Temporal Changes in Cd Sorption and Plant Bioavailability in Compost-Amended Soils
Abstract
:1. Introduction
2. Materials and Methods
2.1. Soil Sample Collection
2.2. Collection of Composts
2.3. Incubation Experiment
2.4. Pot Trial
2.5. Chemical Analyses
2.6. Statistical Analysis
3. Results
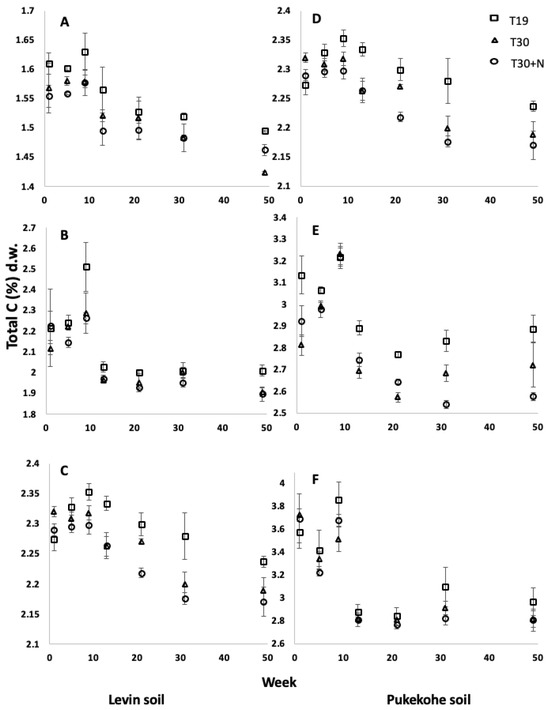
3.1. Changes in Total Carbon Concentration with Time
3.2. Effect of Composts on Extractable Cadmium and Other Elements
3.3. Accumulation of Cd and Other Elements by Potato Grown in Incubated Soils
4. Discussion
5. Conclusions
Supplementary Materials
Author Contributions
Funding
Institutional Review Board Statement
Informed Consent Statement
Data Availability Statement
Acknowledgments
Conflicts of Interest
References
- Bolan, N.S.; Adriano, D.C.; Duraisamy, P.; Mani, A. Immobilization and Phytoavailability of Cadmium in Variable Charge Soils. III. Effect of Biosolid Compost Addition. Plant Soil 2003, 256, 231–241. [Google Scholar] [CrossRef]
- Kabata-Pendias, A.; Mukherjee, A.B. Trace Elements from Soil to Human; Springer Science & Business Media: Berlin/Heidelberg, Germany, 2007; ISBN 9783540327134. [Google Scholar]
- Oosterhuis, F.H.; Brouwer, F.M.; Wijnants, H.J. A Possible EU Wide Charge on Cadmium in Phosphate Fertilisers: Economic and Environmental Implications. IVM Rep. 2000. Available online: https://research.vu.nl/ws/portalfiles/portal/1646586/E-00-02+Cadmiumheffing+rapport.pdf (accessed on 19 November 2023).
- Mar, S.S.; Okazaki, M. Investigation of Cd Contents in Several Phosphate Rocks Used for the Production of Fertilizer. Microchem. J. 2012, 104, 17–21. [Google Scholar] [CrossRef]
- Hooda, P. Trace Elements in Soils; John Wiley & Sons: New York, NY, USA, 2010; ISBN 9781444319484. [Google Scholar]
- Bergen, B.; Verbeeck, M.; Smolders, E. Trace Metal Accumulation in Agricultural Soils from Mineral Phosphate Fertiliser Applications in European Long-term Field Trials. Eur. J. Soil Sci. 2022, 73, 13167. [Google Scholar] [CrossRef]
- Dziubanek, G.; Piekut, A.; Rusin, M.; Baranowska, R.; Hajok, I. Contamination of Food Crops Grown on Soils with Elevated Heavy Metals Content. Ecotoxicol. Environ. Saf. 2015, 118, 183–189. [Google Scholar] [CrossRef] [PubMed]
- Fekete, S.G.; Bersényi, A.; Kádár, I.; Glávits, R.; Koncz, J.; Zöldág, L. Study of Soil-Plant (potato and Beetroot)-Animal Cycle of Nutritive and Hazardous Minerals in a Rabbit Model. Acta Vet. Hung. 2001, 49, 301–310. [Google Scholar] [PubMed]
- Maclean, A.J. Cadmium in different plant species and its availability in soils as influenced by organic matter and additions of lime, P, Cd and Zn. Can. J. Soil Sci. 1976, 56, 129–138. [Google Scholar] [CrossRef]
- McLaughlin, M.J.; Maier, N.A.; Rayment, G.E.; Sparrow, L.A.; Berg, G.; McKay, A.; Milham, P.; Merry, R.H.; Smart, M.K. Cadmium in Australian Potato Tubers and Soils. J. Environ. Qual. 1997, 26, 1644–1649. [Google Scholar] [CrossRef]
- Pérez, A.L.; Anderson, K.A. DGT Estimates Cadmium Accumulation in Wheat and Potato from Phosphate Fertilizer Applications. Sci. Total Environ. 2009, 407, 5096–5103. [Google Scholar] [CrossRef]
- Rai, S.; Gupta, S.; Mittal, P.C. Dietary Intakes and Health Risk of Toxic and Essential Heavy Metals through the Food Chain in Agricultural, Industrial, and Coal Mining Areas of Northern India. Hum. Ecol. Risk Assess. Int. J. 2015, 21, 913–933. [Google Scholar] [CrossRef]
- Weggler-Beaton, K.; McLaughlin, M.J.; Graham, R.D. Salinity Increases Cadmium Uptake by Wheat and Swiss Chard from Soil Amended with Biosolids. Soil Res. 2000, 38, 37–46. [Google Scholar] [CrossRef]
- Christensen, T.H.; Haung, P.M. Solid Phase Cadmium and the Reactions of Aqueous Cadmium with Soil Surfaces. In Cadmium in Soils and Plants; McLaughlin, M.J., Singh, B.R., Eds.; Springer Netherlands: Dordrecht, The Netherlands, 1999; pp. 65–96. ISBN 9789401144735. [Google Scholar]
- Al Mamun, S.; Chanson, G.; Muliadi; Benyas, E.; Aktar, M.; Lehto, N.; McDowell, R.; Cavanagh, J.; Kellermann, L.; Clucas, L.; et al. Municipal Composts Reduce the Transfer of Cd from Soil to Vegetables. Environ. Pollut. 2016, 213, 8–15. [Google Scholar] [CrossRef] [PubMed]
- Simmler, M.; Ciadamidaro, L.; Schulin, R.; Madejón, P.; Reiser, R.; Clucas, L.; Weber, P.; Robinson, B. Lignite Reduces the Solubility and Plant Uptake of Cadmium in Pasturelands. Environ. Sci. Technol. 2013, 47, 4497–4504. [Google Scholar] [CrossRef] [PubMed]
- Nan, Z.; Li, J.; Zhang, J.; Cheng, G. Cadmium and Zinc Interactions and Their Transfer in Soil-Crop System under Actual Field Conditions. Sci. Total Environ. 2002, 285, 187–195. [Google Scholar] [CrossRef] [PubMed]
- Alloway, B.J.; Jackson, A.P.; Morgan, H. The Accumulation of Cadmium by Vegetables Grown on Soils Contaminated from a Variety of Sources. Sci. Total Environ. 1990, 91, 223–236. [Google Scholar] [CrossRef] [PubMed]
- Food Safety Authority, E. Cadmium Dietary Exposure in the European Population. Efsa J. 2012, 10, 2551. [Google Scholar] [CrossRef]
- Kim, N. Cadmium Accumulation in Waikato Soils; Environment Waikato Regional Council: North Island, New Zealand, 2008. [Google Scholar]
- Zheng, N.; Wang, Q.; Zheng, D. Health Risk of Hg, Pb, Cd, Zn, and Cu to the Inhabitants around Huludao Zinc Plant in China via Consumption of Vegetables. Sci. Total Environ. 2007, 383, 81–89. [Google Scholar] [CrossRef] [PubMed]
- Zhuang, P.; McBride, M.B.; Xia, H.; Li, N.; Li, Z. Health Risk from Heavy Metals via Consumption of Food Crops in the Vicinity of Dabaoshan Mine, South China. Sci. Total Environ. 2009, 407, 1551–1561. [Google Scholar] [CrossRef] [PubMed]
- Taylor, M.D.; Percival, H.J. Cadmium in Soil Solutions from a Transect of Soils Away from a Fertiliser Bin. Environ. Pollut. 2001, 113, 35–40. [Google Scholar] [CrossRef]
- Sposito, G.; Page, A.L. Cycling of Metal Ions in the Soil Environment. Met. Ions Biol. Syst. 1984, 18, 287–332. [Google Scholar]
- McLaughlin, M.J.; Palmer, L.T.; Tiller, K.G.; Beech, T.A.; Smart, M.K. Increased Soil Salinity Causes Elevated Cadmium Concentrations in Field-Grown Potato Tubers. J. Environ. Qual. 1994, 23, 1013–1018. [Google Scholar] [CrossRef]
- Loganathan, P.; Hedley, M.J.; Grace, N.D.; Lee, J.; Cronin, S.J.; Bolan, N.S.; Zanders, J.M. Fertiliser Contaminants in New Zealand Grazed Pasture with Special Reference to Cadmium and Fluorine—A Review. Soil Res. 2003, 41, 501. [Google Scholar] [CrossRef]
- McLaughlin, M.J.; Tiller, K.G.; Naidu, R.; Stevens, D.P. The Behaviour and Environmental Impact of Contaminants in Fertilizers. Soil Res. 1996, 34, 1–54. [Google Scholar] [CrossRef]
- Smolders, E.; McLaughlin, M.J. Effect of Cl on Cd Uptake by Swiss Chard in Nutrient Solutions. Plant Soil 1996, 179, 57–64. [Google Scholar] [CrossRef]
- Temminghoff, E.J.M.; Zee, S.E.A.T.M.; Haan, F.A.M. Speciation and Calcium Competition Effects on Cadmium Sorption by Sandy Soil at Various pHs. Eur. J. Soil Sci. 1995, 46, 649–655. [Google Scholar] [CrossRef]
- Ghallab, A.; Usman, A.R.A. Effect of Sodium Chloride-Induced Salinity on Phyto-Availability and Speciation of Cd in Soil Solution. Water Air Soil Pollut. 2007, 185, 43–51. [Google Scholar] [CrossRef]
- Basta, N.T.; Gradwohl, R.; Snethen, K.L.; Schroder, J.L. Chemical Immobilization of Lead, Zinc, and Cadmium in Smelter-Contaminated Soils Using Biosolids and Rock Phosphate. J. Environ. Qual. 2001, 30, 1222–1230. [Google Scholar] [CrossRef] [PubMed]
- Bjerre, G.K.; Schierup, H.-H. Uptake of Six Heavy Metals by Oat as Influenced by Soil Type and Additions of Cadmium, Lead, Zinc and Copper. Plant Soil 1985, 88, 57–69. [Google Scholar] [CrossRef]
- Chen, Z.S.; Lee, G.J.; Liu, J.C. The Effects of Chemical Remediation Treatments on the Extractability and Speciation of Cadmium and Lead in Contaminated Soils. Chemosphere 2000, 41, 235–242. [Google Scholar] [CrossRef]
- Lee, T.-M.; Lai, H.-Y.; Chen, Z.-S. Effect of Chemical Amendments on the Concentration of Cadmium and Lead in Long-Term Contaminated Soils. Chemosphere 2004, 57, 1459–1471. [Google Scholar] [CrossRef]
- Li, Z.; Ryan, J.A.; Chen, J.L.; Al-Abed, S.R. Adsorption of Cadmium on Biosolids-Amended Soils. J. Environ. Qual. 2001, 30, 903–911. [Google Scholar] [CrossRef]
- Vaca-Paulín, R.; Esteller-Alberich, M.V.; Lugo-de la Fuente, J.; Zavaleta-Mancera, H.A. Effect of Sewage Sludge or Compost on the Sorption and Distribution of Copper and Cadmium in Soil. Waste Manag. 2006, 26, 71–81. [Google Scholar] [CrossRef] [PubMed]
- Al Mamun, S.; Lehto, N.J.; Cavanagh, J.; McDowell, R.; Aktar, M.; Benyas, E.; Robinson, B.H. Effects of Lime and Organic Amendments Derived from Varied Source Materials on Cadmium Uptake by Potato. J. Environ. Qual. 2017, 46, 836–844. [Google Scholar] [CrossRef] [PubMed]
- Shuman, L.M.; Dudka, S.; Das, K. Cadmium Forms and Plant Availability in Compost-Amended Soil. Commun. Soil Sci. Plant Anal. 2002, 33, 737–748. [Google Scholar] [CrossRef]
- Tapia, Y.; Cala, V.; Eymar, E.; Frutos, I.; Gárate, A.; Masaguer, A. Chemical Characterization and Evaluation of Composts as Organic Amendments for Immobilizing Cadmium. Bioresour. Technol. 2010, 101, 5437–5443. [Google Scholar] [CrossRef] [PubMed]
- Karaca, A. Effect of Organic Wastes on the Extractability of Cadmium, Copper, Nickel, and Zinc in Soil. Geoderma 2004, 122, 297–303. [Google Scholar] [CrossRef]
- Ouattara, K.; Ouattara, B.; Nyberg, G.; Sédogo, M.P.; Malmer, A. Ploughing Frequency and Compost Application Effects on Soil Infiltrability in a Cotton–maize (Gossypium hirsutum–Zea Mays L.) Rotation System on a Ferric Luvisol and a Ferric Lixisol in Burkina Faso. Soil Tillage Res. 2007, 95, 288–297. [Google Scholar] [CrossRef]
- Horrocks, A.; Curtin, D.; Tregurtha, C.; Meenken, E. Municipal Compost as a Nutrient Source for Organic Crop Production in New Zealand. Agronomy 2016, 6, 35. [Google Scholar] [CrossRef]
- Blakemore, L.C.; Searle, P.L.; Daly, B.K. Methods for Chemical Analysis of Soils; NZ Soil Bureau; Department of Scientific and Industrial Research: Lower Hutt, New Zealand, 1987.
- Black, A.; Mclaren, R.G.; Reichman, S.M.; Speir, T.W.; Condron, L.M. Examining the Integrity of Soil Metal Bioavailability Assays in the Presence of Organic Amendments to Metal-Spiked Soils. Soil Use Manag. 2012, 28, 89–100. [Google Scholar] [CrossRef]
- Gray, C.W.; Mclaren, R.G.; Roberts, A.H.C.; Condron, L.M. Effect of Soil pH on Cadmium Phytoavailability in Some New Zealand Soils. N. Z. J. Crop Hortic. Sci. 1999, 27, 169–179. [Google Scholar] [CrossRef]
- Gray, C.W.; McLaren, R.G.; Roberts, A.H.C.; Condron, L.M. Cadmium Phytoavailability in Some New Zealand Soils. Soil Res. 1999, 37, 461–478. [Google Scholar] [CrossRef]
- Lim, S.-S.; Lee, K.-S.; Lee, S.-I.; Lee, D.-S.; Kwak, J.-H.; Hao, X.; Ro, H.-M.; Choi, W.-J. Carbon Mineralization and Retention of Livestock Manure Composts with Different Substrate Qualities in Three Soils. J. Soils Sediments 2012, 12, 312–322. [Google Scholar] [CrossRef]
- Shah, A.; Lamers, M.; Streck, T. N2O and CO2 Emissions from South German Arable Soil after Amendment of Manures and Composts. Environ. Earth Sci. 2016, 75, 427. [Google Scholar] [CrossRef]
- Kuzyakov, Y.; Friedel, J.K.; Stahr, K. Review of Mechanisms and Quantification of Priming Effects. Soil Biol. Biochem. 2000, 32, 1485–1498. [Google Scholar] [CrossRef]
- Hamer, U.; Potthast, K.; Makeschin, F. Urea Fertilisation Affected Soil Organic Matter Dynamics and Microbial Community Structure in Pasture Soils of Southern Ecuador. Appl. Soil Ecol. 2009, 43, 226–233. [Google Scholar] [CrossRef]
- Leifeld, J.; Siebert, S.; Kögel-Knabner, I. Changes in the Chemical Composition of Soil Organic Matter after Application of Compost. Eur. J. Soil Sci. 2002, 53, 299–309. [Google Scholar] [CrossRef]
- Helling, C.S.; Chesters, G.; Corey, R.B. Contribution of Organic Matter and Clay to Soil Cation-Exchange Capacity as Affected by the pH of the Saturating Solution 1. Soil Sci. Soc. Am. J. 1964, 28, 517–520. [Google Scholar] [CrossRef]
- Harada, Y.; Inoko, A. The Measurement of the Cation-Exchange Capacity of Composts for the Estimation of the Degree of Maturity. Soil Sci. Plant Nutr. 1980, 26, 127–134. [Google Scholar] [CrossRef]
- Muller, J.F. Some Observations on Base Exchange in Organic Materials. Soil Sci. 1933, 35, 229–237. [Google Scholar] [CrossRef]
- Brady, N.C.; Weil, R. Nature and Properties of Soils, the: Pearson New International Edition; Pearson Higher Ed: Hoboken, NJ, USA, 2013. [Google Scholar]
- Bouwman, L.A.; Vangronsveld, J. Rehabilitation of the Nematode Fauna in a Phytostabilized, Heavily Zinc-Contaminated, Sandy Soil. J. Soils Sediments 2004, 4, 17–23. [Google Scholar] [CrossRef]
- Kleber, M.; Sollins, P.; Sutton, R. A Conceptual Model of Organo-Mineral Interactions in Soils: Self-Assembly of Organic Molecular Fragments into Zonal Structures on Mineral Surfaces. Biogeochemistry 2007, 85, 9–24. [Google Scholar] [CrossRef]
- Bissonnais, Y. Aggregate Stability and Assessment of Soil Crustability and Erodibility: I. Theory and Methodology. Eur. J. Soil Sci. 1996, 47, 425–437. [Google Scholar] [CrossRef]
- Watts, C.W.; Dexter, A.R.; Dumitru, E.; Arvidsson, J. An Assessment of the Vulnerability of Soil Structure to Destabilisation during Tillage. Part I. A Laboratory Test. Soil Tillage Res. 1996, 37, 161–174. [Google Scholar] [CrossRef]
- Lavado, R.S.; Porcelli, C.A.; Alvarez, R. Concentration and Distribution of Extractable Elements in a Soil as Affected by Tillage Systems and Fertilization. Sci. Total Environ. 1999, 232, 185–191. [Google Scholar] [CrossRef]
- Baldock, J.A.; Skjemstad, J.O. Role of the Soil Matrix and Minerals in Protecting Natural Organic Materials against Biological Attack. Org. Geochem. 2000, 31, 697–710. [Google Scholar] [CrossRef]
- Deng, Y.; Dixon, J.B. Soil Organic Matter and Organic-Mineral Interactions. In Soil Mineralogy with Environmental Applications; SSSA Book Series; Soil Science Society of America: Madison, WI, USA, 2002; pp. 69–107. ISBN 9780891188919. [Google Scholar]
- Huang, P.-M.; Wang, M.-K.; Chiu, C.-Y. Soil Mineral–organic Matter–microbe Interactions: Impacts on Biogeochemical Processes and Biodiversity in Soils. Pedobiologia 2005, 49, 609–635. [Google Scholar] [CrossRef]
- Gray, C.W.; Yi, Z.; Lehto, N.J.; Robinson, B.H. Effect of Cultivar Type and Soil Properties on Cadmium Concentrations in Potatoes. N. Z. J. 2019, 47, 182–197. [Google Scholar] [CrossRef]
- Yi, Z.; Lehto, N.J.; Robinson, B.H.; Cavanagh, J.-A.E. Environmental and Edaphic Factors Affecting Soil Cadmium Uptake by Spinach, Potatoes, Onion and Wheat. Sci. Total Environ. 2020, 713, 136694. [Google Scholar] [CrossRef]
- Gray, C.W.; McLaren, R.G.; Roberts, A.H.C. Cadmium Leaching from Some New Zealand Pasture Soils. Eur. J. Soil Sci. 2003, 54, 159–166. [Google Scholar] [CrossRef]
- Reiser, R.; Simmler, M.; Portmann, D.; Clucas, L.; Schulin, R.; Robinson, B. Cadmium Concentrations in New Zealand Pastures: Relationships to Soil and Climate Variables. J. Environ. Qual. 2014, 43, 917–925. [Google Scholar] [CrossRef]


| Properties | Municipal Compost (Living Earth Compost) | Sawdust Compost (Parkhouse Compost) | Pukekohe Soil | Levin Soil |
|---|---|---|---|---|
| pH (H2O) | 7.4 | 7.0 | 6.0 | 6.5 |
| CEC (cmolc/kg) | 45 (<1) | 47 (<1) | 22 * | 15 * |
| C (%) | 21 | 21 | 2.1 * | 1.2 * |
| N (%) | 2.3 | 1.6 | 0.23 * | 0.13 |
| P | 4178 (37) | 5159 (227) | 3414 (26) | 2247 (20) |
| S | 2644 (27) | 3610 (70) | 491 (6) | 296 (1) |
| Ca= | 24,903 (588) | 37,416 (1456) | 4147 (117) | 7008 (99) |
| Mg | 4177 (16) | 2186 (34) | 2400 (95) | 2873 (43) |
| K | 14,938 (33) | 5412 (67) | 1951 (59) | 2242 (54) |
| B (mg/kg) | 20 * | <1 | 33 (0) | 9 (0) |
| Cd | 0.70 (0.10) | 0.45 (0.10) | 1.45 (0.03) | 0.47 (0.01) |
| Cu | 59 (1) | 25 (1) | 65 (1) | 20 (0.2) |
| Zn | 310 (11) | 34 (2) | 173 (1) | 67 (1) |
| Cr | 28 (1) | 37 (1) | 40 (2) | 15 (0.3) |
| Ni | 9.3 (1) | 5.2 (0.1) | 25 (1) | 7.4 (0.5) |
| Fe | 12,472 (261) | 8218 (2030) | 44,606 (96) | 22,729 (1527) |
| Al | 9534 (164) | 8126 (147) | 93,008 (476) | 32,412 (1188) |
| Element | Pukekohe Soil | Levin Soil |
|---|---|---|
| Cd | 0.011 (0.003) | 0.008 (0.002) |
| Cu | 0.13 (0.02) | 0.12 (0.01) |
| Zn | 0.38 (0.06) | 0.18 (0.02) |
| Ni | 0.090 (0.012) | 0.014 (0.002) |
| Fe | 0.65 (0.20) | 0.51 (0.04) |
| Al | 0.82 (0.20) | 0.49 (0.04) |
| Soil—Compost Mixture | Treatments (n = 3) |
|---|---|
| Levin soil control (no compost) | T-19, T-30, T-30+N |
| Levin soil + 2.5% municipal compost | T-19, T-30, T-30+N |
| Levin soil + 2.5% sawdust compost | T-19, T-30, T-30+N |
| Pukekohe soil control (no compost) | T-19, T-30, T-30+N |
| Pukekohe soil + 2.5% municipal compost | T-19, T-30, T-30+N |
| Pukekohe soil + 2.5% sawdust compost | T-19, T-30, T-30+N |
| T-19 = Incubated at 19 °C T-30 = Incubated at 30 °C, T-30+N = Incubated at 30 °C with added Urea-N. | |
| Treatments | Freshly-Amended Soil # | Soils Aged for 1 Year | ||
|---|---|---|---|---|
| Parameters | Control | Municipal Compost | Control | Municipal Compost |
| Cd | 0.040 (0.003) A | 0.020 (0.011) B | 0.020 (0.001) B | 0.011 (0.001) C |
| B | 7.40 (0.04) A | 7.33 (0.3) A | 5 (0.5) B | 6 (0.2) B |
| Ca | 419 (65) A | 289 (15) B | 247 (11) B | 357 (40) AB |
| Cu | 6.1 (0.3) | 6.4 (0.4) | 5.7 (0.5) | 5.5 (0.1) |
| Fe | 23 (2) A | 21 (0.2) AB | 19 (1) AB | 18 (1) B |
| K | 20811 (424) A | 21565 (705) A | 21833 (408) A | 20256 (544) B |
| Mg | 1268 (72) B | 1253 (39) B | 1465 (46) A | 1244 (103) B |
| Mn | 6.7 (0.7) A | 6.7 (0.2) A | 6.2 (0.3) A | 4.8 (0.4) B |
| Mo | 0.6 (0.05) B | 1.4 (0.2) A | 0.8 (0.2) B | 1.5 (0.1) A |
| Na | 87 (16) B | 153 (1) A | 75 (8) B | 163 (19) A |
| P | 3356 (179) AB | 3245 (60) B | 3521 (106) A | 3351 (26) AB |
| S | 1248 (71) BC | 1214 (37) B | 1606 (68) A | 1336 (84) BC |
| Zn | 20 (2) | 19 (1) | 17 (0.3) | 16 (0.5) |
| Extractable Cd in soil | 0.011 (0.003) A | 0.002 (0.000) B | <0.001 | <0.001 |
| Total C in soil (%) | 2.29 (0.02) C | 3.0 (0.01) A | 2.0 (0.01) D | 2.4 (0.01) B |
Disclaimer/Publisher’s Note: The statements, opinions and data contained in all publications are solely those of the individual author(s) and contributor(s) and not of MDPI and/or the editor(s). MDPI and/or the editor(s) disclaim responsibility for any injury to people or property resulting from any ideas, methods, instructions or products referred to in the content. |
© 2023 by the authors. Licensee MDPI, Basel, Switzerland. This article is an open access article distributed under the terms and conditions of the Creative Commons Attribution (CC BY) license (https://creativecommons.org/licenses/by/4.0/).
Share and Cite
Al Mamun, S.; Lehto, N.J.; Cavanagh, J.; McDowell, R.; Kellermann, L.; Robinson, B.H. Temporal Changes in Cd Sorption and Plant Bioavailability in Compost-Amended Soils. Soil Syst. 2023, 7, 107. https://doi.org/10.3390/soilsystems7040107
Al Mamun S, Lehto NJ, Cavanagh J, McDowell R, Kellermann L, Robinson BH. Temporal Changes in Cd Sorption and Plant Bioavailability in Compost-Amended Soils. Soil Systems. 2023; 7(4):107. https://doi.org/10.3390/soilsystems7040107
Chicago/Turabian StyleAl Mamun, Shamim, Niklas J. Lehto, Jo Cavanagh, Richard McDowell, Liv Kellermann, and Brett H. Robinson. 2023. "Temporal Changes in Cd Sorption and Plant Bioavailability in Compost-Amended Soils" Soil Systems 7, no. 4: 107. https://doi.org/10.3390/soilsystems7040107
APA StyleAl Mamun, S., Lehto, N. J., Cavanagh, J., McDowell, R., Kellermann, L., & Robinson, B. H. (2023). Temporal Changes in Cd Sorption and Plant Bioavailability in Compost-Amended Soils. Soil Systems, 7(4), 107. https://doi.org/10.3390/soilsystems7040107

