Insights into the Temperature Parameters from K*0 Spectrum in Nuclear Particle Collisions at the Relativistic High-Energy Collider Beam Energies
Abstract
1. Introduction
2. The Method and Formalism
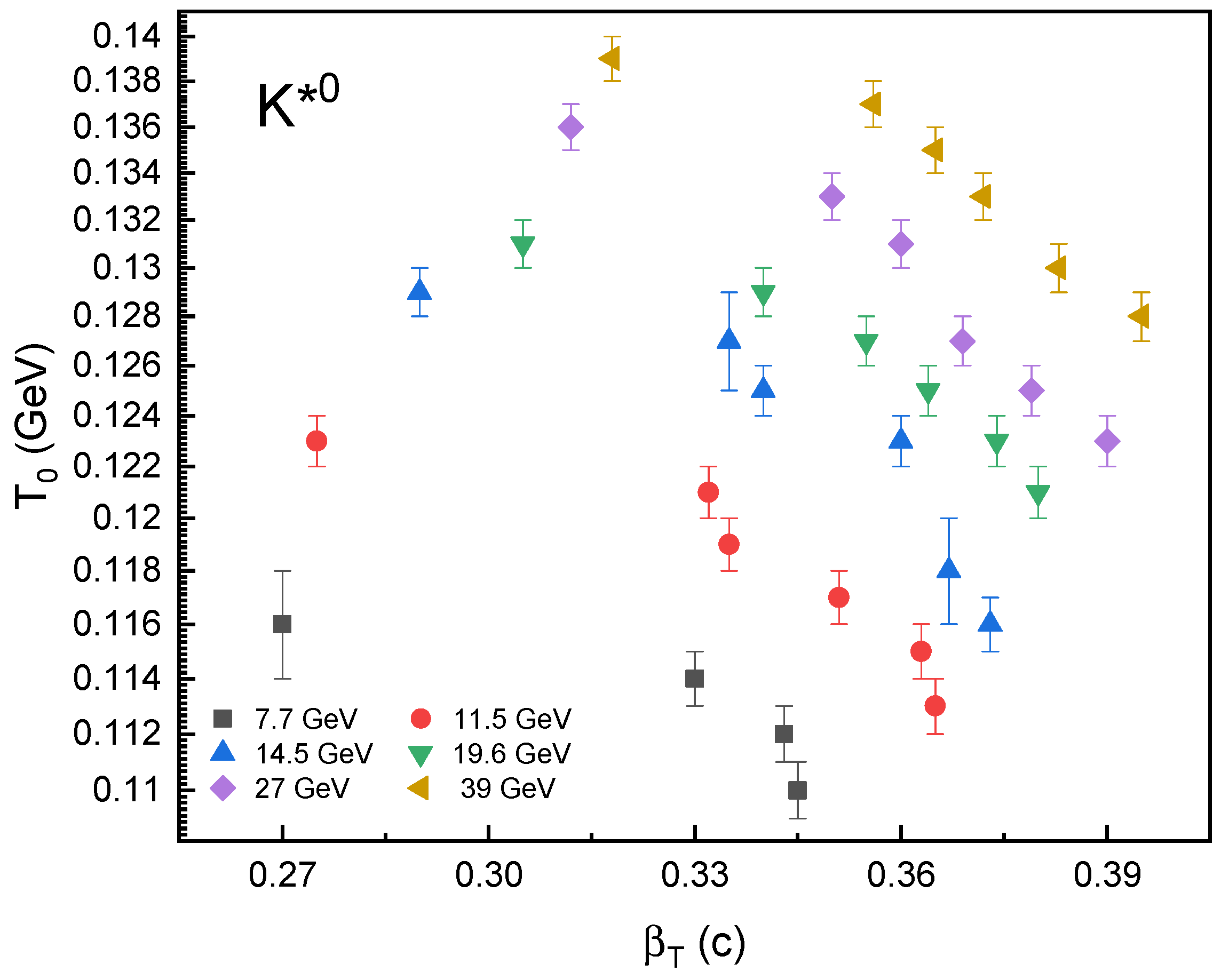
3. Results and Discussion
4. Conclusions
Author Contributions
Funding
Data Availability Statement
Acknowledgments
Conflicts of Interest
References
- Satz, H.; Stock, R. Quark Matter: The Beginning. Nucl. Phys. A 2016, 956, 898–901. [Google Scholar] [CrossRef]
- Liu, B.; Di Toro, M.; Shao, G.Y.; Greco, V.; Shen, C.W.; Li, Z.H. Hadron-quark phase coexistence in a hybrid MIT-Bag model. Eur. Phys. J. A 2011, 47, 104. [Google Scholar] [CrossRef]
- Bohr, H.; Nielsen, H. Hadron Production from a Boiling Quark Soup. Nucl. Phys. B 1977, 128, 275–293. [Google Scholar] [CrossRef]
- Cabibbo, N.; Parisi, G. Exponential hadronic spectrum and quark liberation. Phys. Lett. B 1975, 59, 67–69. [Google Scholar] [CrossRef]
- Collins, J.C.; Perry, M.J. Superdense Matter: Neutrons or Asymptotically Free Quarks? Phys. Rev. Lett. 1975, 34, 1353–1356. [Google Scholar] [CrossRef]
- Lin, Z.; Gyulassy, M. Open charm as a probe of preequilibrium dynamics in nuclear collisions? Phys. Rev. C Erratum in Phys. Rev. C 1995, 52, 440. https://doi.org/10.1103/PhysRevC.52.440. 1995, 51, 2177–2187. [Google Scholar] [CrossRef]
- Robert, C.P.; Casella, G. Monte Carlo Statistical Methods, 2nd ed.; Springer Press: New York, NY, USA, 2004. [Google Scholar]
- Kharzeev, D.; Tuchin, K. Bulk viscosity of QCD matter near the critical temperature. J. High Energy Phys. 2008, 9, 93. [Google Scholar] [CrossRef]
- Karsch, F.; Kharzeev, D.; Tuchin, K. Universal properties of bulk viscosity near the QCD phase transition. Phys. Lett. B 2008, 663, 217–221. [Google Scholar] [CrossRef]
- Stephanov, M. QCD Phase Diagram and the Critical Point. Prog. Theor. Phys. Suppl. 2004, 153, 139–156. [Google Scholar] [CrossRef]
- Adamczyk, L.; Adkins, J.K.; Agakishiev, G.; Aggarwal, M.M.; Ahammed, Z.; Ajitanand, N.N.; Alekseev, I.; Anderson, D.M.; Aoyama, R.; Aparin, A.; et al. Bulk properties of the medium produced in relativistic heavy-ion collisions from the beam energy scan program. Phys. Rev. C 2017, 96, 044904. [Google Scholar] [CrossRef]
- Tokarev, M.; Kechechyan, A.; Zborovský, I. Validation of z-scaling for negative particle production in Au + Au collisions from BES-I at STAR. Nucl. Phys. A 2020, 993, 121646. [Google Scholar] [CrossRef]
- Kumar, L. STAR Results from the RHIC Beam Energy Scan-I. Nucl. Phys. A 2013, 904–905, 256c–263c. [Google Scholar] [CrossRef]
- Laermann, E.; Philipsen, O. The Status of lattice QCD at finite temperature. Annu. Rev. Nucl. Part. Sci. 2003, 53, 163–198. [Google Scholar] [CrossRef]
- Tawfik, A.N. Lattice QCD Thermodynamics and RHIC-BES Particle Production within Generic Nonextensive Statistics. Phys. Part. Nucl. Lett. 2018, 15, 199–209. [Google Scholar] [CrossRef]
- Cleymans, J.; Redlich, K. Chemical and thermal freezeout parameters from 1-A/GeV to 200-A/GeV. Phys. Rev. C 1999, 60, 054908. [Google Scholar] [CrossRef]
- Becattini, F.; Manninen, J.; Gaździcki, M. Energy and system size dependence of chemical freeze-out in relativistic nuclear collisions. Phys. Rev. C 2006, 73, 044905. [Google Scholar] [CrossRef]
- Andronic, A.; Braun-Munzinger, P.; Stachel, J. Hadron production in central nucleus–nucleus collisions at chemical freeze-out. Nucl. Phys. A 2006, 772, 167–199. [Google Scholar] [CrossRef]
- Masayuki, A.; Koichi, Y. Chiral restoration at finite density and temperature. Nucl. Phys. A 1989, 504, 668–684. [Google Scholar] [CrossRef]
- Adam, J.; Adamczyk, L.; Adams, J.R.; Adkins, J.K.; Agakishiev, G.; Aggarwal, M.M.; Ahammed, Z.; Alekseev, I.; Anderson, D.M.; Aoyama, R.; et al. Centrality and transverse momentum dependence of D0-meson production at mid-rapidity in Au+Au collisions at = 200 GeV. Phys. Rev. C 2019, 99, 034908. [Google Scholar] [CrossRef]
- Gu, J.; Li, C.; Wang, Q.; Zhang, W.; Zheng, H. Collective expansion in pp collisions using the Tsallis statistics. J. Phys. G Nucl. Part. Phys. 2022, 49, 115101. [Google Scholar] [CrossRef]
- Li, B.-C.; Wang, Y.-Z.; Liu, F.-H. Formulation of transverse mass distributions in Au-Au collisions at = 200 GeV/nucleon. Phys. Lett. B 2013, 725, 352–356. [Google Scholar] [CrossRef]
- Waqas, M.; Peng, G.X.; Wazir, Z.; Lao, H.-L. Analysis of kinetic freeze-out temperature and transverse flow velocity in nucleus–nucleus and proton–proton collisions at same center-of-mass energy. Int. J. Mod. Phys. E 2021, 30, 2150061. [Google Scholar] [CrossRef]
- Sun, J.X.; Liu, L.L.; Wang, E.Q.; Liu, F.H. Charged particle pseudorapidity distributions in high energy p- or p-p collisions and the improved multi-source thermal model. Indian J. Phys. 2012, 87, 177–184. [Google Scholar] [CrossRef]
- Waqas, M.; Liu, L.M.; Peng, G.X.; Ajaz, M.; Haj Ismail, A.A.; Dawi, E.A.; Khubrani, A.M. Observation of non-homogeneous scenarios for different temperatures in hadron(nucleus)-nucleus collisions at RHIC and LHC energies. Chin. J. Phys. 2022, 80, 206–228. [Google Scholar] [CrossRef]
- Wang, Q.; Liu, F.-H.; Olimov, K.K. Initial- and Final-State Temperatures of Emission Source from Differential Cross-Section in Squared Momentum Transfer in High-Energy Collisions. Adv. High Energy Phys. 2021, 2021, 6677885. [Google Scholar] [CrossRef]
- Wang, Q.; Liu, F.-H.; Olimov, K.K. Initial-State Temperature of Light Meson Emission Source From Squared Momentum Transfer Spectra in High-Energy Collisions. Front. Phys. 2021, 9, 792039. [Google Scholar] [CrossRef]
- Braun-Munzinger, P. Chemical eguilibration and the hadron–QGP phase transition. Nucl. Phys. A 2001, 681, 119–123. [Google Scholar] [CrossRef]
- Hirano, T.; Tsuda, K. Collective flow and two-pion correlations from a relativistic hydrodynamic model with early chemical freeze-out. Phys. Rev. C 2002, 66, 54905. [Google Scholar] [CrossRef]
- Heinz, U.; Kestin, G. Universal chemical freezeout as a phase transition signature. Proc. Sci. 2006, CPOD2006, 38. [Google Scholar] [CrossRef]
- Aoki, Y.; Endrődi, G.; Fodor, Z.; Katz, S.D.; Szabó, K.K. The order of the quantum chromodynamics transition predicted by the standard model of particle physics. Nature 2006, 443, 675–678. [Google Scholar] [CrossRef]
- Cheng, M.; Christ, N.H.; Datta, S.; van der Heide, J.; Jung, C.; Karsch, F.; Kaczmarek, O.; Laermann, E.; Mawhinney, R.D.; Miao, C.; et al. The QCD equation of state with almost physical quark masses. Phys. Rev. D 2008, 77, 014511. [Google Scholar] [CrossRef]
- Ajaz, M.; Khubrani, A.M.; Waqas, M.; Ismail, A.A.K.H.; Dawi, E.A. Collective properties of hadrons in comparison of models prediction in pp collisions at 7 TeV. Results Phys. 2022, 36, 105433. [Google Scholar] [CrossRef]
- Waqas, M.; Chen, H.-M.; Peng, G.-X.; Ismail, A.A.K.H.; Ajaz, M.; Wazir, Z.; Shehzadi, R.; Jamal, S.; AbdelKader, A. Study of Kinetic Freeze-Out Parameters as a Function of Rapidity in pp Collisions at CERN SPS Energies. Entropy 2021, 23, 1363. [Google Scholar] [CrossRef] [PubMed]
- Chatterjee, S.; Das, S.; Kumar, L.; Mishra, D.; Mohanty, B.; Sahoo, R.; Sharma, N. Freeze-Out Parameters in Heavy-Ion Collisions at AGS, SPS, RHIC, and LHC Energies. Adv. High Energy Phys. 2015, 2015, 1–20. [Google Scholar] [CrossRef]
- Schnedermann, E.; Sollfrank, J.; Heinz, U. Thermal phenomenology of hadrons from 200AGeV S+S collisions. Phys. Rev. C 1993, 48, 2462–2475. [Google Scholar] [CrossRef]
- Abelev, B.I.; Aggarwal, M.M.; Ahammed, Z.; Alakhverdyants, A.V.; Anderson, B.D.; Arkhipkin, D.; Averichev, G.S.; Balewski, J.; Barannikova, O.; Barnby, L.S.; et al. Identified particle production, azimuthal anisotropy, and interferometry measurements in Au+Au collisions at s(NN)**(1/2) = 9.2 GeV. Phys. Rev. C 2010, 81, 24911. [Google Scholar] [CrossRef]
- Abelev, B.I.; Aggarwal, M.M.; Ahammed, Z.; Anderson, B.D.; Arkhipkin, D.; Averichev, G.S.; Bai, Y.; Balewski, J.; Barannikova, O.; Barnby, L.S.; et al. Systematic Measurements of Identified Particle Spectra in pp, d+ Au and Au+Au Collisions from STAR. Phys. Rev. C 2009, 79, 034909. [Google Scholar] [CrossRef]
- Tang, Z.; Xu, Y.; Ruan, L.; van Buren, G.; Wang, F.; Xu, Z. Spectra and radial flow in relativistic heavy ion collisions with Tsallis statistics in a blast-wave description. Phys. Rev. C 2009, 79, 051901. [Google Scholar] [CrossRef]
- Waqas, M.; Hassan, B.; Alnakhlani, A.; Ajaz, M.; Altalbe, A.; Ghodhbani, R.; Ismail, A.H. Bulk properties of the system in Au–Au collisions at 3 GeV and their dependence on collision centrality and particle rapidity. Results Phys. 2024, 64, 107894. [Google Scholar] [CrossRef]
- Waqas, M.; Bietenholz, W.; Bouzidi, M.; Ajaz, M.; Haj Ismail, A.A.; Saidani, T. Analyzing the correlation between thermal and kinematic parameters in various multiplicity classes within 7 and 13 TeV pp collisions. J. Phys. G 2024, 51, 075102. [Google Scholar] [CrossRef]
- Wei, H.-R.; Liu, F.-H.; A Lacey, R. Disentangling random thermal motion of particles and collective expansion of source from transverse momentum spectra in high energy collisions. J. Phys. G Nucl. Part. Phys. 2016, 43, 125102. [Google Scholar] [CrossRef]
- Wei, H.-R.; Liu, F.-H.; Lacey, R.A. Kinetic freeze-out temperature and flow velocity extracted from transverse momentum spectra of final-state light flavor particles produced in collisions at RHIC and LHC. Eur. Phys. J. A 2016, 52, 1–23. [Google Scholar] [CrossRef]
- Heiselberg, H.; Levy, A.-M. Elliptic flow and Hanbury-Brown–Twiss correlations in noncentral nuclear collisions. Phys. Rev. C 1999, 59, 2716–2727. [Google Scholar] [CrossRef]
- Russo, R. Measurement of D+ meson production in p-Pb collisions with the ALICE detector. arXiv 2015, arXiv:1511.04380. [Google Scholar] [CrossRef]
- Cleymans, J.; Worku, D. Relativistic thermodynamics: Transverse momentum distributions in high-energy physics. Eur. Phys. J. A 2012, 48, 1–8. [Google Scholar] [CrossRef]
- Zheng, H.; Zhu, L. Comparing the Tsallis Distribution with and without Thermodynamical Description in p + p Collisions. Adv. High Energy Phys. 2016, 2016, 1–10. [Google Scholar] [CrossRef]
- Abelev, B.; Adam, J.; Adamová, D.; Adare, A.M.; Aggarwal, M.M.; Rinella, G.A.; Agocs, A.G.; Agostinelli, A.; Salazar, S.A.; Ahammed, Z.; et al. Pion, Kaon, and Proton Production in Central Pb–Pb Collisions at = 2.76 TeV. Phys. Rev. Lett. 2012, 109, 252301. [Google Scholar] [CrossRef]
- Abdallah, M.S.; Aboona, B.E.; Adam, J.; Adamczyk, L.; Adams, J.R.; Adkins, J.K.; Aggarwal, I.; Aggarwal, M.M.; Ahammed, Z.; Anderson, D.M.; et al. K*0 production in Au+Au collisions at sNN = 7.7, 11.5, 14.5, 19.6, 27, and 39 GeV from the RHIC beam energy scan. Phys. Rev. C 2023, 107, 034907. [Google Scholar] [CrossRef]
- Abelev, B.; Adam, J.; Adamová, D.; Adare, A.; Aggarwal, M.; Rinella, G.A.; Agnello, M.; Agocs, A.; Agostinelli, A.; Ahammed, Z.; et al. Multiplicity Dependence of Pion, Kaon, Proton and Lambda Production in p-Pb Collisions at = 5.02 TeV. Phys. Lett. B 2014, 728, 25–38. [Google Scholar] [CrossRef]



| Center-of-Mass Energy | Centrality | (GeV) | (c) | /dof |
|---|---|---|---|---|
| 7.7 | 0–20% | |||
| 20–40% | 3/4 | |||
| 40–60% | 13/4 | |||
| 60–80% | 0.14/4 | |||
| 11.5 | 0–10% | |||
| 10–20% | 27/5 | |||
| 20–30% | 50/5 | |||
| 30–40% | 0.05/5 | |||
| 40–60% | 0.3/5 | |||
| 60–80% | 0.2/5 | |||
| 14.5 | 0–10% | |||
| 30–40% | 0.02/5 | |||
| 40–60% | 0.01/5 | |||
| 60–80% | 11.6/5 | |||
| 19.6 | 0–10% | |||
| 10–20% | 1.1/5 | |||
| 20–30% | 0.9/5 | |||
| 30–40% | 0.13/5 | |||
| 40–60% | 0.0085/5 | |||
| 60–80% | 0.0035/5 | |||
| 27 | 0–10% | |||
| 10–20% | 3/5 | |||
| 20–30% | 0.9/5 | |||
| 30–40% | 0.02/5 | |||
| 40–60% | 0.0022/5 | |||
| 60–80% | 9/5 | |||
| 39 | 0–10% | |||
| 10–20% | 0.15/3 | |||
| 20–30% | 0.0011/5 | |||
| 30–40% | 0.08/5 | |||
| 40–60% | 0.04/5 | |||
| 60–80% | 14.7/5 |
Disclaimer/Publisher’s Note: The statements, opinions and data contained in all publications are solely those of the individual author(s) and contributor(s) and not of MDPI and/or the editor(s). MDPI and/or the editor(s) disclaim responsibility for any injury to people or property resulting from any ideas, methods, instructions or products referred to in the content. |
© 2025 by the authors. Licensee MDPI, Basel, Switzerland. This article is an open access article distributed under the terms and conditions of the Creative Commons Attribution (CC BY) license (https://creativecommons.org/licenses/by/4.0/).
Share and Cite
Yang, P.-P.; Haj Ismail, A. Insights into the Temperature Parameters from K*0 Spectrum in Nuclear Particle Collisions at the Relativistic High-Energy Collider Beam Energies. Particles 2025, 8, 103. https://doi.org/10.3390/particles8040103
Yang P-P, Haj Ismail A. Insights into the Temperature Parameters from K*0 Spectrum in Nuclear Particle Collisions at the Relativistic High-Energy Collider Beam Energies. Particles. 2025; 8(4):103. https://doi.org/10.3390/particles8040103
Chicago/Turabian StyleYang, Pei-Pin, and Abd Haj Ismail. 2025. "Insights into the Temperature Parameters from K*0 Spectrum in Nuclear Particle Collisions at the Relativistic High-Energy Collider Beam Energies" Particles 8, no. 4: 103. https://doi.org/10.3390/particles8040103
APA StyleYang, P.-P., & Haj Ismail, A. (2025). Insights into the Temperature Parameters from K*0 Spectrum in Nuclear Particle Collisions at the Relativistic High-Energy Collider Beam Energies. Particles, 8(4), 103. https://doi.org/10.3390/particles8040103

