Statistical Steady-State Stability Analysis for Transmission System Planning for Offshore Wind Power Plant Integration
Abstract
1. Introduction
2. Mathematical Formulation
2.1. Power Flow Equations with Wind Variability Model
2.2. Normal Operation Analysis
2.3. Contingency Operation Analysis
- Any index that considers only a single facet of the system’s operation does not provide a 100 percent accurate ranking.
- A combination of indices should be used to reliably rank and select contingencies.
- Indices might be computed based on single or multiple methods.
- If the system is currently operating at maximum generation or maximum scheduled generation, and none of the pre-contingency or post-contingency analyses leads to instability, then the system is assumed to be safe.
- In power system operating centers, using sophisticated algorithms and procedures is computationally burdening due to the complexity and size of the system and the time requirements.
2.3.1. Voltage Regulation Index
2.3.2. Power Loss Index
2.3.3. Transmission Line Loading Index
2.3.4. Reactive Reserve Support Index
2.3.5. Security Index
3. Case Study
3.1. FirstEnergy/PJM Power System
3.2. Wind Power Integration Scenario Development
- Interconnecting a total of 1000 MW of offshore wind generation at a single POI, referred to as EC01
- Interconnecting a total of 1000 MW of offshore wind generation through five 200 MW POIs across the lake, referred to as EC02
- Interconnecting a total of 1000 MW of offshore wind generation through two 500 MW POIs across the lake, referred to as EC03
3.3. Offshore Wind Power Plant Modeling
3.4. Generation Dispatch Scenarios and Load Assumptions
3.5. Contingency Events
3.6. Computer Implementation
3.6.1. Normal Operation
- The first dataset contains information about voltage magnitudes;
- The second dataset contains information about power flows.
- 1.
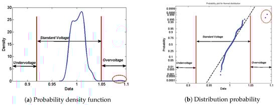
- First, kernel density estimation (KDE) was applied to each of the datasets to estimate the density function of each dataset with an equal weight for all data points. The outcome of KDE shows how the variability of wind generation would impact voltage regulation and line loading conditions for each case.
- 2.
- The next step was to calculate the dataset maximum, minimum, mode, mean, and median values for each case. These values provide a sufficient understanding of how the data points are distributed and how close to a normal distribution their distributions are.
- Maximum and minimum measures indicate whether or not any voltage violation occurs, according to acceptable grid operating standards.
- Mode measure shows the most frequently recorded voltage magnitude. The closer the mode value is to 1 is an indication of better system performance.
- The last metric is the difference between mean and median. The smaller values for this measure indicate that the voltage data has a symmetric distribution similar to a normal distribution. Positive values for this difference show a trend to voltage rise across the system, whereas negative values indicate a trend to voltage drop across the system. This measure is similar to kurtosis and skewness in which the heaviness of the tail and shoulders of the distribution is used for interpretation. But it is easier to compute for datasets from power systems where the long tails of the probability distribution may not be a concern.
- 3.
- The last step was to compare the distribution of datasets to a normal distribution. The outcome of this comparison provides information about the probability of any voltage or power flow value with respect to the wind variability.
3.6.2. Contingency Operation
4. Results and Discussion
4.1. Normal Operation
4.1.1. Voltage Stability
4.1.2. Thermal Stability
4.2. Contingency Operation
5. Conclusions
Author Contributions
Funding
Acknowledgments
Conflicts of Interest
References
- Machowski, J.; Bialek, J.; Bumby, J. Power System Dynamics: Stability and Control; John Wiley & Sons: Hoboken, NJ, USA, 2008. [Google Scholar]
- Sajadi, A.; Kolacinski, R.; Loparo, K. Impact of Wind Turbine Generator Type in Large-Scale Offshore Wind Farms on Voltage Regulation in Distribution Feeders. In Proceedings of the IEEE Power & Energy Society Innovative Smart Grid Technologies Conference (ISGT), Washington, DC, USA, 18–20 February 2015; pp. 1–5. [Google Scholar]
- Vittal, E.; O’Malley, M.; Keane, A. A Steady-State Voltage Stability Analysis of Power Systems with High Penetrations of Wind. IEEE Trans. Power Syst. 2010, 25, 433–442. [Google Scholar] [CrossRef]
- Baghsorkhi, S.S.; Hiskens, I.A. Impact of Wind Power Variability on Sub-Transmission Networks. In Proceedings of the IEEE Power and Energy Society General Meeting, San Diego, CA, USA, 22–26 July 2012; pp. 1–7. [Google Scholar]
- Li, H.; Haq, E.; Abdul-Rahman, K.; Wu, J.; Causgrove, P. On-line voltage security assessment and control. Int. Trans. Electr. Energy Syst. 2014, 24, 1618. [Google Scholar] [CrossRef]
- Ejebe, G.; Irisarri, G.; Mokhtari, S.; Obadina, O.; Ristanovic, P.; Tong, J. Methods for Contingency Screening and Ranking for Voltage Stability Analysis of Power Systems. In Proceedings of the IEEE Power Industry Computer Application Conference, Salt Lake City, UT, USA, 7–12 May 1995; pp. 249–255. [Google Scholar]
- Yokoyama, A.; Sekine, Y. A static voltage stability index based on multiple load flow solutions. In Proceedings of the Bulk Power System Voltage Phenomena-Voltage Stability and Security, Potosi, MO, USA, 19–24 September 1989. [Google Scholar]
- Chiang, H.-D.; Jumeau, R. Toward a practical performance index for predicting voltage collapse in electric power systems. IEEE Trans. Power Syst. 1995, 10, 584. [Google Scholar] [CrossRef]
- Foss, O.B.; Flatabo, N.; Hahavik, B.; Holen, A.T. Comparison of Methods for Calculation of Margins to Voltage Instability. In Proceedings of the Athens Power Tech, Joint International Power Conference (IEEE, 1993), Athens, Greece, 5–8 September 1993; Volume 1, pp. 216–221. [Google Scholar]
- Meliopoulos, A.S.; Cheng, C. A New Contingency Ranking Method. In Proceedings of the SoutheastCon, Honolulu, HI, USA, 1–4 April 1990; pp. 837–842. [Google Scholar]
- Subcommittee, P.M. IEEE reliability test system. IEEE Trans. Power Appar. Syst. 1979, 2047–2054. [Google Scholar] [CrossRef]
- Donde, V.; Lopez, V.; Lesieutre, B.; Pinar, A.; Yang, C.; Meza, J. Identification of Severe Multiple Contingencies in Electric Power Networks. In Proceedings of the IEEE 37th Annual North American Power Symposium, Manhattan, KS, USA, 22–24 September 2005; pp. 59–66. [Google Scholar]
- Brandwajn, V.; Kumar, A.; Ipakchi, A.; Bose, A.; Kuo, S.D. Severity indices for contingency screening in dynamic security assessment. IEEE Trans. Power Syst. 1997, 12, 1136. [Google Scholar] [CrossRef]
- Liu, H.; Bose, A.; Venkatasubramanian, V. A fast voltage security assessment method using adaptive bounding. IEEE Trans. Power Syst. 2000, 15, 1137. [Google Scholar]
- Limbu, T.R.; Saha, T.K.; McDonald, J.D. Comparing Effectiveness of Different Reliability Indices in Contingency Ranking and Indicating Voltage Stability. In Proceedings of the Australasian Universities Power Engineering Conference, (AUPEC2005), Hobart, Australia, 25–28 September 2005; pp. 568–573. [Google Scholar]
- Greene, S.; Dobson, I.; Alvarado, F.L. Sensitivity of the loading margin to voltage collapse with respect to arbitrary parameters. IEEE Trans. Power Syst. 1997, 12, 262. [Google Scholar] [CrossRef]
- Nims, J.W.; El-Keibb, A.; Smith, R. Contingency ranking for voltage stability using a genetic algorithm. Electr. Power Syst. Res. 1997, 43, 69. [Google Scholar] [CrossRef]
- Wan, H.; McCalley, J.D.; Vittal, V. Risk based voltage security assessment. IEEE Trans. Power Syst. 2000, 15, 1247. [Google Scholar] [CrossRef]
- Vijayan, P.; Sarkar, S.; Ajjarapu, V. A Steady-State Voltage Stability Analysis of Power Systems with High Penetrations of Wind. In Proceedings of the IEEE Power & Energy Society General Meeting, PES-09, Calgary, AB, Canada, 26–30 July 2009; pp. 1–8. [Google Scholar]
- Miller, N.; Shao, M.; Pajic, S.; D’Aquila, R. Eastern Frequency Response Study; GE-Power Systems Energy Consulting: Schenectady, NY, USA, 2013. [Google Scholar]
- Miller, N.W.; Price, W.W.; Sanchez-Gasca, J.J. Dynamic Modeling of GE 1.5 and 3.6 Wind Turbine-Generators; GE-Power Syst. Energy Consulting: Schenectady, NY, USA, 2003. [Google Scholar]
- ABB. Submarine Cable Systems: Attachment to XLPE Land Cable Systems-Users Guide; XLPE Submarine Cable Systems: Västerås, Sweden, 2010. [Google Scholar]
- Gutman, R. Application of line loadability concepts to operating studies. IEEE Trans. Power Syst. 1988, 3, 1426. [Google Scholar] [CrossRef]
- Savulescu, S.C. Real-Time Stability Assessment in Modern Power System Control Centers; John Wiley & Sons: Hoboken, NJ, USA, 2009; Volume 42. [Google Scholar]
- Schafer, K.; Verstege, J. Adaptive procedure for masking effect compensation in contingency selection algorithms. IEEE Trans. Power Syst. 1990, 5, 539. [Google Scholar] [CrossRef]
- Barnes, S. Progress Report—Great Lakes Offshore Wind: Utility and Regional Integration Study; General Electric (GE): Pittsburgh, PA, USA, 2014. [Google Scholar]
- Mackauer, J.; Syner, J.; Bowers, P.; Detweiler, J. FirstEnergy/PJM Requirements for Transmission Connected Facilities; FirstEnergy: Akron, OH, USA, 2013. [Google Scholar]
















| Case No. | Voltage Control | Reactive Capability | SVC | Perry |
|---|---|---|---|---|
| 1 | V00 | R00 | OFF | ON |
| 2 | V01 | |||
| 3 | V02 | |||
| 4 | V00 | R01 | ||
| 5 | V01 | |||
| 6 | V02 | |||
| 7 | V00 | R02 | ||
| 8 | V01 | |||
| 9 | V02 | |||
| 10 | V00 | R00 | ON | |
| 11 | V01 | |||
| 12 | V02 | |||
| 13 | V00 | R01 | ||
| 14 | V01 | |||
| 15 | V02 | |||
| 16 | V00 | R02 | ||
| 17 | V01 | |||
| 18 | V02 | |||
| 19 | V00 | R00 | OFF | OFF |
| 20 | V01 | |||
| 21 | V02 | |||
| 22 | V00 | R01 | ||
| 23 | V01 | |||
| 24 | V02 | |||
| 25 | V00 | R02 | ||
| 26 | V01 | |||
| 27 | V02 | |||
| 28 | V00 | R00 | ON | |
| 29 | V01 | |||
| 30 | V02 | |||
| 31 | V00 | R01 | ||
| 32 | V01 | |||
| 33 | V02 | |||
| 34 | V00 | R02 | ||
| 35 | V01 | |||
| 36 | V02 |
| Case 1, EC01 | Case 7, EC01 | Case 1, EC02 | Case 7, EC02 | Case 1, EC03 | Case 7, EC03 | |||||||
|---|---|---|---|---|---|---|---|---|---|---|---|---|
| Event | Rank | SI | Rank | SI | Rank | SI | Rank | SI | Rank | SI | Rank | SI |
| 40 | 1 | 1.280 | 2 | 1.530 | 1 | 1.287 | 2 | 1.564 | 1 | 1.362 | 1 | 1.593 |
| 24 | 3 | 1.276 | 1 | 1.544 | 2 | 1.285 | 1 | 1.576 | 2 | 1.348 | 2 | 1.582 |
| 39 | 4 | 1.247 | 6 | 1.488 | 5 | 1.255 | 6 | 1.521 | 5 | 1.322 | 7 | 1.534 |
| 18 | 5 | 1.247 | 3 | 1.521 | 4 | 1.258 | 3 | 1.561 | 4 | 1.323 | 3 | 1.574 |
| 41 | 6 | 1.244 | 7 | 1.486 | 7 | 1.248 | 9 | 1.505 | 6 | 1.319 | 8 | 1.528 |
| 30 | 7 | 1.243 | 8 | 1.484 | 6 | 1.251 | 7 | 1.516 | 7 | 1.311 | 9 | 1.522 |
| 17 | 8 | 1.240 | 34 | 1.446 | 12 | 1.241 | 43 | 1.470 | 10 | 1.300 | 40 | 1.480 |
| 9 | 9 | 1.236 | 25 | 1.451 | 13 | 1.237 | 42 | 1.471 | 17 | 1.296 | 44 | 1.479 |
| 22 | 10 | 1.234 | 9 | 1.479 | 9 | 1.237 | 8 | 1.512 | 8 | 1.304 | 10 | 1.522 |
| 62 | 11 | 1.232 | 14 | 1.460 | 8 | 1.243 | 13 | 1.492 | 15 | 1.297 | 23 | 1.490 |
© 2020 by the authors. Licensee MDPI, Basel, Switzerland. This article is an open access article distributed under the terms and conditions of the Creative Commons Attribution (CC BY) license (http://creativecommons.org/licenses/by/4.0/).
Share and Cite
Sajadi, A.; Clark, K.; Loparo, K.A. Statistical Steady-State Stability Analysis for Transmission System Planning for Offshore Wind Power Plant Integration. Clean Technol. 2020, 2, 311-332. https://doi.org/10.3390/cleantechnol2030020
Sajadi A, Clark K, Loparo KA. Statistical Steady-State Stability Analysis for Transmission System Planning for Offshore Wind Power Plant Integration. Clean Technologies. 2020; 2(3):311-332. https://doi.org/10.3390/cleantechnol2030020
Chicago/Turabian StyleSajadi, Amirhossein, Kara Clark, and Kenneth A. Loparo. 2020. "Statistical Steady-State Stability Analysis for Transmission System Planning for Offshore Wind Power Plant Integration" Clean Technologies 2, no. 3: 311-332. https://doi.org/10.3390/cleantechnol2030020
APA StyleSajadi, A., Clark, K., & Loparo, K. A. (2020). Statistical Steady-State Stability Analysis for Transmission System Planning for Offshore Wind Power Plant Integration. Clean Technologies, 2(3), 311-332. https://doi.org/10.3390/cleantechnol2030020

