Fate of Carbamazepine and Its Metabolites in a Soil–Aromatic Plant System
Abstract
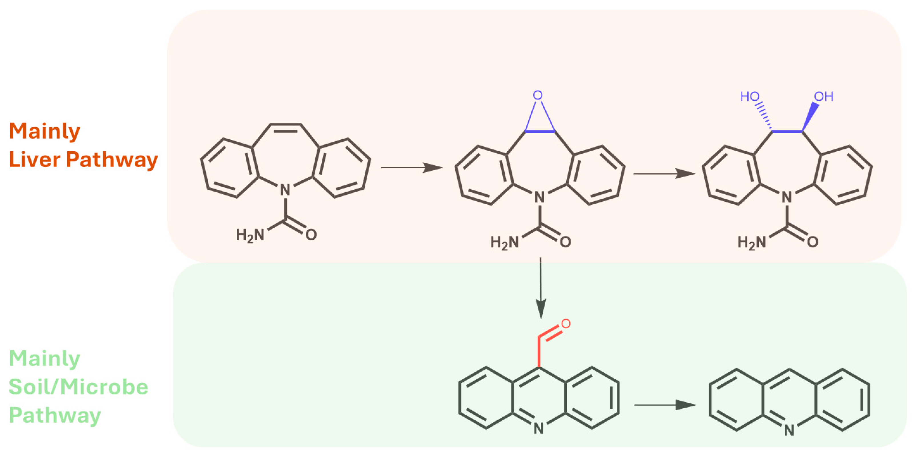
1. Introduction
2. Materials and Methods
2.1. Chemicals and Materials
2.2. Experimental Design
2.3. Extraction and Quantification of Carbamazepine and Its Metabolites
2.4. Enzymatic Activities
2.5. Plant Characterization
2.6. Statistical Analysis
3. Results and Discussion
3.1. Soil
3.2. Plants
3.3. Enzyme Activities
3.4. Morphological Parameters
4. Conclusions
Author Contributions
Funding
Institutional Review Board Statement
Informed Consent Statement
Data Availability Statement
Conflicts of Interest
References
- Vinayagam, V.; Murugan, S.; Kumaresan, R.; Narayanan, M.; Sillanpää, M.; Viet, N.V.; Kushwaha, O.S.; Jenis, P.; Potdar, P.; Gadiya, S. Sustainable adsorbents for the removal of pharmaceuticals from wastewater: A review. Chemosphere 2022, 300, 134597. [Google Scholar] [CrossRef]
- Khan, M.T.; Shah, I.A.; Ihsanullah, I.; Naushad, M.; Ali, S.; Shah, S.H.A.; Mohammad, A.W. Hospital wastewater as a source of environmental contamination: An overview of management practices, environmental risks, and treatment processes. J. Water Process Eng. 2021, 41, 101990. [Google Scholar] [CrossRef]
- De Mastro, F.; Cacace, C.; Traversa, A.; Pallara, M.; Cocozza, C.; Mottola, F.; Brunetti, G. Influence of chemical and mineralogical soil properties on the adsorption of sulfamethoxazole and diclofenac in Mediterranean soils. Chem. Biol. Technol. Agric. 2022, 9, 34. [Google Scholar] [CrossRef]
- Carter, L.J.; Harris, E.; Williams, M.; Ryan, J.J.; Kookana, R.S.; Boxall, A.B.A. Fate and uptake of pharmaceuticals in soil–plant systems. J. Agric. Food Chem. 2014, 62, 816–825. [Google Scholar] [CrossRef] [PubMed]
- Bolesta, W.; Głodniok, M.; Styszko, K. From Sewage Sludge to the Soil—Transfer of Pharmaceuticals: A Review. Int. J. Environ. Res. Public Health 2022, 19, 10246. [Google Scholar] [CrossRef] [PubMed]
- Christou, A.; Karaolia, P.; Hapeshi, E.; Michael, C.; Fatta-Kassinos, D. Long-term wastewater irrigation of vegetables in real agricultural systems: Concentration of pharmaceuticals in soil, uptake and bioaccumulation in tomato fruits and human health risk assessment. Water Res. 2017, 109, 24–34. [Google Scholar] [CrossRef]
- Xiao, R.; Huang, D.; Du, L.; Song, B.; Yin, L.; Chen, Y.; Gao, L.; Li, R.; Huang, H.; Zeng, G. Antibiotic resistance in soil-plant systems: A review of the source, dissemination, influence factors, and potential exposure risks. Sci. Total Environ. 2023, 869, 161855. [Google Scholar] [CrossRef] [PubMed]
- Hai, F.I.; Yang, S.; Asif, M.B.; Sencadas, V.; Shawkat, S.; Sanderson-Smith, M.; Gorman, J.; Xu, Z.-Q.; Yamamoto, K. Carbamazepine as a Possible Anthropogenic Marker in Water: Occurrences, Toxicological Effects, Regulations and Removal by Wastewater Treatment Technologies. Water 2018, 10, 107. [Google Scholar] [CrossRef]
- Paltiel, O.; Fedorova, G.; Tadmor, G.; Kleinstern, G.; Maor, Y.; Chefetz, B. Human exposure to wastewater-derived pharmaceuticals in fresh produce: A randomized controlled trial focusing on carbamazepine. Environ. Sci. Technol. 2016, 50, 4476–4482. [Google Scholar] [CrossRef]
- Fenet, H.; Mathieu, O.; Mahjoub, O.; Li, Z.; Hillaire-Buys, D.; Casellas, C.; Gomez, E. Carbamazepine, carbamazepine epoxide and dihydroxycarbamazepine sorption to soil and occurrence in a wastewater reuse site in Tunisia. Chemosphere 2012, 88, 49–54. [Google Scholar] [CrossRef]
- Verlicchi, P.; Al Aukidy, M.; Zambello, E. Occurrence of pharmaceutical compounds in urban wastewater: Removal, mass load and environmental risk after a secondary treatment—A review. Sci. Total Environ. 2012, 429, 123–155. [Google Scholar] [CrossRef] [PubMed]
- Li, J.; Dodgen, L.; Ye, Q.; Gan, J. Degradation kinetics and metabolites of carbamazepine in soil. Environ. Sci. Technol. 2013, 47, 3678–3684. [Google Scholar] [CrossRef]
- Watkinson, A.; Murby, E.; Costanzo, S. Removal of antibiotics in conventional and advanced wastewater treatment: Implications for environmental discharge and wastewater recycling. Water Res. 2007, 41, 4164–4176. [Google Scholar] [CrossRef] [PubMed]
- Walters, E.; McClellan, K.; Halden, R.U. Occurrence and loss over three years of 72 pharmaceuticals and personal care products from biosolids–soil mixtures in outdoor mesocosms. Water Res. 2010, 44, 6011–6020. [Google Scholar] [CrossRef] [PubMed]
- Wu, X.; Ernst, F.; Conkle, J.L.; Gan, J. Comparative uptake and translocation of pharmaceutical and personal care products (PPCPs) by common vegetables. Environ. Int. 2013, 60, 15–22. [Google Scholar] [CrossRef]
- De Mastro, F.; Brunetti, G.; De Mastro, G.; Ruta, C.; Stea, D.; Murgolo, S.; De Ceglie, C.; Mascolo, G.; Sannino, F.; Cocozza, C.; et al. Uptake of different pharmaceuticals in soil and mycorrhizal artichokes from wastewater. Environ. Sci. Pollut. Res. 2023, 30, 33349–33362. [Google Scholar] [CrossRef] [PubMed]
- Bahlmann, A.; Brack, W.; Schneider, R.J.; Krauss, M. Carbamazepine and its metabolites in wastewater: Analytical pitfalls and occurrence in Germany and Portugal. Water Res. 2014, 57, 104–114. [Google Scholar] [CrossRef]
- Calza, P.; Medana, C.; Padovano, E.; Giancotti, V.; Baiocchi, C. Identification of the unknown transformation products derived from clarithromycin and carbamazepine using liquid chromatography/high-resolution mass spectrometry. Rapid Commun. Mass Spectrom. 2012, 26, 1687–1704. [Google Scholar] [CrossRef]
- Sauvêtre, A.; May, R.; Harpaintner, R.; Poschenrieder, C.; Schröder, P. Metabolism of carbamazepine in plant roots and endophytic rhizobacteria isolated from Phragmites australis. J. Hazard. Mater. 2018, 342, 85–95. [Google Scholar] [CrossRef]
- Kalamartzis, I.; Menexes, G.; Georgiou, P.; Dordas, C. Effect of Water Stress on the Physiological Characteristics of Five Basil (Ocimum basilicum L.) Cultivars. Agronomy 2020, 10, 1029. [Google Scholar] [CrossRef]
- Kalamartzis, I.; Dordas, C.; Georgiou, P.; Menexes, G. The Use of Appropriate Cultivar of Basil (Ocimum basilicum) Can Increase Water Use Efficiency under Water Stress. Agronomy 2020, 10, 70. [Google Scholar] [CrossRef]
- Yilmaz, A.; Karik, Ü. AMF and PGPR enhance yield and secondary metabolite profile of basil (Ocimum basilicum L.). Ind. Crop. Prod. 2021, 176, 114327. [Google Scholar] [CrossRef]
- Çamlica, M.; Yaldiz, G. Basil (Ocimum basilicum L.): Botany, Genetic Resource, Cultivation, Conservation, and Stress Factors. In Sustainable Agriculture in the Era of the OMICs Revolution; Prakash, C.S., Fiaz, S., Nadeem, M.A., Baloch, F.S., Qayyum, A., Eds.; Springer: Cham, Switzerland, 2023. [Google Scholar] [CrossRef]
- Kowalska, G. Pesticide Residues in Some Polish Herbs. Agriculture 2020, 10, 154. [Google Scholar] [CrossRef]
- Malvar, J.L.; Santos, J.L.; Martín, J.; Aparicio, I.; Alonso, E. Approach to the Dynamic of Carbamazepine and its Main Metabolites in Soil Contamination through the Reuse of Wastewater and Sewage Sludge. Molecules 2020, 25, 5306. [Google Scholar] [CrossRef] [PubMed]
- Paz, A.; Tadmor, G.; Malchi, T.; Blotevogel, J.; Borch, T.; Polubesova, T.; Chefetz, B. Fate of carbamazepine, its metabolites, and lamotrigine in soils irrigated with reclaimed wastewater: Sorption, leaching and plant uptake. Chemosphere 2016, 160, 22–29. [Google Scholar] [CrossRef] [PubMed]
- Available online: https://pubchem.ncbi.nlm.nih.gov/compound/Carbamazepine (accessed on 28 April 2024).
- Brieudes, V.; Lardy-Fontan, S.; Lalere, B.; Vaslin-Reimann, S.; Budzinski, H. Validation and uncertainties evaluation of an isotope dilution-SPE-LC–MS/MS for the quantification of drug residues in surface waters. Talanta 2016, 146, 138–147. [Google Scholar] [CrossRef]
- Swift, R.S. Method of Soil Analysis: Part 3. Chemical Methods; SSSA Book Series No. 5; Sparks, D.L., Page, A.L., Helmke, P.A., Loeppert, R.H., Soltanpour, P.N., Tabatabai, M.A., Johnston, C.T., Sumner, M.E., Eds.; ASA and SSSA: Madison, WI, USA, 1996; pp. 1011–1069. [Google Scholar]
- De Mastro, F.; Cocozza, C.; Traversa, A.; Cacace, C.; Mottola, F.; Mezzina, A.; Brunetti, G. Validation of a modified QuEChERS method for the extraction of multiple classes of pharmaceuticals from soils. Chem. Biol. Technol. Agric. 2022, 9, 80. [Google Scholar] [CrossRef]
- Brunetti, G.; Traversa, A.; De Mastro, F.; Dichio, B.; Mottola, F.; Mininni, A.N.; Nigro, P.; Cocozza, C. Evaluation of the QuEChERS extraction approach for the analysis of active compounds of pharmaceuticals in olive tree portions. Chem. Biol. Technol. Agric. 2023, 10, 80. [Google Scholar] [CrossRef]
- Eivazi, F.; Tabatabai, M. Glucosidases and galactosidases in soils. Soil Biol. Biochem. 1988, 20, 601–606. [Google Scholar] [CrossRef]
- Eivazi, F.; Tabatabai, M. Phosphatases in soils. Soil Biol. Biochem. 1977, 9, 167–172. [Google Scholar] [CrossRef]
- Green, V.S.; Stott, D.E.; Diack, M. Assay for fluorescein diacetate hydrolytic activity: Optimization for soil samples. Soil Biol. Biochem. 2006, 38, 693–701. [Google Scholar] [CrossRef]
- Parmar, M.R.; Bhalodiya, V.B.; Kapdi, S.S. Temperature effect on drying and phytochemicals of basil leaves. Int. J. Eng. Sci. Investig. 2018, 7, 34–44. [Google Scholar]
- Blair, P.M.; Land, M.L.; Piatek, M.J.; Jacobson, D.A.; Lu, T.Y.S.; Doktycz, M.J.; Pelletiera, D.A. Exploration of the Biosynthetic Potential of the Populus Microbiome. MSystems 2018, 3, e00045-18. [Google Scholar] [CrossRef] [PubMed]
- Sylvia, D.M.; Fuhrmann, J.J.; Hartel, P.G.; Zuberer, D.A. Principles and Applications of Soil Microbiology, 2nd ed.; Pearson: Upper Saddle River, NJ, USA, 2005; pp. 41–51. [Google Scholar]
- Miller, E.L.; Nason, S.L.; Karthikeyan, K.G.; Pedersen, J.A. Root Uptake of Pharmaceuticals and Personal Care Product Ingredients. Environ. Sci. Technol. 2016, 50, 525–541. [Google Scholar] [CrossRef] [PubMed]
- Wert, E.C.; Rosario-Ortiz, F.L.; Snyder, S.A. Effect of ozone exposure on the oxidation of trace organic contaminants in wastewater. Water Res. 2009, 43, 1005–1014. [Google Scholar] [CrossRef] [PubMed]
- Rosal, R.; Rodríguez, A.; Perdigón-Melón, J.A.; Petre, A.; García-Calvo, E.; Gómez, M.J.; Agüera, A.; Fernández-Alba, A.R. Occurrence of emerging pollutants in urban wastewater and their removal through biological treatment followed by ozonation. Water Res. 2010, 44, 578–588. [Google Scholar] [CrossRef] [PubMed]
- Wang, Y.; Gao, J.; Zhou, S.; Lian, M. Microbial degradation of carbamazepine by a newly isolated of Gordonia polyophrenivorans. Environ. Technol. Innov. 2023, 32, 103322. [Google Scholar] [CrossRef]
- Attia, S.M. Deleterious Effects of Reactive Metabolites. Oxidative Med. Cell. Longev. 2010, 3, 238–253. [Google Scholar] [CrossRef] [PubMed]
- Ben Mordechay, E.; Tarchitzky, J.; Chen, Y.; Shenker, M.; Chefetz, B. Composted biosolids and treated wastewater as sources of pharmaceuticals and personal care products for plant uptake: A case study with carbamazepine. Environ. Pollut. 2018, 232, 164–172. [Google Scholar] [CrossRef]
- Tak, S.; Tiwari, A.; Vellanki, B.P. Identification of emerging contaminants and their transformation products in a moving bed biofilm reactor (MBBR)-based drinking water treatment plant around River Yamuna in India. Environ. Monit. Assess. 2020, 192, 365. [Google Scholar] [CrossRef]
- Ferguson, L.R.; Denny, W.A. The genetic toxicology of acridines. Mutat. Res. Genet. Toxicol. 1991, 258, 123–160. [Google Scholar] [CrossRef] [PubMed]
- Donner, E.; Kosjek, T.; Qualmann, S.; Kusk, K.O.; Heath, E.; Revitt, D.M.; Ledin, A.; Andersen, H.R. Ecotoxicity of carbamazepine and its UV photolysis transformation products. Sci. Total Environ. 2013, 443, 870–876. [Google Scholar] [CrossRef]
- Chiron, S.; Minero, C.; Vione, D. Photodegradation processes of the antiepileptic drug carbamazepine, relevant to estuarine waters. Environ. Sci. Technol. 2006, 40, 5977–5983. [Google Scholar] [CrossRef] [PubMed]
- Leclercq, M.; Mathieu, O.; Gomez, E.; Casellas, C.; Fenet, H.; Hillaire-Buys, D. Presence and Fate of Carbamazepine, Oxcarbazepine, and Seven of Their Metabolites at Wastewater Treatment Plants. Arch. Environ. Contam. Toxicol. 2009, 56, 408–415. [Google Scholar] [CrossRef] [PubMed]
- Osborne, P.J.; Preston, M.R.; Chen, H.-Y. Azaarenes in sediments, suspended particles and aerosol associated with the River Mersey estuary. Mar. Chem. 1997, 58, 73–83. [Google Scholar] [CrossRef]
- Bartrons, M.; Peñuelas, J. Pharmaceuticals and Personal-Care Products in Plants. Trends Plant Sci. 2017, 22, 194–203. [Google Scholar] [CrossRef] [PubMed]
- Bhalsod, G.D.; Chuang, Y.-H.; Jeon, S.; Gui, W.; Lim, H.; Ryser, E.T.; Guber, A.K.; Zhang, W. Uptake and Accumulation of Pharmaceuticals in Overhead- and Surface-Irrigated Greenhouse Lettuce. J. Agric. Food Chem. 2018, 66, 822–830. [Google Scholar] [CrossRef] [PubMed]
- García, M.G.; Fernández-López, C.; Pedrero-Salcedo, F.; Alarcón, J.J. Absorption of carbamazepine and diclofenac in hydroponically cultivated lettuces and human health risk assessment. Agric. Water Manag. 2018, 206, 42–47. [Google Scholar] [CrossRef]
- Goldstein, M.; Shenker, M.; Chefetz, B. Insights into the Uptake Processes of Wastewater-Borne Pharmaceuticals by Vegetables. Environ. Sci. Technol. 2014, 48, 5593–5600. [Google Scholar] [CrossRef]
- Hurtado, C.; Trapp, S.; Bayona, J.M. Inverse modeling of the biodegradation of emerging organic contaminants in the soil-plant system. Chemosphere 2016, 156, 236–244. [Google Scholar] [CrossRef][Green Version]
- Malchi, T.; Maor, Y.; Tadmor, G.; Shenker, M.; Chefetz, B. Irrigation of Root Vegetables with Treated Wastewater: Evaluating Uptake of Pharmaceuticals and the Associated Human Health Risks. Environ. Sci. Technol. 2014, 48, 9325–9333. [Google Scholar] [CrossRef] [PubMed]
- Trapp, S.; McFarlane, J.C. Plant Contamination: Modeling and Simulation of Organic Chemical Processes; CRC Press: Boca Raton, FL, USA, 1995. [Google Scholar]
- Malchi, T.; Maor, Y.; Chefetz, B. Comments on “Human health risk assessment of pharmaceuticals and personal care products in plant tissue due to biosolids and manure amendments, and wastewater irrigation”. Environ. Int. 2015, 82, 110–112. [Google Scholar] [CrossRef] [PubMed]
- Hata, T.; Shintate, H.; Kawai, S.; Okamura, H.; Nishida, T. Elimination of carbamazepine by repeated treatment with laccase in the presence of 1-hydroxybenzotriazole. J. Hazard. Mater. 2010, 181, 1175–1178. [Google Scholar] [CrossRef] [PubMed]
- Shafran, E.; Dudai, N.; Mayer, A.M. Polyphenol oxidase in Ocimum basilicum during growth, development and following cold stress. J. Food Agric. Environ. 2007, 5, 254–257. [Google Scholar]
- Serafini, C.G.; Clerici, N.J.; Della-Flora, I.K.; Dupont, G.K.; Cabrera, L.d.C.; Daroit, D.J. Effects of atrazine on soil microbial indicators and the evaluation of herbicide attenuation in microcosms. J. Soils Sediments 2022, 22, 1165–1175. [Google Scholar] [CrossRef]
- Akintoroye, M.; Newton, R.A.; Kříženecká, S.; Hejda, S.; Krystyník, P.; Ahnert, M.; Trögl, J.; Krebs, P.; Al Souki, K.S. Utilization of Biochar for Eliminating Residual Pharmaceuticals from Wastewater Used in Agricultural Irrigation: Application to Ryegrass. Agronomy 2022, 12, 2987. [Google Scholar] [CrossRef]
- Liu, H.; Yang, X.; Liu, G.; Liang, C.; Xue, S.; Chen, H.; Ritsema, C.J.; Geissen, V. Response of soil dissolved organic matter to microplastic addition in Chinese loess soil. Chemosphere 2017, 185, 907–917. [Google Scholar] [CrossRef] [PubMed]
- Fei, Y.; Huang, S.; Zhang, H.; Tong, Y.; Wen, D.; Xia, X.; Wang, H.; Luo, Y.; Barceló, D. Response of soil enzyme activities and bacterial communities to the accumulation of microplastics in an acid cropped soil. Sci. Total Environ. 2020, 707, 135634. [Google Scholar] [CrossRef]
- Cui, Y.; Fang, L.; Guo, X.; Wang, X.; Wang, Y.; Zhang, Y.; Zhang, X. Responses of soil bacterial communities, enzyme activities, and nutrients to agricultural-to-natural ecosystem conversion in the Loess Plateau, China. J. Soils Sediments 2019, 19, 1427–1440. [Google Scholar] [CrossRef]
- Nannipieri, P. The potential use of soil enzymes as indicators of productivity, sustainability and pollution. In Soil Biota: Management in Sustainable Farming Systems; Pankhurst, C.E., Double, B.M., Gupta, V.V.S.R., Grace, P.R., Eds.; CSIRO: Adelaide, Australia, 1994; pp. 238–244. [Google Scholar]
- Schaffer, A. Pesticide effects on enzyme activities in the soil ecosystems. In Soil Biochemistry; Bollag, J.M., Stotzky, G., Eds.; Marcel Dekker: New York, NY, USA, 1993; Volume 8, pp. 273–340. [Google Scholar]
- Cao, X.; Cui, X.; Xie, M.; Zhao, R.; Xu, L.; Ni, S.; Cui, Z. Amendments and bioaugmentation enhanced phytoremediation and micro-ecology for PAHs and heavy metals co-contaminated soils. J. Hazard. Mater. 2021, 426, 128096. [Google Scholar] [CrossRef]
- De Mastro, F.; Brunetti, G.; Traversa, A.; Cacace, C.; Cocozza, C. Investigation of the Effect of Twelve Pharmaceuticals on Germination and Growth Parameters of Basil (Ocimum basilicum L.). Appl. Sci. 2023, 13, 6759. [Google Scholar] [CrossRef]
- Opriș, O.; Lung, I.; Soran, M.-L.; Ciorîță, A.; Copolovici, L. Investigating the effects of non-steroidal anti-inflammatory drugs (NSAIDs) on the composition and ultrastructure of green leafy vegetables with important nutritional values. Plant Physiol. Biochem. 2020, 151, 342–351. [Google Scholar] [CrossRef] [PubMed]
- Carter, L.J.; Williams, M.; Böttcher, C.; Kookana, R.S. Uptake of Pharmaceuticals Influences Plant Development and Affects Nutrient and Hormone Homeostases. Environ. Sci. Technol. 2015, 49, 12509–12518. [Google Scholar] [CrossRef]
- Mascellani, A.; Mercl, F.; Kurhan, S.; Pierdona, L.; Kudrna, J.; Zemanova, V.; Hnilicka, F.; Kloucek, P.; Tlustos, P.; Havlik, J. Biochemical and physiological changes in Zea mays L. after exposure to the environmental pharmaceutical pollutant carbamazepine. Chemosphere 2023, 329, 138689. [Google Scholar] [CrossRef] [PubMed]












| PhAC | Molecular Weight (g mol−1) | Chemical Structure | Water Solubility (mg L−1) | Log Kow | pKa |
|---|---|---|---|---|---|
| Carbamazepine | 236.27 a | ![]() | Non-aq. a | 2.45 a | 13.9 a |
| 3-Hydroxycarbamazepine | 252.27 b | ![]() | Non-aq. b | 2.41 b | 9.19 b |
| 10,11-Dihydro- 10-hydroxycarbamazepine | 254.28 b | ![]() | Non-aq. b | 0.93 b | 12.8 b |
| Acridine | 179.22 a | ![]() | Slightly soluble in hot water a | 3.17 c | 5.45 at 15 °C a |
| Carbamazepine 10,11-epoxide | 252.27 b | ![]() | Non-aq. b | 1.0 b | pKa = 16 b |
| 10,11-Dihydro-10,11- dihydroxy carbamazepine | 270.10 d | ![]() | Non-aq. d | 0.81 d | 12.7 e (acidic) |
| Concentration | Time | Soil | Carbamazepine | Carbamazepine-10,11-epoxide | Acridine |
|---|---|---|---|---|---|
| 200 ppb | T1 | A | *** | / | ** |
| B | |||||
| T2 | A | *** | *** | *** | |
| B | |||||
| T3 | A | *** | *** | n.s. | |
| B | |||||
| 600 ppb | T1 | A | *** | *** | n.s. |
| B | |||||
| T2 | A | *** | *** | *** | |
| B | |||||
| T3 | A | *** | *** | *** | |
| B | |||||
| 200 ppb | T1 | A | 254.9 a | 0.0 a | 11.2 a |
| B | 21.2 b | 0.0 a | 10.2 b | ||
| T2 | A | 428.3 a | 1.2 a | 10.9 a | |
| B | 142.8 b | 0.0 b | 9.6 b | ||
| T3 | A | 777.2 a | 1.6 a | 10.5 a | |
| B | 219.4 b | 0.0 b | 10.1 a | ||
| 600 ppb | T1 | A | 1013.0 a | 0.5 a | 10.9 a |
| B | 226.6 b | 0.0 b | 10.4 a | ||
| T2 | A | 1285.8 a | 8.7 a | 11.5 a | |
| B | 273.1 b | 0.0 b | 10.2 b | ||
| T3 | A | 1621.7 a | 24.7 a | 12.7 a | |
| B | 793.0 b | 5.2 b | 11.2 b |
| Concentration | Time | Soil | β-Glucosidase | Alkaline Phosphatase | Acid Phosphatase | FDA Hydrolysis |
|---|---|---|---|---|---|---|
| 0 ppb | T1 | A | *** | n.s. | n.s. | n.s. |
| B | ||||||
| T2 | A | n.s. | *** | n.s. | * | |
| B | ||||||
| T3 | A | * | * | n.s. | n.s. | |
| B | ||||||
| 200 ppb | T1 | A | * | n.s. | n.s. | n.s. |
| B | ||||||
| T2 | A | * | ** | * | *** | |
| B | ||||||
| T3 | A | ** | *** | ** | *** | |
| B | ||||||
| 600 ppb | T1 | A | *** | n.s. | ** | n.s. |
| B | ||||||
| T2 | A | ** | ** | *** | *** | |
| B | ||||||
| T3 | A | *** | ** | *** | *** | |
| B | ||||||
| 0 ppb | T1 | A | 65.2 b | 64.3 a | 32.9 a | 29.8 a |
| B | 72.8 a | 64.5 a | 33.8 a | 28.3 a | ||
| T2 | A | 71.3 a | 64.7 b | 35.0 a | 34.0 a | |
| B | 73.0 a | 70.1 a | 36.6 a | 32.0 b | ||
| T3 | A | 72.7 b | 69.0 b | 35.9 a | 36.3 a | |
| B | 75.0 a | 71.7 a | 37.6 a | 34.6 a | ||
| 200 ppb | T1 | A | 63.2 b | 70.1 a | 35.2 a | 33.7 a |
| B | 67.6 a | 70.9 a | 36.4 a | 32.6 a | ||
| T2 | A | 66.1 b | 65.1 b | 31.0 b | 39.9 a | |
| B | 72.2 a | 80.9 a | 34.7 a | 24.7 b | ||
| T3 | A | 64.3 b | 67.1 b | 34.2 b | 43.9 a | |
| B | 74.8 a | 85.8 a | 39.1 a | 25.3 b | ||
| 600 ppb | T1 | A | 64.7 b | 73.7 a | 32.0 b | 21.4 a |
| B | 73.3 a | 71.2 a | 37.4 a | 22.8 a | ||
| T2 | A | 74.2 b | 73.9 a | 32.2 b | 25.7 a | |
| B | 81.1 a | 65.1 b | 37.1 a | 19.7 b | ||
| T3 | A | 73.6 b | 66.4 b | 32.3 b | 24.2 a | |
| B | 84.9 a | 80.4 a | 37.2 a | 16.1 b |
Disclaimer/Publisher’s Note: The statements, opinions and data contained in all publications are solely those of the individual author(s) and contributor(s) and not of MDPI and/or the editor(s). MDPI and/or the editor(s) disclaim responsibility for any injury to people or property resulting from any ideas, methods, instructions or products referred to in the content. |
© 2024 by the authors. Licensee MDPI, Basel, Switzerland. This article is an open access article distributed under the terms and conditions of the Creative Commons Attribution (CC BY) license (https://creativecommons.org/licenses/by/4.0/).
Share and Cite
De Mastro, F.; Traversa, A.; Cocozza, C.; Cacace, C.; Provenzano, M.R.; Vona, D.; Sannino, F.; Brunetti, G. Fate of Carbamazepine and Its Metabolites in a Soil–Aromatic Plant System. Soil Syst. 2024, 8, 83. https://doi.org/10.3390/soilsystems8030083
De Mastro F, Traversa A, Cocozza C, Cacace C, Provenzano MR, Vona D, Sannino F, Brunetti G. Fate of Carbamazepine and Its Metabolites in a Soil–Aromatic Plant System. Soil Systems. 2024; 8(3):83. https://doi.org/10.3390/soilsystems8030083
Chicago/Turabian StyleDe Mastro, Francesco, Andreina Traversa, Claudio Cocozza, Claudio Cacace, Maria Rosaria Provenzano, Danilo Vona, Filomena Sannino, and Gennaro Brunetti. 2024. "Fate of Carbamazepine and Its Metabolites in a Soil–Aromatic Plant System" Soil Systems 8, no. 3: 83. https://doi.org/10.3390/soilsystems8030083
APA StyleDe Mastro, F., Traversa, A., Cocozza, C., Cacace, C., Provenzano, M. R., Vona, D., Sannino, F., & Brunetti, G. (2024). Fate of Carbamazepine and Its Metabolites in a Soil–Aromatic Plant System. Soil Systems, 8(3), 83. https://doi.org/10.3390/soilsystems8030083







