Next Article in Journal
Soil Chemical Properties Along an Elevational Gradient in the Alpine Shrublands of the Northeastern Tibetan Plateau
Previous Article in Journal
Using a Reference Color Plate to Correct Smartphone-Derived Soil Color Measurements with Different Smartphones Under Different Lighting Conditions
 
 
Font Type:
Arial Georgia Verdana
Font Size:
Aa Aa Aa
Line Spacing:
Column Width:
Background:
Article

Effects of Integrated Application of Plant- or Animal-Derived Organic Fertilizers in Tea Garden Ecosystem

1
School of Architecture and Planning, Foshan University, Foshan 528000, China
2
School of Environment and Chemical Engineering, Foshan University, Foshan 528000, China
3
Guangdong Laboratory for Lingnan Modern Agriculture, Guangzhou 510642, China
4
Key Laboratory of Land Surface Pattern and Simulation, Institute of Geographic Sciences and Natural Resources Research, Chinese Academy of Sciences, Beijing 100101, China
*
Author to whom correspondence should be addressed.
Soil Syst. 2025, 9(3), 94; https://doi.org/10.3390/soilsystems9030094
Submission received: 28 May 2025 / Revised: 21 August 2025 / Accepted: 25 August 2025 / Published: 27 August 2025

Abstract

Fertilizer integration is key for sustainable tea gardens, but the impacts of different plant- or animal-derived organic fertilizers on soil pH, nutrients, and carbon composition remain unclear. This study evaluated five fertilizer treatments: 50% chemical fertilizer combined with 50% of either compound fertilizer (CF), rapeseed cake (RC), soybean cake (SC), chicken manure (CD), or sheep manure (SD). Results indicate that both plant- and animal-derived organic fertilizers effectively increased soil pH and soil organic matter content. However, animal-derived fertilizers showed a more pronounced capacity to buffer soil acidity, albeit with the potential risk of exceeding the optimal pH range for tea cultivation. In terms of soil fertility, RC performed best, achieving the highest total nitrogen and phosphorus contents. Compared to CF, RC increased nitrogen by 27.98% and phosphorus by 89.04% in the first year, and by 51.21% (N) and 61.35% (P) in the second year. The CD demonstrated superior performance in available potassium, with increases of 52.01% in the first year and 86.09% in the second year compared to CF. Regarding soil organic carbon composition, including total organic carbon (TOC), particulate organic carbon (POC), and mineral-associated organic carbon (MAOC), both types of organic fertilizers enhanced TOC levels compared to CF. Animal-derived fertilizers were more effective in rapidly increasing TOC and POC, whereas plant-derived fertilizers promoted a more stable accumulation of POC, contributing to long-term soil fertility through sustained nutrient release. Dynamics of MAOC revealed initial enhancements under animal-derived fertilizers, but stability declined over time. In contrast, plant-derived treatments showed a steadier increase in MAOC. Ratios of POC/TOC and MAOC/TOC further indicated that RC favored a higher proportion of particulate organic carbon, which is crucial for sustained nutrient availability. In conclusion, this study highlights the importance of tailored fertilization strategies to optimize soil productivity and enhance carbon sequestration in tea gardens. Adapting fertilizer application to specific soil conditions is therefore critical for the effective management of modern sustainable tea garden systems.

1. Introduction

Tea (Camellia sinensis) ranks among the world’s three most widely consumed beverages and serves as a crucial economic crop in China, primarily cultivated in regions south of the Yangtze River [1,2]. Guangdong Province, with its long-standing tradition in tea cultivation, is particularly recognized for its advanced production and processing infrastructure concentrated within the Guangdong-Hong Kong-Macao Greater Bay Area (GBA). The GBA features flat, open terrain and a hot, humid climate, which are ideal conditions for tea plant growth [3,4]. By the end of 2022, the total area under tea cultivation in Guangdong Province had reached over 9900 hectares, producing approximately 160,800 tons of tea annually. Soil acts as the foundational medium for tea plant growth, and the concentration and spatial distribution of soil nutrients significantly influence both tea plant development and tea quality.
Previous studies have shown that soil nutrients interact synergistically and are shaped by multiple factors, including climate, parent material, and fertilization practices, that collectively affect soil fertility and tea productivity [5,6,7]. However, excessive reliance on traditional chemical fertilizers in tea cultivation has led to continuously increasing application rates, resulting in soil acidification and declining fertility, which ultimately impair both yield and quality of tea. Reducing dependence on traditional chemical fertilizers has thus become a critical challenge in modern sustainable tea production [8,9,10]. Integrating organic amendments with conventional chemical fertilizers has emerged as a key strategy to reduce chemical fertilizer inputs and promote ecologically sustainable agriculture. Recent studies have investigated the effects of partially substituting chemical fertilizers with organic materials on soil health and tea productivity. Findings also suggest that organic amendments can effectively mitigate soil acidification, reduce nutrient leaching, enhance microbial activity, and maintain or even improve tea yield and quality [11,12,13,14]. For instance, research conducted in green tea gardens in Zhejiang Province, southeastern China, demonstrated that replacing 20% or 50% of chemical fertilizers with rapeseed cake reduced nutrient loss while sustaining tea yield [15]. A two-year field study in the same region also revealed that plots receiving only chemical fertilizers experienced significant nitrogen and phosphorus losses, whereas those amended with organic fertilizers showed markedly reduced nutrient leaching [16]. Furthermore, a four-year trial in Fujian Province indicated that long-term partial substitution of chemical fertilizers with organic amendments not only improved soil pH and promoted tea plant growth but also enhanced tea quality [17].
Soil organic carbon (SOC) serves as a key indicator of soil fertility and overall soil quality. Enhancing SOC through the application of organic fertilizers is essential for maintaining and improving soil health, as well as supporting higher crop yields [18,19,20]. In general, SOC can be divided into two major fractions: soil particulate organic carbon (POC), which consists of relatively large, labile organic particles, and soil mineral-associated organic carbon (MAOC), which is tightly bound to soil minerals and exhibits greater stability [21,22]. Differentiating between POC and MAOC allows for a more accurate assessment of soil vulnerability and resilience to environmental changes. POC is more susceptible to microbial decomposition and thus reflects short-term soil biological activity and nutrient cycling dynamics.
In contrast, MAOC contributes significantly to long-term carbon sequestration and plays a vital role in maintaining soil structural stability due to its strong association with clay and silt particles [23,24]. Previous studies have shown that different types and application rates of organic fertilizers can exert varying influences on these carbon fractions. For example, Yan et al. [25] reported that chicken manure increased total SOC by 20.36% and POC by 19.01% compared to treatments using only chemical fertilizers. In comparison, cattle manure increased SOC by 8.07% and POC by 25.61%, suggesting that the nature of the organic material affects both the quantity and lability of stored carbon. Moreover, the incorporation of organic amendments has been found to positively influence MAOC levels. Therefore, understanding how different types of organic fertilizers influence POC and MAOC pools is essential for optimizing soil carbon management strategies.
Field experiments are crucial for evaluating the impacts of various fertilization practices on SOC dynamics and their broader implications for sustainable agricultural systems. In general, organic fertilizers can be categorized into two major types based on their source: plant-derived organic fertilizers and animal-derived organic fertilizers. Plant-derived fertilizers, such as crop residues, green manures, and composted plant materials, are typically rich in lignin, cellulose, and hemicellulose, which contribute to relatively stable organic matter formation. In contrast, animal-derived fertilizers, including livestock and poultry manure, slurry, and blood meal, are often higher in readily available nutrients such as nitrogen, phosphorus, and potassium, thereby exerting a more immediate influence on soil fertility. Despite their widespread use in tea cultivation, the specific effects of different organic fertilizer sources on soil pH, nutrient availability, and soil organic carbon composition in tea garden ecosystems should be investigated [22,26].
To address this knowledge gap, this study conducted a two-year field experiment in a green tea garden in southern China, using five representative fertilizer treatments: compound fertilizer (CF), rapeseed cake (RC), soybean cake (SC), chicken manure (CD), and sheep manure (SD). Each treatment was applied at 50% of the recommended rate from local agricultural extension guidelines in combination with 50% chemical fertilizer to assess its impact on key soil properties, including pH, organic matter content, and nutrient levels, with particular focus on total organic carbon, particulate organic carbon, and mineral-associated organic carbon. This study aims to provide novel insights into optimizing soil management strategies in tea gardens. Additionally, by advancing our understanding of soil carbon dynamics under varying fertilization regimes, the research not only enhances economic productivity but also deepens our knowledge of carbon cycling within tea agroecosystems. Furthermore, these findings demonstrate how the United Nations Sustainable Development Goals (SDGs) can be effectively integrated to promote a sustainable future for tea gardens.

2. Materials and Methods

2.1. Study Area and Experimental Design

The experimental site is located within a tea garden production base in Genghe Town, Foshan City, Guangdong Province, southern China (Figure S1). This tea garden features yellow-brown soil with a predominantly loam texture. The tea plants in the study area are over seven years old. Notably, no chemical fertilizers have been applied in the tea garden for the past five years, making it an ideal site for studying the effects of organic fertilization practices. The study area, located in the hinterland of the Guangdong–Hong Kong-Macao Greater Bay Area, is characterized by a humid subtropical climate with the following meteorological conditions: the annual rainfall exceeds 1500 mm; the mean annual temperature is above 22 °C; and the total annual solar radiation amounts to more than 1200 kWh/m2. These climatic conditions create a highly favorable environment for tea plant growth and development.
The experimental design adopted a randomized block approach. It encompassed five fertilizer treatments, as presented in Table 1. To guarantee experimental precision, each treatment was replicated three times. A 1-m buffer strip was established between adjacent plots to minimize cross-contamination. Based on the growth characteristics of tea plants, the chemical fertilizers applied included compound fertilizer, urea, calcium superphosphate, and potassium sulfate, while the organic fertilizers used were rapeseed cake, soybean cake, chicken manure, and sheep manure, all of which are commonly utilized as organic amendments for local farmers. Fertilization was carried out in mid-to-late February, June, and September, following an annual application ratio of 5:3:2 across the growing seasons. The experiment was initiated in 2022 and lasted for two consecutive years. Fertilizers were applied using the trench method, with dosages determined according to a locally recommended baseline of 450 kg/hm2 of pure nitrogen per year, maintaining an N:P2O5:K2O ratio of 3:1:2.
To comprehensively assess the impact of varying fertilizer inputs on the intrinsic nutrient composition of soil, this study quantified the initial N, P, and K contents in both plant-derived and animal-derived organic fertilizers. The analytical results regarding NPK contents across the tested fertilizer types are presented in Table 2, with key findings summarized as follows: compound fertilizer contained 150 g/kg, 150 g/kg, and 150 g/kg for N, P, and K respectively; rapeseed cake exhibited 50.1 g/kg, 9.1 g/kg, and 5.5 g/kg; soybean cake showed 25.5 g/kg, 2.6 g/kg, and 6.1 g/kg; chicken manure contained 3.8 g/kg, 4.5 g/kg, and 6.9 g/kg; and sheep manure had 3.7 g/kg, 3.2 g/kg, and 5.6 g/kg. These results indicate that plant-derived organic fertilizers possess significantly higher nitrogen levels compared to their animal-derived counterparts. In contrast, animal-derived organic fertilizers exhibit a slightly elevated potassium content relative to plant-derived ones. Furthermore, among all tested fertilizers, rapeseed cake demonstrates the highest phosphorus content.

2.2. Sample Collection and Data Analysis

Soil samples were collected from the 0–20 cm soil layer in each experimental plot within the tea garden. After air-drying in a shaded area and removing visible debris, the samples were ground and passed through a 200-mesh sieve prior to chemical analysis. Soil pH was measured using the potentiometric method with a water-to-soil ratio of 2.5:1. Soil organic matter (SOM) content was determined by the potassium dichromate oxidation-external heating method, which was conducted at 170–180 °C for 5 min, and a correction factor of 1.3 was applied to account for incomplete oxidation. Total nitrogen (TN) was analyzed using a carbon-nitrogen analyzer. Available nitrogen (AN), which includes ammonia (NH4+-N) and nitrate (NO3-N), was measured using the alkaline diffusion method. Total phosphorus (TP) was determined colorimetrically after digestion with HClO4-H2SO4 using a spectrophotometer. Available phosphorus (AP) was extracted with 0.5 mol/L NaHCO3 (pH = 8.5) and quantified using the molybdenum-antimony colorimetric method. Total potassium (TK) was measured following NaOH fusion and determined by flame photometry. Available potassium (AK) was extracted with 1 mol/L CH3COONH4 and measured using flame photometry. Soil particulate organic carbon (POC) and mineral-associated organic carbon (MAOC) were separated using the sodium hexametaphosphate dispersion method [27].
All data were subjected to statistical analysis using SPSS software 20 (SPSS Inc., Chicago, IL, USA). One-way analysis of variance (ANOVA) was performed to evaluate differences among treatments, followed by post Student–Newman–Keuls test for pairwise comparisons. The significance level was set at p ≤ 0.05. Prior to ANOVA, the data were tested for normality and homogeneity of variance to ensure the validity of the statistical assumptions. All figures were prepared using Origin software 2019 (OriginLab, Northampton, MA, USA).

3. Results

3.1. Diverse Fertilization Effects on Soil pH and SOM

The application of organic fertilizers directly influences the soil’s acid-base balance and organic carbon content. Table 3 presents the variations in soil pH and SOM under five different fertilizer treatments over a two-year period. The results show that, compared with the CF treatment, the combined application of organic fertilizers generally resulted in higher soil pH values. In the first year, the pH values increased by 13.12% with RC, 15.10% with SC, 23.03% with CD, and 24.65% with SD, respectively, relative to CF. In the second year, the increases were 10.51% (RC), 15.40% (SC), 20.29% (CD), and 18.66% (SD) compared to CF. Among all the organic fertilizer treatments, CD and SD exhibited the most pronounced effects on soil pH elevation. Especially, CD decreased soil pH from 6.83 in the first year to 6.64 in the second year—a decrease of 2.78%. Similarly, SD decreased pH from 6.92 to 6.55, representing a decrease of 5.03%. Conversely, although the pH changes under CF, RC, and SC were relatively minor, their final pH values were lower than those observed under CD and SD. Over the two years, RC led to a reduction from 6.28 to 6.10 (a decrease of 2.87%), while SC maintained nearly stable pH levels, decreasing only slightly from 6.39 to 6.37 (0.31%). These results indicate that organic fertilizers can effectively alleviate soil acidity, thereby creating a more favorable growth environment for tea plants. Furthermore, the soil pH under animal-derived organic fertilizer treatments was significantly higher than that under plant-derived treatments. It is worth noting that, to some extent, it has exceeded the pH range that is more suitable for the growth of the tea plant.
The results also revealed significant disparities in SOM content among different fertilization strategies. In the first year, when compared to the CF treatment, the SOM content in the treatments with combined applications of various organic fertilizers increased by 36.52% for RC, 4.11% for SC, 111.64% for CD, and 8.39% for SD, respectively. In the second year, the corresponding increases were 19.65% for RC, 13.48% for SC, 61.79% for CD, and 50.02% for SD. Notably, the CD and SD treatments induced remarkable increments in SOM content, underscoring their effectiveness in improving soil fertility. Interestingly, CD led to a notable decrease in SOM content, dropping from 48.91 g/kg in the first year to 34.09 g/kg in the second year, representing a 30.30% reduction. In contrast, SD demonstrated a positive impact, boosting the SOM content from 25.05 g/kg to 31.61 g/kg over the two-year study period, an increase of 26.19%. When juxtaposed with the CF, animal-derived organic fertilizers caused more substantial increases in SOM, yet also exhibited greater variability. Conversely, plant-derived organic fertilizers induced smaller increases in SOM, but the changes were relatively more stable.

3.2. Diverse Fertilization Effects on Soil Fertility

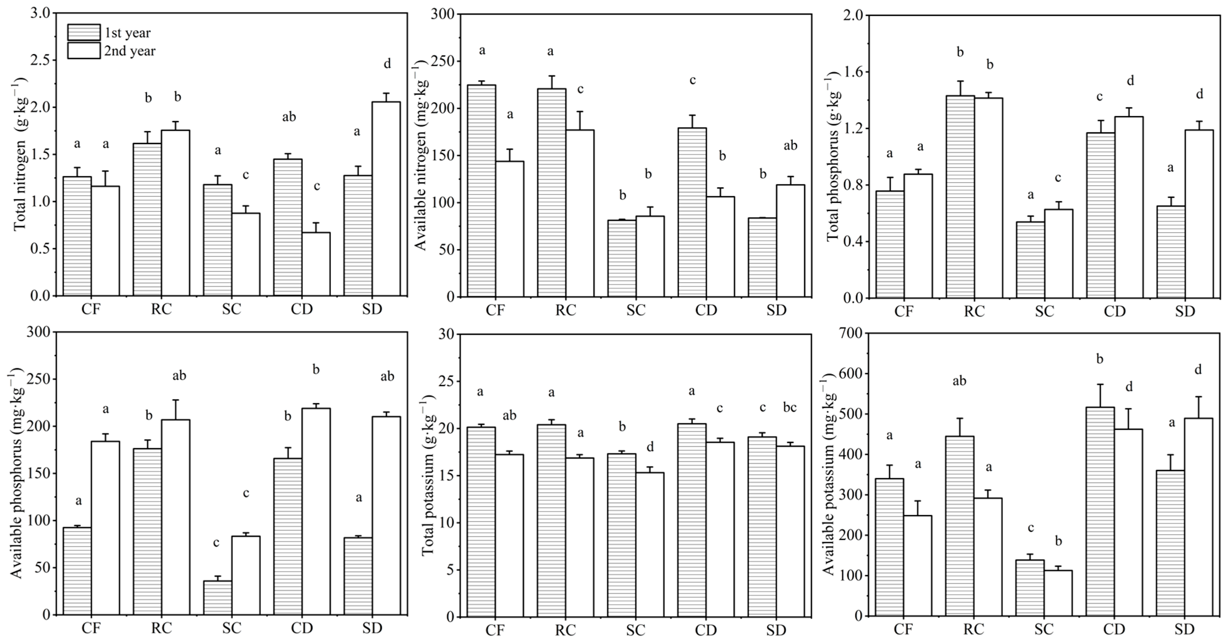
The trends of six crucial soil fertility indicators, total nitrogen (TN), total phosphorus (TP), total potassium (TK), available nitrogen (AN), available phosphorus (AP), and available potassium (AK), showed distinct patterns across five fertilization treatments and between the two experimental years, as illustrated in Figure 1. In the first year, the TN content was highest in the RC, reaching 1.62 g/kg, which represented a 27.98% increase compared to the CF. This was succeeded by the SD (1.28 g/kg) and CD (1.45 g/kg). By the second year, all treatments witnessed a decrease in TN content. However, the RC demonstrated exceptional resilience, maintaining an elevated TN level of 1.76 g/kg, an 8.64% increase from the first year. In contrast, the TN content in the CF dropped to 1.16 g/kg, marking a 7.94% decrease from its initial value. This outcome suggests that sustainable fertilization practices, such as the application of rapeseed cake, enhance nitrogen retention in the soil, even in the face of environmental losses. The TP content followed a relatively stable trajectory across the treatments. The RC consistently led in TP content, with values of 1.43 g/kg in the first year and 1.41 g/kg in the second year, showing only a marginal decrease of 1.40%. These values were significantly higher than those observed in the CF (0.76 g/kg in the first year and 0.88 g/kg in the second year), SC (0.54 g/kg and 0.63 g/kg), and SD (0.65 g/kg and 1.19 g/kg). The CD exhibited moderate TP accumulation, with values of 1.17 g/kg in the first year and 1.28 g/kg in the second year, representing a 9.40% increase. The trends for TK mirrored those of TP. In the first year, the RC and CD treatments dominated, with TK contents of 20.40 g/kg and 20.50 g/kg, respectively. The RC retained its superiority in the second year, with TK values of 16.87 g/kg and 18.54 g/kg, corresponding to decreases of 17.30% and 9.56%, respectively. In comparison, the CF, SC, and SD treatments experienced more substantial declines in TK content. Specifically, the CF saw a decrease from 20.14 g/kg to 17.24 g/kg, the SC from 17.32 g/kg to 15.31 g/kg, and the SD from 19.10 g/kg to 18.12 g/kg.
Regarding the dynamics of available soil nutrients, the content of AN exhibited significant fluctuations across treatments and years. In the first year, AN levels peaked in the RC (220.74 mg/kg) and CF (224.74 mg/kg). However, in the second year, AN content uniformly declined, dropping to 177.01 mg/kg in the RC, a 19.81% decrease, while falling below 150 mg/kg in the other treatments. This pattern indicates that although the CF initially enhanced AN availability, its efficacy diminished more rapidly compared to the sustained performance of the RC, which experienced a less severe decline. AP showed contrasting trends. The RC led in AP content throughout both years, increasing from 176.15 mg/kg to 206.88 mg/kg, a 17.45% rise.
Meanwhile, the CD demonstrated a notable increase in AP, from 165.81 mg/kg in the first year to 218.92 mg/kg in the second year, representing a substantial 32.03% increase. These results underscore the superior nutrient cycling capacity of the RC. For AK, the trends diverged from those of AN and AP. Despite an overall decline, the RC maintained its dominance, with AK content decreasing from 444.57 mg/kg to 291.61 mg/kg, a 34.41% reduction. Conversely, the AK content in the SD increased significantly, rising from 360.16 mg/kg to 489.19 mg/kg. Overall, in the context of soil fertility indicators, the RC, which combined plant-derived organic fertilizers, and the CD, which combined animal-derived organic fertilizers, stood out prominently. Their performance in terms of TN, TP, AP, and AK was significantly superior to that of the CF and other treatments. Among these, the RC outperformed the CD. Notably, the RC consistently outshone the others across all six soil fertility indicators. This superiority was particularly evident in its ability to maintain relatively high nutrient levels in the second year, during which most other treatments experienced substantial declines.

3.3. Diverse Fertilization Effects on Soil Organic Carbon Composition

Further analyze the composition of soil organic carbon under different organic fertilizer treatment conditions. Figure 2 illustrates the changes in soil total organic carbon (TOC), particulate organic carbon (POC), and mineral-associated organic carbon (MAOC) in tea garden soils under five fertilization treatments. Evidently, organic fertilizer treatments significantly enhanced soil TOC content compared to the CF treatment. In the first year of fertilization, the TOC content in the organic fertilizer treatments reached 16.98 g/kg (RC), 12.52 g/kg (SC), 29.52 g/kg (CD), and 15.09 g/kg (SD), representing increases of 37.57%, 1.46%, 139.25%, and 22.26%, respectively, relative to the CF. By the second year, these values were 16.37 g/kg (RC), 12.59 g/kg (SC), 19.09 g/kg (CD), and 17.78 g/kg (SD), indicating increments of 35.11%, 3.96%, 57.59%, and 46.78% compared to the CF. Regarding POC content, in the first year, the organic fertilizer treatments increased POC to 10.81 g/kg (RC), 6.24 g/kg (SC), 19.57 g/kg (CD), and 6.50 g/kg (SD), marking increases of 74.17%, 0.54%, 215.25%, and 4.78% compared to the CF. In the second year, the POC contents were 8.89 g/kg (RC), 5.65 g/kg (SC), 12.13 g/kg (CD), and 10.77 g/kg (SD), showing further increases of 102.81%, 28.97%, 176.65%, and 145.70% over the CF. For MAOC content, in the first year, the organic fertilizer treatments resulted in levels of 5.96 g/kg (RC), 5.76 g/kg (SC), 7.68 g/kg (CD), and 6.63 g/kg (SD), corresponding to increases of 6.75%, 3.17%, 37.57%, and 18.82% relative to the CF. By the second year, these values were 6.21 g/kg (RC), 6.48 g/kg (SC), 6.01 g/kg (CD), and 6.36 g/kg (SD), reflecting changes of 1.86%, 6.17%, −1.42%, and 4.21% compared to the CF. Except for the CD, which showed a slight decrease in the second year, the MAOC content in the remaining treatments increased. In summary, both types of organic fertilizers led to higher TOC and POC levels compared to the CF. Animal-derived fertilizers (CD and SD) generally caused more substantial increases, outperforming the plant-derived organic fertilizer (RC and SC), with the SC showing the smallest increase. However, in terms of MAOC, CD and SD significantly outperformed the other three treatments in the first year but were lower than RC and SC in the second year, which also indicates the instability of MAOC in animal-derived organic fertilizers.
Notably, the ratios of POC/TOC and MAOC/TOC provided deeper insights into the effects of fertilization on the soil organic carbon structure, as depicted in Figure 3. In the first year, the CF exhibited a POC/TOC ratio of 0.50. By contrast, the RC, SC, CD, and SD treatments recorded values of 0.64, 0.50, 0.66 and 0.43, respectively. The elevated POC/TOC ratios observed in the RC and CD suggested a higher proportion of POC, which is typically associated with more labile carbon fractions that can rapidly participate in soil nutrient cycling processes. Compared to the CF, the POC/TOC ratio increased by 26.55% in the RC and 31.69% in the CD. Conversely, the SC and SD showed slight decreases, with reductions of 0.95% and 14.33%, respectively. Regarding the MAOC/TOC ratios, the values for the CF, RC, SC, CD, and SD treatments were 0.45, 0.35, 0.46, 0.26 and 0.44 in the first year, respectively. The lower MAOC/TOC ratio in the CD indicated that the application of chicken manure promoted the formation of less stable but potentially more bioavailable organic carbon components. Among all treatments, the CD experienced the most significant reduction, with its MAOC/TOC ratio decreasing by 42.54% compared to the CF.
In the second year, the POC/TOC ratio for the CF declined to 0.36, reflecting a decrease in the proportion of POC. In contrast, the RC maintained a relatively high POC/TOC ratio of 0.54, and the CD retained a ratio of 0.64, demonstrating their sustained effectiveness in facilitating POC accumulation. For the MAOC/TOC ratio, the CF increased to 0.50 in the second year, indicating a shift in the SOC composition towards more stable MAOC. However, the CD and SD treatments witnessed decreases in their MAOC/TOC ratios to 0.31 and 0.36, respectively. Compared to the CF, these represented decreases of 37.46% in the CD and 29.00% in the SD. These changes may be attributed to the transformation of organic carbon into more labile forms or enhanced microbial utilization of the carbon compounds.

4. Discussion

The growth of tea plants largely depends on the availability of soil nutrients. Tea plants generally thrive in acidic soils, with an optimal pH range of 4.5–5.5. However, recent studies have shown that excessively acidic soils can damage root tissues, inhibit root development, and negatively affect nutrient uptake and utilization [10,24]. Numerous studies have confirmed that the combined application of chemical and organic fertilizers can effectively mitigate soil acidification while enhancing both tea yield and quality [15,17,28]. In this study, significant differences in soil properties were observed between treatments involving plant-derived organic fertilizers (RC, SC) and animal-derived organic fertilizers (CD, SD) over the two-year experimental period. These results offer valuable insights into the effectiveness and sustainability of different fertilizer types. Firstly, both plant- and animal-derived organic fertilizers significantly increased soil pH and SOM content. Notably, the increase in soil pH was more pronounced under animal-derived treatments, indicating their superior capacity to buffer soil acidity. However, it is important to note that the resulting pH levels under animal-derived organic fertilizer applications approached or even reached slightly alkaline conditions, potentially exceeding the optimal pH range for tea plant growth. This suggests that excessive use of animal-derived organic fertilizers may lead to unintended adverse effects. Regarding SOM improvement, the CD and RC treatments showed the most significant increases in the first year. However, when considering long-term sustainability, the decline in SOM was smaller under RC than CD in the second year. Remarkably, the SD exhibited an increase in SOM in the second year, contrary to the trend observed in other treatments, suggesting a potential advantage of animal-derived organic fertilizers in maintaining or even gradually improving SOM over time.
A comparative analysis of soil fertility indicators across five different fertilizer treatments provides valuable insights into the effectiveness and sustainability of plant-derived versus animal-derived organic fertilizers. Among the treatments, both RC and CD demonstrated superior performance in maintaining high levels of TN, TP, and TK. Notably, RC outperformed CD and was the most effective among all treatments in terms of AN, AP, and AK. The RC showed particular strength in nitrogen retention and availability, suggesting that plant-derived organic fertilizers can enhance the soil’s capacity to retain nutrients. This may be attributed to the relatively stable decomposition process of plant-derived organic matter, which facilitates a slow and steady release of nutrients, thereby supporting long-term soil fertility [16,29]. Moreover, the resilience of RC in sustaining elevated nutrient levels during the second year highlights its potential for mitigating nutrient leaching and improving nutrient use efficiency. However, plant-derived organic fertilizers also present certain limitations. For example, their nutrient content can vary significantly depending on the source material and composting method. Additionally, due to their relatively recalcitrant nature, they may require more time to decompose and release nutrients, which could limit their immediate availability for tea plant uptake [30]. In contrast, animal-derived organic fertilizers are more effective in delivering readily available nutrients but must be carefully managed to avoid potential environmental risks such as nutrient runoff.
The combined application of organic fertilizers, whether plant-derived or animal-derived, with chemical fertilizers has been widely studied for its impacts on soil TOC and its fractions, including POC and MAOC, particularly in tea garden systems. Plant-derived organic fertilizers, such as crop residues and compost, are generally recognized for their ability to enhance SOM due to their relatively high carbon-to-nitrogen (C:N) ratios and slower decomposition rates [31,32]. The incorporation of such materials can effectively increase TOC levels in tea garden soils by providing a stable source of carbon. In this study, the results showed that plant-derived organic fertilizers (RC and SC) significantly increased TOC content compared to the CF. For example, in the first year, TOC levels under RC and SC reached 16.98 g/kg and 12.52 g/kg, representing increases of 37.57% and 1.46%, respectively, compared to CF. By the second year, these values were 16.37 g/kg (RC) and 12.59 g/kg (SC), reflecting increases of 35.11% and 3.96%, respectively, over the CF. Moreover, plant-derived organic matter tends to accumulate primarily in the POC fraction, as it is more susceptible to microbial decomposition and often associated with soil aggregates. In the first year, POC content increased by 74.17% under RC and 0.54% under SC compared to CF. By the second year, the POC content in both treatments continued to rise, showing increases of 102.81% (RC) and 28.97% (SC) relative to CF. However, the contribution of plant-derived organic fertilizers to MAOC formation was less pronounced. Due to their relatively labile nature, these materials are less likely to form stable associations with soil minerals compared to animal-derived organic inputs. In the first year, MAOC content increased by only 6.75% under RC and 3.17% under SC compared to CF. In the second year, the increases were 1.86% (RC) and 6.17% (SC), indicating limited enhancement of the stabilized carbon pool through the use of plant-derived organic fertilizers.
Animal-derived organic fertilizers, such as manure and slurry, are typically characterized by lower carbon-to-nitrogen (C:N) ratios and faster decomposition rates compared to plant-derived materials. These properties enable them to more rapidly enhance soil fertility and promote nutrient cycling. Research has shown that animal-derived organic fertilizers can significantly increase TOC levels in tea garden soils, particularly within the MAOC fraction. This is largely due to their high content of labile organic compounds, which are more readily adsorbed onto soil minerals and subsequently stabilized, contributing to the formation of stable organic matter [33,34]. In this study, animal-derived organic fertilizers (CD and SD) resulted in substantially greater increases in TOC compared to plant-derived organic fertilizers. For example, in the first year, TOC levels under CD and SD reached 29.52 g/kg and 15.09 g/kg, representing increases of 139.25% and 22.26%, respectively, compared to the CF. By the second year, these values were 19.09 g/kg (CD) and 17.78 g/kg (SD), indicating increases of 57.59% and 46.78% over CF. Moreover, animal-derived organic fertilizers significantly enhanced POC content. In the first year, POC increased by 215.25% under CD and 4.78% under SD compared to CF. By the second year, these increases had further developed to 176.65% (CD) and 145.70% (SD) relative to CF. However, excessive application of animal-derived organic fertilizers may lead to nutrient imbalances, such as nitrogen leaching or phosphorus accumulation, potentially compromising long-term soil health and environmental sustainability. Regarding MAOC, the CD and SD treatments led to increases of 37.57% and 18.82%, respectively, in the first year compared to CF. However, in the second year, the MAOC content in CD slightly decreased by 1.42%, while SD showed a modest increase of 4.21%. The decline in MAOC under CD in the second year may indicate instability in the organic carbon stabilization process when using certain types of animal-derived organic fertilizers, possibly due to rapid mineralization or microbial activity shifts.
Chemical fertilizers supply essential nutrients, such as nitrogen, phosphorus, and potassium, which stimulate microbial activity and accelerate the decomposition of organic matter. This process enhances the cycling of organic carbon and promotes the formation of stable carbon fractions, notably MAOC. However, an over-reliance on chemical fertilizers without sufficient organic inputs can lead to a depletion of SOM, as microbial decomposition may outpace the addition of new organic carbon [35,36]. Therefore, integrating both organic and chemical fertilizers in a balanced approach is crucial for maintaining soil health and productivity in tea gardens. The impact of organic and chemical fertilizers on SOC composition can be understood through several mechanisms. Firstly, the type and quality of organic matter significantly influence the distribution of carbon between POC and MAOC fractions. Plant-derived organic fertilizers, rich in lignin and cellulose, tend to accumulate more in the POC fraction, whereas animal-derived organic matter, which contains higher levels of humic substances, is more likely to associate with soil minerals and contribute to the MAOC fraction. Secondly, microbial activity plays a pivotal role in organic carbon cycling. While chemical fertilizers can boost microbial decomposition, this can either increase or decrease organic carbon levels depending on the balance between carbon inputs and losses. Thus, managing this balance is critical for optimizing nutrient availability and carbon sequestration. Finally, soil mineralogy and texture also play significant roles in the stabilization of organic carbon. Soils with higher clay content or those rich in iron and aluminum oxides are more effective at retaining organic carbon within the MAOC fraction [37,38,39], thereby enhancing long-term soil fertility and structural stability.
The findings of this study hold significant implications for the sustainable management of tea gardens. The application of organic fertilizers, whether plant-derived or animal-derived, has been shown to effectively enhance SOC levels and improve overall soil fertility. However, the selection of fertilizer type and application rate should be carefully tailored to the specific soil conditions and crop requirements to maximize benefits. For instance, plant-derived organic fertilizers are particularly well-suited for soils with low microbial activity due to their capacity to provide a slow-release carbon source that supports long-term nutrient cycling. In contrast, animal-derived organic fertilizers are more appropriate for soils requiring rapid nutrient replenishment, as they release nutrients more quickly and can efficiently address short-term fertility deficiencies. Furthermore, the integrated use of organic and chemical fertilizers presents a promising strategy for optimizing SOC dynamics. This combined approach not only enhances soil fertility but also promotes the stabilization of organic carbon, contributing to the mitigation of soil degradation and improving the carbon sequestration potential of tea garden systems.
In terms of economic viability, a detailed analysis was conducted on the market prices of different organic fertilizers, with the following cost discrepancies identified, rapeseed cake and soybean cake were priced at CNY 1.2/kg and CNY 1.0/kg, respectively, while chicken manure and sheep manure were priced at CNY 2.5/kg and CNY 3.5/kg, respectively. Statistical comparisons reveal that plant-derived organic fertilizers are significantly more economically advantageous than their animal-derived counterparts, with rapeseed cake emerging as the most cost-effective option among the tested fertilizers. Consequently, under the premise of achieving equivalent soil fertility improvement objectives, the application of plant-derived organic fertilizers generates superior economic returns compared to animal-derived alternatives. It should be noted, however, that economic benefit assessment constitutes a multi-dimensional process that extends beyond fertilizer input costs and soil fertility enhancements; it must also integrate complex factors such as tea yield, tea quality, and market pricing dynamics. These comprehensive economic considerations will be subjected to in-depth investigation in subsequent research phases.

5. Conclusions

This study investigates the effects of combining chemical fertilizers with either plant-derived (rapeseed cake and soybean cake) or animal-derived (chicken manure and sheep manure) organic fertilizers on soil properties in tea gardens over a two-year period. Both types of organic fertilizers significantly improved soil pH and SOM content. However, animal-derived organic fertilizers exhibited a stronger capacity to buffer soil acidity, although in some cases, they raised soil pH beyond the optimal range for tea cultivation. In terms of soil fertility indicators, including TN, TP, TK, AN, AP, and AK, both RC and CD treatments showed superior performance, with RC demonstrating particular resilience in nutrient retention and availability. This suggests that plant-derived organic fertilizers can play a key role in mitigating nutrient leaching and improving nutrient cycling efficiency. Regarding SOC composition, including TOC, POC, and MAOC, both fertilizer types increased TOC levels compared to the CF. Animal-derived organic fertilizers were more effective in rapidly enhancing TOC and POC in the short term. In contrast, plant-derived organic fertilizers contributed to a more gradual accumulation of POC, supporting long-term soil fertility through sustained nutrient release and enhanced nutrient cycling. The dynamics of MAOC revealed that while animal-derived organic fertilizers initially promoted greater MAOC formation, their stabilizing effect diminished over time. This contrasts with the relatively steady and consistent increase in MAOC observed under plant-derived organic fertilizer treatments.
Overall, the integration of organic and chemical fertilizers has a positive impact on soil health in tea garden systems by optimizing SOC dynamics, enhancing soil fertility, and mitigating soil degradation. Plant-derived organic fertilizers are particularly beneficial for long-term soil sustainability through the stabilization of organic matter, whereas animal-derived organic fertilizers offer rapid nutrient availability and initial fertility improvements.

Supplementary Materials

The following supporting information can be downloaded at: https://www.mdpi.com/article/10.3390/soilsystems9030094/s1, Figure S1: Location map of the experimental tea garden.

Author Contributions

S.X.: writing—original draft, conceptualization, investigation, and writing—review and editing; S.Y.: conceptualization and data curation; H.X. and S.L.: investigation and methodology; H.Z. and F.Y.: investigation and project administration; C.W.: funding acquisition and resources. All authors have read and agreed to the published version of the manuscript.

Funding

This study was financially supported by the Guangdong Basic and Applied Basic Research Foundation (Grant No. 2022A1515110930, 2022A1515110718), National Natural Science Foundation of China (Grant No. 42407288, 42307288), and the Laboratory of Lingnan Modern Agriculture Project (NZ2021026).

Institutional Review Board Statement

Not applicable.

Informed Consent Statement

Not applicable.

Data Availability Statement

The datasets presented in this article are not readily available because the data are part of an ongoing study. Requests to access the datasets should be directed to xiesw@fosu.edu.cn.

Conflicts of Interest

The authors declare no conflict of interest.

References

  1. Shevchuk, A.; Megías-Pérez, R.; Zemedie, Y.; Kuhnert, N. Evaluation of carbohydrates and quality parameters in six types of commercial teas by targeted statistical analysis. Food Res. Int. 2020, 133, 109122. [Google Scholar] [CrossRef] [PubMed]
  2. Junxian, T.; Peijuan, W.; Youhao, E.; Yuping, M.; Dingrong, W.; Zhiguo, H. Climatic Suitability Zoning of Tea Planting in Mainland China. J. Appl. Meteorol. Sci. 2021, 32, 397–407. [Google Scholar]
  3. Xian, Y.; Lu, Y.; Musyimi, Z.; Liu, G. Tracking the Role of Policies and Economic Factors in Driving the Forest Change Trajectories within the Guangdong-Hongkong-Macao Region of China: A Remote Sensing Perspective. Land 2021, 10, 87. [Google Scholar] [CrossRef]
  4. Zhao, Y.; Xu, Y.; Zhang, L.; Zhao, M.; Wang, C. Adapting tea production to climate change under rapid economic development in China from 1987 to 2017. Agronomy 2022, 12, 3192. [Google Scholar] [CrossRef]
  5. Dhaliwal, S.S.; Naresh, R.K.; Mandal, A.; Singh, R.; Dhaliwal, M.K. Dynamics and transformations of micronutrients in agricultural soils as influenced by organic matter build-up: A review. Environ. Sustain. Indic. 2019, 1, 100007. [Google Scholar] [CrossRef]
  6. Hu, Z.; Ji, L.; Wan, Q.; Li, H.; Li, R.; Yang, Y. Short-term effects of bio-organic fertilizer on soil fertility and bacterial community composition in tea plantation soils. Agronomy 2022, 12, 2168. [Google Scholar] [CrossRef]
  7. Liu, B.; Zhang, Y.; Yi, X.; Zheng, H.; Ni, K.; Ma, Q.; Cai, Y.; Ma, L.; Shi, Y.; Yang, X.; et al. Partially replacing chemical fertilizer with manure improves soil quality and ecosystem multifunctionality in a tea plantation. Agric. Ecosyst. Environ. 2025, 378, 109284. [Google Scholar] [CrossRef]
  8. Wang, H.; Xu, R.; Wang, N.; Li, X. Soil acidification of Alfisols as influenced by tea cultivation in eastern China. Pedosphere 2010, 20, 799–806. [Google Scholar] [CrossRef]
  9. Xie, S.; Yang, F.; Feng, H.; Wei, C. General characteristics of the chemical fertilizers and pesticides use and the analysis of use reduction effect in China. Environ. Pollut. Control 2019, 41, 490–495. [Google Scholar]
  10. Yan, P.; Wu, L.; Wang, D.; Fu, J.; Shen, C.; Li, X.; Zhang, L.; Zhang, L.; Fan, L.; Wenyan, H. Soil acidification in Chinese tea plantations. Sci. Total Environ. 2020, 715, 136963. [Google Scholar] [CrossRef]
  11. Roychowdhury, D.; Paul, M.; Banerjee, S.K. A review on the effects of biofertilizers and biopesticides on rice and tea cultivation and productivity. Int. J. Sci. Eng. Technol. 2014, 2, 96–105. [Google Scholar]
  12. Yan, P.; Shen, C.; Fan, L.; Li, X.; Zhang, L.; Zhang, L.; Han, W. Tea planting affects soil acidification and nitrogen and phosphorus distribution in soil. Agric. Ecosyst. Environ. 2018, 254, 20–25. [Google Scholar] [CrossRef]
  13. Singh, A.K.; Chauhan, R.K.; Kumar, C.; Bera, B. Sustaining Darjeeling organic tea (Camellia sinensis L) production and tea quality through organic inputs in the Himalayan foothills. J. Soil Sci. Plant Nutr. 2023, 23, 1774–1796. [Google Scholar] [CrossRef]
  14. Que, Y.; Zhao, Q. High-Yield Tea Plant Cultivation: Ecological and Agronomic Insights. J. Tea Sci. Res. 2024, 14, 215–224. [Google Scholar] [CrossRef]
  15. Xie, S.; Feng, H.; Yang, F.; Zhao, Z.; Hu, X.; Wei, C.; Liang, T.; Li, H.; Geng, Y. Does dual reduction in chemical fertilizer and pesticides improve nutrient loss and tea yield and quality? A pilot study in a green tea garden in Shaoxing, Zhejiang Province, China. Environ. Sci. Pollut. Res. 2019, 26, 2464–2476. [Google Scholar] [CrossRef]
  16. Liu, Z.; Yang, J.; Yang, Z.; Zou, J. Effects of rainfall and fertilizer types on nitrogen and phosphorus concentrations in surface runoff from subtropical tea fields in Zhejiang, China. Nutr. Cycl. Agroecosyst. 2012, 93, 297–307. [Google Scholar] [CrossRef]
  17. Ye, J.; Wang, Y.; Wang, Y.; Hong, L.; Jia, X.; Kang, J.; Lin, S.; Wu, Z.; Wang, H. Improvement of soil acidification in tea plantations by long-term use of organic fertilizers and its effect on tea yield and quality. Front. Plant Sci. 2022, 13, 1055900. [Google Scholar] [CrossRef]
  18. Hijbeek, R.; van Ittersum, M.K.; ten Berge, H.F.M.; Gort, G.; Spiegel, H.; Whitmore, A.P. Do organic inputs matter–a meta-analysis of additional yield effects for arable crops in Europe. Plant Soil 2017, 411, 293–303. [Google Scholar] [CrossRef]
  19. He, S.; Zheng, Z.; Zhu, R. Long-term tea plantation effects on composition and stabilization of soil organic matter in Southwest China. Catena 2021, 199, 105132. [Google Scholar] [CrossRef]
  20. Jahan, I.; Shopan, J.; Rahman, M.M.; Sarkar, A.; Baset, M.A.; Zhang, Z.; Li, X.; Ahammed, G.J.; Hasan, M.K. Long-term traditional fertilization alters tea garden soil properties and tea leaf quality in Bangladesh. Agronomy 2022, 12, 2128. [Google Scholar] [CrossRef]
  21. Six, J.; Conant, R.T.; Paul, E.A.; Paustian, K. Stabilization mechanisms of soil organic matter: Implications for C-saturation of soils. Plant Soil 2002, 241, 155–176. [Google Scholar] [CrossRef]
  22. Lavallee, J.M.; Soong, J.L.; Cotrufo, M.F. Conceptualizing soil organic matter into particulate and mineral-associated forms to address global change in the 21st century. Glob. Change Biol. 2020, 26, 261–273. [Google Scholar] [CrossRef]
  23. Kramer, S.B.; Reganold, J.P.; Glover, J.D.; Bohannan, B.M.; Mooney, H. Reduced nitrate leaching and enhanced denitrifier activity and efficiency in organically fertilized soils. Proc. Natl. Acad. Sci. USA 2006, 103, 4522–4527. [Google Scholar] [CrossRef]
  24. Li, Q.; Zhang, J.; Ye, J.; Liu, Y.; Lin, Y.; Yi, Z.; Wang, Y. Biochar affects organic carbon composition and stability in highly acidic tea plantation soil. J. Environ. Manag. 2024, 370, 122803. [Google Scholar] [CrossRef]
  25. Yan, H.; Fan, W.; Wu, J. Effects of Continuous Manure Application on the Microbial Community and Labile Organic Carbon Fractions. Agriculture 2023, 13, 2096. [Google Scholar] [CrossRef]
  26. Li, P.; Kong, D.; Zhang, H.; Xu, L.; Li, C.; Wu, M.; Jiao, J.; Li, D.; Xu, L.; Li, H.; et al. Different regulation of soil structure and resource chemistry under animal-and plant-derived organic fertilizers changed soil bacterial communities. Appl. Soil Ecol. 2021, 165, 104020. [Google Scholar] [CrossRef]
  27. Cambardella, C.A.; Elliott, E.T. Particulate soil organic-matter changes across a grassland cultivation sequence. Soil Sci. Soc. Am. J. 1992, 56, 777–783. [Google Scholar] [CrossRef]
  28. Yin, R.; Li, X.; Ning, Y.; Hu, Q.; Mao, Y.; Zhang, X.; Zhang, X. Machine learning unveils the role of biochar application in enhancing tea yield by mitigating soil acidification in tea plantations. Sci. Total Environ. 2025, 965, 178597. [Google Scholar] [CrossRef]
  29. Friedel, J.K.; Ardakani, M.R. Soil nutrient dynamics and plant-induced nutrient mobilisation in organic and low-input farming systems: Conceptual framework and relevance. Biol. Agric. Hortic. 2021, 37, 1–24. [Google Scholar] [CrossRef]
  30. Bernal, M.P.; Alburquerque, J.A.; Moral, R. Composting of animal manures and chemical criteria for compost maturity assessment. A review. Bioresour. Technol. 2009, 100, 5444–5453. [Google Scholar] [CrossRef] [PubMed]
  31. Maheshwari, D.K.; Dheeman, S.; Agarwal, M. Decomposition of organic materials into high value compost for sustainable crop productivity. In Composting for Sustainable Agriculture; Springer: Cham, Switzerland, 2014. [Google Scholar]
  32. Bian, Q.; Zhao, L.; Cheng, K.; Jiang, Y.; Li, D.; Xie, Z.; Sun, B.; Wang, X. Divergent accumulation of microbe-and plant-derived carbon in different soil organic matter fractions in paddy soils under long-term organic amendments. Agric. Ecosyst. Environ. 2024, 366, 108934. [Google Scholar] [CrossRef]
  33. Bhunia, S.; Bhowmik, A.; Mallick, R.; Mukherjee, J. Agronomic efficiency of animal-derived organic fertilizers and their effects on biology and fertility of soil: A review. Agronomy 2021, 11, 823. [Google Scholar] [CrossRef]
  34. Li, G.; Li, H.; Yi, X.; Hu, Z.; Ni, K.; Ruan, J.; Yang, Y. Effects of fertilization regimes on soil organic carbon fractions and its mineralization in tea gardens. Agronomy 2022, 12, 2522. [Google Scholar] [CrossRef]
  35. Yahaya, S.M.; Mahmud, A.A.; Abdullahi, M.; Haruna, A. Recent advances in the chemistry of nitrogen, phosphorus and potassium as fertilizers in soil: A review. Pedosphere 2023, 33, 385–406. [Google Scholar] [CrossRef]
  36. Liu, L.; Yang, J.; Wang, J.; Yu, Q.; Wei, C.; Jiang, L.; Huang, J.; Zhang, Y.; Jiang, Y.; Zhang, H.; et al. Increase in mineral-associated organic carbon does not offset the decrease in particulate organic carbon under long-term nitrogen enrichment in a steppe ecosystem. Soil Biol. Biochem. 2025, 202, 109695. [Google Scholar] [CrossRef]
  37. Nantes, L.S.; Bonini, C.S.B.; Santos, M.A.; Alves, L.S.; Lourencetti, J.; Neto, A.B.; de Souza, J.A.L.; da Silva Lunardelli, G.A.; Sliva, M.B.; Alvares, D.V.; et al. Exposed Subsoil Under Recovery for 30 Years: Influence of Management Strategies on Soil Physical Attributes and Organic Matter. Soil Syst. 2025, 9, 17. [Google Scholar] [CrossRef]
  38. Matus, F.J.; Paz-Pellat, F.; Covaleda, S.; Etchevers, J.D.; Hidalgo, C. Upper limit of mineral-associated organic carbon in temperate and sub-tropical soils: How far is it? Geoderma Reg. 2024, 37, e00811. [Google Scholar] [CrossRef]
  39. Shi, J.; Lv, J.; Peng, Y.; Yao, Y.; Wei, X.; Wang, X. Mechanisms controlling the stability and sequestration of mineral associated organic carbon upon erosion and deposition. Catena 2024, 242, 108119. [Google Scholar] [CrossRef]
Figure 1. The variation characteristics of soil NPK under diverse fertilization. Note: Different letters “a–d” indicate significant differences (p ≤ 0.05) between different treatments according to the Student-Newman-Keuls test.
Figure 1. The variation characteristics of soil NPK under diverse fertilization. Note: Different letters “a–d” indicate significant differences (p ≤ 0.05) between different treatments according to the Student-Newman-Keuls test.
Soilsystems 09 00094 g001
Figure 2. The variation characteristics of soil TOC, POC and MAOC under diverse fertilization. Note: Different letters “a–d” indicate significant differences (p ≤ 0.05) between different treatments according to the Student-Newman-Keuls test.
Figure 2. The variation characteristics of soil TOC, POC and MAOC under diverse fertilization. Note: Different letters “a–d” indicate significant differences (p ≤ 0.05) between different treatments according to the Student-Newman-Keuls test.
Soilsystems 09 00094 g002
Figure 3. The variation characteristics of POC/TOC and MAOC/TOC ratios under diverse fertilization.
Figure 3. The variation characteristics of POC/TOC and MAOC/TOC ratios under diverse fertilization.
Soilsystems 09 00094 g003
Table 1. Type and application amount of plant- and animal-derived organic fertilizer treatments.
Table 1. Type and application amount of plant- and animal-derived organic fertilizer treatments.
Fertilizer Treatments Type and Application Amount of Fertilizer (kg/hm2)
Compound FertilizerUreaCalcium SuperphosphatePotassium SulfateRapeseed CakeSoybean CakeChicken ManureSheep Manure
CF600782500350----
RC-48910254574582---
SC 4891083420-7626--
CD 4891033434--5798
SD 4891092445-- 5936
Table 2. The initial N, P, and K nutrient content for various fertilizers.
Table 2. The initial N, P, and K nutrient content for various fertilizers.
Fertilizer TypesN (g/kg)P (g/kg)K (g/kg)
CF150150150
RC50.19.15.5
SC25.52.66.1
CD3.84.56.9
SD3.73.25.6
Table 3. The variation characteristics of soil pH and SOM content under diverse fertilization.
Table 3. The variation characteristics of soil pH and SOM content under diverse fertilization.
Treatments1st Year2nd Year
pHSOM (g/kg)pHSOM (g/kg)
CF5.53 ± 0.06 a23.11 ± 1.29 a5.52 ± 0.15 a21.07 ± 2.21 a
RC6.28 ± 0.07 b31.55 ± 1.41 a6.10 ± 0.04 b25.21 ± 3.60 ab
SC6.39 ± 0.07 b24.06 ± 2.04 a6.37 ± 0.09 c23.91 ± 2.87 ab
CD6.83 ± 0.10 c48.91 ± 4.47 b6.64 ± 0.09 c34.09 ± 2.92 bc
SD6.92 ± 0.07 c25.05 ± 1.37 c6.55 ± 0.11 c31.61 ± 4.17 c
Note: Different letters “a–c” indicate significant differences (p ≤ 0.05) between different treatments according to the Student-Newman-Keuls test.
Disclaimer/Publisher’s Note: The statements, opinions and data contained in all publications are solely those of the individual author(s) and contributor(s) and not of MDPI and/or the editor(s). MDPI and/or the editor(s) disclaim responsibility for any injury to people or property resulting from any ideas, methods, instructions or products referred to in the content.

Share and Cite

MDPI and ACS Style

Xie, S.; Yang, S.; Xu, H.; Liu, S.; Zhou, H.; Yang, F.; Wei, C. Effects of Integrated Application of Plant- or Animal-Derived Organic Fertilizers in Tea Garden Ecosystem. Soil Syst. 2025, 9, 94. https://doi.org/10.3390/soilsystems9030094

AMA Style

Xie S, Yang S, Xu H, Liu S, Zhou H, Yang F, Wei C. Effects of Integrated Application of Plant- or Animal-Derived Organic Fertilizers in Tea Garden Ecosystem. Soil Systems. 2025; 9(3):94. https://doi.org/10.3390/soilsystems9030094

Chicago/Turabian Style

Xie, Shaowen, Shengnan Yang, Haofan Xu, Shujuan Liu, Hongyi Zhou, Fen Yang, and Chaoyang Wei. 2025. "Effects of Integrated Application of Plant- or Animal-Derived Organic Fertilizers in Tea Garden Ecosystem" Soil Systems 9, no. 3: 94. https://doi.org/10.3390/soilsystems9030094

APA Style

Xie, S., Yang, S., Xu, H., Liu, S., Zhou, H., Yang, F., & Wei, C. (2025). Effects of Integrated Application of Plant- or Animal-Derived Organic Fertilizers in Tea Garden Ecosystem. Soil Systems, 9(3), 94. https://doi.org/10.3390/soilsystems9030094

Article Metrics

Back to TopTop