Release and Biomethylation of Antimony in Shooting Range Soils upon Flooding
Abstract
1. Introduction
2. Materials and Methods
2.1. Reagents
2.2. Field Sites and Sampling
2.3. Microwave-Assisted Digestion for Total Concentrations
2.4. Soil Extractions for Methylated Sb Species
2.5. Incubation Experiments
2.6. Soil Characterization
2.7. Analysis
3. Results and Discussion
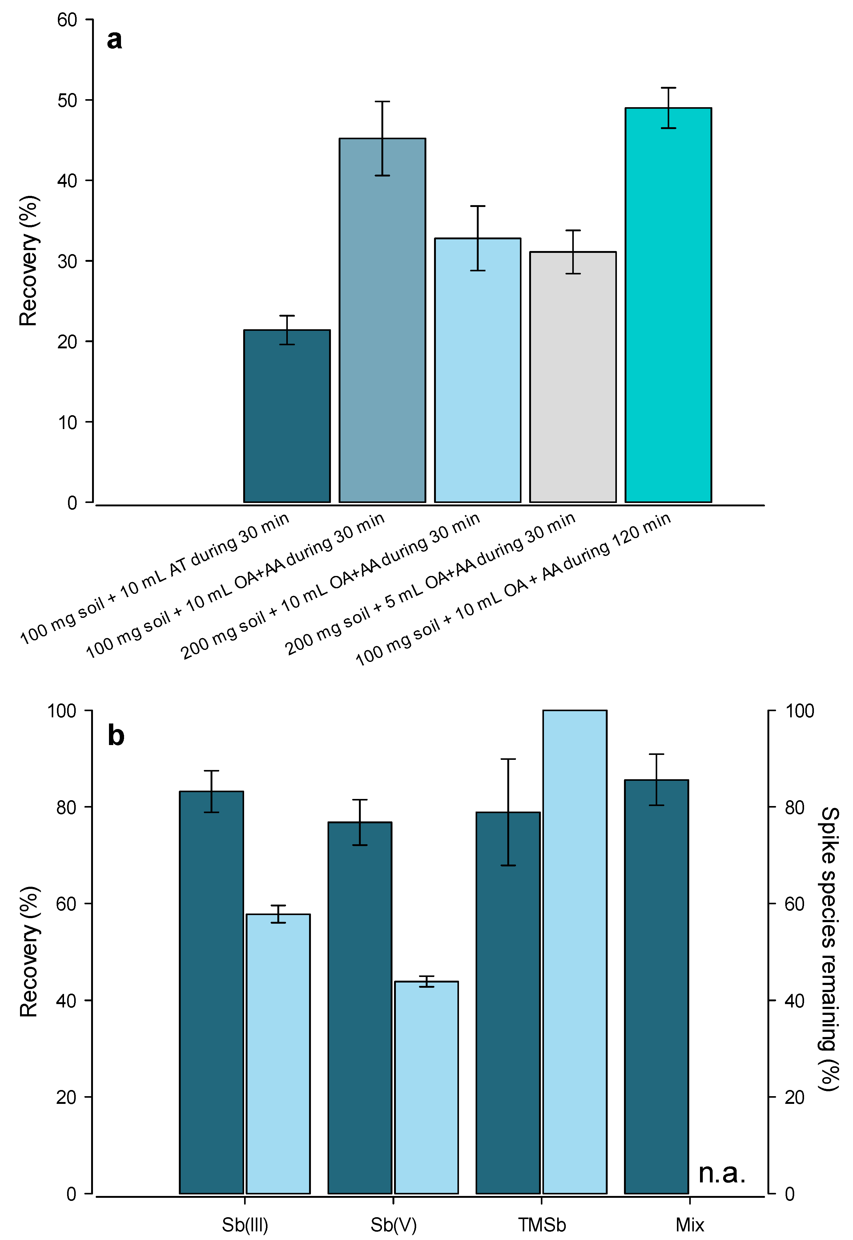
3.1. TMSb Extraction Method Validation
3.2. Total Sb Concentrations in the Shooting Range Soils
3.3. TMSb in Shooting Range Soils
3.4. Sb Mobility under Flooded Conditions
3.5. TMSb Formation under Flooded Conditions
4. Conclusions
Supplementary Materials
Author Contributions
Acknowledgments
Conflicts of Interest
References
- European Communities. Richtlinie 98/83/EG des Rates vom 3. November 1998 Über die Qualität von Wasser für den Menschlichen Gebrauch. 1998. Available online: http://eur-lex.europa.eu/LexUriServ/LexUriServ.do?uri=OJ:L:1998:330:0032:0054:de:PDF (accessed on 22 February 2016).
- United States Environmental Protection Agency. Ambient Water Quality Criteria Document for Antimony; Prepared by the Office of Health and Environmental Assessment, Environmental Criteria and Assessment Office Cincinnati, OH for the Office of Air Quality Planning and Standards; EPA 440/5-80-020; EPA: Washington, DC, USA, 1980.
- USGS. Mineral Commodity Summaries 2012. Available online: http://minerals.usgs.gov/minerals/pubs/mcs/2012/mcs2012.pdf (accessed on 22 February 2016).
- Ackermann, S.; Gieré, R.; Newville, M.; Majzlan, J. Antimony Sinks in the Weathering Crust of Bullets from Swiss Shooting Ranges. Sci. Total Environ. 2009, 407, 1669–1682. [Google Scholar] [CrossRef] [PubMed]
- Yang, H.; He, M. Adsorption of Methylantimony and Methylarsenic on Soils, Sediments, and Mine Tailings from Antimony Mine Area. Microchem. J. 2015, 123, 158–163. [Google Scholar] [CrossRef]
- Cidu, R.; Biddau, R.; Dore, E.; Vacca, A.; Marini, L. Antimony in the Soil–Water–Plant System at the Su Suergiu Abandoned Mine (Sardinia, Italy): Strategies to Mitigate Contamination. Sci. Total Environ. 2014, 497–498, 319–331. [Google Scholar] [CrossRef] [PubMed]
- Macgregor, K.; MacKinnon, G.; Farmer, J.G.; Graham, M.C. Mobility of Antimony, Arsenic and Lead at a Former Mine, Glendinning, Scotland. Sci. Total Environ. 2015, 529, 213–222. [Google Scholar] [CrossRef] [PubMed]
- Okkenhaug, G.; Zhu, Y.G.; Luo, L.; Lei, M.; Li, X.; Mulder, J. Distribution, Speciation and Availability of Antimony (Sb) in Soils and Terrestrial Plants from an Active Sb Mining Area. Environ. Pollut. 2011, 159, 2427–2434. [Google Scholar] [CrossRef] [PubMed]
- Okkenhaug, G.; Zhu, Y.; He, J.; Li, X.; Luo, L.; Mulder, J. Antimony (Sb) and Arsenic (As) in Sb Mining Impacted Paddy Soil from Xikuangshan, China: Differences in Mechanisms Controlling Soil Sequestration and Uptake in Rice. Environ. Sci. Technol. 2012, 46, 3155–3162. [Google Scholar] [CrossRef] [PubMed]
- Hammel, W.; Debus, R.; Steubing, L. Mobility of Antimony in Soil and its Availability to Plants. Chemosphere 2000, 41, 1791–1798. [Google Scholar] [CrossRef]
- Mariussen, E.; Johnsen, I.V.; Stromseng, A.E. Application of sorbents in different soil types from small arms shooting ranges for immobilization of lead (Pb), copper (Cu), zinc (Zn), and antimony (Sb). J. Soils Sediments 2018, 18, 1558–1568. [Google Scholar] [CrossRef]
- Okkenhaug, G.; Gebhardt, K.G.; Amstaetter, K.; Bue, H.L.; Herzel, H.; Mariussen, E.; Almas, A.R.; Cornelissen, G.; Breedveld, G.D.; Rasmussen, G.; et al. Antimony (Sb) and lead (Pb) in contaminated shooting range soils: Sb and Pb mobility and immobilization by iron based sorbents, a field study. J. Hazard. Mater. 2016, 307, 336–343. [Google Scholar] [CrossRef] [PubMed]
- Filella, M.; Belzile, N.; Chen, Y.W. Antimony in the Environment: A Review Focused on Natural Waters. II. Relevant Solution Chemistry. Earth Sci. Rev. 2002, 59, 265–285. [Google Scholar] [CrossRef]
- Guo, W.; Fu, Z.; Wang, H.; Song, F.; Wu, F.; Giesy, J.P. Environmental Geochemical and Spatial/Temporal Behavior of Total and Speciation of Antimony in Typical Contaminated Aquatic Environment from Xikuangshan, China. Microchem. J. 2018, 137, 181–189. [Google Scholar] [CrossRef]
- Leuz, A.-K.; Mönch, H.; Johnson, C.A. Sorption of Sb(III) and Sb(V) to Goethite: Influence on Sb(III) Oxidation and Mobilization. Environ. Sci. Technol. 2006, 40, 7277–7282. [Google Scholar] [CrossRef] [PubMed]
- Blay, K. Sorption Wässeriger Antimon-Spezies an Bodenbildende Festphasen und Remobilisierung Durch Natürliche Komplexbildner. Ph.D. Thesis, Technische Universität München, Munich, Germany, 1999. [Google Scholar]
- Rakshit, S.; Sarkar, D.; Punamiya, P.; Datta, R. Antimony Sorption at Gibbsite–Water Interface. Chemosphere 2011, 84, 480–483. [Google Scholar] [CrossRef] [PubMed]
- Tighe, M.; Lockwood, P.; Wilson, S. Adsorption of Antimony(V) by Floodplain Soils, Amorphous Iron(III) Hydroxide and Humic Acid. J. Environ. Monit. 2005, 7, 1177–1185. [Google Scholar] [CrossRef] [PubMed]
- Blume, H.-P.; Brümmer, G.W. Scheffer/Schachtschabel: Lehrbuch der Bodenkunde, 16th ed.; Spektrum Akademischer Verlag: Heidelberg, Germany, 2009; ISBN 978-3-8274-1444-1. [Google Scholar]
- Wilson, S.C.; Lockwood, P.V.; Ashley, P.M.; Thige, M. The Chemistry and Behaviour of Antimony in the Soil Environment with Comparisons to Arsenic: A Critical Review. Environ. Pollut. 2010, 158, 1169–1181. [Google Scholar] [CrossRef] [PubMed]
- Mitsunobu, S.; Harada, T.; Takahashi, Y. Comparison of Antimony Behavior with that of Arsenic under Various Soil Redox Conditions. Environ. Sci. Technol. 2006, 40, 7270–7276. [Google Scholar] [CrossRef] [PubMed]
- Hockmann, K.; Schulin, R. Leaching of Antimony from Contaminated Soils. In Competitive Sorption and Transport of Heavy Metals in Soils and Geological Media, 1st ed.; Magdi Selim, H., Ed.; CRC Press: Boca Raton, FL, USA, 2013; pp. 119–145. ISBN 9781138073395. [Google Scholar]
- Heier, L.S.; Meland, S.; Ljønes, M.; Salbu, B.; Strømseng, A.E. Short-term Temporal Variations in Speciation of Pb, Cu, Zn and Sb in a Shooting Range Runoff Stream. Sci. Total Environ. 2010, 408, 2409–2417. [Google Scholar] [CrossRef] [PubMed]
- Conesa, H.M.; Wieser, M.; Gasser, M. Effects of three Amendments on Extractability and Fractionation of Pb, Cu, Ni and Sb in two Shooting Range Soils. J. Hazard. Mater. 2010, 181, 845–850. [Google Scholar] [CrossRef] [PubMed]
- Stromseng, A.E.; Ljones, M.; Bakka, L.; Mariussen, E. Episodic discharge of lead, copper and antimony from a Norwegian small arm shooting range. J. Environ. Monit. 2009, 11, 1259–1267. [Google Scholar] [CrossRef] [PubMed]
- Mariussen, E.; Ljones, M.; Stromseng, A.E. Use of sorbents for purification of lead, copper and antimony in runoff water from small arms shooting ranges. J. Hazard. Mater. 2012, 243, 95–104. [Google Scholar] [CrossRef] [PubMed]
- Mariussen, E.; Johnsen, I.V.; Stromseng, A.E. Distribution and mobility of lead (Pb), copper (Cu), zinc (Zn), and antimony (Sb) from ammunition residues on shooting ranges for small arms located on mires. Environ. Sci. Pollut. Res. 2017, 24, 10182–10196. [Google Scholar] [CrossRef] [PubMed]
- Bentley, R.; Chasteen, T.G. Microbial Methylation of Metalloids: Arsenic, Antimony, and Bismuth. Microbiol. Mol. Biol. Rev. 2002, 66, 250–271. [Google Scholar] [CrossRef] [PubMed]
- Thayer, J.S. Review: Biological Methylation of Less-studied Elements. Appl. Organomet. Chem. 2002, 16, 677–691. [Google Scholar] [CrossRef]
- Jenkins, R.O.; Craig, P.J.; Miller, D.P.; Stoop, L.C.A.M.; Ostah, N.; Morris, T.A. Antimony Biomethylation by Mixed Cultures of Micro-organisms under Anaerobic Conditions. Appl. Organomet. Chem. 1998, 12, 449–455. [Google Scholar] [CrossRef]
- Fatoki, O. Biomethylation in the Natural Environment: A Review. S. Afr. J. Sci. 1997, 93, 366–370. [Google Scholar]
- Duester, L.; Diaz-Bone, R.A.; Kösters, J.; Hirner, A.V. Methylated Arsenic, Antimony and Tin Species in Soils. J. Environ. Monit. 2005, 7, 1186–1193. [Google Scholar] [CrossRef] [PubMed]
- Frohne, T.; Rinklebe, J.; Diaz-Bone, R.A.; Du Laing, G. Controlled Variation of Redox Conditions in a Floodplain Soil: Impact on Metal Mobilization and Biomethylation of Arsenic and Antimony. Geoderma 2011, 160, 414–424. [Google Scholar] [CrossRef]
- Wei, C.; Ge, Z.; Chu, W.; Feng, R. Speciation of Antimony and Arsenic in the Soils and Plants in an Old Antimony Mine. Environ. Exp. Bot. 2015, 109, 31–39. [Google Scholar] [CrossRef]
- Gurleyuk, H.; Van Fleet Stalder, V.; Chasteen, T.G. Confirmation of the Biomethylation of Antimony Compounds. Appl. Organomet. Chem. 1997, 11, 471–483. [Google Scholar] [CrossRef]
- Michalke, K.; Wickenheiser, E.B.; Mehring, M.; Hirner, A.V.; Hensel, R. Production of Volatile Derivatives of Metal(loid)s by Microflora Involved in Anaerobic Digestion of Sewage Sludge. Appl. Environ. Microbiol. 2000, 66, 2791–2796. [Google Scholar] [CrossRef] [PubMed]
- Mestrot, A.; Ji, Y.; Tandy, S.; Wilcke, W. A Novel Method to Determine Trimethylantimony Concentrations in Plant Tissue. Environ. Chem. 2016, 13, 919–926. [Google Scholar] [CrossRef]
- Tian, H.; Zhou, J.; Zhu, C.; Zhao, D.; Gao, J.; Hao, J.; He, M.; Liu, K.; Wang, K.; Hua, S. A Comprehensive Global Inventory of Atmospheric Antimony Emissions from Anthropogenic Activities, 1995–2010. Environ. Sci. Technol. 2014, 48, 10235–10241. [Google Scholar] [CrossRef] [PubMed]
- Nakamaru, Y.M.; Altansuvd, J. Speciation and Bioavailability of Selenium and Antimony in Non-flooded and Wetland Soils: A Review. Chemosphere 2014, 111, 366–371. [Google Scholar] [CrossRef] [PubMed]
- Henne, P.D.; Bigalke, M.; Büntgen, U.; Colombaroli, D.; Conedera, M.; Feller, U.; Frank, D.; Fuhrer, J.; Grosjean, M.; Heiri, O.; et al. An Empirical Perspective for Understanding Climate Change Impacts in Switzerland. Reg. Environ. Chang. 2018, 18, 205–221. [Google Scholar] [CrossRef]
- Fischer, E.M.; Knutti, R. Anthropogenic Contribution to Global Occurrence of Heavy Precipitation and High Temperature Extremes. Nat. Clim. Chang. 2015, 5, 560–564. [Google Scholar] [CrossRef]
- IUSS Working Group WRB. World Reference Base for Soil Resources 2014. International Soil Classification System for Naming Soils and Creating Legends for Soil Maps; Update 2015, World Soil Resources Reports No. 106; FAO: Rome, Italy, 2015; Available online: http://www.fao.org/3/i3794en/I3794en.pdf (accessed on 21 February 2016).
- Link, D.D.; Walter, P.J.; Kingston, H.M. Development and Validation of the new IPA Microwave-assisted Beach Method 3051A. Environ. Sci. Technol. 1998, 32, 3628–3632. [Google Scholar] [CrossRef]
- Link, D.D.; Walter, P.J.; Kingston, H.M. Wastewater Standards and Extraction Chemistry in Validation of Microwave-assisted EPA Method 3015A. Environ. Sci. Technol. 1999, 33, 2469–2473. [Google Scholar] [CrossRef]
- Potin-Gautier, M.; Pannier, F.; Quiroz, W.; Pinochet, H.; de Gregori, I. Antimony Speciation Analysis in Sediment Reference Materials Using High-performance Liquid Chromatography Coupled to Hydride Generation Atomic Fluorescence Spectrometry. Anal. Chim. Acta 2005, 553, 214–222. [Google Scholar] [CrossRef]
- Ge, Z.; Wei, C. Simultaneous Analysis of Sb III, Sb V and TMSb by High Performance Liquid Chromatography–Inductively Coupled Plasma–Mass Spectrometry Detection: Application to Antimony Speciation in Soil Samples. J. Chromatogr. Sci. 2012, 51, 391–399. [Google Scholar] [CrossRef] [PubMed]
- Hansen, H.R.; Pergantis, S.A. Identification of Sb(V) Complexes in Biological and Food Matrixes and their Stibine Formation Efficiency during Hydride Generation with ICPMS Detection. Anal. Chem. 2007, 79, 5304–5311. [Google Scholar] [CrossRef] [PubMed]
- Tschan, M.; Robinson, B.H.; Schulin, R. Antimony in the Soil-plant System: A Review. Environ. Chem. 2009, 6, 106–115. [Google Scholar] [CrossRef]
- Johnson, C.A.; Moench, H.; Wersin, P.; Kugler, P.; Wenger, C. Solubility of Antimony and other Elements in Samples Taken from Shooting Ranges. J. Environ. Qual. 2005, 34, 248–254. [Google Scholar] [CrossRef] [PubMed]
- Clausen, J.; Korte, N. The Distribution of Metals in Soils and Pore Water at Three U.S. Military Training Facilities. Soil Sediment Contam. 2009, 18, 546–563. [Google Scholar] [CrossRef]
- Van Vleek, B.; Amarasiriwardena, D.; Xing, B. Investigation of Distribution of Soil Antimony Using Sequential Extraction and Antimony Complexed to Soil-derived Humic Acids Molar Mass Fractions Extracted from Various Depths in a Shooting Range Soil. Microchem. J. 2011, 97, 68–73. [Google Scholar] [CrossRef]
- Jorgensen, S.S.; Willems, M. The Fate of Lead in Soils: The Transformation of Lead Pellets in Shooting-Range Soils. AMBIO 1987, 16, 11–15. [Google Scholar]
- Knechtenhofer, L.; Xifra, I.; Scheinost, A.; Fluhler, H.; Kretzschmar, R. Fate of heavy metals in a strongly acidic shooting-range soil: small-scale metal distribution and its relation to preferential water flow. J. Plant Nutr. Soil Sci. 2003, 166, 84–92. [Google Scholar] [CrossRef]
- Sanderson, P.; Naidu, R.; Bolan, N.; Bowman, M.; Mclure, S. Effect of soil type on distribution and bioaccessibility of metal contaminants in shooting range soils. Sci. Total Environ. 2012, 438, 452–462. [Google Scholar] [CrossRef] [PubMed]
- Cao, X.; Ma, L.; Chen, M.; Hardison, D.; Harris, W. Lead transformation and distribution in the soils of shooting ranges in Florida, USA. Sci. Total Environ. 2003, 307, 179–189. [Google Scholar] [CrossRef]
- Okkenhaug, G.; Amstatter, K.; Bue, H.L.; Cornelissen, G.; Breedveld, G.D.; Henriksen, T.; Mulder, J. Antimony (Sb) Contaminated Shooting Range Soil: Sb Mobility and Immobilization by Soil Amendments. Environ. Sci. Technol. 2013, 47, 6431–6439. [Google Scholar] [CrossRef] [PubMed]
- Hockmann, K.; Tandy, S.; Lenz, M.; Reiser, R.; Conesa, H.M.; Keller, M.; Studer, B.; Schulin, R. Antimony Retention and Release from Drained and Waterlogged Shooting Range Soil under Field Conditions. Chemosphere 2015, 134, 536–543. [Google Scholar] [CrossRef] [PubMed]
- Wan, X.; Tandy, S.; Hockmann, K.; Schulin, R. Changes in Sb Speciation with Waterlogging of Shooting Range Soils and Impacts on Plant Uptake. Environ. Pollut. 2013, 172, 53–60. [Google Scholar] [CrossRef] [PubMed]
- Tzeneva, V.A.; Salles, J.F.; Naumova, N.; De Vos, W.A.; Kuikman, P.J.; Dolfing, J.; Smidt, H. Effect of Soil Sample Preservation, Compared to the Effect of Other Environmental Variables, on Bacterial and Eukaryotic Diversity. Res. Microbiol. 2009, 160, 89–98. [Google Scholar] [CrossRef] [PubMed]
- Vangestel, M.; Merckx, R.; Vlassak, K. Microbial Biomass Responses to Soil Drying and Rewetting—The Fate of Fast-Growing and Slow-Growing Microorganisms in Soils from Different Climates. Soil Biol. Biochem. 1993, 25, 109–123. [Google Scholar] [CrossRef]
- Tipping, E. The Adsorption of Aquatic Humic Substances by Iron Oxides. Geochim. Cosmochim. Acta 1981, 45, 191–199. [Google Scholar] [CrossRef]
- Gu, B.; Schmitt, J.; Chen, Z.; Liang, L.; McCarthy, J.F. Adsorption and Desorption of Natural Organic Matter on Iron Oxide: Mechanisms and Models. Environ. Sci. Technol. 1994, 28, 38–46. [Google Scholar] [CrossRef] [PubMed]
- Scheinost, A.C.; Rossberg, A.; Vatelon, D.; Xifra, I.; Kretzschmar, R.; Leuz, A.K.; Funke, H.; Johnson, A. Quantitative Antimony Speciation in Shooting-range Soils by EXAFS Spectroscopy. Geochim. Cosmochim. Acta 2006, 70, 3299–3312. [Google Scholar] [CrossRef]
- Hockmann, K.; Lenz, M.; Tandy, S.; Nachtegaal, M.; Janousch, M.; Schulin, R. Release of Antimony from Contaminated Soil Induced by Redox Changes. J. Hazard. Mater. 2014, 275, 215–221. [Google Scholar] [CrossRef] [PubMed]
- Kalbitz, K.; Solinger, S.; Park, J.-H.; Michalzik, B.; Matzner, E. Controls on the Dynamics of Dissolved Organic Matter in Soils: A Review. Soil Sci. 2000, 165, 277–304. [Google Scholar] [CrossRef]
- Klaine, S.J.; Alvarez, P.J.J.; Batley, G.E.; Fernandes, T.F.; Handy, R.D.; Lyon, D.Y.; Mahendra, S.; Mclaughlin, M.J.; Lead, J.R. Nanomaterials in the environment: Behavior, fate, bioavailability, and effects. Environ. Toxicol. Chem. 2008, 27, 1825–1851. [Google Scholar] [CrossRef] [PubMed]
- Klitzke, S.; Lang, F.; Kirby, J.; Lombi, E.; Hamon, R. Lead, Antimony and Arsenic in Dissolved and Colloidal Fractions from an Amended Shooting-range Soil as Characterised by Multi-stage Tangential Ultrafiltration and Centrifugation. Environ. Chem. 2012, 9, 462–473. [Google Scholar] [CrossRef]
- Abgottspon, F.; Bigalke, M.; Wilcke, W. Fast Colloidal and Dissolved Release of Trace Elements in a Carbonatic Soil after Experimental Flooding. Geoderma 2015, 259–260, 156–163. [Google Scholar] [CrossRef]






| Site A | Site B | Site C | |
|---|---|---|---|
| City (Canton) | Laupen (Bern) | Seedorf (Bern) | Embrach (Zurich) |
| GPS coordinates | N46°55.015–E7°14.518 | N47°0.991–E7°21.042 | N47°30.457–E8°36.939 |
| Year of establishment | 1969 | 1970 | 1889 |
| Shooting activity | Combat + 300 m, small-calibre + assault rifle | 25 + 50 m, small-calibre | 300 m, assault rifle |
| Number of targets | 16 | 7 | 12 |
| Soil pH (Min.–Max.) | 7.2–7.7 | 4.8–5.9 | 7.1–7.5 |
| Dominant grain size (µm) | 63–200 | 63–200 | 6.3–63 |
| Texture: | loam | sandy loam | loam |
| Sand (%) | 48.8 ± 4.9 (n = 3, 0–20 cm) | 51.9 ± 4.6 (n = 3, 0–20 cm) | 34.1 ± 4.2 (n = 3, 0–20 cm) |
| Silt (%) | 32.7 ± 3.1 (n = 3) | 30.7 ± 2.6 (n = 3) | 38.4 ± 2.8 (n = 3) |
| Clay (%) | 18.5 ± 1.9 (n = 3) | 17.4 ± 2.4 (n = 3) | 27.5 ± 1.4 (n = 3) |
| Moisture content (mass %) at the time of sampling | 18.5 ± 8.8 (n = 6) | 16.0 ± 1.4 (n = 6) | 19.7 ± 5.3 (n = 6) |
| Bulk density (g/cm3) | 1.23 ± 0.27 (n = 3, 0–10 cm) | 1.16 ± 0.12 (n = 3, 0–10 cm) | 0.97 ± 0.11 (n = 3, 0–10 cm) |
| Organic C (g kg−1) | 2.1 ± 1.1 (n = 6) | 1.8 ± 0.4 (n = 5) | 3.2 ± 1.1 (n = 4) |
| Site | Distance from Target (m) | Depth (cm) | Sb (mg kg−1) | TMSb (mg kg−1) | % TMSb |
|---|---|---|---|---|---|
| A | 0 | 0–5 | 11.2 | 0.06 | 0.53 |
| A | 0 | 25–35 | 20.0 | <LOD | - |
| B | 3 | 0–5 | 23.1 | <LOD | - |
| B | 0 | 15–25 | 34.9 | 0.21 | 0.6 |
| C | 0 | 15–25 | 223.3 | 1.35 | 0.6 |
© 2018 by the authors. Licensee MDPI, Basel, Switzerland. This article is an open access article distributed under the terms and conditions of the Creative Commons Attribution (CC BY) license (http://creativecommons.org/licenses/by/4.0/).
Share and Cite
Grob, M.; Wilcke, W.; Mestrot, A. Release and Biomethylation of Antimony in Shooting Range Soils upon Flooding. Soil Syst. 2018, 2, 34. https://doi.org/10.3390/soilsystems2020034
Grob M, Wilcke W, Mestrot A. Release and Biomethylation of Antimony in Shooting Range Soils upon Flooding. Soil Systems. 2018; 2(2):34. https://doi.org/10.3390/soilsystems2020034
Chicago/Turabian StyleGrob, Matthias, Wolfgang Wilcke, and Adrien Mestrot. 2018. "Release and Biomethylation of Antimony in Shooting Range Soils upon Flooding" Soil Systems 2, no. 2: 34. https://doi.org/10.3390/soilsystems2020034
APA StyleGrob, M., Wilcke, W., & Mestrot, A. (2018). Release and Biomethylation of Antimony in Shooting Range Soils upon Flooding. Soil Systems, 2(2), 34. https://doi.org/10.3390/soilsystems2020034

