Effectiveness of Bacillus paramycoides for Improving Zinc Nutrition of Rice Irrigated with Alkali Water
Abstract
1. Introduction
2. Materials and Methods
2.1. Collection of Rhizospheric Soil and Isolation of Zinc-Solubilizing Bacteria
2.2. In Vitro Zn Solubilization of Bacillus paramycoides
2.3. Field Experiment
2.4. Rice Yield
2.5. Zinc Content, Zinc Uptake, and Apparent Zinc Recovery
2.6. Analysis of Zinc Fractionation and Other Soil Properties
2.7. Enumeration of Zn-Solubilizing Bacterial Population
2.8. Statistical Analysis
3. Results
3.1. In Vitro Assessment of Bacillus paramycoides
3.2. Yield and Zinc Nutrition
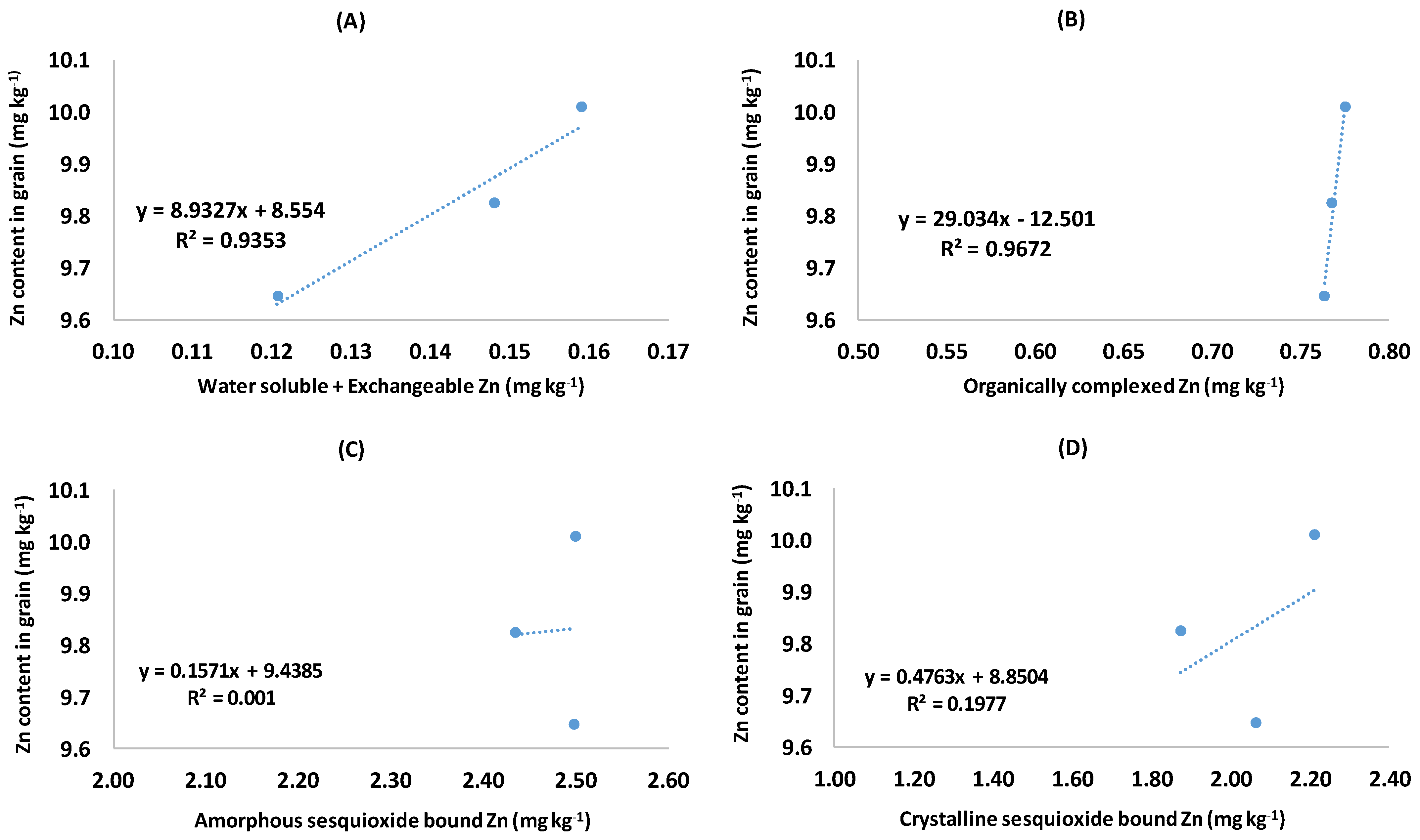
3.3. Zinc Fractionation and Population of ZnSB
4. Discussion
5. Conclusions
Author Contributions
Funding
Institutional Review Board Statement
Informed Consent Statement
Data Availability Statement
Acknowledgments
Conflicts of Interest
References
- Graham, R.D.; Welch, R.M. Breeding for Staple-Food Crops with High Micronutrient Density: Long Term Sustainable Agricultural Solutions to Hidden Hunger in Developing Countries; Working paper No. 3; International Food Policy Research Institute: Washington, DC, USA, 1996; p. 79. [Google Scholar]
- Singh, M.V.; Saha, J.K. 27th Annual Report of the All India Coordinated Research Project of Micro-and Secondary-Nutrients and Pollutant Elements in Soils and Plants; Indian Institute of Soil Science: Bhopal, India, 1997; p. 108. [Google Scholar]
- Muthayya, S.; Sugimoto, J.D.; Montgomery, S.; Maberly, G.F. An overview of global rice production, supply, trade, and consumption. Ann. N. Y. Acad. Sci. 2014, 1324, 7–14. [Google Scholar] [CrossRef] [PubMed]
- Singh, S.K.; Beillard, M.J. Grain and Feed Annual-2022; Report no. IN2022-0027; USDA, Global Agriculture Information Network: New Delhi, India, 2022. [Google Scholar]
- Bouis, H.E.; Welch, R.M. Biofortification—A sustainable agricultural strategy for reducing micronutrient malnutrition in the global south. Crop Sci. 2010, 50, S-20–S-32. [Google Scholar] [CrossRef]
- Phattarakul, N.; Rerkasem, B.; Li, L.J.; Wu, L.H.; Zou, C.Q.; Ram, H.; Sohu, V.S.; Kang, B.S.; Surek, H.; Kalayci, M.; et al. Biofortification of rice grain with zinc through zinc fertilization in different countries. Plant Soil 2012, 361, 131–141. [Google Scholar] [CrossRef]
- Gontia-Mishra, I.; Sapre, S.; Tiwari, S. Zinc solubilizing bacteria from the rhizosphere of rice as prospective modulator of zinc biofortification in rice. Rhizosphere 2017, 3, 185–190. [Google Scholar] [CrossRef]
- Iqbal, U.; Jamil, N.; Ali, I.; Hasnain, S. Effect of zinc-phosphate-solubilizing bacterial isolates on growth of Vigna radiata. Ann. Microbiol. 2010, 60, 243–248. [Google Scholar] [CrossRef]
- Murthy, A.S.P. Zinc fractions in wetland rice soils and their availability to rice. Soil Sci. 1982, 133, 150–154. [Google Scholar] [CrossRef]
- Mandal, L.N.; Mandal, B. Zinc fractions in soils in relation to zinc nutrition of lowland rice. Soil Sci. 1986, 142, 141–148. [Google Scholar] [CrossRef]
- Rehman, A.; Farooq, M.; Ozturk, L. Zinc nutrition in wheat-based cropping systems. Plant Soil 2018, 422, 283–315. [Google Scholar] [CrossRef]
- Shah, T. Groundwater Governance and Irrigated Agriculture; Paper No. 19; Global Water Partnership (GWP): Stockholm, Sweden, 2014. [Google Scholar]
- Bali, A.; Singh, A.; Minhas, P.S.; Yadav, R.K. Response of paddy (Oryza sativa L.) to exogenous application of bio–regulators in soils irrigated with alkali groundwater. Ind. J. Agric. Sci. 2020, 90, 1670–1672. [Google Scholar] [CrossRef]
- Yadav, R.K.; Kumar, R.; Singh, A.; Dagar, J.C. Utilization of Saline and Other Poor-Quality Waters to Sustain Agroforestry Production. In Agroforestry for Sustainable Intensification of Agriculture in Asia and Africa. Sustainability Sciences in Asia and Africa; Dagar, J.C., Gupta, S.R., Sileshi, G.W., Eds.; Springer: Singapore, 2023; pp. 243–271. [Google Scholar] [CrossRef]
- Kumar, R.; Singh, A.; Bhardwaj, A.K.; Kumar, A.; Yadav, R.K.; Sharma, P.C. Reclamation of salt-affected soils in India: Progress, emerging challenges, and future strategies. Land Degrad. Dev. 2022, 13, 2169–2180. [Google Scholar] [CrossRef]
- Singh, A.; Bali, A.; Kumar, A.; Yadav, R.K.; Minhas, P.S. Foliar spraying of potassium nitrate, salicylic acid and thio-urea effects on growth, physiological processes and yield of sodicity stressed paddy (Oryza sativa L.) with alkali water irrigation. J. Plant Growth Regul. 2022, 41, 1989–1998. [Google Scholar] [CrossRef]
- Alloway, B.J. Zinc in Soils and Crop Nutrition, 2nd ed.; IZA: Brussels, Belgium; IFA: Paris, France, 2008. [Google Scholar]
- Saha, S.; Chakraborty, M.; Padhan, D.; Saha, B.; Murmu, S.; Batabyal, K.; Seth, A.; Hazra, G.C.; Mandal, B.; Bell, R.W. Agronomic biofortification of zinc in rice: Influence of cultivars and zinc application methods on grain yield and zinc bioavailability. Field Crops Res. 2017, 210, 52–60. [Google Scholar] [CrossRef]
- Noulas, C.; Tziouvalekas, M.; Karyotis, T. Zinc in soils, water and food crops. J. Trace Elem. Med. Biol. 2018, 49, 252–260. [Google Scholar] [CrossRef] [PubMed]
- Rezaeiniko, B.; Enayatizamir, N.; NorouziMasir, M. Changes in soil zinc chemical fractions and improvements in wheat grain quality in response to zinc solubilizing bacteria. Commun. Soil Sci. Plant Anal. 2022, 53, 622–635. [Google Scholar] [CrossRef]
- Singh, A.; Mishra, S.; Choudhary, M.; Chandra, P.; Rai, A.K.; Yadav, R.K.; Chander, S.P. Rhizobacteria improve rice zinc nutrition in deficient soils. Rhizosphere 2023, 25, 100646. [Google Scholar] [CrossRef]
- Upadhayay, V.K.; Singh, A.V.; Khan, A. Cross talk between zinc-solubilizing bacteria and plants: A short tale of bacterial-assisted zinc biofortification. Front. Soil Sci. 2022, 1, 788170. [Google Scholar] [CrossRef]
- Ramesh, A.; Sharma, S.K.; Sharma, M.P.; Yadav, N.; Joshi, O.P. Inoculation of zinc solubilizing Bacillus aryabhattai strains for improved growth, mobilization and biofortification of zinc in soybean and wheat cultivated in Vertisols of central India. Appl. Soil Ecol. 2014, 73, 87–96. [Google Scholar] [CrossRef]
- Gandhi, A.; Muralidharan, G. Assessment of zinc solubilizing potentiality of Acinetobacter sp. isolated from rice rhizosphere. Eur. J. Soil Biol. 2016, 76, 1–8. [Google Scholar] [CrossRef]
- Forno, D.A.; Yoshida, S.; Asher, C.J. Zinc deficiency in rice. Plant Soil 1975, 42, 537–550. [Google Scholar] [CrossRef]
- Sadana, U.S.; Manchanda, J.S.; Khurana, M.P.S.; Dhaliwal, S.S.; Singh, H. The current scenario and efficient management of zinc, iron, and manganese deficiencies. Better Crops Asia 2010, 4, 24–26. [Google Scholar]
- Mumtaz, M.Z.; Ahmad, M.; Jamil, M.; Hussain, T. Zinc solubilizing Bacillus spp. potential candidates for biofortification in maize. Microbiol. Res. 2017, 202, 51–60. [Google Scholar] [CrossRef]
- Mumtaz, M.Z.; Barry, K.M.; Baker, A.L.; Nichols, D.S.; Ahmad, M.; Zahir, Z.A.; Britz, M.L. Production of lactic and acetic acids by Bacillus sp. ZM20 and Bacillus cereus following exposure to zinc oxide: A possible mechanism for Zn solubilization. Rhizosphere 2019, 12, 100170. [Google Scholar] [CrossRef]
- Prajapati, J.; Yadav, J.; Jaiswal, D.K.; Prajapati, B.; Tiwari, S.; Yadav, J. Salt tolerant indigenous Zn solubilizing bacteria isolated from forest organic soils promotes yield and root growth in Oryza Sativa under zinc deficient alluvial soil. Geomicrobiol. J. 2022, 39, 465–476. [Google Scholar] [CrossRef]
- Pikovskaya, R.I. Mobilization of phosphorus in soil in connection with vital activity of some microbial species. Mikrobiologiya 1948, 17, 362–370. [Google Scholar]
- Nguyen, C.; Yan, W.; Le Tacon, F.; Lapeyrie, F. Genetic variability of phosphate solubilizing activity by monocaryotic and dicaryotic mycelia of the ectomycorrhizal fungus Laccaria bicolor (Maire) P.D. Orton. Plant Soil 1992, 143, 193–199. [Google Scholar] [CrossRef]
- Singh, D.; Chhonkar, P.K.; Dwivedi, B.S. Manual on Soil, Plant and Water Analysis; Westville Publishing House: New Delhi, India, 2005. [Google Scholar]
- Jackson, M.L. Soil Chemical Analysis, 498th ed.; Pentice Hall of India Pvt. Ltd.: New Delhi, India, 1973. [Google Scholar]
- Walkley, A.; Black, I.A. An examination of Degtjareff method for determining soil organic matter and a proposed modification of the chromic acid titration method. Soil Sci. 1934, 37, 29–37. [Google Scholar] [CrossRef]
- Subbiah, B.V.; Asiza, G.L. A rapid method of available N estimation. Curr. Sci. 1956, 25, 159–160. [Google Scholar]
- Olsen, S.R. Estimation of Available Phosphorus in Soils by Extraction with Sodium Bicarbonate; No. 939; US Department of Agriculture: Washington, DC, USA, 1954. [Google Scholar]
- Hanway, J.J.; Heidel, H. Soil analysis methods as used in Iowa state college soil testing laboratory. Iowa Agric. 1952, 57, 1–31. [Google Scholar]
- Lindsay, W.L.; Norvell, W.A. Development of a DTPA soil test for zinc, iron, manganese, and copper. Soil Sci. Soc. Am. J. 1978, 42, 421–428. [Google Scholar] [CrossRef]
- Sanders, E.R. Aseptic laboratory techniques: Plating methods. J. Vis. Exp. 2012, 63, e3064. [Google Scholar] [CrossRef]
- Tariq, M.; Hameed, S.; Malik, K.A.; Hafeez, F.Y. Plant root associated bacteria for zinc mobilization in rice. Pak. J. Bot. 2007, 39, 245–253. [Google Scholar]
- Vaid, S.K.; Kumar, B.; Sharma, A.; Shukla, A.K.; Srivastava, P.C. Effect of zinc solubilizing bacteria on growth promotion and zinc nutrition of rice. J. Soil Sci. Plant Nutr. 2014, 14, 889–910. [Google Scholar]
- Abadi, V.A.J.M.; Sepehri, M.; Khatabi, B.; Rezaei, M. Alleviation of zinc deficiency in wheat inoculated with root endophytic fungus Piriformospora indica and rhizobacterium Pseudomonas putida. Rhizosphere 2021, 17, 100311. [Google Scholar] [CrossRef]
- Kamran, S.; Shahid, I.; Baig, D.N.; Rizwan, M.; Malik, K.A.; Mehnaz, S. Contribution of Zinc Solubilizing Bacteria in Growth Promotion and Zinc Content of Wheat. Front. Microbiol. 2017, 8, 2593. [Google Scholar] [CrossRef] [PubMed]
- Herrmann, L.; Lesueur, D. Challenges of formulation and quality of biofertilizers for successful inoculation. Appl. Microbiol. Biotechnol. 2013, 97, 8859–8873. [Google Scholar] [CrossRef]
- Subramanian, K.S.; Tenshia, V.; Jayalakshmi, K.; Ramachandran, V. Biochemical changes and zinc fractions in arbuscular mycorrhizal fungus (Glomus intraradices) inoculated and uninoculated soils under differential zinc fertilization. Appl. Soil Ecol. 2009, 43, 32–39. [Google Scholar] [CrossRef]






| Parameters | Unit | Site-I | Site-II | Methodology Followed |
|---|---|---|---|---|
| pH2 | 9.2 | 8.3 | [33] | |
| ECe | dS m−1 | 2.9 | 0.83 | |
| CEC | [cmol (p+) kg−1] | 15.43 | 12.30 | |
| ESP | % | 36 | 17 | [16] |
| OC | 0.39 | 0.48 | [34] | |
| Available N | (kg ha−1) | 141.3 | 184.2 | [35] |
| Available P | 19.4 | 18.9 | [36] | |
| Available K | 291.1 | 276.8 | [37] | |
| DTPA Zn | (mg kg−1) | 2.57 | 1.41 | [38] |
| Water soluble plus exchangeable Zn fraction | 0.07 | 0.12 | [9,10] | |
| Organically complexed Zn fraction | 1.1 | 0.84 | ||
| Amorphous sesquioxide-bound Zn fraction | 3.6 | 2.52 | ||
| Crystalline sesquioxide-bound Zn fraction | 2.36 | 3.79 |
| Treatments/Parameters | Diameter of Zn Solubilization | Zn Solubilization Efficiency a (ZSE) (%) | Zn Solubilization (μg Zn mL−1) | pH | Organic Acid b (mol m3) |
|---|---|---|---|---|---|
| Inoculated broth with Bacillus paramycoides | 14 ± 0.3 | 169 ± 6.1 | 228.4 ± 3.6 a | 5.16 ± 0.0051 a | 33.50 ± 0.5 a |
| Uninoculated broth | - | - | 17.69 ± 0.4 b | 7.16 ± 0.07 b | 13.00 ± 0.5 b |
| Treatments | Site-I | Site-II | ||||||||
|---|---|---|---|---|---|---|---|---|---|---|
| Zn Content in Rice Grain (mg kg−1) | Zn Content in Rice Straw (mg kg−1) | Zn Uptake in Rice Grain (g ha−1) | Zn Uptake in Rice Straw (g ha−1) | Apparent Zn Recovery (%) | Zn Content in Rice Grain (mg kg−1) | Zn Content in Rice Straw (mg kg−1) | Zn Uptake in Rice Grain (g ha−1) | Zn Uptake in Rice Straw (g ha−1) | ||
| No Zinc Sulphate | Control | 4.30 ± 0.13 b | 28.05 ± 4.52 a | 14.00 ± 0.48 b | 117.2 ± 17.12 a | - | 10.01 ± 1.33 a | 40.06 ± 3.60 a | 32.54 ± 4.06 a | 208.1 ± 16.13 a |
| Substrate | 4.51 ± 0.15 b | 29.33 ± 4.02 a | 14.90 ± 0.51 b | 126.8 ± 19.81 a | - | 9.65 ± 0.85 a | 44.97 ± 2.71 a | 32.45 ± 2.91 a | 230.4 ± 15.40 a | |
| Bacillus paramycoides | 4.48 ± 0.16 b | 30.41 ± 4.19 a | 14.80 ± 0.65 b | 130.5 ± 17.03 a | - | 9.83 ± 1.24 a | 45.09 ± 3.91 a | 33.13 ± 4.18 a | 226.9 ± 18.72 a | |
| With Zinc Sulphate | Control | 5.38 ± 0.23 a | 31.51 ± 3.41 a | 18.20 ± 0.99 a | 137.4 ± 15.10 a | 0.49 ± 0.14 a | - | - | - | - |
| Substrate | 5.27 ± 0.22 a | 31.09 ± 3.92 a | 17.89 ± 0.82 a | 140.4 ± 18.23 a | 0.54 ± 0.08 a | - | - | - | - | |
| Bacillus paramycoides | 5.41 ± 0.30 a | 30.92 ± 4.41 a | 18.35 ± 1.02 a | 137.3 ± 18.23 a | 0.49 ± 0.17 a | - | - | - | - | |
| Treatments | At 30 DAT | At 60 DAT | After Harvesting of Rice | ||||||||||
|---|---|---|---|---|---|---|---|---|---|---|---|---|---|
| Water Soluble + Exchangeable Zn | Organically Complexed Zn | Amorphous Sesquioxide-Bound Zn) | Crystalline Sesquioxide-Bound Zn | Water Soluble + Exchangeable Zn | Organically Complexed Zn | Amorphous Sesquioxide-Bound Zn) | Crystalline Sesquioxide-Bound Zn | Water Soluble + Exchangeable Zn | Organically Complexed Zn | Amorphous Sesquioxide-Bound Zn) | Crystalline Sesquioxide-Bound Zn | ||
| Site-I | mg kg−1 | ||||||||||||
| No Zinc Sulphate | Control | 0.20 ± 0.02 b | 1.79 ± 0.10 a | 3.91 ± 0.67 b | 1.57 ± 0.28 b | 0.12 ± 0.01 a | 2.15 ± 0.21 a | 5.73 ± 0.41 a | 1.99 ± 0.27 a | 0.17 ± 0.04 a | 1.64 ± 0.09 a | 4.41 ± 0.13 a | 2.02 ± 0.12 a |
| Substrate | 0.18 ± 0.04 b | 1.80 ± 0.09 a | 3.91 ± 0.76 b | 1.68 ± 0.25 b | 0.13 ± 0.01 a | 2.21 ± 0.21 a | 5.74 ± 0.22 a | 2.05 ± 0.34 a | 0.18 ± 0.04 a | 1.59 ± 0.09 a | 4.29 ± 0.16 a | 2.03 ± 0.13 a | |
| Bacillus paramycoides | 0.17 ± 0.04 b | 1.79 ± 0.10 a | 3.97 ± 0.68 b | 1.65 ± 0.17 b | 0.11 ± 0.01 a | 2.02 ± 0.10 a | 5.91 ± 0.41 a | 2.04 ± 0.23 a | 0.17 ± 0.03 a | 1.70 ± 0.06 a | 4.30 ± 0.08 a | 1.92 ± 0.22 a | |
| With Zinc Sulphate | Control | 0.28 ± 0.02 a | 1.84 ± 0.08 a | 4.76 ± 0.56 a | 2.33 ± 0.15 a | 0.12 ± 0.00 a | 1.87 ± 0.14 a | 5.83 ± 0.57 a | 2.08 ± 0.29 a | 0.21 ± 0.04 a | 1.81 ± 0.07 a | 4.65 ± 0.20 a | 1.94 ± 0.10 a |
| Substrate | 0.31 ± 0.04 a | 1.80 ± 0.09 a | 4.90 ± 0.57 a | 2.21 ± 0.17 a | 0.14 ± 0.02 a | 2.15 ± 0.17 a | 5.65 ± 0.20 a | 2.06 ± 0.30 a | 0.21 ± 0.03 a | 1.71 ± 0.09 a | 4.48 ± 0.21 a | 1.89 ± 0.13 a | |
| Bacillus paramycoides | 0.30 ± 0.02 a | 1.82 ± 0.14 a | 4.91 ± 0.73 a | 2.11 ± 0.06 a | 0.13 ± 0.01 a | 1.92 ± 0.19 a | 5.64 ± 0.65 a | 2.09 ± 0.21 a | 0.20 ± 0.02 a | 1.68 ± 0.06 a | 4.43 ± 0.15 a | 1.94 ± 0.24 a | |
| Site-II | |||||||||||||
| No Zinc Sulphate | Control | 0.13 ± 0.03 a | 1.04 ± 0.03 a | 2.66 ± 0.08 a | 2.94 ± 0.34 a | 0.18 ± 0.01 a | 1.44 ± 0.13 a | 3.34 ± 0.22 a | 2.68 ± 0.42 a | 0.16 ± 0.05 a | 0.78 ± 0.04 a | 2.50 ± 0.09 a | 2.21 ± 0.18 a |
| Substrate | 0.11 ± 0.02 a | 0.98 ± 0.03 a | 2.53 ± 0.19 a | 2.94 ± 0.24 a | 0.18 ± 0.03 a | 1.52 ± 0.17 a | 3.39 ± 0.34 a | 2.56 ± 0.34 a | 0.12 ± 0.03 a | 0.76 ± 0.04 a | 2.50 ± 0.11 a | 2.07 ± 0.08 a | |
| Bacillus paramycoides | 0.14 ± 0.03 a | 0.99 ± 0.04 a | 2.60 ± 0.05 a | 2.55 ± 0.07 a | 0.16 ± 0.02 a | 1.38 ± 0.16 a | 3.13 ± 0.17 a | 2.42 ± 0.38 a | 0.15 ± 0.02 a | 0.77 ± 0.05 a | 2.43 ± 0.10 a | 1.88 ± 0.19 a | |
Disclaimer/Publisher’s Note: The statements, opinions and data contained in all publications are solely those of the individual author(s) and contributor(s) and not of MDPI and/or the editor(s). MDPI and/or the editor(s) disclaim responsibility for any injury to people or property resulting from any ideas, methods, instructions or products referred to in the content. |
© 2024 by the authors. Licensee MDPI, Basel, Switzerland. This article is an open access article distributed under the terms and conditions of the Creative Commons Attribution (CC BY) license (https://creativecommons.org/licenses/by/4.0/).
Share and Cite
Singh, A.; Rai, A.K.; Choudhary, M.; Barman, A.; Fagodiya, R.K.; Yadav, R.K.; Jha, P.K.; Gupta, P.K. Effectiveness of Bacillus paramycoides for Improving Zinc Nutrition of Rice Irrigated with Alkali Water. Soil Syst. 2024, 8, 62. https://doi.org/10.3390/soilsystems8020062
Singh A, Rai AK, Choudhary M, Barman A, Fagodiya RK, Yadav RK, Jha PK, Gupta PK. Effectiveness of Bacillus paramycoides for Improving Zinc Nutrition of Rice Irrigated with Alkali Water. Soil Systems. 2024; 8(2):62. https://doi.org/10.3390/soilsystems8020062
Chicago/Turabian StyleSingh, Awtar, Arvind Kumar Rai, Madhu Choudhary, Arijit Barman, Ram Kishor Fagodiya, Rajender Kumar Yadav, Prakash Kumar Jha, and Pankaj Kumar Gupta. 2024. "Effectiveness of Bacillus paramycoides for Improving Zinc Nutrition of Rice Irrigated with Alkali Water" Soil Systems 8, no. 2: 62. https://doi.org/10.3390/soilsystems8020062
APA StyleSingh, A., Rai, A. K., Choudhary, M., Barman, A., Fagodiya, R. K., Yadav, R. K., Jha, P. K., & Gupta, P. K. (2024). Effectiveness of Bacillus paramycoides for Improving Zinc Nutrition of Rice Irrigated with Alkali Water. Soil Systems, 8(2), 62. https://doi.org/10.3390/soilsystems8020062

