Abstract
The present study aims at comparing the life cycle environmental impacts of polyunsaturated fatty acids production (PUFA) from microalgae and farmed fish. PUFA production from microalgae cultivated via heterotrophy and photoautotrophy was assessed and compared. The primary energy demand (PED) and environmental impacts (EI) of PUFA production from microalgae via heterotrophy were significantly lower compared to PUFA produced via photoautotrophy. Furthermore, PED and EI of PUFA production from fish farmed in marine net pens were assessed. The results indicated that the PED and EI of PUFA production from farmed fish are higher than that produced from microalgae cultivated via heterotrophy. Therefore, the results suggest that PUFA produced from microalgae via heterotrophy could substitute fish oil from an environmental perspective. Furthermore, life cycle analysis results indicate that PUFA derived from microalgae could potentially replace fish oil in the fish feed, thus reducing the pressure on oceans.
1. Introduction
Polyunsaturated fatty acids such as Eicosapentaenoic acid (EPA, C20:5) and Docosahexaenoic acid (DHA, C20:6) are essential fatty acids and are not produced sufficiently in the human body. Therefore, for the general well-being of humans, they must be supplemented. Due to the increased attention to health and well-being, the demand for EPA and DHA has increased. Worldwide, the market for EPA+DHA supplements is about USD 57.07 billion, and the predicted increase rate is 6% per annum [1]. The World Health Organization recommends an intake of ~250 mg omega-3 fatty acids per day, but recommendations vary per country. For example, the National Heart Foundation of Australia recommends an intake of ~500 mg of EPA+DHA per day. Most European countries follow the WHO recommendation. The Cardiology Society of India and the Ministry of Health, Labor, and Welfare recommend ~1–2 g of EPA+DHA per day for an adult [2]. Therefore, the global demand for these fatty acids reaches ~0.65–2.55 million tons. Currently, oil extracted from fish is the predominant source of these fatty acids. The estimated production of EPA+DHA from fish oil is ~160 thousand tons, which is far less than the demand. This may lead to the overfishing of species [3]. Furthermore, 70% of produced oil is used as aquafeed and unavailable for human consumption [4]. The current demand outstrips the supply of EPA+DHA and therefore poses a challenge to find new sustainable alternatives to relieve pressure on fisheries.
Microalgae and photosynthetic organisms are primary producers of EPA+DHA and can be an alternative for fish oil-based EPA+DHA. Though a lot of research was carried out on producing these fatty acids from microalgae, production at a commercial scale is still in infancy. EPA+DHA can be produced from microalgae via both photoautotrophic and heterotrophic modes of cultivation. Various microalgal species viz. Nannochloropsis, Tetraselmis, Isochrysis, Pavlova, and Phaeodactylum were studied for their potential to produce EPA by photoautotrophic mode of cultivation [5,6,7,8,9], while species such as Schizhochytrium, and Crypthecodinium were explored for EPA+DHA production via heterotrophic modes of cultivation [10,11,12,13,14,15]. The main challenge in microalgal biomass production is lower biomass concentration and biomass productivity. However, this challenge could be overcome by choosing the heterotrophic mode of cultivation where biomass productivities up to 30 g/L can be obtained but at the expense of supplementation of high loads of glucose as a carbon source. Food grade industrial wastewater such as brewery/dairy effluent rich in sugar can be used as a carbon source, but prior sanitization of effluent to maintain axenic conditions for heterotrophic cultivation remains expensive. Hence, given the challenges for microalgal biomass production, a life cycle analysis (LCA) of EPA+DHA production from microalgae is the need of the hour to understand the ability of microalgae to replace conventional fish oil. LCA is a tool used to quantify environmental impacts and energy requirements associated with the production of a target product or a process of interest. It helps to identify the process’s hotspots that need improvement and helps to compare environmental impacts associated with two different processes/products. Performing LCA will help to choose an efficient process/product in terms of environmental profile. The literature reports on LCA of EPA+DHA production from microalgae are scanty [16]. LCA of microalgal biomass production via the heterotrophic mode of cultivation was conducted; however, biomass was employed for biofuel production [17]. Hu et al. [15] studied life cycle analysis of EPA+DHA production from microalgae cultivated via a photoautotrophic mode of cultivation compared to fish extracted from caught fish. Depra et al. [18] performed a comparative life cycle analysis of EPA+DHA production from photoautotrophic and heterotrophic modes of nutrition. Bartek et al. [19] performed a life cycle assessment of DHA production from microalgae cultivated on food waste. Furthermore, the authors compared the environmental impacts of DHA production from microalgae to conventional fish oils. Lu et al. [20] performed a life cycle assessment of oil production from microalgae via a heterotrophic mode of nutrition. Fish oil can be produced via two approaches, viz. extraction from fish caught directly from the oceans or from the farmed fish cultivated in marine net pens. The comparative LCA reports on EPA+DHA production from microalgae via photoautotrophic and heterotrophic modes of cultivation are scanty, and further studies comparison to EPA+DHA production from farmed fish are not reported.
The present study describes a comparative life cycle analysis to assess the energy requirements and environmental impacts associated with the production of EPA+DHA from microalgae via photoautotrophic and heterotrophic modes of cultivation and farmed fish. Furthermore, the use of microalgal oil as a substitute for fish oil for the cultivation of fish is also explored.
2. Materials and Methods
2.1. Goal and Scope
The goal of the present study was to evaluate the primary energy demand and environmental impacts of EPA+DHA production from microalgae via photoautotrophic and heterotrophic modes of cultivation. Furthermore, the environmental impacts are compared to fish oil extraction. A functional unit of 1 kg EPA+DHA was considered for the study. EPA+DHA production from microalgae and farmed fish was evaluated with a system boundary of “cradle-to-gate”. The LCA was conducted as per ISO 14040-14044 standards [21,22]. GaBi software (Version 9.5.1) with a professional database (DB) was used as a platform to evaluate and compare the energy demand and environmental impacts of EPA+DHA production from microalgae and farmed fish. The flowchart indicating various unit operations involved in the production of EPA+DHA from microalgae (via heterotrophic and photoautotrophic modes of nutrition) and from farmed fish is presented in Figure 1.
Figure 1.
Overview of EPA+DHA production from microalgae and farmed fish.
2.2. Life Cycle Inventory Data
The data regarding biomass productivity, lipid content, EPA+DHA content of microalgae from photoautotrophic (Phaeodactylum Tricornutum) and heterotrophic (Schizochytrium sps) modes of cultivation were considered from the literature [10,23,24]. The inventory data regarding farming of fish and oil extraction were sourced from Refs. [25,26,27,28]. The inventory data are provided in the Supplementary Material (Tables S1–S3). The GaBi software with a professional database was used as a platform for predicting the overall primary energy demand and environmental impacts associated with various unit operations for the production of EPA+DHA from microalgae and farmed fish. The datasets relevant to Europe were considered for performing LCA (e.g., Eu-28 electricity as an energy source).
2.3. Life Cycle Impact Assessment
The environmental impacts associated with various unit operations for the production of EPA+DHA from microalgae and farmed fish were predicted using the CML 2001—Jan 2016 methodology. The environmental impacts such as abiotic depletion potential (ADP), eutrophication potential (EP), global warming potential (GWP), acidification potential (AP), etc., were assessed.
3. Results and Discussion
3.1. EPA+DHA Production from Photoautotrophic and Heterotrophic Microalgae
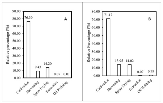
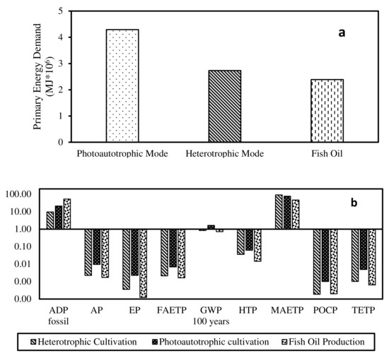
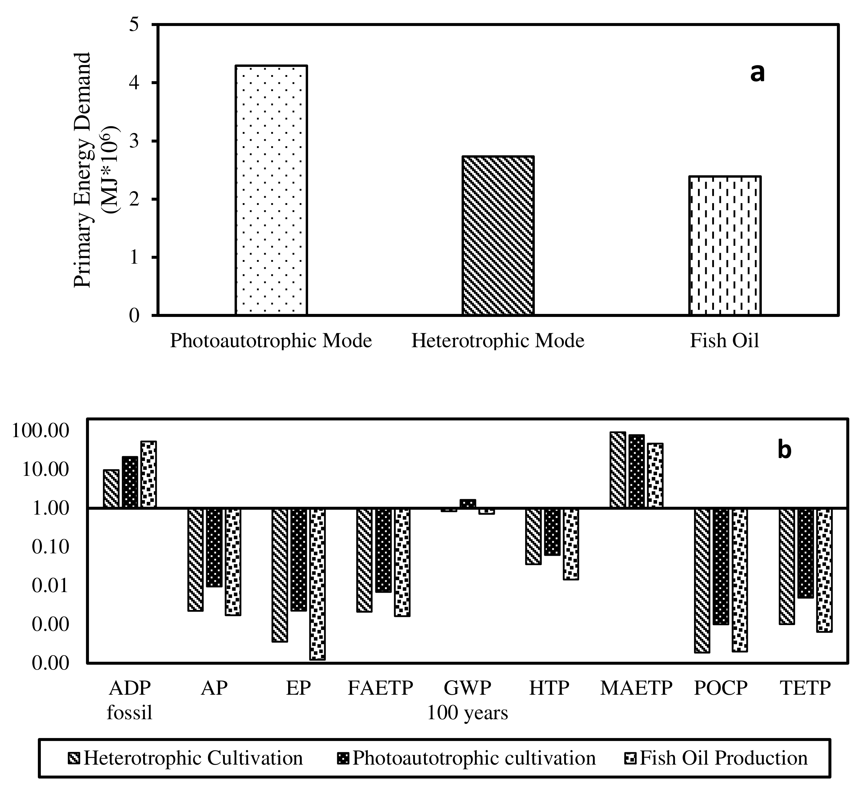
The primary energy demand of omega-3 fatty acid production from microalgae via photoautotrophic and heterotrophic cultivation modes are presented in Figure 2a,b, respectively. It can be noticed from Figure 2a,b that the cultivation of microalgae contributes majorly to the primary energy demand (PED). In the case of photoautotrophy, the cultivation accounts for about 76.30% of the overall PED, while, in the case of heterotrophy, it contributes to 71.17% of the overall PED of the process. The main factor attributing to the PED is the requirement of energy for mixing the culture components. Similar observations were reported by Depra et al. [18] for the cultivation of microalgae in tubular photobioreactors for the production of EPA+DHA. The comparative analysis of EPA+DHA production from microalgae via photoautotrophic, heterotrophic modes of cultivation is presented in Figure 3. It can be observed from Figure 3a that the PED of heterotrophic mode is significantly less compared to photoautotrophy. This is due to the fact that in the heterotrophic mode of cultivation, a biomass yield of ~10–30 g/L can be obtained, whereas, in photoautotrophic mode, a biomass yield of up to 5 g/L could be achieved. Furthermore, the yield of EPA+DHA is higher in heterotrophic cultivation compared to the photoautotrophic mode of cultivation. Similar observations were reported by Depra et al. [18] with regards to EPA+DHA production from the autotrophic and heterotrophic mode of cultivation. Hence, a heterotrophic mode of cultivation can be a more viable option for the production of EPA+DHA production. Furthermore, the PED of heterotrophic cultivation can be minimized via supplementation of food-grade industrial effluents such as dairy effluent rich in sugars as an alternative to the supplementation of glucose. However, supplementation of industrial effluent would demand the requirement of prior sanitization to avoid bacterial contamination. Further detailed LCA on the use of industrial effluents to cultivate heterotrophs for high-value products is required. The impact of biomass yield on primary energy demand for production of EPA+DHA via a photoautotrophic and heterotrophic mode of cultivation was assessed and compared. Regarding the autotrophic cultivation of microalgae, the biomass yield could vary from a low of 0.5 g/L to a maximum of 5 g/L [24]. In contrast, in heterotrophic mode, the biomass yield would vary from a minimum of 10 g/L to a maximum of up to100 g/L [10]. It can be noticed from Figure 4 that an increase in biomass productivity resulted in a significant reduction in primary energy demand. Hence, by achieving high biomass densities, the photoautotrophic mode of cultivation could also be an energy-efficient way of producing EPA+DHA as a substitute for a conventional method of oil extraction from fish.

Figure 2.
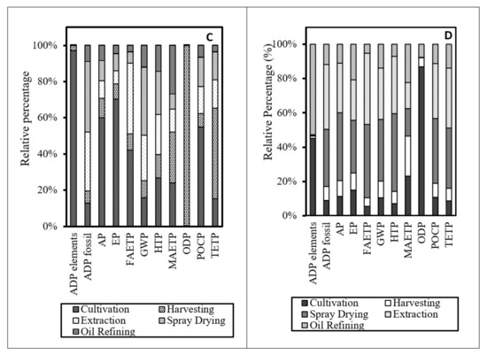
Primary energy demand and environmental impacts of EPA+DHA production from microalgal biomass via photoautotrophic (A,C) and heterotrophic (B,D) mode of nutrition. (ADP—Abiotic Depletion Potential; AP—Acidification Potential; EP—Eutrophication Potential; FAETP—Freshwater Aquatic Ecotoxicity Potential; GWP—Global Warming Potential; HTP—Human Toxicity Potential; MAETP—Marine Aquatic Ecotoxicity Potential; ODP—Ozone Depletion Potential; POCP—Photochemical Ozone Creation Potential; TETP—Terrestrial Ecotoxicity Potential).

Figure 3.
Comparison of primary energy demand (a) and environmental impacts (b) of EPA+DHA production from microalgal biomass via two modes of cultivation and from fish biomass. (ADP—Abiotic Depletion Potential; AP—Acidification Potential; EP—Eutrophication Potential; FAETP—Freshwater Aquatic Ecotoxicity Potential; GWP—Global Warming Potential; HTP—Human Toxicity Potential; MAETP—Marine Aquatic Ecotoxicity Potential; ODP—Ozone Depletion Potential; POCP—Photochemical Ozone Creation Potential; TETP—Terrestrial Ecotoxicity Potential).

Figure 4.
Impact of biomass yield on primary energy demand for production of EPA+DHA ((a) Photoautotrophy, (b) Heterotrophy).
3.2. EPA+DHA Production from Farmed Fish
Due to the concerns of contamination by high molecular weight compounds and heavy metals and fears of overexploitation of certain fish species, farmed fish under controlled conditions could be an alternative to caught fish from oceans. In the present study, omega-3 fatty acid production from farmed fish was analyzed. The primary energy demand associated with unit operations involved in oil extraction from farmed fish (Scenario 3) is represented in Figure 5a. It can be noticed from Figure 5a that the farming of fish contributes mainly to the primary energy demand. This is attributed to extensive usage of fertilizers and fossil-based energy to cultivate and process grains for fish meal production. Pelletier and Tyedmers [25] studied the sustainability of feeding farm fish and has highlighted the need for significant alterations in feed composition. The PED of omega-3 fatty acid production from farmed fish is compared to that from microalgal biomass and is presented in Figure 3a. It can be observed from Figure 3a that omega-3 fatty acids production from farmed fish is significantly higher compared to oil extraction from microalgal biomass. These results suggest that microalgae can be a viable vegetarian option for producing EPA+DHA to fish oil produced from farmed fish. The literature reports on comparative life cycle analysis of EPA+DHA production from microalgae and farmed fish are not available. However, Barr and Landis [16] compared EPA+DHA production from microalgae with fish caught from oceans. The authors reported that microalgae could be an alternative to fish caught from oceans for EPA+DHA production. Furthermore, the authors identified cultivation and dewatering as major unit operations that require significant improvements in order to minimize the overall primary energy demand and environmental impacts.
Figure 5.
Primary energy demand (a) and environmental impacts (b) of EPA+DHA production from fish biomass produced via farming in marine net pens. (ADP—Abiotic Depletion Potential; AP—Acidification Potential; EP—Eutrophication Potential; FAETP—Freshwater Aquatic Ecotoxicity Potential; GWP—Global Warming Potential; HTP—Human Toxicity Potential; MAETP—Marine Aquatic Ecotoxicity Potential; ODP—Ozone Depletion Potential; POCP—Photochemical Ozone Creation Potential; TETP—Terrestrial Ecotoxicity Potential).
The majority of the population consume fish and have fish as one of their staple dietary components. Furthermore, as per the FAO [3], the majority of fish oil produced from caught fish is not available for human consumption. Therefore, the oil extracted from caught fish is used as feed for the farmed fish. As the fish oil from caught fish is contributing majorly to feed, a scenario was developed to assess supplementation of microalgal-derived oil as feed to farmed fish to replace fish oil derived from caught fish from oceans. The primary energy demand of replacing microalgal oil with caught fish oil is assessed and is presented in Figure 6a. The results indicate that replacing fish oil with microalgal oil produced via heterotrophic cultivation can be viable. The overall primary energy demand of oil extraction from microalgae via the heterotrophic mode of cultivation and fish oil derived from caught fish are similar. Hence, microalgal oil can be used as an alternative to conventional fish oil, thereby minimizing the overexploitation of fishes. However, detailed insights into life cycle costing and social LCA are required.
Figure 6.
Primary energy demand (a) and environmental impacts (b) of EPA+DHA production from fish biomass fed with microalgal oil produced via photoautotrophic mode/heterotrophic mode/ fish oil. (ADP—Abiotic Depletion Potential; AP—Acidification Potential; EP—Eutrophication Potential; FAETP—Freshwater Aquatic Ecotoxicity Potential; GWP—Global Warming Potential; HTP—Human Toxicity Potential; MAETP—Marine Aquatic Ecotoxicity Potential; ODP—Ozone Depletion Potential; POCP—Photochemical Ozone Creation Potential; TETP—Terrestrial Ecotoxicity Potential).
3.3. Life Cycle Impact Assessment
The environmental impacts associated with various unit operations for EPA+DHA production from microalgae and farmed fish were evaluated and compared based on the functional unit of 1 KG EPA+DHA produced. The environmental impacts of EPA+DHA production from microalgae and farmed fish are represented in Figure 2c,d, Figure 3b, and Figure 5b. Among the various unit operations involved in EPA+DHA production, the cultivation/farming of microalgae and fish is a major contributor to all the environmental impacts assessed except ADP (elements) (Figure 2c,d, and Figure 5b). This may be attributed to the demand for electricity during the cultivation/farming of microalgae/farmed fish. Furthermore, microalgae harvesting by inorganic flocculants viz. ferric chloride has contributed considerably to the ADP (elements) (Figure 2c). Across all the scenarios, the environmental impacts viz. MAETP (Marine aquatic eco-toxicity potential) and ADP were found to be predominant. Further, the environmental impacts of fish oil production were compared to that of oil production from microalgae via photoautotrophic and heterotrophic modes of cultivation. It can be noticed from Figure 5b that the environmental impacts concerning oil extraction from farms were dominant compared to that of omega-3 fatty acids production from microalgae. This can be attributed to the extensive use of fossil-based energy for farming and processing of grains required for the formulation of feed. The literature reports were not available to compare the results of this study. Few studies have reported the extraction of EPA+DHA from caught fish. Bartek et al. [19] reported that environmental impacts of EPA+DHA production from microalgae are lower compared to that extracted from caught fish. In the present study, the EPA+DHA extraction from fish was considered from farmed fish rather than caught fish. The present study is the first of its kind to compare the environmental impacts of EPA+DHA production from microalgae and the farmed fish. As farmed fish requires EPA+DHA as a supplement for its growth, a scenario was developed by supplementing EPA+DHA from microalgae rather than supplementing oil from caught fish. It can be noted from Figure 6b that environmental impacts of EPA+DHA production from farms were similar when fish oil from caught fish is replaced with oil from microalgae cultivated via a heterotrophic mode of cultivation. This clearly indicates omega-3 fatty acid production from microalgae via the heterotrophic mode of cultivation could be an alternative to conventional fish oil. More research insights into life cycle costing and social LCA could facilitate in designing an optimum system for the production and commercialization of omega-3 fish oil to a greater extent.
4. Conclusions
Ensuring access and supply of nutritious food to meet the demand of the increasing population is vital for sustainable development [29]. Therefore, new and efficient food production methods need to be developed that are characterized by minimal environmental impacts and do not cause damage to ecosystem quality. The cultivation of microalgae to meet the demands of global food needs is gaining recognition. The production of omega-3 fatty acids from microalgae minimizes the burden on fisheries and reduces dependency on biotic resources [30]. As fish are considered the only source for EPA and DHA, in order to avoid overfishing, it is essential to develop alternative options and strategies for the production of EPA and DHA [31,32,33]. The present compares life cycle analysis of EPA+DHA production from microalgae and fish biomass. The LCA results indicated that microalgal EPA+DHA production via a heterotrophic mode of cultivation could be an alternative to conventional fish oil resources. Farming is the major contributor to primary energy demand in EPA+DHA production from fish and fish feed accounts majorly to the primary energy demand. The requirement of huge loads of fish oil is the major factor, and supplementing the microalgal meal cultivated via heterotrophic mode could minimize the environmental impacts and helps to reduce the pressure of ocean fisheries, thus preserving the biodiversity. However, detailed insights into the nutritional profile of fish cultivated with microalgal biomass are required. Moreover, while performing LCA, the direct impacts on biodiversity cannot be quantified with the current impact assessment methods. Factors such as overfishing and resource depletion are considered threats to ocean biodiversity [34]. Therefore, there is a need to develop methodologies to quantify and assess the key indicators related to ocean biodiversity to support sustainable development [35,36,37].
Supplementary Materials
The following are available online at https://www.mdpi.com/article/10.3390/cleantechnol3040042/s1: Table S1: Life cycle inventory of microalgal cultivation via photoautotrophic and heterotrophic modes of nutrition; Table S2: Life cycle inventory of fish farming and oil extraction from fish biomass; Table S3: Environmental impacts of EPA+DHA production from microalgal biomass via photoautotrophic and heterotrophic mode of nutrition and from Farmed Fish.
Author Contributions
S.C.T.—Conceptualization and design, methodology, analysis and interpretation of data, original draft preparation, and funding acquisition. R.B.P.—Conceptualization and design, critical revision of the article for important intellectual content, administrative and technical support, and funding acquisition. Both authors have read and agreed to the published version of the manuscript.
Funding
This research funding was received from IRC and from European Union’s Horizon 2020 research and innovation program under Marie Skłodowska-Curie grant agreement No 713279. Funding was also received from AMBER (Grant No: 12/RC/2278_P2) and BiOrbic (Grant No: 16/RC/3889).
Institutional Review Board Statement
Not Applicable.
Informed Consent Statement
Not Applicable.
Acknowledgments
The author Sarat Chandra Togarcheti is thankful to Irish Research Council (IRC) for CAROLINE Research Fellowship. The author Ramesh Babu duly acknowledges the funding from Science Foundation Ireland (SFI), AMBER, and BiOrbic.
Conflicts of Interest
The authors declare no conflict of interest.
References
- Grand View Research. Omega 3 Supplement Market Analysis by Source (Fish Oil, Krill Oil), by Application (Infant Formula, Food & Beverages, Nutritional Supplements, Pharmaceutical, Animal Feed, Clinical Nutrition), and Segment Forecasts, 2018–2025. 2017. Available online: https://www.grandviewresearch.com/ (accessed on 18 May 2021).
- Global Recommendations for EPA and DHA Intake (Rev. 19 November 2014). Available online: https://www.issfal.org/assets/globalrecommendationssummary19nov2014landscape_-3-.pdf (accessed on 18 October 2020).
- FAO. The State of World Fisheries and Aquaculture 2010. Rome: Fisheries and Aquaculture Department, Food and Agriculture Organisation of the United Nations. 2010. Available online: http://www.fao.org/docrep/013/i1820e/i1820e.pdf (accessed on 21 May 2021).
- Jackson, A. Fishmeal and Fish Oil and Their Role in Sustainable Aquaculture. International Aquafeed. 2012. Available online: https://effop.org/wp-content/uploads/2019/01/andrew-jackson.pdf (accessed on 21 May 2021).
- Callejón, M.J.J.; Medina, A.R.; Moreno, P.A.G.; Cerdán, L.E.; Guillén, S.O.; Grima, E.M. Simultaneous extraction and fractionation of lipids from the microalga Nannochloropsis sp. for the production of EPA-rich polar lipid concentrates. J. Appl. Phycol. 2020, 32, 1–12. [Google Scholar]
- Cardoso, C.; Pereira, H.; Franca, J.; Matos, J.; Monteiro, I.; Pousão-Ferreira, P.; Gomes, A.; Barreira, L.; Varela, J.; Neng, N.; et al. Lipid composition and some bioactivities of 3 newly isolated microalgae (Tetraselmis sp. IMP3, Tetraselmis sp. CTP4, and Skeletonema sp.). Aquac. Int. 2020, 28, 711–727. [Google Scholar] [CrossRef]
- Steinrücken, P.; Prestegard, S.K.; de Vree, J.H.; Storesund, J.E.; Pree, B.; Mjøs, S.A.; Erga, S.R. Comparing EPA production and fatty acid profiles of three Phaeodactylum tricornutum strains under western Norwegian climate conditions. Algal Res. 2018, 30, 11–22. [Google Scholar] [CrossRef]
- Meng, Y.; Jiang, J.; Wang, H.; Cao, X.; Xue, S.; Yang, Q.; Wang, W. The characteristics of TAG and EPA accumulation in Nannochloropsis oceanica IMET1 under different nitrogen supply regimes. Bioresour. Technol. 2015, 179, 483–489. [Google Scholar] [CrossRef] [PubMed]
- Tsai, H.P.; Chuang, L.T.; Chen, C.N.N. Production of long chain omega-3 fatty acids and carotenoids in tropical areas by a new heat-tolerant microalga Tetraselmis sp. DS3. Food Chem. 2016, 192, 682–690. [Google Scholar] [CrossRef] [Green Version]
- Hong, W.K.; Yu, A.; Oh, B.R.; Park, J.M.; Kim, C.H.; Sohn, J.H.; Kondo, A.; Seo, J.W. Large-scale production of microalgal lipids containing high levels of docosahexaenoic acid upon fermentation of Aurantiochytrium sp. KRS101. Food Nutr. Sci. 2013, 4, 1–5. [Google Scholar] [CrossRef] [Green Version]
- Karnaouri, A.; Chalima, A.; Kalogiannis, K.G.; Varamogianni-Mamatsi, D.; Lappas, A.; Topakas, E. Utilization of lignocellulosic biomass towards the production of omega-3 fatty acids by the heterotrophic marine microalga Crypthecodinium cohnii. Bioresour. Technol. 2020, 303, 122899–122907. [Google Scholar] [CrossRef]
- Chalima, A.; Taxeidis, G.; Topakas, E. Optimization of the production of docosahexaenoic fatty acid by the heterotrophic microalga Crypthecodinium cohnii utilizing a dark fermentation effluent. Renew. Energy 2020, 152, 102–109. [Google Scholar] [CrossRef]
- Sahin, D.; Tas, E.; Altindag, U.H. Enhancement of docosahexaenoic acid (DHA) production from Schizochytrium sp. S31 using different growth medium conditions. Amb. Express 2018, 8, 1–8. [Google Scholar] [CrossRef]
- Barclay, W.; Weaver, C.; Metz, J.; Hansen, J. Development of a docosahexaenoic acid production technology using Schizochytrium: Historical perspective and update. In Single Cell Oils; AOCS Press: Urbana, IL, USA, 2010; pp. 75–96. [Google Scholar]
- Hu, X.C.; Ren, L.J.; Chen, S.L.; Zhang, L.; Ji, X.J.; Huang, H. The roles of different salts and a novel osmotic pressure control strategy for improvement of DHA production by Schizochytrium sp. Bioprocess Biosyst. Eng. 2015, 38, 2129–2136. [Google Scholar] [CrossRef]
- Barr, W.J.; Landis, A.E. Comparative life cycle assessment of a commercial algal multiproduct biorefinery and wild caught fishery for small pelagic fish. Int. J. Life Cycle Assess. 2018, 23, 1141–1150. [Google Scholar] [CrossRef]
- Chang, K.J.L.; Rye, L.; Dunstan, G.A.; Grant, T.; Koutoulis, A.; Nichols, P.D.; Blackburn, S.I. Life cycle assessment: Heterotrophic cultivation of thraustochytrids for biodiesel production. J. Appl. Phycol. 2015, 27, 639–647. [Google Scholar] [CrossRef]
- Depra, M.C.; Severo, I.A.; dos Santos, A.M.; Zepka, L.Q.; Jacob-Lopes, E. Environmental impacts on commercial microalgae-based products: Sustainability metrics and indicators. Algal Res. 2020, 51, 102056–102070. [Google Scholar] [CrossRef]
- Bartek, L.; Strid, I.; Henryson, K.; Junne, S.; Rasi, S.; Eriksson, M. Life cycle assessment of fish oil substitute produced by microalgae using food waste. Sustain. Prod. Consum. 2021, 27, 2002–2021. [Google Scholar] [CrossRef]
- Lu, Y.; Mu, D.; Xue, Z.; Xu, P.; Li, Y.; Xiang, W.; Burnett, J.; Bryant, K.; Zhou, W.; Zhou, W. Life cycle assessment of industrial production of microalgal oil from heterotrophic fermentation. Algal Res. 2021, 58, 102404. [Google Scholar] [CrossRef]
- ISO. ISO 14040:2006. In Environmental Management-Life Cycle Assesment-Principles and Framework; International Organization for Standardization: Geneva, Switzerland, 2006. [Google Scholar]
- ISO. ISO 14044:2006. In Environmental Management-Life Cycle Assesment-Requirement and Guidelines; International Organization for Standardization: Geneva, Switzerland, 2006. [Google Scholar]
- Chauton, M.S.; Reitan, K.I.; Norsker, N.H.; Tveterås, R.; Kleivdal, H.T. A techno-economic analysis of industrial production of marine microalgae as a source of EPA and DHA-rich raw material for aquafeed: Research challenges and possibilities. Aquaculture 2015, 436, 95–103. [Google Scholar] [CrossRef]
- Chandra, T.S.; Kumar, M.M.; Mukherji, S.; Chauhan, V.S.; Sarada, R.; Mudliar, S.N. Comparative life cycle assessment of microalgae-mediated CO2 capture in open raceway pond and airlift photobioreactor system. Clean Technol. Environ. Policy 2018, 20, 2357–2364. [Google Scholar] [CrossRef]
- Pelletier, N.; Tyedmers, P. Feeding farmed salmon: Is organic better? Aquaculture 2007, 272, 399–416. [Google Scholar] [CrossRef]
- Ayer, N.W.; Tyedmers, P.H. Assessing alternative aquaculture technologies: Life cycle assessment of salmonid culture systems in Canada. J. Clean. Prod. 2009, 17, 362–373. [Google Scholar] [CrossRef]
- Šimat, V.; Vlahović, J.; Soldo, B.; Skroza, D.; Ljubenkov, I.; Generalić Mekinić, I. Production and refinement of omega-3 rich oils from processing by-products of farmed fish species. Foods 2019, 8, 125. [Google Scholar] [CrossRef] [Green Version]
- Akdemir, S. Energy consumption of an Experimental cold storage. Bulg. J. Agric. Sci. 2012, 18, 991–996. [Google Scholar]
- FAO. The State of World Fisheries and Aquaculture 2020: Sustainability in Action; FAO: Rome, Italy, 2020. [Google Scholar]
- Ghamkhar, R.; Hicks, A. Comparative environmental impact assessment of aquafeed production: Sustainability implications of forage fish meal and oil free diets. Resour. Conserv. Recycl. 2020, 161, 104849. [Google Scholar] [CrossRef]
- Russo, G.L.; Langellotti, A.L.; Oliviero, M.; Sacchi, R.; Masi, P. Sustainable production of food grade omega-3 oil using aquatic protists: Reliability and future horizons. New Biotechnol. 2021, 62, 32–39. [Google Scholar] [CrossRef] [PubMed]
- Cottrell, R.S.; Blanchard, J.L.; Halpern, B.S.; Metian, M.; Froehlich, H.E. Global adoption of novel aquaculture feeds could substantially reduce forage fish demand by 2030. Nat. Food 2020, 1, 301–308. [Google Scholar] [CrossRef]
- Beal, C.M.; Gerber, L.N.; Thongrod, S.; Phromkunthong, W.; Kiron, V.; Granados, J.; Archibald, I.; Greene, C.H.; Huntley, M.E. Marine microalgae commercial production improves sustainability of global fisheries and aquaculture. Sci. Rep. 2018, 8, 1–8. [Google Scholar] [CrossRef] [Green Version]
- Woods, J.S.; Veltman, K.; Huijbregts, M.A.; Verones, F.; Hertwich, E.G. Towards a meaningful assessment of marine ecological impacts in life cycle assessment (LCA). Environ. Int. 2016, 89, 48–61. [Google Scholar] [CrossRef] [PubMed] [Green Version]
- Winter, L.; Lehmann, A.; Finogenova, N.; Finkbeiner, M. Including biodiversity in life cycle assessment–State of the art, gaps and research needs. Environ. Impact Assess. Rev. 2017, 67, 88–100. [Google Scholar] [CrossRef]
- Asselin, A.; Rabaud, S.; Catalan, C.; Leveque, B.; L’Haridon, J.; Martz, P.; Neveux, G. Product Biodiversity Footprint—A novel approach to compare the impact of products on biodiversity combining Life Cycle Assessment and Ecology. J. Clean. Prod. 2020, 248, 119262. [Google Scholar] [CrossRef]
- Avadí, A.; Vázquez-Rowe, I.; Symeonidis, A.; Moreno-Ruiz, E. First series of seafood datasets in ecoinvent: Setting the pace for future development. Int. J. Life Cycle Assess. 2020, 25, 1333–1342. [Google Scholar] [CrossRef]
Publisher’s Note: MDPI stays neutral with regard to jurisdictional claims in published maps and institutional affiliations. |
© 2021 by the authors. Licensee MDPI, Basel, Switzerland. This article is an open access article distributed under the terms and conditions of the Creative Commons Attribution (CC BY) license (https://creativecommons.org/licenses/by/4.0/).








