Effect of Ohmic Heating on the Extraction Yield, Polyphenol Content and Antioxidant Activity of Olive Mill Leaves
Abstract
1. Introduction
2. Materials and Methods
2.1. Plant Materials and Chemicals
2.2. Experimental Design
2.3. Proximate Analysis
2.3.1. Moisture Content
2.3.2. Total Ash
2.3.3. Total Fat
2.3.4. Crude Protein
2.3.5. Crude Fiber
2.3.6. Total Carbohydrate
2.4. Extraction System
2.5. Extraction Yeild
2.6. Total Phenolic Content (TPC)
2.7. Antioxidant Activity
2.7.1. ABTS Radical Scavenging Activity
2.7.2. DPPH Radical Scavenging Activity
2.8. Statistical Analysis
3. Results and Discussion
3.1. Proximate Analysis
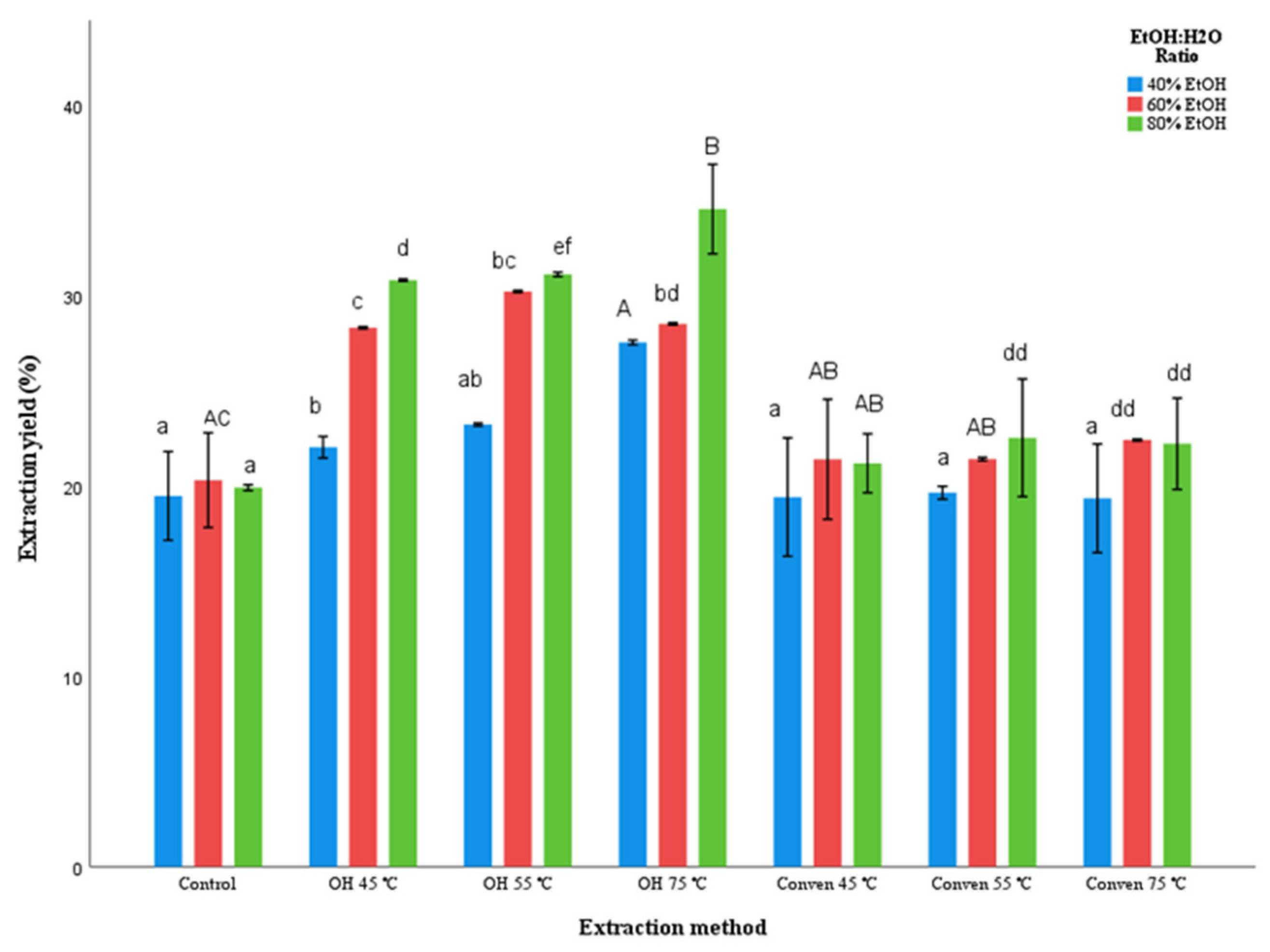
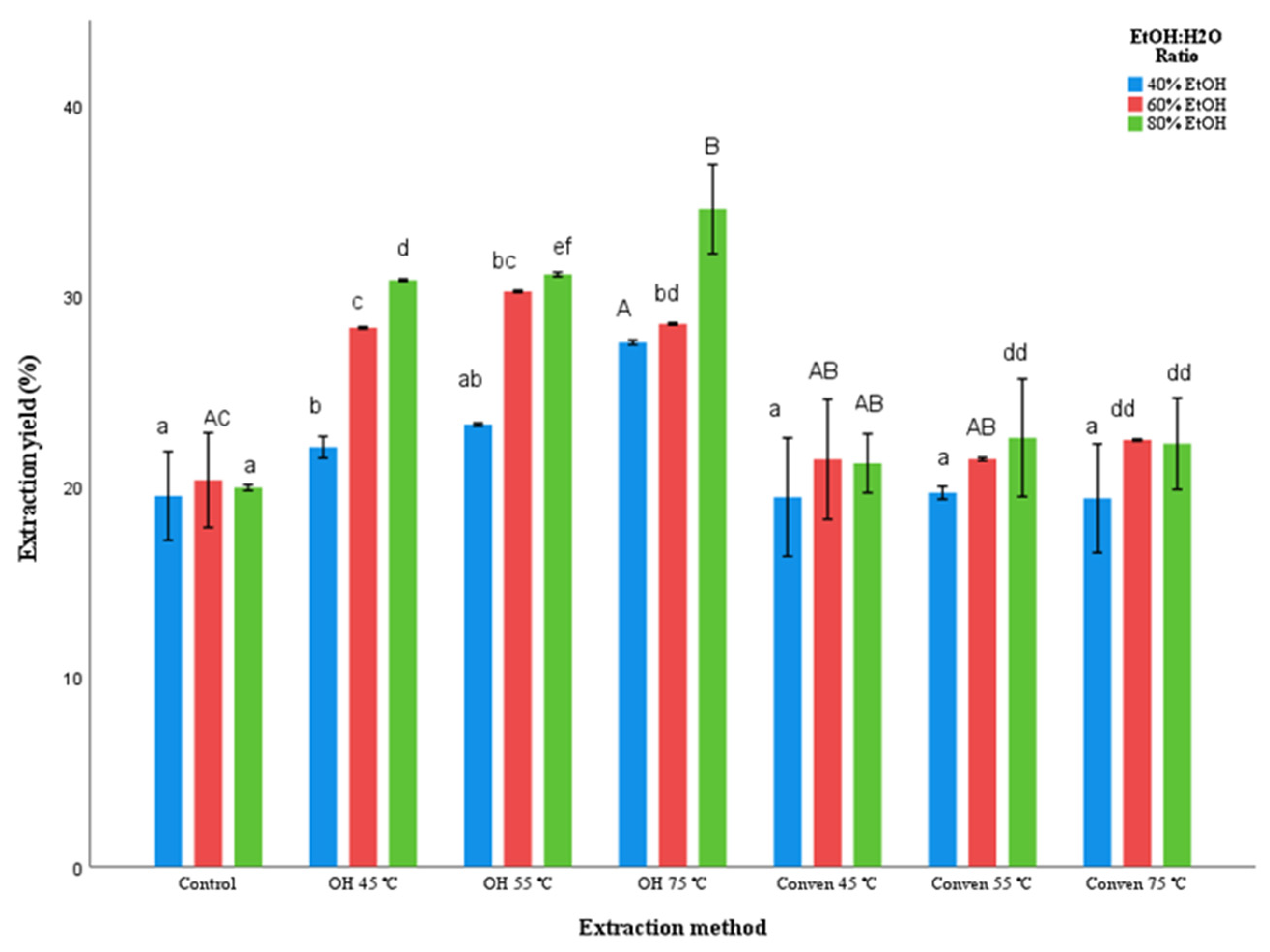
3.2. Extraction Yield
3.3. Total Phenolic Content (TPC)
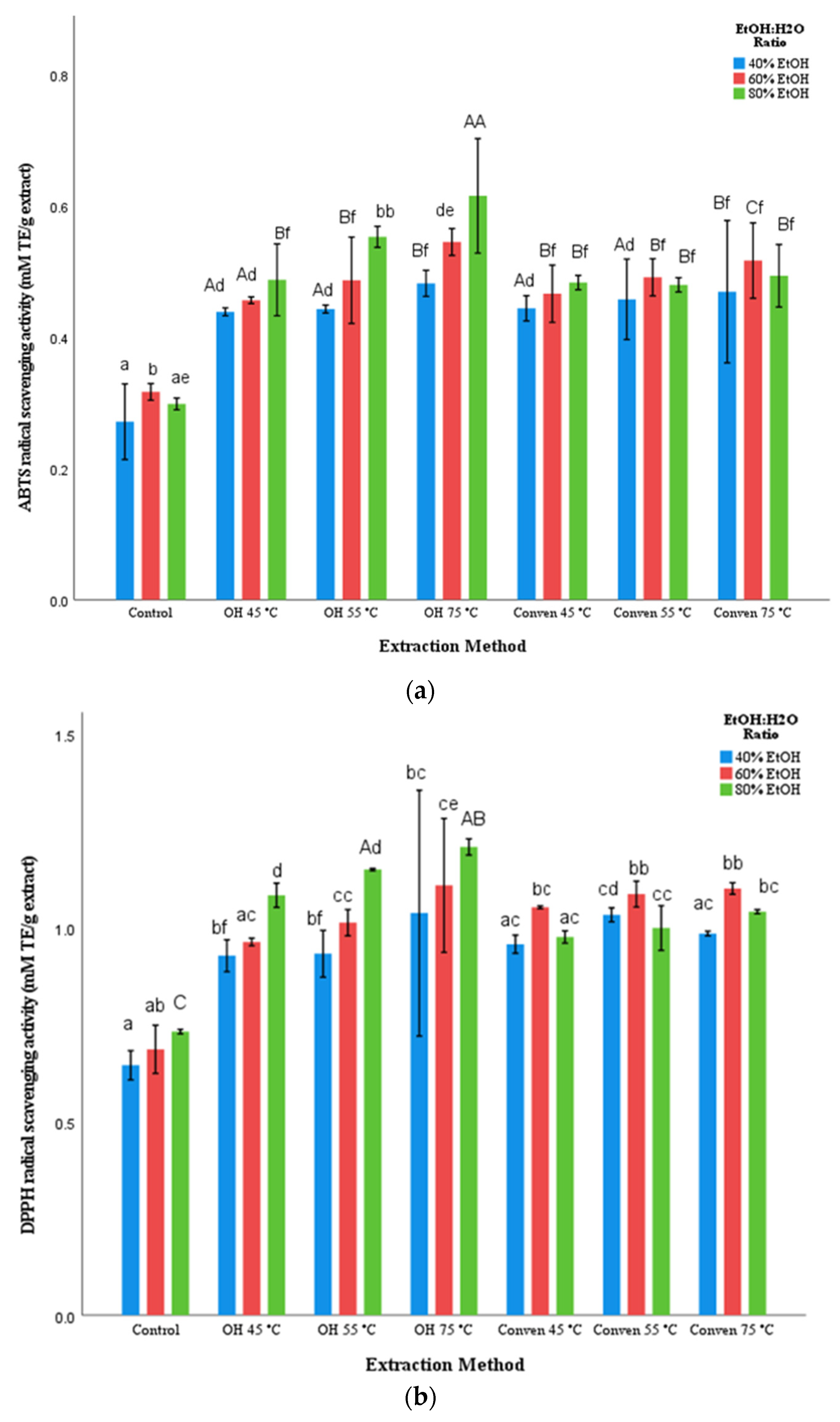
3.4. Antioxidant Activity
3.4.1. Trolox Equivalent Antioxidant Capacity (TEAC)
3.4.2. Relationship between Antioxidant Activity (%) and TPC
4. Conclusions
Author Contributions
Funding
Institutional Review Board Statement
Informed Consent Statement
Data Availability Statement
Acknowledgments
Conflicts of Interest
References
- Makowska-Wąs, J.; Galanty, A.; Gdula-Argasińska, J.; Tyszka-Czochara, M.; Szewczyk, A.; Nunes, R.; Carvalho, I.S.; Michalik, M.; Paśko, P. Identification of predominant phytochemical compounds and cytotoxic activity of wild olive leaves (Olea europaea L. ssp. sylvestris) harvested in south Portugal. Chem. Biodivers. 2017, 14, e1600331. [Google Scholar] [CrossRef] [PubMed]
- Rahmanian, N.; Jafari, S.M.; Wani, T.A. Bioactive profile, dehydration, extraction and application of the bioactive components of olive leaves. Trends Food Sci. Technol. 2015, 42, 150–172. [Google Scholar] [CrossRef]
- Da Rosa, G.S.; Vanga, S.K.; Gariepy, Y.; Raghavan, V. Comparison of microwave, ultrasonic and conventional techniques for extraction of bioactive compounds from olive leaves (Olea europaea L.). Innov. Food Sci. Emerg. Technol. 2019, 58, 102234. [Google Scholar] [CrossRef]
- Le Floch, F.; Tena, M.T.; Rıos, A.; Valcarcel, M. Supercritical fluid extraction of phenol compounds from olive leaves. Talanta 1998, 46, 1123–1130. [Google Scholar] [CrossRef]
- Žuntar, I.; Putnik, P.; Bursać Kovačević, D.; Nutrizio, M.; Šupljika, F.; Poljanec, A.; Dubrović, I.; Barba, F.J.; Režek Jambrak, A. Phenolic and Antioxidant Analysis of Olive Leaves Extracts (Olea europaea L.) Obtained by High Voltage Electrical Discharges (HVED). Foods 2019, 8, 248. [Google Scholar] [CrossRef]
- Pappas, V.M.; Lakka, A.; Palaiogiannis, D.; Bozinou, E.; Ntourtoglou, G.; Batra, G.; Athanasiadis, V.; Makris, D.P.; Dourtoglou, V.G.; Lalas, S.I. Use of Pulsed Electric Field as a low-temperature and high-performance “green” extraction technique for the recovery of high added value compounds from olive leaves. Beverages 2021, 7, 45. [Google Scholar] [CrossRef]
- Giacometti, J.; Žauhar, G.; Žuvić, M. Optimization of ultrasonic-assisted extraction of major phenolic compounds from olive leaves (Olea europaea L.) using response surface methodology. Foods 2018, 7, 149. [Google Scholar] [CrossRef] [PubMed]
- Coelho, M.; Pereira, R.; Rodrigues, A.S.; Teixeira, J.A.; Pintado, M.E. Extraction of tomato by-products’ bioactive compounds using ohmic technology. Food Bioprod. Process. 2019, 117, 329–339. [Google Scholar] [CrossRef]
- Pereira, R.N.; Rodrigues, R.M.; Genisheva, Z.; Oliveira, H.; de Freitas, V.; Teixeira, J.A.; Vicente, A.A. Effects of ohmic heating on extraction of food-grade phytochemicals from colored potato. LWT 2016, 74, 493–503. [Google Scholar] [CrossRef]
- Al-Hilphy, A.R.S.; AlRikabi, A.K.J.; Al-Salim, A.M. Extraction of phenolic compounds from wheat bran using ohmic heating. Food Sci. Qual. Manag. 2015, 43, 21–28. [Google Scholar]
- Sakr, M.; Liu, S. A comprehensive review on applications of ohmic heating (OH). Renew. Sust. Energ. Rev. 2014, 39, 262–269. [Google Scholar] [CrossRef]
- El Darra, N.; Grimi, N.; Vorobiev, E.; Louka, N.; Maroun, R. Extraction of polyphenols from red grape pomace assisted by pulsed ohmic heating. Food Bioproc. Technol. 2012, 6, 1281–1289. [Google Scholar] [CrossRef]
- Association of Official Analytical Chemists (AOAC). Official Methods of Analysis of AOAC International, 17th ed.; AOAC International: Gaithersburg, MD, USA, 2000. [Google Scholar]
- Anderson, S. Soxtec: Its Principles and Applications. In Oil Extraction and Analysis: Critical Issues and Comparative Studies; Luthria, D.L., Ed.; AOCS Press: Champaign, IL, USA, 2004; pp. 11–24. [Google Scholar]
- Thiex, N.J.; Anderson, S.; Gildemeister, B. Crude fat, diethyl ether extraction, in feed, cereal grain, and forage (Randall/Soxtec/submersion method): Collaborative study. J. AOAC Int. 2003, 86, 888–898. [Google Scholar] [CrossRef] [PubMed]
- Sadasivam, S.; Manickam, A. Carbohydrates. In Biochemical Methods, 2nd ed.; New Age International (P) Limited Publishers: New Delhi, India, 2005; pp. 1–21. [Google Scholar]
- Singleton, V.L.; Orthofer, R.; Lamuela-Raventós, R.M. Analysis of total phenols and other oxidation substrates and antioxidants by means of folin-ciocalteu reagent. In Methods in Enzymology; Elsevier: Amsterdam, The Netherlands, 1999; Volume 299, pp. 152–178. [Google Scholar]
- Re, R.; Pellegrini, N.; Proteggente, A.; Pannala, A.; Yang, M.; Rice-Evans, C. Antioxidant activity applying an improved ABTS radical cation decolorization assay. Free Radic. Biol. Med. 1999, 26, 1231–1237. [Google Scholar] [CrossRef]
- Brand-Williams, W.; Cuvelier, M.E.; Berset, C.L.W.T. Use of a free radical method to evaluate antioxidant activity. LWT Food Sci. Technol. 1995, 28, 25–30. [Google Scholar] [CrossRef]
- Contreras, M.D.M.; Lama-Muñoz, A.; Gutiérrez-Pérez, J.M.; Espínola, F.; Moya, M.; Romero, I.; Castro, E. Integrated process for sequential extraction of bioactive phenolic compounds and proteins from mill and field olive leaves and effects on the lignocellulosic profile. Foods 2019, 8, 531. [Google Scholar] [CrossRef]
- Doménech, P.; Duque, A.; Higueras, I.; Fernández, J.L.; Manzanares, P. Analytical Characterization of Water-Soluble Constituents in Olive-Derived By-Products. Foods 2021, 10, 1299. [Google Scholar] [CrossRef]
- Caballero, A.S.; Romero-García, J.M.; Castro, E.; Cardona, C.A. Supercritical fluid extraction for enhancing polyphenolic compounds production from olive waste extracts. J. Chem. Technol. Biotechnol. 2020, 95, 356–362. [Google Scholar] [CrossRef]
- Zeitoun, M.A.M.; Mansour, H.M.; Ezzat, S.; El Sohaimy, S.A. Effect of pretreatment of olive leaves on phenolic content and antioxidant activity. Am. J. Food Technol. 2017, 12, 132–139. [Google Scholar] [CrossRef][Green Version]
- Cavalheiro, C.V.; Picoloto, R.S.; Cichoski, A.J.; Wagner, R.; de Menezes, C.R.; Zepka, L.Q.; Da Croce, D.M.; Barin, J.S. Olive leaves offer more than phenolic compounds–Fatty acids and mineral composition of varieties from Southern Brazil. Ind. Crops Prod. 2015, 71, 122–127. [Google Scholar] [CrossRef]
- Erbay, Z.; Icier, F. Optimization of drying of olive leaves in a pilot-scale heat pump dryer. Dry. Technol. 2009, 27, 416–427. [Google Scholar] [CrossRef]
- Contreras, M.D.M.; Romero, I.; Moya, M.; Castro, E. Olive-derived biomass as a renewable source of value-added products. Process Biochem. 2020, 97, 43–56. [Google Scholar] [CrossRef]
- Ibrahim, E.H.; Abdelgaleel, M.A.; Salama, A.A.; Metwalli, S.M. Chemical and nutritional evaluation of olive leaves and selection the optimum conditions for extraction their phenolic compounds. J. Agric. Res. 2016, 42, 445–459. [Google Scholar]
- Ismail, A.I.; Zaki, N.L.; El-Shazly, H.A. Labneh Fortified with Olive Leaves as Innovative Dairy Products. J. Food Dairy Sci. 2016, 7, 415–419. [Google Scholar] [CrossRef]
- Martin García, A.I.; Moumen, A.; Yáñez Ruiz, D.R.; Molina Alcaide, E. Chemical composition and nutrients availability for goats and sheep of two-stage olive cake and olive leaves. Anim. Feed Sci. Technol. 2003, 107, 61–74. [Google Scholar] [CrossRef]
- Sucharitha, P.; Satyanarayana, S.V.; Bhaskar Reddy, K. Pretreatment and Optimization of Processing Conditions for Extraction of Oleuropein from Olive Leaves using Central Composite Design. Pharmacogn. Res. 2021, 11, 178–187. [Google Scholar]
- Şahin, S. Experimental and modeling study of polyphenols in Olea europaea leaves through ultrasound-assisted extraction. JOTCSA 2019, 6, 383–394. [Google Scholar] [CrossRef][Green Version]
- Lama-Muñoz, A.; Contreras, M.D.M.; Espínola, F.; Moya, M.; de Torres, A.; Romero, I.; Castro, E. Extraction of oleuropein and luteolin-7-O-glucoside from olive leaves: Optimization of technique and operating conditions. Food Chem. 2019, 293, 161–168. [Google Scholar] [CrossRef]
- Goldsmith, C.D.; Vuong, Q.V.; Stathopoulos, C.E.; Roach, P.D.; Scarlett, C.J. Optimization of the aqueous extraction of phenolic compounds from olive leaves. Antioxidants 2014, 3, 700–712. [Google Scholar] [CrossRef]
- Lee, O.H.; Lee, B.Y.; Lee, J.; Lee, H.B.; Son, J.Y.; Park, C.S.; Shetty, K.; Kim, Y.C. Assessment of phenolics-enriched extract and fractions of olive leaves and their antioxidant activities. Bioresour. Technol. 2009, 100, 6107–6113. [Google Scholar] [CrossRef]
- Şahin, S.; İlbay, Z.; Kırbaşlar, Ş.İ. Study on optimum extraction conditions for olive leaf extracts rich in polyphenol and flavonoid. Sep. Sci. Technol. 2015, 50, 1181–1189. [Google Scholar] [CrossRef]
- Sánchez-Gutiérrez, M.; Bascón-Villegas, I.; Rodríguez, A.; Pérez-Rodríguez, F.; Fernández-Prior, Á.; Rosal, A.; Carrasco, E. Valorisation of Olea europaea L. Olive leaves through the evaluation of their extracts: Antioxidant and antimicrobial activity. Foods 2021, 10, 966. [Google Scholar] [CrossRef]
- Canabarro, N.I.; Mazutti, M.A.; do Carmo Ferreira, M. Drying of olive (Olea europaea L.) leaves on a conveyor belt for supercritical extraction of bioactive compounds: Mathematical modeling of drying/extraction operations and analysis of extracts. Ind. Crops Prod. 2019, 136, 140–151. [Google Scholar] [CrossRef]
- Rafiee, Z.; Jafari, S.M.; Alami, M.; Khomeiri, M. Microwave-assisted extraction of phenolic compounds from olive leaves; A comparison with maceration. J. Anim. Plant Sci. 2011, 21, 738–745. [Google Scholar]
- Ahmad-Qasem, M.H.; Barrajón-Catalán, E.; Micol, V.; Mulet, A.; García-Pérez, J.V. Influence of freezing and dehydration of olive leaves (var. Serrana) on extract composition and antioxidant potential. Food Res. Int. 2013, 50, 189–196. [Google Scholar] [CrossRef]
- Boudhrioua, N.; Bahloul, N.; Slimen, I.B.; Kechaou, N. Comparison on the total phenol contents and the color of fresh and infrared dried olive leaves. Ind. Crops Prod. 2009, 29, 412–419. [Google Scholar] [CrossRef]
- Herrero, M.; Temirzoda, T.N.; Segura-Carretero, A.; Quirantes, R.; Plaza, M.; Ibañez, E. New possibilities for the valorization of olive oil by-products. J. Chromatogr. A 2011, 1218, 7511–7520. [Google Scholar] [CrossRef]
- Lins, P.G.; Pugine, S.M.P.; Scatolini, A.M.; de Melo, M.P. Antioxidant actions of olive leaf extract (Olea europaea L.) on reactive species scavengers. J. Anal. Pharm. Res. 2020, 9, 68–71. [Google Scholar]
- Abaza, L.; Youssef, N.B.; Manai, H.; Haddada, F.M.; Methenni, K.; Zarrouk, M. Chétoui olive leaf extracts: Influence of the solvent type on phenolics and antioxidant activities. Grasas Aceites 2011, 62, 96–104. [Google Scholar] [CrossRef]
- Nicolì, F.; Negro, C.; Vergine, M.; Aprile, A.; Nutricati, E.; Sabella, E.; Miceli, A.; Luvisi, A.; De Bellis, L. Evaluation of phytochemical and antioxidant properties of 15 Italian Olea europaea L. cultivar leaves. Molecules 2019, 24, 1998. [Google Scholar] [CrossRef]
- Orak, H.H.; Karamać, M.; Amarowicz, R.; Orak, A.; Penkacik, K. Genotype-related differences in the phenolic compound profile and antioxidant activity of extracts from olive (Olea europaea L.) leaves. Molecules 2019, 24, 1130. [Google Scholar] [CrossRef] [PubMed]
- Hayes, J.E.; Allen, P.; Brunton, N.; O’grady, M.N.; Kerry, J.P. Phenolic composition and in vitro antioxidant capacity of four commercial phytochemical products: Olive leaf extract (Olea europaea L.), lutein, sesamol and ellagic acid. Food Chem. 2011, 126, 948–955. [Google Scholar] [CrossRef]
- Papoti, V.T.; Papageorgiou, M.; Dervisi, K.; Alexopoulos, E.; Apostolidis, K.; Petridis, D. Screening olive leaves from unexploited traditional Greek cultivars for their phenolic antioxidant dynamic. Foods 2018, 7, 197. [Google Scholar] [CrossRef] [PubMed]
- Monteleone, J.I.; Sperlinga, E.; Siracusa, L.; Spagna, G.; Parafati, L.; Todaro, A.; Palmeri, R. Water as a Solvent of Election for Obtaining Oleuropein-Rich Extracts from Olive (Olea europaea) Leaves. Agronomy 2021, 11, 465. [Google Scholar] [CrossRef]
- Kiritsakis, K.; Kontominas, M.G.; Kontogiorgis, C.; Hadjipavlou-Litina, D.; Moustakas, A.; Kiritsakis, A. Composition and antioxidant activity of olive leaf extracts from Greek olive cultivars. J. Am. Oil Chem. Soc. 2010, 87, 369–376. [Google Scholar] [CrossRef]
- Irakli, M.; Chatzopoulou, P.; Ekateriniadou, L. Optimization of ultrasound-assisted extraction of phenolic compounds: Oleuropein, phenolic acids, phenolic alcohols and flavonoids from olive leaves and evaluation of its antioxidant activities. Ind. Crops Prod. 2018, 124, 382–388. [Google Scholar] [CrossRef]
- Vilas-Boas, A.A.; Campos, D.A.; Nunes, C.; Ribeiro, S.; Nunes, J.; Oliveira, A.; Pintado, M. Polyphenol extraction by different techniques for valorisation of non-compliant portuguese sweet cherries towards a novel antioxidant extract. Sustainability 2020, 12, 5556. [Google Scholar] [CrossRef]
- Lončarić, A.; Celeiro, M.; Jozinović, A.; Jelinić, J.; Kovač, T.; Jokić, S.; Babić, J.; Moslavac, T.; Zavadlav, S.; Lores, M. Green extraction methods for extraction of polyphenolic compounds from blueberry pomace. Foods 2020, 9, 1521. [Google Scholar] [CrossRef]







| Component g/100 g Dry Leaves | Mean ± SD |
|---|---|
| Moisture | 3.57 ± 0.18 |
| Total ash | 10.82 ± 0.8 |
| Crude fat | 4.13 ± 0.02 |
| Crude protein | 8.02 ± 0.13 |
| Crude fiber | 35.41 ± 0.35 |
| Carbohydrate | 37.65 ± 1.30 |
| Extraction System | Extraction Yield (g/100 g Dry Leaves) | TPC (mg GAE/g Extract) | Antioxidant Activity | ||||
|---|---|---|---|---|---|---|---|
| Method | % EtOH (v/v) | ABTS•+ Inhibition (mM TE/g Extract) | ABTS•+ Inhibition (%) | DPPH• Inhibition (mM TE/g Extract) | DPPH• Inhibition (%) | ||
| OH 45 °C | 40 | 22.02 ± 0.15 | 33.73 ± 0.21 | 0.44 ± 0.01 | 67.06 ± 1.03 | 0.93 ± 0.07 | 85.23 ± 0.10 |
| OH 45 °C | 60 | 28.30 ± 0.12 | 38.37 ± 0.32 | 0.45 ± 0.02 | 68.93 ± 0.18 | 0.96 ± 0.01 | 86.67 ± 0.19 |
| OH 45 °C | 80 | 30.80 ± 0.11 | 30.45 ± 0.39 | 0.49 ± 0.10 | 69.60 ± 0.41 | 1.08 ± 0.05 | 87.70 ± 0.25 |
| OH 55 °C | 40 | 23.21 ± 0.15 | 34.36 ± 0.36 | 0.44 ± 0.10 | 70.45 ± 0.47 | 0.93 ± 0.10 | 89.94 ± 0.13 |
| OH 55 °C | 60 | 30.20 ± 0.14 | 42.53 ± 0.31 | 0.49 ± 0.11 | 74.72 ± 0.45 | 1.01 ± 0.06 | 90.77 ± 0.52 |
| OH 55 °C | 80 | 31.10 ± 0.17 | 31.63 ± 0.43 | 0.55 ± 0.02 | 77.56 ± 0.36 | 1.15 ± 0.01 | 92.55 ± 0.12 |
| OH 75 °C | 40 | 27.53 ± 0.13 | 34.06 ± 0.23 | 0.48 ± 0.01 | 73.95 ± 0.39 | 1.04 ± 0.50 | 90.85 ± 0.44 |
| OH 75 °C | 60 | 28.50 ± 0.12 | 41.13 ± 0.40 | 0.54 ± 0.05 | 76.79 ± 0.17 | 1.11 ± 0.30 | 91.56 ± 0.56 |
| OH 75 °C | 80 | 34.53 ± 0.41 | 30.23 ± 0.35 | 0.62 ± 0.15 | 78.72 ± 0.48 | 1.21 ± 0.04 | 92.80 ± 0.57 |
| Conven 45 °C | 40 | 19.41 ± 0.54 | 23.92 ± 0.16 | 0.44 ± 0.02 | 67.08 ± 0.08 | 0.96 ± 0.04 | 86.54 ± 0.07 |
| Conven 45 °C | 60 | 21.39 ± 0.55 | 28.44 ± 0.31 | 0.47 ± 0.03 | 68.60 ± 0.35 | 1.05 ± 0.01 | 88.33 ± 0.13 |
| Conven 45 °C | 80 | 21.18 ± 0.27 | 26.75 ± 0.32 | 0.48 ± 0.02 | 70.10 ± 0.94 | 0.98 ± 0.03 | 87.21 ± 0.14 |
| Conven 55 °C | 40 | 19.63 ± 0.16 | 23.48 ± 0.29 | 0.45 ± 0.17 | 73.99 ± 0.22 | 1.03 ± 0.03 | 89.40 ± 0.31 |
| Conven 55 °C | 60 | 21.40 ± 0.12 | 32.86 ± 0.41 | 0.49 ± 0.05 | 75.78 ± 0.39 | 1.09 ± 0.06 | 90.31 ± 0.13 |
| Conven 55 °C | 80 | 22.52 ± 0.54 | 24.67 ± 0.28 | 0.48 ± 0.03 | 74.79 ± 0.20 | 1.00 ± 0.11 | 89.10 ± 0.09 |
| Conven 75 °C | 40 | 19.34 ± 0.49 | 24.75 ± 0.18 | 0.47 ± 0.18 | 74.34 ± 0.27 | 0.98 ± 0.01 | 88.91 ± 0.08 |
| Conven 75 °C | 60 | 22.40 ± 0.13 | 31.56 ± 0.20 | 0.52 ± 0.10 | 76.07 ± 0.10 | 1.10 ± 0.03 | 91.39 ± 0.19 |
| Conven 75 °C | 80 | 22.20 ± 0.42 | 28.94 ± 0.30 | 0.49 ± 0.09 | 75.66 ± 0.30 | 1.04 ± 0.01 | 90.40 ± 0.20 |
| Control 25 °C | 40 | 19.47 ± 0.41 | 19.75 ± 0.28 | 0.27 ± 0.18 | 59.07 ± 1.12 | 0.65 ± 0.07 | 75.49 ± 0.19 |
| Control 25 °C | 60 | 20.29 ± 0.43 | 25.26 ± 0.23 | 0.32 ± 0.01 | 65.74 ± 0.32 | 0.69 ± 0.12 | 76.54 ± 0.11 |
| Control 25 °C | 80 | 19.90 ± 0.20 | 23.25 ± 0.19 | 0.30 ± 0.01 | 63.88 ± 0.10 | 0.73 ± 0.01 | 78.06 ± 0.14 |
Publisher’s Note: MDPI stays neutral with regard to jurisdictional claims in published maps and institutional affiliations. |
© 2022 by the authors. Licensee MDPI, Basel, Switzerland. This article is an open access article distributed under the terms and conditions of the Creative Commons Attribution (CC BY) license (https://creativecommons.org/licenses/by/4.0/).
Share and Cite
Safarzadeh Markhali, F.; Teixeira, J.A.; Rocha, C.M.R. Effect of Ohmic Heating on the Extraction Yield, Polyphenol Content and Antioxidant Activity of Olive Mill Leaves. Clean Technol. 2022, 4, 512-528. https://doi.org/10.3390/cleantechnol4020031
Safarzadeh Markhali F, Teixeira JA, Rocha CMR. Effect of Ohmic Heating on the Extraction Yield, Polyphenol Content and Antioxidant Activity of Olive Mill Leaves. Clean Technologies. 2022; 4(2):512-528. https://doi.org/10.3390/cleantechnol4020031
Chicago/Turabian StyleSafarzadeh Markhali, Fereshteh, José A. Teixeira, and Cristina M. R. Rocha. 2022. "Effect of Ohmic Heating on the Extraction Yield, Polyphenol Content and Antioxidant Activity of Olive Mill Leaves" Clean Technologies 4, no. 2: 512-528. https://doi.org/10.3390/cleantechnol4020031
APA StyleSafarzadeh Markhali, F., Teixeira, J. A., & Rocha, C. M. R. (2022). Effect of Ohmic Heating on the Extraction Yield, Polyphenol Content and Antioxidant Activity of Olive Mill Leaves. Clean Technologies, 4(2), 512-528. https://doi.org/10.3390/cleantechnol4020031

