we must assess their interactions and impacts on soil from both its conservation and use perspectives. Diverse pools of functional SOC fractions are affected by land usage, necessitating diverse assessment methodologies. Most often, fractions are quantifiable organic matter forms, while pools are used to describe conceptually separated and kinetically distinct components [36].
The team took one step further and looked for a link between a certain standard solution and a certain soil type. Various standard solutions were prepared using different salts and acids, such as tannic and humic acids. The standard solutions were created at concentrations ranging from 60 mg/L to 180 mg/L. The main purpose of those solutions is to understand the different interactions and correlations that could occur when using PeCOD. The team was looking for a link between a certain standard solution and a certain soil type/texture. To understand the interactions of the PeCOD standard solutions, the team investigated the Iwork versus time graph produced by the PeCOD equipment during calibration. Figure 4 illustrates some of those graphs.

Figure 4.
Iwork (X-axis, µA) vs. time (Y-axis, seconds) graphs. (a): citric acid—60 mg/L. (b): humic acid—60 mg/L. (c): tannic acid—60 mg/L.
The areas below the curves (A, B, and C) represent the COD values for the calibrant and sample solutions inserted in the PeCOD. Areas A and B represent the calibrant, and C represents the sample solution. The team examined the different curves produced with the different standard calibration solutions to identify the most suitable solutions for the different soil textures/types. According to the above graphs, the humic acid solution is most suitable for sandy soils due to its relatively lower SOC content. The team will continue to explore different solutions using different salts/acids to ensure that a reasonable and reliable match is made during potential field/industry applications. The red circle prior to the three (3) curves marks the “normalization” phase of the PeCOD operation procedure. The normalization phase involves the samples being taken into the reaction vessel and being exposed to UV oxidizing power at wavelengths less than 400 nm.
3.6. Geographic Information System (GIS)
Finally, GIS technology played an essential role in this study by georeferencing sampling locations and integrating geological and other relevant data for comprehensive soil sample analyses. GIS-enabled precise mapping and spatial analysis provided valuable insight into the distribution patterns of soil properties across the study area. Georeferencing involved recording each sampling point’s coordinates using a global positioning system (GPS) device and then importing them into GIS software for use in creating accurate maps that accurately and vividly depict the spatial distribution of the soil samples. Geological maps, land use maps, and elevation data were also included in the GIS analysis of this geospatial analysis process.
GIS data integration provided deeper insight into the connection between soil properties and geological context. GIS maps generated through GIS revealed clear spatial patterns of soil organic carbon (SOC) content relative to geology. Fine-grained materials such as clayey soils had higher SOC content than coarser materials, which is consistent with previous research [34,35,36,37]. This finding illustrates the influence of soil texture on SOC distribution, and supports our conclusion that soil properties are intrinsically tied to geological features in the study area. In addition, GIS data integration can facilitate the identification of hotspot areas characterized by higher SOC content and areas with lower SOC levels. By overlaying SOC distribution maps with land use data, specific land management practices, such as agricultural fields or forested areas that contribute to variations in soil carbon sequestration, could be pinpointed, and thus help guide soil management strategies and target interventions aimed at increasing SOC sequestration. Figure 5, Figure 6 and Figure 7 illustrate the sample GIS maps created for the three (3) analyzed samples explored in this study.
Figure 5.
Sampling location GIS map (Bruce Field, Ontario).
Figure 6.
Sampling location GIS map (Lathom Field, Alberta). Map data sourced from GeoDiscover Alberta [38].
Figure 7.
Soil texture GIS map (Southern Ontario). Map data sourced from GeologyOntario [39].
The reasoning behind the preparation of the soil texture/geology maps is to understand the nature of the soil being analyzed. For instance, let us take the Lathom Field in Alberta as an example (Figure 6). The geology data illustrate that the geological features at the sampling location are classified as “Bearpaw Formation”. According to the United States Geological Survey, the Bearpaw Formation consists of dark gray clays, claystones, silty claystones, shales, silts, and siltstones; subordinate brownish gray silty sands/sands/sandstones with numerous concretionary beds of bentonite; and numerous concretionary beds, as well as thin bentonite layers, are the predominant rocks/sediment types present within the Bearpaw Formation. While they were originally referred to as “clay shales”, most subsequent workers now refer to them simply as shales. This means that such soils/materials would be composed of clayey silty materials that would generally have high water retention. It should be noted that this would translate to a higher SOC content in comparison to coarser materials.
Precipitation and temperature have an outsized influence on soil moisture and temperature regimes—two crucial variables governing organic matter decomposition rates and carbon turnover rates. Stakeholders can develop land management strategies with increased potential for carbon sequestration by knowing which geographic regions have higher or lower SOC content, as well as their differential influences from the geophysical and climatic domains. The examples of GIS maps generated in this analysis depict soil characteristics across their regions, while simultaneously showing complex links among geology, soil properties, and land use supplications/make-up. It should be noted that GIS analysis should not be approached without considering its limitations and possible sources of error, particularly georeferencing accuracy, which relies heavily on GPS device precision as well as on having access to high-quality base maps as reference materials. Furthermore, variations in sampling density or scale can change representativeness and introduce spatial uncertainties into the analysis.
4. Conclusions
In this research, we developed an efficient method for estimating soil organic carbon (SOC) using a photocatalytic chemical oxygen demand (PeCOD) analyzer for on-site use. The PeCOD analyzer proved valuable for sustainable agriculture, climate change mitigation, and soil health management by accurately determining SOC levels. Our findings show that clayey soils have higher SOC concentrations than coarser soils, emphasizing the importance of considering soil texture in carbon sequestration. SOC percentages ranged from 0.22% to 3.28%, with silty/sandy samples showing higher OC% than clayey samples, although comparisons require consistent variables such as precipitation and soil depth.
SOC levels decreased with soil depth, particularly beyond 30 cm, supporting previous studies. Sustainable practices, such as no-till farming and cover cropping, are essential for maintaining topsoil carbon. Geospatial technology enabled precise soil sampling and SOC analysis, aiding in tailored land management to enhance carbon sequestration. Overall, the PeCOD analyzer efficiently estimated SOC in agricultural soils, supporting carbon credit mechanisms and geotechnical assessments. This study benefits farmers and land managers in adopting climate-smart agriculture practices by enabling accurate SOC estimation and potential carbon credit claims. Future research should focus on the long-term stability of SOC estimates using the PeCOD method.
Author Contributions
Conceptualization, K.A.E.H., Y.W.C. and R.M.S.; methodology, K.A.E.H. and R.M.S.; investigation, K.A.E.H.; resources, Y.W.C. and R.M.S.; writing—original draft preparation, K.A.E.H.; writing—review and editing, R.M.S.; supervision, Y.W.C. and R.M.S. All authors have read and agreed to the published version of the manuscript.
Funding
This research was funded by Mitacs Accelerate, Project number IT31097.
Data Availability Statement
The data presented in this study are available on request from the corresponding author.
Acknowledgments
The authors would like to thank MANTECH Inc. for their technical support.
Conflicts of Interest
The authors declare no conflicts of interest.
References
- Agriculture and the Environment. Soil Organic Matter Indicator. 2022. Available online: https://agriculture.canada.ca/en/agriculture-and-environment/soil-and-land/soil-organic-matter-indicator (accessed on 13 April 2022).
- Statistics Canada. Table 32-10-0446-01 Farms Reporting Technologies Used on the Operation in the Year Prior to the Census. 2017. Available online: https://www150.statcan.gc.ca/t1/tbl1/en/tv.action?pid=3210044601 (accessed on 28 May 2024).
- Ontario Ministry of Agriculture, Food and Rural Affairs. Statistical Summary of Ontario Agriculture. 2016. Available online: http://www.omafra.gov.on.ca/english/stats/agriculture_summary.htm (accessed on 13 April 2022).
- Laamrani, A.; Voroney, P.R.; Berg, A.A.; Gillespie, A.W.; March, M.; Deen, B.; Martin, R.C. Temporal change of soil carbon on a long-term experimental site with variable crop rotations and tillage systems. Agronomy 2020, 10, 840. [Google Scholar] [CrossRef]
- Environment and Climate Change Canada. Pan-Canadian Framework on Clean Growth and Climate Change: Canada’s Plan to Address Climate Change and Grow the Economy. 2016. Available online: https://publications.gc.ca/pub?id=9.828774&sl=0 (accessed on 13 April 2022).
- Stockmann, U.; Adams, M.A.; Crawford, J.W.; Field, D.J.; Henakaarchchi, N.; Jenkins, M.; Minasny, B.; McBratney, A.B.; de Remy de Courcelles, V.; Singh, K.; et al. The knowns, known unknowns and unknowns of sequestration of soil organic carbon. Agric. Ecosyst. Environ. 2013, 164, 80–99. [Google Scholar] [CrossRef]
- Uyguner-Demirel, C.S.; Bekbolet, M. Significance of analytical parameters for the understanding of natural organic matter in relation to photocatalytic oxidation. Chemosphere 2011, 84, 1009–1031. [Google Scholar] [CrossRef] [PubMed]
- Stockmann, U.; Padarian, J.; McBratney, A.; Minasny, B.; de Brogniez, D.; Montanarella, L.; Hong, S.Y.; Rawlins, B.G.; Field, D.J. Global soil organic carbon assessment. Glob. Food Secur. 2015, 6, 9–16. [Google Scholar] [CrossRef]
- Lal, R. Soil health and carbon management. Food Energy Secur. 2016, 5, 212–222. [Google Scholar] [CrossRef]
- Lehmann, J.; Kleber, M. The contentious nature of soil organic matter. Nature 2015, 528, 60–68. [Google Scholar] [CrossRef] [PubMed]
- Chenu, C.; Angers, D.A.; Barré, P.; Derrien, D.; Arrouays, D.; Balesdent, J. Increasing organic stocks in agricultural soils: Knowledge gaps and potential innovations. Soil Tillage Res. 2015, 188, 41–52. [Google Scholar] [CrossRef]
- Wiesmeier, M.; Hübner, R.; Spörlein, P.; Geuß, U.; Hangen, E.; Reischl, A.; Schilling, B.; von Lützow, M.; Kögel-Knabner, I. Carbon sequestration potential of soils in southeast Germany derived from stable soil organic carbon saturation. Glob. Chang. Biol. 2014, 20, 653–665. [Google Scholar] [CrossRef]
- Kopittke, P.M.; Dalal, R.C.; Hoeschen, C.; Lia, C.; Menzies, N.W.; Mueller, C.W. Soil organic matter is stabilized by organo-mineral associations through two key processes: The role of the carbon to nitrogen ratio. Geoderma 2020, 357, 113974. [Google Scholar] [CrossRef]
- Dubber, D.; Gray, N.F. Replacement of chemical oxygen demand (COD) with total organic carbon (TOC) for monitoring wastewater treatment performance to minimize disposal of toxic analytical waste. J. Environ. Sci. Health Part A Toxic Hazard. Subst. Environ. Eng. 2010, 45, 1595–1600. [Google Scholar] [CrossRef]
- Dhillon, G.S.; Amichev, B.Y.; de Freitas, R.; Van Rees, K. Accurate and Precise Measurement of Organic Carbon Content in Carbonate-Rich Soils. Commun. Soil Sci. Plant Anal. 2015, 46, 2707–2720. [Google Scholar] [CrossRef]
- Davis, M.R.; Alves, B.J.R.; Karlen, D.L.; Kline, K.L.; Galdos, M.; Abulebdeh, D. Review of Soil Organic Carbon Measurement Protocols: A U.S. and Brazil Comparison and Recommendation. Sustainability 2018, 10, 53. [Google Scholar] [CrossRef]
- Nayak, A.K.; Rahman, M.M.; Naidu, R.; Dhal, B.; Swaina, C.K.; Nayak, A.D.; Tripathi, R.; Shahid, M.; Islam, M.R.; Pathak, H. Current and emerging methodologies for estimating carbon sequestration in agricultural soils: A review. Sci. Total Environ. 2019, 665, 890–912. [Google Scholar] [CrossRef] [PubMed]
- Smith, P.; Soussana, J.-F.; Angers, D.; Schipper, L.; Chenu, C.; Rasse, D.P.; Batjes, N.H.; van Egmond, F.; McNeill, S.; Kuhnert, M.; et al. How to measure, report and verify soil carbon change to realize the potential of soil carbon sequestration for atmospheric greenhouse gas removal. Glob. Chang. Biol. 2020, 26, 219–241. [Google Scholar] [CrossRef] [PubMed]
- Araujo, F.S.M.; Fantucci, H.; Lima, S.H.O.; Abreu, M.C.S.; Santos, R.M. Modeling Canadian farmer’s intention to adopt eco-friendly agricultural inputs and practices. Reg. Environ. Chang. 2022, 22, 44. [Google Scholar] [CrossRef]
- Fantucci, H.; Aguirre, M.; Santos, R.M. Wet air oxidation route for the synthesis of organomineral fertilizer from synergistic wastes (pomace and kimberlite). Ind. Eng. Chem. Res. 2021, 60, 11657–11675. [Google Scholar] [CrossRef]
- Haque, F.; Santos, R.M.; Chiang, Y.W. CO2 sequestration by wollastonite-amended agricultural soils—An Ontario field study. Int. J. Greenh. Gas Control 2020, 97, 103017. [Google Scholar] [CrossRef]
- Creamer, C.A.; Filley, T.R.; Boutton, T.W. Long-term incubations of size and density separated soil fractions to inform soil organic carbon decay dynamics. Soil Biol. Biochem. 2013, 57, 496–503. [Google Scholar] [CrossRef]
- Goovaerts, P. Geostatistics in soil science: State-of-the-art and perspectives. Geoderma 1999, 89, 1–45. [Google Scholar] [CrossRef]
- ASTM C136; Standard Test Method for Sieve Analysis of Fine and Coarse Aggregates. ASTM International: West Conshohocken, PA, USA, 2015.
- Six, J.; Conant, R.T.; Paul, E.A.; Paustian, K. Stabilization mechanisms of soil organic matter: Implications for C-saturation of soils. Plant Soil 2002, 241, 155–176. [Google Scholar] [CrossRef]
- Schweizer, S.A.; Mueller, C.W.; Hoschen, C.; Ivanov, P.; Kogel-Knabner, I. The role of clay content and mineral surface area for soil organic carbon storage in an arable toposequence. Biogeochemistry 2021, 156, 401–420. [Google Scholar] [CrossRef]
- Schumacher, B.A.; Methods for the Determination of Total Organic Carbon (TOC) in Soil and Sediments. United States Environmental Protection Agency. 2002. Available online: http://bcodata.whoi.edu/LaurentianGreatLakes_Chemistry/bs116.pdf (accessed on 28 May 2024).
- Walkley, A.; Black, I.A. An Examination of the Degtjareff Method for Determining Soil Organic Matter, and a Proposed Modification of the Chromic Acid Titration Method. Soil Sci. 1934, 37, 29–38. [Google Scholar]
- Food and Agriculture Organization of the United Nations (FAO). Standard Operating Procedure for Soil Organic Carbon. Walkley-Black Method: Titration and Colorimetric Method. 2019. Available online: http://www.fao.org/publications/card/en/c/CA7471EN/ (accessed on 28 May 2024).
- Aliste, M.; Garrido, I.; Flores, P.; Hellín, P.; Pérez-Lucas, G.; Navarro, S.; Fenoll, J. Photocatalytic degradation of four insecticides and their main generated transformation products in soil and pepper crop irrigated with reclaimed agro-wastewater under natural sunlight. J. Hazard. Mater. 2021, 414, 125603. [Google Scholar] [CrossRef] [PubMed]
- Anandhakumari, G.; Jayabal, P.; Balasankar, A.; Ramasundaram, S.; Oh, T.H.; Aruchamy, K.; Kallem, P.; Polisetti, V. Synthesis of strontium oxide-zinc oxide nanocomposites by co-precipitation method and its application for degradation of malachite green dye under direct sunlight. Heliyon 2023, 9, e20824. [Google Scholar] [CrossRef] [PubMed]
- Subramaniyan, R.; Athinarayanan, B.; Oh, T.H. Multi-usable titanium dioxide and poly (vinylidene fluoride) composite foam photocatalyst for degradation of organic pollutants. SSRN 2022, 4177577. [Google Scholar] [CrossRef]
- Canadian Council of Independent Laboratories (CCIL). List of Certified Laboratories. 2023. Available online: https://www.ccil.com/certification/list-of-certified-laboratories/ (accessed on 6 June 2024).
- Jobbágy, E.; Jackson, R. The Vertical Distribution of Soil Organic Carbon and Its Relation to Climate and Vegetation. Ecol. Appl. 2000, 10, 423–436. [Google Scholar] [CrossRef]
- Li, Q.; Li, A.; Dai, T.; Fan, Z.; Luo, Y.; Li, S.; Yuan, D.; Zhao, B.; Tao, Q.; Wang, C.; et al. Depth-dependent soil organic carbon dynamics of croplands across the Chengdu Plain of China from the 1980s to the 2010s. Glob. Chang. Biol. 2020, 26, 4134–4146. [Google Scholar] [CrossRef] [PubMed]
- Ćirić, V.I.; Manojlović, M.; Svarc-Gajic, J.; Šeremešić, S. The Assessment of Soil Organic Carbon Pools in Different Soils Using Four Fractionation Methods. Commun. Soil Sci. Plant Anal. 2023, 54, 1910–1922. [Google Scholar] [CrossRef]
- Smith, P.; Smith, J.U.; Powlson, D.S.; McGill, W.B.; Arah, J.R.M.; Chertov, O.G.; Coleman, K.; Franko, U.; Frolking, S.; Jenkinson, D.S.; et al. A comparison of the performance of nine soil organic matter models using datasets from seven long-term experiments. Geoderma 2018, 326, 50–67. [Google Scholar] [CrossRef]
- Environment and Parks Alberta. GeoDiscover Alberta. 2024. Available online: https://geodiscover.alberta.ca (accessed on 13 April 2024).
- Ministry of Mines of Ontario. GeologyOntario. 2024. Available online: https://www.geologyontario.mndm.gov.on.ca (accessed on 13 April 2024).
Disclaimer/Publisher’s Note: The statements, opinions and data contained in all publications are solely those of the individual author(s) and contributor(s) and not of MDPI and/or the editor(s). MDPI and/or the editor(s) disclaim responsibility for any injury to people or property resulting from any ideas, methods, instructions or products referred to in the content. |
© 2024 by the authors. Licensee MDPI, Basel, Switzerland. This article is an open access article distributed under the terms and conditions of the Creative Commons Attribution (CC BY) license (https://creativecommons.org/licenses/by/4.0/).







