Recovery of Soil Structure and Fine Root Distribution in Compacted Forest Soils
Abstract
:1. Introduction
2. Materials and Methods
2.1. Investigation Sites
2.2. Soil Physical Analysis and Root Counting
2.3. Modelling of Root Densities
2.4. Statistical Analysis
3. Results
3.1. Macropore Volume
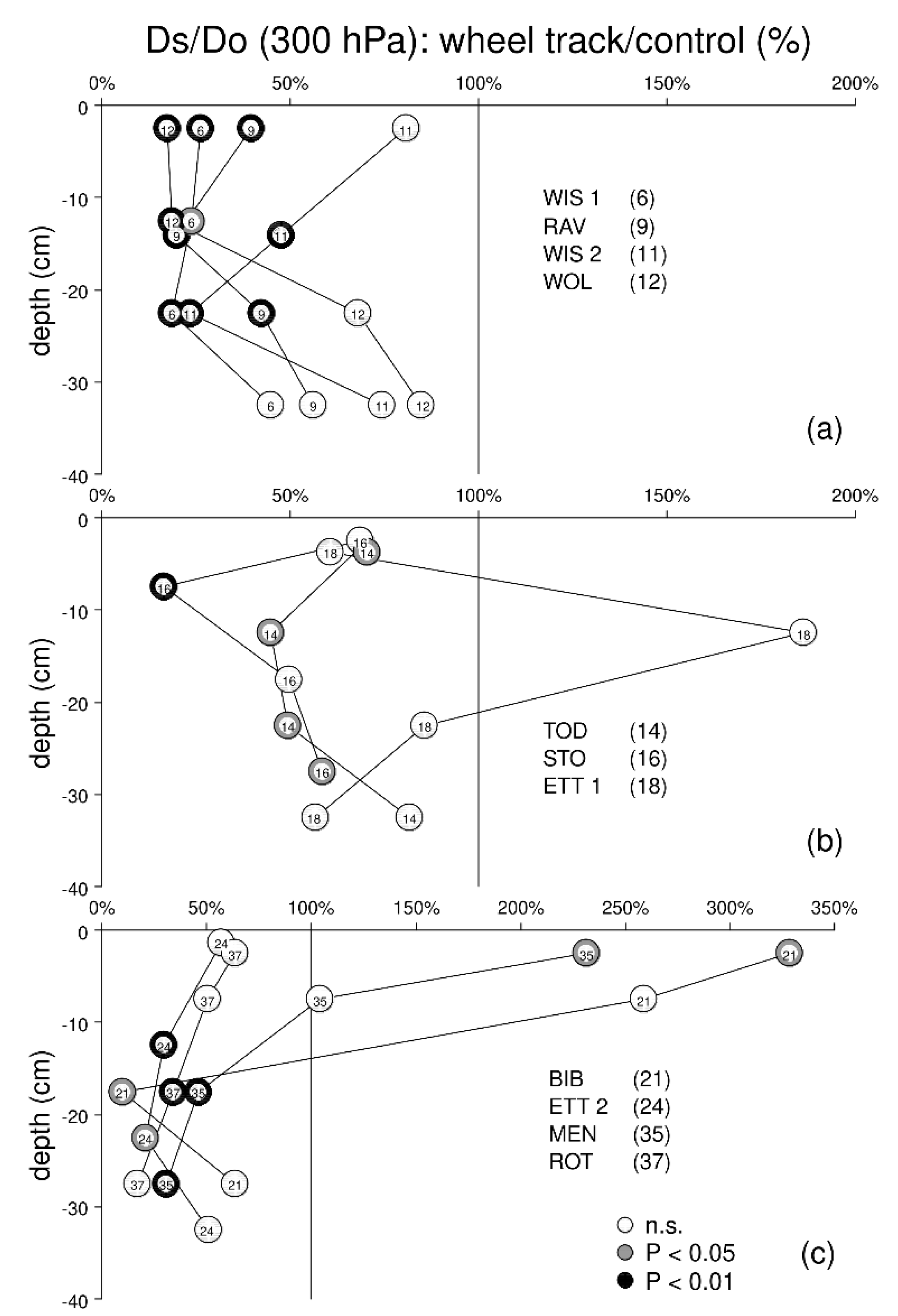
3.2. Diffusive Permeability
3.3. Recovery of Fine Rooting
4. Discussion
4.1. Soil Physical Parameters Indicate Restructuring of the Pore System at the Topsoils
4.2. Recovery of Root Propagation
4.3. Methodological and Statistical Aspects
4.3.1. Space for Time Substitution
4.3.2. Modelling of Fine Root Surfaces
5. Conclusions
Funding
Informed Consent Statement
Data Availability Statement
Conflicts of Interest
Appendix A
| Transect 1 | Transect 1 | |||
|---|---|---|---|---|
| Site | Wheel Track 1 | Wheel Track 2 | Wheel Track 1 | Wheel Track 2 |
| Min–max (cm) | Min–max (cm) | |||
| Ravensburg (RAV) | 118–130 | 282–286 | – | – |
| Weil im Schoenbuch (WIS 2) | 50–54 | 250–258 | 118–122 | 242 |
| Todtmoos (TOD) | 146 | 358–362 | 102–114 | 318 |
| Stockach (STO) | 94–102 | 298–306 | 166 | 346 |
| Biberach (Bib) | – | – | – | – |
| Ettenheim (ETT 2) | – | – | – | – |
| Rottweil (ROT) | 62 | 206–210 | – | – |
References
- Macdonald, P.; Clow, M. What a difference a skidder makes: The role of technology in the origins of the industrialization of tree harvesting systems. Hist. Technol. 2003, 2, 127–149. [Google Scholar] [CrossRef]
- Nordfjell, T.; Öhman, E.; Lindroos, O.; Ager, B. The technical development of forwarders in Sweden between 1962 and 2012 and of sales between 1975 and 2017. Int. J. For. Eng. 2019, 1, 1–13. [Google Scholar] [CrossRef]
- Hamberger, J. Wie Mechanisierung und Umweltvorsorge die Forstwirtschaft Veränderten. LWFaktuell 2003, 39, 33–39. Available online: https://www.lwf.bayern.de/service/publikationen/lwf_aktuell/076550/index.php (accessed on 23 April 2022).
- Schäffer, J.; Buberl, H.; von Wilpert, K. Deformation damages in forest topsoils—An assessment based on Level-I soil monitoring data from Baden-Württemberg (SW Germany). J. Plant Nutr. Soil Sci. 2012, 1, 24–33. [Google Scholar] [CrossRef]
- Gaertig, T.; Ebeling, C.; Riggert, R. Bodenschutz beim Forstmaschineneinsatz. Bodenschutz 2018, 1, 9–15. [Google Scholar] [CrossRef]
- Hatchell, G.E.; Rolston, C.W. Natural recovery of surface soils disturbed in logging. Tree Plant. Notes 1971, 2, 5–9. Available online: https://www.srs.fs.usda.gov/pubs/ja/1971/ja_1971_hatchell_001.pdf (accessed on 23 April 2022).
- Froehlich, H.A.; Miles, D.W.R.; Robbins, R.W. Soil bulk density recovery on compacted skid trails in central Idaho. Soil Sci. Soc. Am. J. 1985, 49, 1015–1017. [Google Scholar] [CrossRef]
- Webb, R.H.; Steiger, J.W.; Wilshire, H.G. Recovery of compacted soils in Mojave Desert ghost towns. Soil Sci. Soc. Am. J. 1986, 5, 1341–1344. [Google Scholar] [CrossRef]
- Labelle, E.R.; Jaeger, D. Soil Compaction Caused by Cut-to-Length Forest Operations and Possible Short-Term Natural Rehabilitation of Soil Density. Soil Sci. Soc. Am. J. 2011, 6, 2314–2329. [Google Scholar] [CrossRef] [Green Version]
- Klaes, B.; Struck, J.; Schneider, R.; Schüler, G. Middle-term effects after timber harvesting with heavy machinery on a fine-textured forest soil. Eur. J. For. Res. 2016, 6, 1083–1095. [Google Scholar] [CrossRef]
- Hildebrand, E.E. Der Einfluss der Bodenverdichtung auf die Bodenfunktionen im Forstlichen Standort. Forstwiss. Cent. 1983, 102, 111–125. Available online: https://www.freidok.uni-freiburg.de/fedora/objects/freidok:5830/datastreams/FILE1/content (accessed on 23 April 2022). [CrossRef] [Green Version]
- Hildebrand, E.E.; Schack-Kirchner, H. The Influence of Compaction on Soil Structure and Functions in Forest Sites. In Modern Trends in Applied Terrestrial Ecology; Ambasht, R.S., Ambasht, N.K., Eds.; Springer Science + Business Media (Springer eBook Collection): Boston, MA, USA, 2002; pp. 1–11. [Google Scholar] [CrossRef]
- Ampoorter, E.; van Nevel, L.; de Vos, B.; Hermy, M.; Verheyen, K. Assessing the effects of initial soil characteristics, machine mass and traffic intensity on forest soil compaction. For. Ecol. Manag. 2010, 10, 1664–1676. [Google Scholar] [CrossRef] [Green Version]
- Von Wilpert, K.; Schäffer, J. Ecological effects of soil compaction and initial recovery dynamics. A preliminary study. Eur. J. For. Res. 2006, 125, 129–138. [Google Scholar] [CrossRef]
- Goutal, N.; Renault, P.; Ranger, J. Forwarder traffic impacted over at least four years soil air composition of two forest soils in northeast France. Geoderma 2013, 193–194, 29–40. [Google Scholar] [CrossRef]
- Schack-Kirchner, H. Struktur und Gashaushalt von Waldböden Ber. Forsch. Waldökosyst. 1994, 112, 145. [Google Scholar]
- Kremer, J. Befahrungsbedingte Strukturveränderungen von Waldböden und ihre Auswirkungen auf das Wachstum von Fichten, Kiefern und Buchen auf ausgewählten Standorten; GCA-Verlag: Herdecke, Germany, 1998; p. 177. [Google Scholar]
- Ebeling, C.; Lang, F.; Gaertig, T. Structural recovery in three selected forest soils after compaction by forest machines in Lower Saxony, Germany. For. Ecol. Manag. 2016, 359, 74–82. [Google Scholar] [CrossRef]
- Food and Agriculture Organization (FAO). Guidelines for Profile Description, 4th ed.; Food and Agriculture Organization (FAO): Rome, Italy, 2006; p. 97. Available online: https://www.ipcinfo.org/fileadmin/user_upload/soils/docs/FAO_guidelines_soil_description__20063.pdf (accessed on 23 April 2022).
- Danielson, R.E.; Sutherland, P.L. Porosity. In Methods of Soil Analysis. Part 1. Physical and Mineralogical Methods, 2nd ed.; Klute, A., Ed.; Agronomy monograph; American Society of Agronomy: Madison, WI, USA, 1986; Volume 9, pp. 443–450. [Google Scholar]
- Hartge, K.H.; Horn, R. Die Physikalische Untersuchung von Böden, 4th ed.; E. Schweizerbart’sche Verlagsbuchhandlung: Stuttgart, Germany, 2009; p. 178. [Google Scholar]
- Frede, H.G. Der Gasaustausch des Bodens; Göttinger Bodenkundliche Ber: Göttingen, Germany, 1986; Volume 87, p. 130. [Google Scholar]
- Kühne, A.; Schack-Kirchner, H.; Hildebrand, E.E. Gas diffusivity in soils compared to ideal isotropic porous media. J. Plant Nutr. Soil Sci. 2012, 1, 34–45. [Google Scholar] [CrossRef]
- Böhm, W. Methods of Studying Root Systems; Ecological Studies 33; Springer: Berlin, Germany, 1979; p. 208. [Google Scholar]
- van Nordwijk, M.; Brouwer, G.; Meijboom, F.; Oliveira, M.; do Rosario, G.; Bengough, A.G. Trench profile techniques and core break methods. In Root methods—A handbook; Springer: Berlin, Germany, 2000; pp. 212–233. [Google Scholar]
- Wood, S.N. Generalized Additive Models: An Introduction with R; Chapman & Hall; CRC: Boca Raton, FL, USA, 2006; p. 391. [Google Scholar]
- Schäffer, J.; von Wilpert, K.; Kublin, E. Analysis of fine rooting below skid trails using linear and generalized additive models. Can. J. For. Res. 2009, 39, 2047–2058. [Google Scholar] [CrossRef]
- R Core Team. R: A Language and Environment for Statistical Computing; R Foundation for Statistical Computing: Vienna, Austria. Available online: https.//www.R-project.org/ (accessed on 10 November 2015).
- Gaertig, T. Bodengashaushalt, Feinwurzeln und Vitalität von Eichen; Freiburger Bodenkundliche Abhandlungen: Freiburg, Germany, 2001; Volume 40, p. 157. [Google Scholar]
- Gaertig, T.; Schack-Kirchner, H.; Hildebrand, E.E.; Wilpert, K.V. The impact of soil aeration on oak decline in southwestern Germany. For. Ecol. Manag. 2002, 159, 15–25. [Google Scholar] [CrossRef]
- Qi, J.; Marshall, J.D.; Mattson, K.G. High soil carbon dioxide concentrations inhibit root respiration of Douglas fir. New Phytol. 1994, 128, 435–442. [Google Scholar] [CrossRef]
- Ampoorter, E.; de Schrijver, A.; de Frenne, P.; Hermy, M.; Verheyen, K. Experimental assessment of ecological restoration options for compacted forest soils. Ecol. Eng. 2011, 11, 1734–1746. [Google Scholar] [CrossRef]
- Benthaus, M.; Matthies, D. Regeneration befahrener Waldböden. Allg. Forst Z. 1993, 9, 448–451. [Google Scholar]
- Schack-Kirchner, H.; Hildebrand, E.E.; von Wilpert, K. Bodensauerstoffhaushalt unter Fahrspuren. Allg. Forst Z. 1993, 3, 118–121. [Google Scholar]
- Eklkofer, E.; Matthies, D. Das Wuchsverhalten eines gepflanzten Fichtenbestandes auf einem vorverdichteten Standort—30 Jahre nach Befahrung. Allg. Forst Z. 1995, 22, 1222–1226. [Google Scholar]
- Capowiez, Y.; Cadoux, S.; Bouchard, P.; Roger-Estrade, J.; Richard, G.; Boizard, H. Experimental evidence of the role of earthworms in compacted soil regeneration based on field observations and results from a semi-field experiment. Soil Biol. Biochem. 2009, 4, 711–717. [Google Scholar] [CrossRef]
- Horn, A.; Murach, D. Vertikale Feinwurzelverteilung und Hinweise auf interspezifische Wurzelkonkurrenz in Eschen/Buchen-Naturverjüngungen. Forstarchiv 2003, 74, 46–52. [Google Scholar]
- Greacen, E.L.; Sands, R. Compaction of forest soils. A review. Soil Res. 2002, 2, 163–189. [Google Scholar] [CrossRef]
- Cambi, M.; Certini, G.; Neri, F.; Marchi, E. The impact of heavy traffic on forest soils: A review. For. Ecol. Manag. 2015, 338, 124–138. [Google Scholar] [CrossRef]
- Pickett, S.T.A. Space-for-Time Substitution as an Alternative to Long-Term Studies. In Long-Term Studies in Ecology; Likens, G.E., Ed.; Springer: New York, NY, USA, 2012; pp. 110–135. [Google Scholar] [CrossRef]
- Vossbrink, J.; Horn, R. Modern forestry vehicles and their impact on soil physical properties. Eur. J. For. Res. 2004, 2, 259–267. [Google Scholar] [CrossRef]
- Horn, R.; Lebert, M. Möglichkeiten und Grenzen der Bodenbearbeitung der physikalischen Bodenrekultivierung in der Forstwirtschaft. Allg. Forst Z. 1992, 47, 998–1004. [Google Scholar]
- Gaertig, T.; Hildebrand, E.E.; Schäffer, J.; von Wilpert, K. Wirkung mechanischer Bodenlockerung auf Bodenbelüftung und Durchwurzelung. Allg. Forst Z. 2000, 55, 1124–1126. [Google Scholar]
- Meyer, C.; Lüscher, P.; Schulin, R. Enhancing the regeneration of compacted forest soils by planting black alder in skid lane tracks. Eur. J. For. Res. 2014, 3, 453–465. [Google Scholar] [CrossRef]
- Flores Fernández, J.L.; Rubin, L.; Hartmann, P.; Puhlmann, H.; von Wilpert, K. Initial recovery of soil structure of a compacted forest soil can be enhanced by technical treatments and planting. For. Ecol. Manag. 2018, 431, 54–62. [Google Scholar] [CrossRef]
- EU-COM. EU Soil Strategy for 2030—Reaping the Benefits of Healthy Soils for People, Food, Nature and Climate. 2021. Available online: https://eur-lex.europa.eu/legal-content/EN/TXT/?uri=CELEX%3A52021DC0699 (accessed on 23 April 2022).




p < 0.01,
p < 0.05, and ◯ = not significant).
p < 0.01,
p < 0.05, and ◯ = not significant).
p < 0.01,
p < 0.05, and ◯ = not significant).
p < 0.01,
p < 0.05, and ◯ = not significant).



| Site | Soil Type Texture Stone Content | Forest Operation (Species Composition; Age) | Harvesting and Skidding Equipment(Total Mass in Mg) | Time Since Vehicle Movement |
|---|---|---|---|---|
| Weil im Schoenbuch WIS 1 (6) | Luvisol | Thinning | Timberjack 1270 & Ponse HS 10 (~15 Mg, 600 mm tyres), | |
| SiL | (spruce a with beech b | Valmet Forwarder (>15 Mg incl. load, 500 mm tyres) | 6 | |
| F | and larch c; 35–40) | |||
| RavensburgRAV (9) | Stagnosol | Thinning | Manually | |
| SiL (SiCL) | (spruce a; 120) | MB-Track, Timberjack (>15 Mg) | 9 | |
| C | ||||
| Weil im Schoenbuch WIS 2 (11) | Luvisol | Thinning | Manually | |
| SiL | (ash d with sycamore e | Small sized Fendt truck (~ 8 Mg incl. load) | 11 | |
| F | and beech b; 125) | |||
| Wolfegg WOL (12) | Luvisol | Thinning | FMG 746/250 ÖSA Super Eva (14 Mg, 600 mm tyres) | |
| SL | (spruce a; 50–55) | FMG 678 Mini-Bruunett (~16 Mg incl. load, 600 mm tyres) | 12 | |
| C | ||||
| Todtmoos TOD (14) | Cambisol | Thinning | FMG 746/250 ÖSA Super Eva (14 Mg, 600 mm tyres) | |
| SL | (beech b, spruce a, | FMG 678 Mini-Bruunett (~16 Mg incl. load, 500 mm tyres) | 14 | |
| M | and fir f; 5–70) | |||
| Stockach STO (16) | Luvisol | Thinning | ÖSA 250 Eva (12.6 Mg, 600 mm tyres) | |
| SL | (spruce a; 56) | FMG 678 Mini-Bruunett (~16 Mg incl. load, 500 mm tyres) | 16 | |
| F | ||||
| Ettenheim ETT 1 (18) | Luvisol | Stripwise clearcut | Manually | |
| SL | (beech b with oak g, | Welte Ökonom/Unimog U90 (~10 Mg, 300 to 500 mm tyres) | 18 | |
| F | spruce, and pine h ;18) | |||
| Biberach BIB (21) | Stagnic Luvisol | Stripwise clearcut | Manually | |
| SiL (L) | (spruce a, pole-sized | Unimog U90 (~10 Mg) | 21 | |
| C | stand; 21) | |||
| Ettenheim ETT (24) | Luvisol | Stripwise clearcut | Manually | |
| SL | (beech b with oak g) | Welte Ökonom/Unimog U90 (~10 Mg) | 24 | |
| F | spruce, and pine h; 18) | |||
| Mengen MEN (35) | Stagn. Luvisol | Clear cut | Manually | |
| SiL (SiCL) | (spruce a pole-sized | Welte “Forstmann” and small agricultural trucks (~8 Mg) | 35 | |
| C | stand; 35) | |||
| Rottweil ROT (37) | Luvisol | Clear cut | Manually | |
| L (CL) | (silver fir f, spruce a, | “Eicher Königstiger” (~5 Mg) | 37 | |
| C (M) | and beech b; 37) | |||
| Texture class L: Loam SiL: Silt loam SL: Sandy loam SiCL: Silty clay loam | Coarse fraction content (Ø > 2 mm): F: Very few (2–5 vol%) C: Common (5–15 vol%) M: Many (15–40 vol%) | Tree species: a Norway spruce (Picea abies (L.) Karst.) b European beech (Fagus sylvatica L.) c European larch (Larix decidua Mill.) d European ash (Fraxinus excelsior L.) e Sycamore (Acer pseudoplatanus L.) f Silver fir (Abies álba Mill.) g Sessile oak (Quercus petraea Liebl.) h Scots pine (Pinus sylvestris L.) | ||
| Texture and coarse fraction classified according to FAO guideline for soil description [19] | ||||
Publisher’s Note: MDPI stays neutral with regard to jurisdictional claims in published maps and institutional affiliations. |
© 2022 by the author. Licensee MDPI, Basel, Switzerland. This article is an open access article distributed under the terms and conditions of the Creative Commons Attribution (CC BY) license (https://creativecommons.org/licenses/by/4.0/).
Share and Cite
Schäffer, J. Recovery of Soil Structure and Fine Root Distribution in Compacted Forest Soils. Soil Syst. 2022, 6, 49. https://doi.org/10.3390/soilsystems6020049
Schäffer J. Recovery of Soil Structure and Fine Root Distribution in Compacted Forest Soils. Soil Systems. 2022; 6(2):49. https://doi.org/10.3390/soilsystems6020049
Chicago/Turabian StyleSchäffer, Jürgen. 2022. "Recovery of Soil Structure and Fine Root Distribution in Compacted Forest Soils" Soil Systems 6, no. 2: 49. https://doi.org/10.3390/soilsystems6020049
APA StyleSchäffer, J. (2022). Recovery of Soil Structure and Fine Root Distribution in Compacted Forest Soils. Soil Systems, 6(2), 49. https://doi.org/10.3390/soilsystems6020049
