Improving Chernozem Fertility and Barley Yield Through Combined Application of Phosphorus Fertilizer and Ash–Carbon Amendment
Abstract
1. Introduction
2. Materials and Methods
3. Results
3.1. Cellulose-Decomposing Microbial Activity
3.2. Water-Stable Soil Aggregates (%WSA)
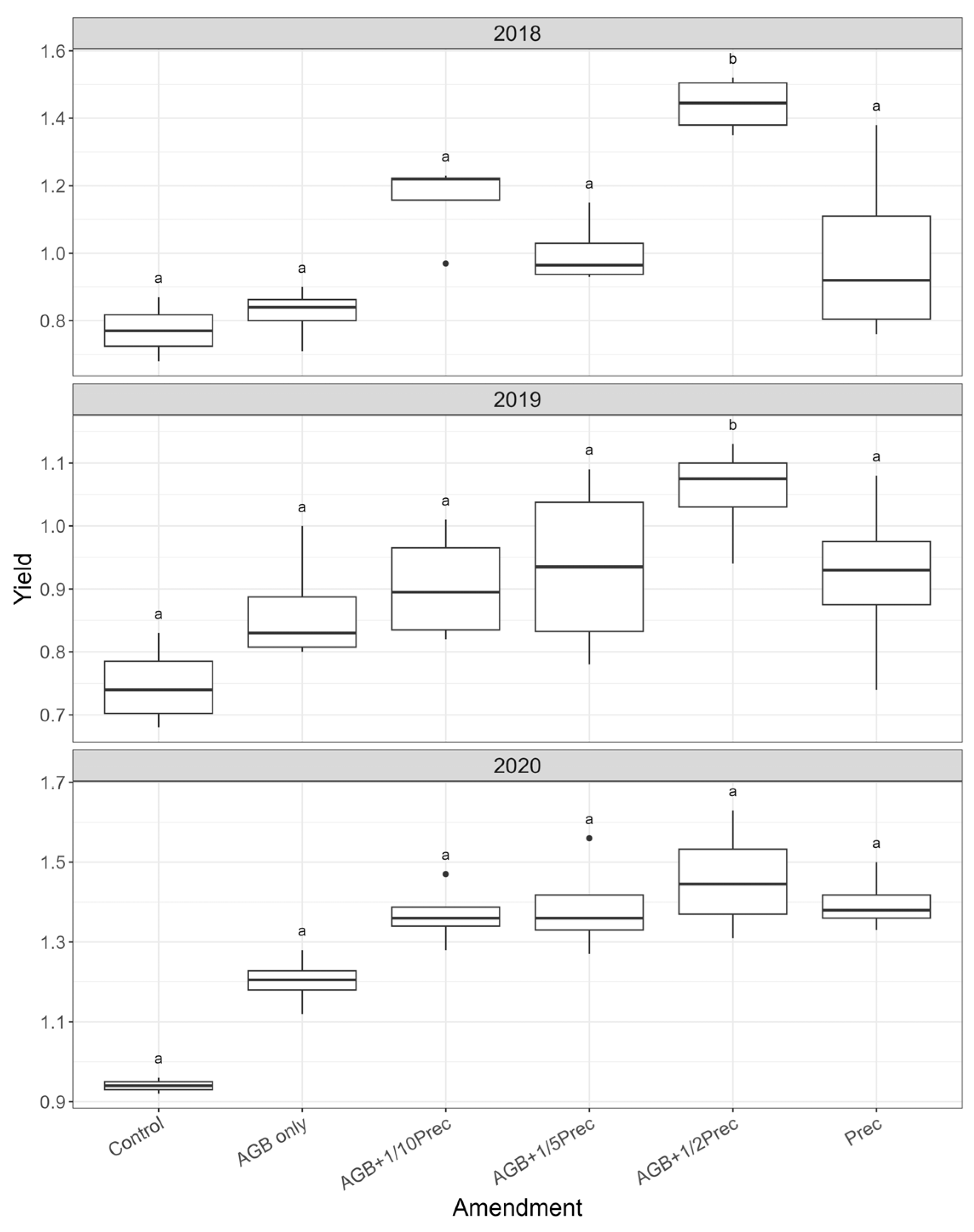
3.3. Barley Crop Yields
4. Discussion
5. Conclusions
Author Contributions
Funding
Institutional Review Board Statement
Informed Consent Statement
Data Availability Statement
Acknowledgments
Conflicts of Interest
Abbreviations
| AGB | Agrobionov amendment |
| ASW | Ash and slag waste |
| IQR | Interquartile range |
| KU | Ualikhanov Kokshetau University |
| LSD05 | Least significant difference at the 5% probability level (α = 0.05) |
| MPC | Maximum permissible concentration |
Appendix A
Appendix A.1
| Ti, wt% | Fe, wt% | Mn, wt % | Zr, ppm | As, ppm | Cu, ppm | Ni, ppm | Co, ppm | Pb, ppm |
|---|---|---|---|---|---|---|---|---|
| 0.60 ± 0.008 | 4.31 ± 0.1 | 0.98 ± 0.01 | 168 ± 4.7 | 14 ± 1 | <LOD | <LOD | <LOD | <LOD |
Appendix A.2

Appendix A.3
| Soil Depth | Control | AGB Only | AGB+1/10Prec | AGB+1/5Prec | AGB+1/2Prec | Prec |
|---|---|---|---|---|---|---|
| 0–20 cm | 28 | 32 | 32 | 34 | 36 | 35 |
| 0–20 cm | 30 | 40 | 48 | 60 | 56 | 52 |
| 0–20 cm | 30 | 30 | 48 | 60 | 46 | 52 |
| 20–40 cm | 6 | 16 | 14 | 20 | 22 | 22 |
| 20–40 cm | 20 | 36 | 40 | 56 | 38 | 44 |
| 20–40 cm | 20 | 36 | 40 | 56 | 38 | 44 |
| Year | Control | AGB Only | AGB+1/10Prec | AGB+1/5Prec | AGB+1/2Prec | Prec |
|---|---|---|---|---|---|---|
| 2018 | 0.87 | 0.85 | 0.97 | 0.94 | 1.35 | 0.76 |
| 2018 | 0.68 | 0.71 | 1.23 | 1.15 | 1.52 | 1.02 |
| 2018 | 0.8 | 0.9 | 1.22 | 0.99 | 1.5 | 1.38 |
| 2018 | 0.74 | 0.83 | 1.22 | 0.93 | 1.39 | 0.82 |
| 2019 | 0.83 | 1 | 1.01 | 1.02 | 1.06 | 1.08 |
| 2019 | 0.77 | 0.85 | 0.95 | 1.09 | 1.13 | 0.94 |
| 2019 | 0.71 | 0.8 | 0.82 | 0.78 | 1.09 | 0.92 |
| 2019 | 0.68 | 0.81 | 0.84 | 0.85 | 0.94 | 0.74 |
| 2020 | 1.19 | 1.28 | 1.47 | 1.56 | 1.63 | 1.5 |
| 2020 | 0.96 | 1.12 | 1.28 | 1.35 | 1.39 | 1.37 |
| 2020 | 0.92 | 1.2 | 1.36 | 1.27 | 1.31 | 1.33 |
| 2020 | 1.08 | 1.21 | 1.36 | 1.37 | 1.5 | 1.39 |
References
- Gebremedhin, M.; Coyne, M.S.; Sistani, K.R. How Much Margin Is Left for Degrading Agricultural Soils? The Coming Soil Crises. Soil Syst. 2022, 6, 22. [Google Scholar] [CrossRef]
- Kenenbaev, S. Preserving Soil Fertility Is the Most Important Problem of Agriculture. Bull. Agric. Sci. Kazakhstan 2003, 12, 25–26. [Google Scholar]
- Prăvălie, R. Exploring the Multiple Land Degradation Pathways across the Planet. Earth-Sci. Rev. 2021, 220, 103689. [Google Scholar] [CrossRef]
- Yumagulova, A. Soil Fertility, Ways of Its Regulation; Yumagulova, A.N., Ed.; Kainar University: Almaty, Kazakhstan, 1986. [Google Scholar]
- Kireev, A. Increasing Soil Fertility and Grain Yield through Biologization of Rain-Fed Farming. Bull. Agric. Sci. Kazakhstan 2000, 3, 29–32. [Google Scholar]
- Paramonova, T.; Shynbergenov, Y.; Botavin, D.; Golosov, V. Assessment of Soil Pollution and Erosion Processes in the Republic of Kazakhstan According to Literature Data. Eurasian Soil Sci. 2025, 58, 11. [Google Scholar] [CrossRef]
- Sarapov, A. Ways to Increase the Productivity of Agricultural Crops and Soil Fertility in Market Conditions. Bull. Agric. Sci. Kazakhstan 2002, 8, 27–29. [Google Scholar]
- Akhzanov, Z. Analytical Note on the Trends in the Development of Soil Science. Soil Sci. Agrochem. 2008, 2008, 6–13. [Google Scholar]
- Karbozova–Saljnikov, E.; Funakawa, S.; Akhmetov, K.; Kosaki, T. Soil organic matter status of Chernozem soil in North Kazakhstan: Effects of summer fallow. Soil Biol. Biochem. 2004, 36, 1373–1381. [Google Scholar] [CrossRef]
- Kenenbaev, S.; Ramazanova, S.; Gusev, V. State and Prospects of Mineral Fertilizers Use in Agriculture of Kazakhstan. SABRAO J. Breed. Genet. 2023, 55, 886–895. [Google Scholar] [CrossRef]
- Khussainov, A.; Seydalina, K. Agroecological Conditions of Chernozem Soils of Northern Kazakhstan: Monograph. 2011; p. 120.
- Lu, C.; Tian, H. Global Nitrogen and Phosphorus Fertilizer Use for Agriculture Production in the Past Half Century: Shifted Hot Spots and Nutrient Imbalance. Earth Syst. Sci. Data 2017, 9, 181–192. [Google Scholar] [CrossRef]
- Zou, T.; Zhang, X.; Davidson, E. Global Trends of Cropland Phosphorus Use and Sustainability Challenges. Nature 2022, 611, 81–87. [Google Scholar] [CrossRef]
- Makenova, S.; Alipbeki, O.; Tatarintsev, V.; Inkarov, D.; Asanova, G.; Muzyka, O. Issue on Land Degradation in Kazakhstan. Her. Sci. Seifullin Kazakh Agrotech. Univ. Multidiscip. 2023, 2, 261–272. [Google Scholar] [CrossRef]
- Ludemann, C.I.; Gruere, A.; Heffer, P.; Dobermann, A. Global Data on Fertilizer Use by Crop and by Country. Sci. Data 2022, 9, 501. [Google Scholar] [CrossRef] [PubMed]
- Cruz-Paredes, C.; López-García, Á.; Rubæk, G.H.; Hovmand, M.F.; Sørensen, P.; Kjøller, R. Risk Assessment of Replacing Conventional P Fertilizers with Biomass Ash: Residual Effects on Plant Yield, Nutrition, Cadmium Accumulation and Mycorrhizal Status. Sci. Total Environ. 2017, 575, 1168–1176. [Google Scholar] [CrossRef] [PubMed]
- Mayer, E.; Eichermüller, J.; Endriss, F.; Baumgarten, B.; Kirchhof, R.; Tejada, J.; Kappler, A.; Thorwarth, H. Utilization and Recycling of Wood Ashes from Industrial Heat and Power Plants Regarding Fertilizer Use. Waste Manag. 2022, 141, 92–103. [Google Scholar] [CrossRef]
- Almuaythir, S.; Zaini, M.S.I.; Hasan, M.; Hoque, M.I. Sustainable Soil Stabilization Using Industrial Waste Ash: Enhancing Expansive Clay Properties. Heliyon 2024, 10, e39124. [Google Scholar] [CrossRef] [PubMed]
- Dhadse, S. Utilization of Fly Ash in Agriculture: Perspectives and Challenges. J. Mater. Environ. Sci. 2024, 15, 1038–1050. [Google Scholar]
- Jangde, V.; Choubey, S.; Markam, D.K. Sustainable Circular Economy: Transforming Fly Ash into Valuable Compost. J. Environ. Nanotechnol. 2024, 13, 470–476. [Google Scholar] [CrossRef]
- Mandpe, A.; Paliya, S.; Kumar, S.; Kumar, R. Fly Ash as an Additive for Enhancing Microbial and Enzymatic Activities in In-Vessel Composting of Organic Wastes. Bioresour. Technol. 2019, 293, 122047. [Google Scholar] [CrossRef]
- Faloye, O.; Alatise, M.; Ajayi, A.; Ewulo, B. Synergistic Effects of Biochar and Inorganic Fertiliser on Maize (Zea mays) Yield in an Alfisol under Drip Irrigation. Soil Tillage Res. 2017, 174, 214–220. [Google Scholar] [CrossRef]
- Ram, L.; Masto, R. Fly Ash for Soil Amelioration: A Review on the Influence of Ash Blending with Inorganic and Organic Amendments. Earth-Sci. Rev. 2014, 128, 52–74. [Google Scholar] [CrossRef]
- Shaheen, S.M.; Shams, M.S.; Khalifa, M.R.; El-Dali, M.A.; Rinklebe, J. Various Soil Amendments and Environmental Wastes Affect the (Im) Mobilization and Phytoavailability of Potentially Toxic Elements in a Sewage Effluent Irrigated Sandy Soil. Ecotoxicol. Environ. Saf. 2017, 142, 375–387. [Google Scholar] [CrossRef]
- Thapa, R.B.; Budhathoki, S.; Shilpakar, C.; Panday, D.; Alsunuse, B.; Tang, S.X.; Stahl, P.D. Enhancing Corn Yield and Soil Quality in Irrigated Semiarid Region with Coal Char and Biochar Amendments. Soil Syst. 2024, 8, 82. [Google Scholar] [CrossRef]
- Oueriemmi, H.; Zoghlami, R.I.; Le Guyader, E.; Mekki, F.; Suidi, Y.; Bennour, A.; Moussa, M.; Sbih, M.; Saidi, S.; Morvan, X.; et al. Addressing Soil Fertility Challenges in Arid Agriculture: A Two-Year Evaluation of Combined Soil Organic Amendments Under Saline Irrigation. Soil Syst. 2025, 9, 16. [Google Scholar] [CrossRef]
- Bazilevskaya, E.; Robbins, M.; Colestock, A.; SamieiFard, R. The Synergistic Effect of Biochar and Inorganic Fertilizer and Compost on Soil Fertility and Plant Growth. In Proceedings of the ASA, CSSA, SSSA International Annual Meeting, St. Louis, MO, USA, 29 October–1 November 2023. [Google Scholar]
- Liu, M.; Linna, C.; Ma, S.; Ma, Q.; Song, W.; Shen, M.; Song, L.; Cui, K.; Zhou, Y.; Wang, L. Biochar Combined with Organic and Inorganic Fertilizers Promoted the Rapeseed Nutrient Uptake and Improved the Purple Soil Quality. Front. Nutr. 2022, 9, 997151. [Google Scholar] [CrossRef] [PubMed]
- Thies, J.E.; Rillig, M.C.; Graber, E.R. Biochar Effects on the Abundance, Activity and Diversity of the Soil Biota. In Biochar for Environmental Management; Routledge: Oxfordshire, UK, 2015; pp. 327–389. [Google Scholar]
- Ghodszad, L.; Reyhanitabar, A.; Oustan, S.; Alidokht, L. Phosphorus Sorption and Desorption Characteristics of Soils as Affected by Biochar. Soil Tillage Res. 2022, 216, 105251. [Google Scholar] [CrossRef]
- Sarsenova, A. Reclamation Preparation for Soil Fertility Increase. 2013. Available online: https://patents.google.com/patent/RU2494137C2/en?oq=Sarsenova+A+A+RU+Patent+No.+2494137+C2.2013+No.+27+Reclamation+preparation+for+soil+fertility+increase.+Google+Scholar (accessed on 18 September 2025).
- Khusainov, A.; Kyzdarbekova, G.; Khusainova, R. Influence of the preparation agrobionov on the hydro-physical properties of ordinary black soil and yield capacity of oil flax. Seriâ Agrar. Nauk. 2020, 59. [Google Scholar]
- Khusainov, A.; Syrlybayev, M.; Ayapbergenova, A. Environmental Safety and Efficacy of Ordinary Chernozem Fertilization with “Agrobionov” Preparation under Barley Crops. In Proceedings of the IOP Conference Series: Earth and Environmental Science, Omsk, Russia, 4–5 July 2020; Volume 624, p. 012227. [Google Scholar]
- Khussainov, A.; Ayapbergenova, A.; Sarsenova, A.; Aishuk, Y.; Khussainova, R. Microflora, Provision of Ordinary Chernozem with Nutrients and Barley Productivity When Inoculating the “Agrobionov” Preparation. AGRIVITA J. Agric. Sci-Ence 2020, 43, 13–24. [Google Scholar] [CrossRef]
- Jambhulkar, H.P.; Shaikh, S.M.S.; Kumar, M.S. Fly Ash Toxicity, Emerging Issues and Possible Implications for Its Exploitation in Agriculture; Indian Scenario: A Review. Chemosphere 2018, 213, 333–344. [Google Scholar] [CrossRef]
- World Bank Climate Change Knowledge Portal: Historical Data and Country Profile for Kazakhstan (1991–2020) [Data Set]. 2025. Available online: https://climateknowledgeportal.worldbank.org/Country/Kazakhstan (accessed on 18 September 2025).
- Weather Underground Weather History for Kokshetau, 10 June 2018.
- FAO. World Reference Base for Soil Resources; World Soil Resources Reports 84; FAO: Rome, Italy, 1998.
- Kakabayev, A.A.; Sharipova, B.U.; Baranovskaya, N.V.; Rodrigo-Ilarri, J.; Rodrigo-Clavero, M.-E.; Lo Papa, G.; Bazilevskaya, E.A.; Muratbekova, S.; Nurmukhanbetova, N.; Durmekbayeva, S.; et al. Impact of Environmental Conditions on Soil Geochemistry in Southern Kazakhstan. Sustainability 2024, 16, 6361. [Google Scholar] [CrossRef]
- Kemper, W.D.; Rosenau, R.C. Aggregate Stability and Size Distribution. In Methods of Soil Analysis: Part 1 Physical and Mineralogical Methods; American Society of Agronomy (ASA) and Soil Science Society of America (SSSA): Madison, WI, USA, 1986; Volume 5, pp. 425–442. [Google Scholar]
- Mishustin, E. Microbial Associations of Soil Types. Microb. Ecol. 1975, 2, 97–118. [Google Scholar] [CrossRef] [PubMed]
- GOST 13586.5-2015; Method of Moisture Content Determination. Federal Agency on Technical Regulating and Metrology of the Russian Federation (Rosstandart): Moscow, Russia, 2019.
- EPA. SW-846 Test Method 6200: Field Portable X-Ray Fluorescence Spectrometry for the Determination of Elemental Concentrations in Soil and Sediment; Test Methods for Evaluating Solid Waste, Physical/Chemical Methods (SW-846), Update IVB.; U.S. Environmental Pro-Tection Agency (EPA): Washington, DC, USA, 2007. [Google Scholar]
- StatSoft, Inc. STATISTICA (Data Analysis Software System), Version 10; StatSoft, Inc.: Tulsa, OK, USA, 2011.
- Dospekhov, B.A. Methodology of Field Experimentation, 5th ed.; Agropromizdat: Moscow, Russia, 1985. [Google Scholar]
- RStudio: Integrated Development Environment for R. Posit Software; PBC: Boston, MA, USA, 2023. [Google Scholar]
- Schönegger, D.; Gómez-Brandón, M.; Mazzier, T.; Insam, H.; Hermanns, R.; Leijenhorst, E.; Bardelli, T.; Juárez, M.F.-D. Phosphorus Fertilising Potential of Fly Ash and Effects on Soil Microbiota and Crop. Resour. Conserv. Recycl. 2018, 134, 262–270. [Google Scholar] [CrossRef]
- Boluspayeva, L.; Jakubus, M.; Spychalski, W.; Abzhalelov, A.; Bitmanov, Y. Health Risk of Heavy Metals Related to Consumption of Vegetables in Areas of Industrial Impact in the Republic of Kazakhstan—Case Study for Oskemen. Int. J. Environ. Res. Public Health 2022, 20, 275. [Google Scholar] [CrossRef]
- Shaheen, S.M.; Hooda, P.S.; Tsadilas, C.D. Opportunities and Challenges in the Use of Coal Fly Ash for Soil Improvements—A Review. J. Environ. Manag. 2014, 145, 249–267. [Google Scholar] [CrossRef]
- Wei, W.; Yan, Y.; Cao, J.; Christie, P.; Zhang, F.; Fan, M. Effects of Combined Application of Organic Amendments and Fertilizers on Crop Yield and Soil Organic Matter: An Integrated Analysis of Long-Term Experiments. Agric. Ecosyst. Environ. 2016, 225, 86–92. [Google Scholar] [CrossRef]
- Helleur, R.; Popovic, N.; Ikura, M.; Stanciulescu, M.; Liu, D. Characterization and Potential Applications of Pyrolytic Char from Ablative Pyrolysis of Used Tires. J. Anal. Appl. Pyrolysis 2001, 58, 813–824. [Google Scholar] [CrossRef]
- Gao, N.; Wang, F.; Quan, C.; Santamaria, L.; Lopez, G.; Williams, P.T. Tire Pyrolysis Char: Processes, Properties, Upgrading and Applications. Prog. Energy Combust. Sci. 2022, 93, 101022. [Google Scholar] [CrossRef]
- Burdová, H.; Nebeská, D.P.; Kwoczynski, Z.; Žižková, L.; Neubertová, V.; Snow, J.; Pilnaj, D.; Baka, M.; Al Souki, K.S. A Comprehensive Evaluation of the Environmental and Health Risks Associated with the Potential Utilization of Chars Produced from Tires, Electro-Waste Plastics and Biomass. Environ. Res. 2025, 264, 120390. [Google Scholar] [CrossRef]
- Firoozi, A.A.; Guney Olgun, C.; Firoozi, A.A.; Baghini, M.S. Fundamentals of Soil Stabilization. Int. J. Geo-Eng. 2017, 8, 26. [Google Scholar] [CrossRef]
- Skousen, J.; Yang, J.E.; Lee, J.-S.; Ziemkiewicz, P. Review of Fly Ash as a Soil Amendment. Geosyst. Eng. 2013, 16, 249–256. [Google Scholar] [CrossRef]
- Sher, Y.; Baker, N.R.; Herman, D.; Fossum, C.; Hale, L.; Zhang, X.; Nuccio, E.; Saha, M.; Zhou, J.; Pett-Ridge, J.; et al. Microbial Extracellular Polysaccharide Production and Aggregate Stability Controlled by Switchgrass (Panicum virgatum) Root Biomass and Soil Water Potential. Soil Biol. Biochem. 2020, 143, 107742. [Google Scholar] [PubMed]
- Chen, M.; Liu, L.; Song, X.; Zhang, S.; Cheng, B.; Ding, X. How Does Phosphorus Fertilizer Improve the Stability of Soil Aggregates? Evidence from a Decade Fertilization Experiment. Plant Soil 2024, 504, 643–657. [Google Scholar] [CrossRef]
- Mendoza, L.; Nolos, R.; Villaflores, O.; Apostol, E.; Senoro, D. Detection of Heavy Metals, Their Distribution in Tilapia spp., and Health Risks Assessment. Toxics 2023, 11, 286. [Google Scholar] [CrossRef] [PubMed]



| Option | Productivity by Year, t ha−1 | Increase Over Control | ||||
|---|---|---|---|---|---|---|
| 2018 | 2019 | 2020 | Mean | t ha−1 | % | |
| Control | 0.77 | 0.75 | 1.08 | 0.87 | - | - |
| AGB * only | 0.82 | 0.87 | 1.20 | 0.96 | 0.09 | 10.3 |
| AGB+1/10Prec ** | 1.16 | 0.91 | 1.37 | 1.15 | 0.28 | 32.1 |
| AGB+1/5Prec | 1.00 | 0.94 | 1.39 | 1.11 | 0.24 | 27.6 |
| AGB+1/2Prec | 1.44 | 1.06 | 1.46 | 1.32 | 0.45 | 51.7 |
| Prec | 1.00 | 0.92 | 1.40 | 1.10 | 0.23 | 26.4 |
| LSD05 | 0.07 | 0.10 | 0.10 | 0.09 | ||
Disclaimer/Publisher’s Note: The statements, opinions and data contained in all publications are solely those of the individual author(s) and contributor(s) and not of MDPI and/or the editor(s). MDPI and/or the editor(s) disclaim responsibility for any injury to people or property resulting from any ideas, methods, instructions or products referred to in the content. |
© 2025 by the authors. Licensee MDPI, Basel, Switzerland. This article is an open access article distributed under the terms and conditions of the Creative Commons Attribution (CC BY) license (https://creativecommons.org/licenses/by/4.0/).
Share and Cite
Khussainov, A.; Sarsenova, A.; Ayapbergenova, A.; Kyzdarbekova, G.; Bazilevskaya, E. Improving Chernozem Fertility and Barley Yield Through Combined Application of Phosphorus Fertilizer and Ash–Carbon Amendment. Soil Syst. 2025, 9, 114. https://doi.org/10.3390/soilsystems9040114
Khussainov A, Sarsenova A, Ayapbergenova A, Kyzdarbekova G, Bazilevskaya E. Improving Chernozem Fertility and Barley Yield Through Combined Application of Phosphorus Fertilizer and Ash–Carbon Amendment. Soil Systems. 2025; 9(4):114. https://doi.org/10.3390/soilsystems9040114
Chicago/Turabian StyleKhussainov, Abilzhan, Anara Sarsenova, Anar Ayapbergenova, Gulmira Kyzdarbekova, and Ekaterina Bazilevskaya. 2025. "Improving Chernozem Fertility and Barley Yield Through Combined Application of Phosphorus Fertilizer and Ash–Carbon Amendment" Soil Systems 9, no. 4: 114. https://doi.org/10.3390/soilsystems9040114
APA StyleKhussainov, A., Sarsenova, A., Ayapbergenova, A., Kyzdarbekova, G., & Bazilevskaya, E. (2025). Improving Chernozem Fertility and Barley Yield Through Combined Application of Phosphorus Fertilizer and Ash–Carbon Amendment. Soil Systems, 9(4), 114. https://doi.org/10.3390/soilsystems9040114

