Low pH of a High Carbon Gleysol Contributes to Nitrification Inhibition Resulting in Low N2O Soil Emissions and Limited Effectiveness of Nitrification Inhibitors
Abstract
1. Introduction
2. Materials and Methods
2.1. Nitrogen Dose Experiment (2012–2013 Rice Season)
2.2. Seasonal N2O Emissions from Acidic Gleysol Soil Following Application of N Fertiliser with and without the Nitrification Inhibitor DMPP (2013–2014 Rice Season)
2.3. Soil N2O Fluxes
2.4. Effect of Liming on Nitrification (Incubation Study)
2.5. Statistical Analyses and Data Presentation
3. Results
3.1. Response of Aerobic Rice to N Fertiliser in 2012–2013 Season
3.2. Seasonal N2O Emissions in the 2013–2014 Season Following Nitrogen Fertiliser with and without the Nitrification Inhibitor DMPP
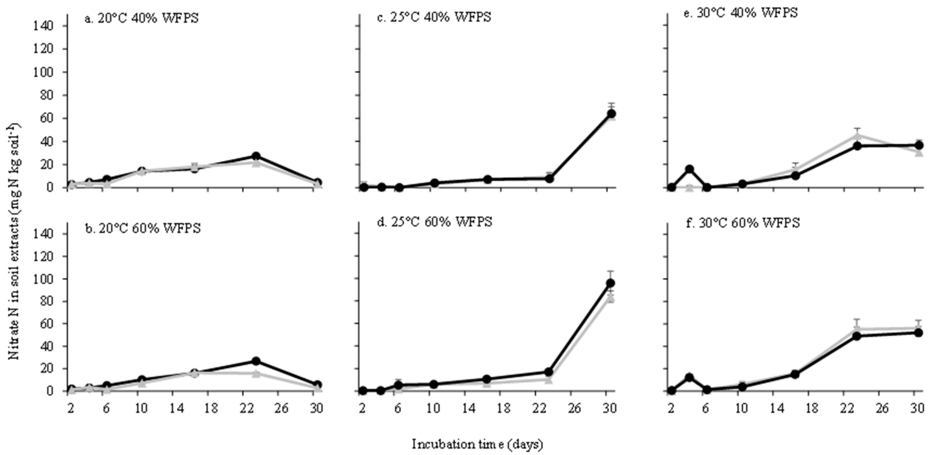
3.3. Effect of Soil Moisture and Temperature on Mineral N Transformations in the Gleysol
3.4. Effect of Liming on Mineral N Transformations and pH in the Peat Soil
4. Discussion
5. Conclusions
Author Contributions
Funding
Conflicts of Interest
References
- FAO. World Fertilizer Trends and Outlook to 2020; Food and Agriculture Organization of the United Nations: Rome, Italy, 2017. [Google Scholar]
- Heffer, P.; Prud’homme, M. Global nitrogen fertiliser demand and supply: Trend, current level and outlook. In Proceedings of the International Nitrogen Initiative Conference 2016, Melbourne, Australia, 4–8 December 2016. [Google Scholar]
- Griffis, T.J.; Chen, Z.; Baker, J.M.; Wood, J.D.; Millet, D.B.; Lee, X.; Venterea, R.T.; Turner, P.A. Nitrous oxide emissions are enhanced in a warmer and wetter world. Proc. Natl. Acad. Sci. USA 2017, 114, 12081–12085. [Google Scholar] [CrossRef] [PubMed]
- Tian, H.; Yang, J.; Xu, R.; Lu, C.; Canadell, J.G.; Davidson, E.A.; Jackson, R.B.; Arneth, A.; Chang, J.; Cais, P.; et al. Global soil nitrous oxide emissions since the preindustrial era estimated by an ensemble of terrestrial biosphere models: Magnitude, attribution, and uncertainty. Glob. Chang. Biol. 2019, 25, 640–659. [Google Scholar] [CrossRef] [PubMed]
- Leifeld, J.; Menichetti, L. The underappreciated potential of peatlands in global climate change mitigation strategies. Nat. Commun. 2018, 9, 1071. [Google Scholar] [CrossRef] [PubMed]
- Kasimir-Klemedtsson, A.; Klemedtsson, L.; Berlund, K.; Martikainen, P.; Silvola, J.; Oenema, O. Greenhouse gas emissions from farmed organic soils: A review. Soil Use Manag. 1997, 13, 245–250. [Google Scholar] [CrossRef]
- Couwenberg, J.; Dommain, R.; Joosten, H. Greenhouse gas fluxes from tropical peatlands in south-east Asia. Glob. Chang. Biol. 2010, 16, 1715–1732. [Google Scholar] [CrossRef]
- IUSS Working Group WRB. World Reference Base for Soil Resources 2014. In International Soil Classification System for Naming Soils and Creating Legends for Soil Maps, 3rd ed.; FAO: Rome, Italy, 2014. [Google Scholar]
- Isbell, R.F. The Australian Soil Classification; CSIRO Publishing: Melbourne, Australia, 1996. [Google Scholar]
- Denmead, O.T.; Macdonald, B.C.T.; Bryant, G.; Naylor, T.; Wilson, S.; Griffith, D.W.T.; Wang, W.J.; Salter, B.; White, I.; Moody, P.W. Emissions of methane and nitrous oxide from Australian sugarcane soils. Agric. For. Meteorol. 2010, 150, 748–756. [Google Scholar] [CrossRef]
- Wang, W.J.; Reeves, S.H.; Salter, B.; Moody, P.W.; Dalal, R.C. Effects of urea formulations, application rates and crop residue retention on N2O emissions from sugarcane fields in Australia. Agric. Ecosyst. Environ. 2016, 216, 137–146. [Google Scholar] [CrossRef]
- Rose, T.J.; Quin, P.; Morris, S.G.; Kearney, L.J.; Kimber, S.; Rose, M.T.; Van Zwieten, L. No evidence for higher agronomic N use efficiency or lower nitrous oxide emissions from enhanced efficiency fertilisers in aerobic subtropical rice. Field Crop Res. 2018, 225, 47–54. [Google Scholar] [CrossRef]
- Rayment, G.E.; Lyons, D.J. Australian Laboratory Handbook of Soil and Water Chemical Methods; Inkata Press: Port Melbourne, Australia, 2011. [Google Scholar]
- Van Zwieten, L.; Kimber, S.; Morris, S.; Downie, A.; Berger, E.; Rust, J.; Scheer, C. Influence of biochars on flux of N2O and CO2 from Ferrosol. Soil Res. 2010, 48, 555–568. [Google Scholar] [CrossRef]
- Lenth, R.V. Least-Squares Means: The R Package lsmeans. J. Stat. Softw. 2016, 69, 1–33. [Google Scholar] [CrossRef]
- R Core Team. R: A Language and Environment for Statistical Computing; R Foundation for Statistical Computing: Vienna, Austria, 2018; Available online: https://www.R-project.org/ (accessed on 20 November 2019).
- Ekstrøm, C.T. MESS: Miscellaneous Esoteric Statistical Scripts. R Package Version 0.5.5. Available online: https://CRAN.R-project.org/package=MESS (accessed on 20 November 2019).
- Rose, T.J.; Morris, S.G.; Quin, P.; Kearney, L.J.; Kimber, S.; Van Zwieten, L. The nitrification inhibitor DMPP applied to subtropical rice has an inconsistent effect on nitrous oxide emissions. Soil Res. 2017, 55, 547–552. [Google Scholar] [CrossRef]
- Weitz, A.M.; Linder, W.; Frolking, S.; Crill, P.M.; Keller, M. N2O emissions from humid tropical agricultural soils: Effects of soil moisture, texture and nitrogen availability. Soil Biol. Biochem. 2001, 33, 1077–1093. [Google Scholar] [CrossRef]
- Senbayram, M.; Chen, R.; Budai, A.; Bakken, L.; Dittert, K. N2O emission and the N2O/(N2O + N2) product ratio of denitrification as controlled by available carbon substrates and nitrate concentrations. Agric. Ecosyst. Environ. 2012, 147, 4–12. [Google Scholar] [CrossRef]
- Del Grosso, S.J.; Parton, W.J.; Mosier, A.R.; Ojima, D.S.; Kulmala, A.E.; Phongpan, S. General model for N2O and N2 gas emissions from soils due to denitrification. Glob. Biogeochem. Cycles 2000, 14, 1045–1060. [Google Scholar] [CrossRef]
- Liu, B.; Mørkved, P.T.; Frostegård, A.; Bakken, L.R. Denitrification gene pools, transcription and kinetics of NO, N2O and N2 production as affected by soil pH. FEMS Microbiol. Ecol. 2010, 72, 407–417. [Google Scholar] [CrossRef]
- Sasakawa, H.; Yamamoto, Y. Comparison of the uptake of nitrate and ammonium by rice seedlings. Influences of light, temperature, oxygen concentration, exogenous sucrose, and metabolic inhibitors. Plant Physiol. 1978, 62, 665–669. [Google Scholar] [CrossRef]
- Chen, D.; Suter, H.C.; Islam, A.; Edis, R. Influence of nitrification inhibitors on nitrification and nitrous oxide (N2O) emission from a clay loam soil fertilized with urea. Soil Biol. Biochem. 2010, 42, 660–664. [Google Scholar] [CrossRef]
- De Boer, W.; Kowalchuk, G.A. Nitrification in acid soils: Micro-organisms and mechanisms. Soil Biol. Biochem. 2001, 33, 853–866. [Google Scholar] [CrossRef]
- Li, Y.; Chapman, S.J.; Nicol, G.W.; Yao, H. Nitrification and nitrifiers in acidic soils. Soil Biol. Biochem. 2018, 116, 290–301. [Google Scholar] [CrossRef]
- Janke, C.K.; Fujinuma, R.; Moody, P.; Bell, M.J. Biochemical effects of banding limit the benefits of nitrification inhibition and controlled-release technology in the fertosphere of high N-input systems. Soil Res. 2019, 57, 28–40. [Google Scholar] [CrossRef]
- Gilsanz, C.; Bàez, D.; Misselbrook, T.H.; Dhanoa, M.S.; Cárdnas, L.M. Development of emission factors and efficiency of two nitrification inhibitors, DCD and DMPP. Agric. Ecosyst. Environ. 2016, 216, 1–8. [Google Scholar] [CrossRef]
- Yamulki, S.; Harrison, R.M.; Goulding, K.W.T.; Webster, C.P. N2O, NO and NO2 fluxes from a grassland: Effect of soil pH. Soil Biol. Biochem. 1997, 29, 1199–1208. [Google Scholar] [CrossRef]
- Rose, T.J. Polymer-coated urea delays growth and accumulation of key nutrients in aerobic rice but does not affect gran mineral concentrations. Agronomy 2016, 6, 9. [Google Scholar] [CrossRef]






| Soil Depth (mm) | ||||
|---|---|---|---|---|
| Property | 0–100 | 100–300 | 300–600 | 600–900 |
| Basic texture | Loam | Loam | Clay Loam | Clay |
| Total carbon (%) | 6.78 | 7.40 | 4.48 | 2.06 |
| Total nitrogen (%) | 0.60 | 0.67 | 0.42 | 0.16 |
| pH (1:5 water) | 4.76 | 4.8 | 5.09 | 5.08 |
| EC (dS m−1) | 0.27 | 0.12 | 0.10 | 0.10 |
| Bray 1 P (mg kg−1) | 10.4 | 6.3 | 12.1 | 9.9 |
| Total acid extractable sulfur (mg kg−1) | 61.6 | 64.1 | 71.3 | 110 |
| Cation exchange capacity (cmol+ kg−1) | 15.5 | 13.9 | 15.9 | 15.8 |
| Base cations (%) | ||||
| Calcium | 38.8 | 31.3 | 38.2 | 38.8 |
| Magnesium | 21.5 | 19.0 | 32.3 | 38.6 |
| Potassium | 3.8 | 1.3 | 0.8 | 0.7 |
| Sodium | 3.6 | 2.3 | 2.5 | 2.2 |
| Aluminium | 28.3 | 43.2 | 24.2 | 16.1 |
| DPTA-extractable micronutrients | ||||
| Zinc (mg kg−1) | 61 | 55 | 39 | 22 |
| Manganese (mg kg−1) | 111 | 55 | 34 | 33 |
| Iron (mg kg−1) | 17344 | 18854 | 15634 | 20744 |
| Copper (mg kg−1) | 26 | 23 | 20 | 15 |
| Crop Management | 2012–2013 | 2013–2014 | |
|---|---|---|---|
| Previous crop | Sugarcane | Rice | |
| Land preparation | |||
| Discing | 22 November 2012 | 15 January 2014 | |
| Power harrowing | 2 December 2012 | 23 January 2014 | |
| Rice sown | |||
| Date | 3 December 2012 | 24 January 2014 | |
| Cultivar | Tachiminori | Langi | |
| Seeding rate | 120 kg ha−1 | 120 kg ha−1 | |
| Row spacing | 200 mm | 200 mm | |
| Fertiliser applied | |||
| Broadcast nitrogen | 8 January 2013 | 25 February 2014 | |
| Herbicides | |||
| 480 g L−1 Clomazone at 600 mL ha−1 | 3 December 2012 | 24 January 2014 | |
| 480 g L−1 Propanil at 8 L ha−1 | 12 February 2014 | ||
| Harvest | 24 April 2013 | 15 May 2014 |
Publisher’s Note: MDPI stays neutral with regard to jurisdictional claims in published maps and institutional affiliations. |
© 2020 by the authors. Licensee MDPI, Basel, Switzerland. This article is an open access article distributed under the terms and conditions of the Creative Commons Attribution (CC BY) license (http://creativecommons.org/licenses/by/4.0/).
Share and Cite
Rose, T.J.; Kearney, L.J.; Van Zwieten, L.; Rose, M.T. Low pH of a High Carbon Gleysol Contributes to Nitrification Inhibition Resulting in Low N2O Soil Emissions and Limited Effectiveness of Nitrification Inhibitors. Soil Syst. 2020, 4, 75. https://doi.org/10.3390/soilsystems4040075
Rose TJ, Kearney LJ, Van Zwieten L, Rose MT. Low pH of a High Carbon Gleysol Contributes to Nitrification Inhibition Resulting in Low N2O Soil Emissions and Limited Effectiveness of Nitrification Inhibitors. Soil Systems. 2020; 4(4):75. https://doi.org/10.3390/soilsystems4040075
Chicago/Turabian StyleRose, Terry J., Lee J. Kearney, Lukas Van Zwieten, and Michael T. Rose. 2020. "Low pH of a High Carbon Gleysol Contributes to Nitrification Inhibition Resulting in Low N2O Soil Emissions and Limited Effectiveness of Nitrification Inhibitors" Soil Systems 4, no. 4: 75. https://doi.org/10.3390/soilsystems4040075
APA StyleRose, T. J., Kearney, L. J., Van Zwieten, L., & Rose, M. T. (2020). Low pH of a High Carbon Gleysol Contributes to Nitrification Inhibition Resulting in Low N2O Soil Emissions and Limited Effectiveness of Nitrification Inhibitors. Soil Systems, 4(4), 75. https://doi.org/10.3390/soilsystems4040075

