Next Article in Journal
Pattern Recognition with Artificial Intelligence in Space Experiments
Previous Article in Journal
A Nanosatellite-Sized Detector for Sub-MeV Charged Cosmic Ray Fluxes in Low Earth Orbit: The Low-Energy Module (LEM) Onboard the NUSES Space Mission
 
 
Font Type:
Arial Georgia Verdana
Font Size:
Aa Aa Aa
Line Spacing:
Column Width:
Background:
Article

Magnetic Field Amplification and Reconstruction in Rotating Astrophysical Plasmas: Verifying the Roles of α and β in Dynamo Action

Research and Development Department, Institute of Plasmas Turbulence and Magnetic Fields (IPTM), 50 Yongdam-ro, Sangdang-gu, Cheongju 28717, Republic of Korea
Current address: 234-1 Sangdo-ro, Dongjak-gu, Seoul 06964, Republic of Korea.
Particles 2025, 8(4), 98; https://doi.org/10.3390/particles8040098
Submission received: 19 September 2025 / Revised: 25 November 2025 / Accepted: 1 December 2025 / Published: 4 December 2025
(This article belongs to the Special Issue Particles and Plasmas in Strong Fields)

Abstract

We investigate the α and β effects in a rotating spherical plasma system relevant to astrophysical contexts. In particular, we focus on how kinetic and magnetic (current) helicities influence the magnetic diffusivity β . These coefficients were modeled using three complementary theoretical approaches. Direct numerical simulation (DNS) data (large-scale magnetic field B ¯ , turbulent velocity u , and turbulent magnetic field b ) were then used to obtain the actual values of α EM HM , β EM HM , β vv vw , and β bb + jb . Using these coefficients, we reconstructed B ¯ and compared it with the DNS results. In the kinematic regime, where B ¯ remains weak, all models agree well with DNS. In the nonlinear regime, however, the field reconstructed with β vv vw alone deviates from DNS and grows without bound. Incorporating the turbulent magnetic diffusion term β bb + jb suppresses this unphysical growth and restores consistency. Specifically, B ¯ D N S saturates at approximately 0.23 in the nonlinear regime. The reconstructed B ¯ using β E M H M saturates at B ¯ ∼0.3. When β v v v w + b b + j b ( = β v v v w + β b b + j b ) is used, B ¯ varies from about 0.3 to 0.23. These results indicate that kinetic helicity reduces β (or provides a negative contribution), thereby amplifying B ¯ , whereas turbulent current helicity, together with turbulent magnetic and kinetic energies, enhances β , thus suppressing B ¯ in the nonlinear regime. In this respect, the new form of β differs from the conventional one, which acts solely to diffuse the magnetic field.

1. Introduction

Rotating plasma structures—such as stars, accretion disks, and similar systems—exhibit distinctive physical properties, including buoyancy and Coriolis forces. These effects give rise to kinetic helicity, defined as U · × U , ( H V ) , where U denotes the fluid velocity. Kinetic helicity, in turn, produces the conserved magnetic helicity A · B , ( H M ) , where B = × A . These pseudo-scalars, together with the kinetic and magnetic energies, contribute to the α - and β -effects that govern the evolution of magnetic fields in helical plasmas.
A well-known nearby example of a magnetic field in a rotating spherical plasma system is the solar magnetic field. The Sun’s 22-year magnetic cycle, known as the Hale cycle, involves the strengthening, weakening, and reversal of its magnetic field, thereby revealing its internal dynamical processes and contributing to its long-term stability. The magnetic variations in such a rotating system can be interpreted in terms of the α - and β -effects. These tensors not only provide a linear framework for modeling magnetic-field evolution but also serve as useful theoretical tools for analyzing the interaction between magnetic fields and plasma [1]. Several models have been proposed to evaluate these quantities, either analytically or numerically. The α -effect is known to amplify the large-scale magnetic field and to determine the polarity of magnetic helicity: B / t = α J + β 2 B . It also couples the toroidal magnetic flux, Btor, with the poloidal magnetic flux, Bpol, resulting in their periodic evolution [2,3,4,5]. In contrast, the β -effect is conventionally regarded as diffusing large-scale magnetic fields, although its influence extends beyond simple magnetic dissipation [6,7,8,9,10,11].
The first conceptual model of the α -effect was proposed by [12]. In this model, buoyancy lifts the toroidal magnetic flux, Btor, while the Coriolis force twists the rising magnetic tube by an angle of approximately π / 2 via the α -effect, producing a rotated magnetic loop and thereby generating poloidal magnetic flux, Bpol. The twisted angle is expressed as θ = 2 ω H / v , where ω is the angular velocity, H is the vertical displacement, and v is the rise speed. Subsequently, the differential rotation (the Ω -effect) or large-scale shear converts Bpol back into Btor, thereby completing the dynamo cycle.
However, strictly speaking, the α -effect in Parker’s model was developed through a combination of semi-empirical reasoning and theoretical considerations to explain the observed phenomena. Consequently, the terminology and notation employed in these models are not entirely consistent with those of modern dynamo theory. More rigorous theoretical frameworks—such as mean-field theory (MFT), the eddy-damped quasi-normal Markovian (EDQNM) approximation, and the direct interaction approximation (DIA)—have been employed to compute these coefficients [2,3,4,13,14]. These theories generally relate α to the residual helicity, b · ( × b ) u · ( × u ) , where u and b denote the turbulent velocity and magnetic fields, respectively. Likewise, these models associate β with the turbulent energies, u 2 (MFT, DIA, EDQNM) or b 2 (DIA, EDQNM; see Equations (9.159) and (9.183) in [14] and Equation (3.7) in [13] for details).
Plasma is composed of numerous oppositely charged particles, yet it maintains overall electrical neutrality. Consequently, the α -effect remains relatively weak until the magnetic field becomes sufficiently strong. In contrast, the β -diffusion effect may act as a dominant mechanism in place of the electromagnetic α -effect, particularly when β is reduced or negative by kinetic helicity. Lanotte et al. [15] proposed turbulent negative magnetic diffusivity as a viable mechanism for driving large-scale dynamos, especially in systems with strong helicity where α α correlations dominate. Furthermore, Rogachevskii et al. [6] introduced a turbulent magnetic diffusion coefficient, η t , derived via path integrals, and found that magnetic diffusivity qualitatively decreases in the presence of kinetic helicity. From a numerical perspective, the Test-Field Method (TFM) has been developed to extract the α and β coefficients from simulation data [7,16], where the β -effect is reduced by kinetic helicity. Experimentally, negative magnetic diffusivity has been observed in liquid sodium experiments [17,18].
On the other hand, there have been ongoing efforts to incorporate the α and β coefficients into solar magnetic field modeling. These efforts primarily aim to reproduce the observed spatial structure and periodicity of the solar magnetic field using α and β coefficients extracted from direct numerical simulations (DNS). Simard et al. [19] obtained the α i j tensor based on the numerical method introduced by Racine et al. [20] and the theoretical framework from Moffatt [3], using the relation ξ i = u × b i = α i j B ¯ j + β i j k k B ¯ j . However, since Racine et al. [20] neglected the β tensor, Simard et al. [19] employed a simplified form of β to represent turbulent diffusivity. They then adopted representative parameter values, such as α 0 , η 0 , and Ω 0 . Their approach can be compared with that of Jouve et al. [21], who used a small trial-and-error value of α to ensure numerical stability while reproducing the large-scale features of the solar magnetic field.
In our previous study, we presented a method to determine α and β that are not confined to the Sun. In [8], we plotted the time profiles of α E M H M and β E M H M , and confirmed that β E M H M becomes negative, unlike in conventional dynamo models. In [10], we derived an expression for β v v v w , obtained its profile, and compared it with that of β E M H M ; the two were found to agree in the kinematic regime. This indicates that kinetic helicity reduces the β effect compared to the conventional dynamo model term, β v v . Using these coefficients, the large-scale magnetic field B ¯ was reconstructed and, as expected, it matched the DNS results only in the kinematic regime. In [11], β v v v w was tested in an environment with an increasing magnetic Reynolds number ( R e M = 261 4290 ), and again, agreement with β E M H M was observed only in the kinematic regime, whereas the magnetic field diverged in the nonlinear regime. Hence, we derived a more complete form of β that incorporates turbulent magnetic effects, namely β bb + jb  [22]. This more comprehensive β vv vw + bb + jb term successfully reconstructs B ¯ over the entire range. In this paper, we revisit β vv vw + bb + jb and apply it to reproduce B ¯ in both the southern and northern hemispheres of an astrophysical rotating plasma system. The inclusion of turbulent magnetic energy and current helicity effectively enhances the β effect and suppresses the divergence of B ¯ in the nonlinear regime.

2. Numerical Approach

2.1. Basic Magnetohydrodynamic Equations

The dynamo process can be described by a set of nonlinear magnetohydrodynamic (MHD) equations that govern the dynamics of the electrically conducting magnetized plasma within the plasma systems.
D ρ D t = ρ · U ,
D U D t = ln ρ + 1 ρ ( × B ) × B + ν 2 U + 1 3 · U + f ( r , t )
B t = × U × B + η 2 B
( ρ , U, B, and D / D t ( = / t + U · ) indicate the density, velocity field, magnetic field, and Lagrangian time derivative in order. And ν & η are kinematic viscosity and magnetic diffusivity respectively).
These equations encapsulate the interactions between plasma flow, magnetic fields, and thermodynamic processes, providing a framework for understanding the generation and evolution of the density, velocity, and magnetic fields. The dynamo mechanism functions through the combined effects of differential rotation, convective motions, turbulent effects, diffusion, and forcing sources f ( r , t ) , leading to the amplification of magnetic fields. This forcing source refers to internal and external energy sources such as tidal forces, buoyancy, Coriolis force, electromagnetic force, and gravity, and it can be defined differently depending on the context. However, in this paper, it is used specifically to represent the supply of kinetic helicity generated by buoyancy and the Coriolis force. These foundational equations are commonly applied in direct numerical simulations (DNS) or theoretical analyses.
Particularly when the fields in the system exhibit helicity, F · × F = λ F 2 , the magnetic induction Equation (3) is modified (rederived) to include α and β coefficients, alongside the large-scale magnetic field B ¯ and plasma velocity U ¯ ( α disappears without helicity.).
B ¯ t = × U ¯ × B ¯ + u × b + η 2 B ¯
× ( α B ¯ β × B ¯ ) + η 2 B ¯ α J ¯ + ( β + η ) 2 B ¯
For an isotropic and homogeneous system, U ¯ can be removed by applying a Galilean transformation. However, in the presence of shear, the mean flow cannot be transformed out. For a rotating spherical system, it is more convenient to express Equation (5) in curvilinear coordinates [14,23]:
A ¯ ϕ t + 1 σ U ¯ p · ( σ A ¯ ϕ ) = α B ¯ ϕ + ( β + η ) 2 1 σ 2 A ¯ ϕ ,
B ¯ ϕ t + σ U ¯ p · B ¯ ϕ σ = α ( × B ¯ p ) ϕ + σ ( B ¯ p · ) U ¯ ϕ σ + ( β + η ) 2 1 σ 2 B ¯ ϕ ,
where B ¯ = B ¯ ϕ e ^ ϕ + B ¯ p , B ¯ p = × ( A ¯ ϕ e ^ ϕ ) , and σ = r s i n θ . This equation is not a semi-empirical one based on assumptions, but can be directly derived through a standard coordinate transformation process from Cartesian to spherical coordinates [24]. The relative strength of the α effect and differential rotation Ω / r classifies dynamos into α 2 , α 2 Ω , and α Ω types, with the helicity dynamo being essentially an α 2 dynamo.
The large-scale magnetic field B ¯ (or A ¯ ) cannot be sustained without the presence of α or β , both of which implicitly incorporate the effects of the external forcing source f . The poloidal and toroidal components of the magnetic field are coupled through the α effect, while both components are influenced by β -induced diffusion. The gradient U ¯ ϕ arises from the rotation of the spherical system, whereas the α and β coefficients originate from turbulent (helical) plasma motions and magnetic fields. Since the sign of helicity is opposite in the Northern and Southern Hemispheres, it is essential to examine how the α and β effects vary across hemispheres and to verify whether the resulting magnetic field amplification aligns with theoretical predictions.

2.2. Numerical Method

We used the PENCIL CODE to perform our numerical simulations. This code solves Equations (1)–(3) within a periodic cube of size L 3 = ( 2 π ) 3 , discretized into a grid of 400 3 points. All quantities are expressed in non-dimensional form, following the normalization convention commonly used in the Pencil Code. The fundamental scales of length L 0 , velocity U 0 , and density ρ 0 are chosen, and the corresponding time unit is defined as t 0 = L 0 / U 0 . This convention does not imply that time is measured from velocity, but rather ensures dimensional consistency of the MHD equations after non-dimensionalization. In practice, one specifies the characteristic velocity (e.g., convective or Alfvénic speed) and the physical domain size to define the actual time scale. Besides, in the code, U 0 is basically normalized by the sound speed, c s ( = 1 ) , the magnetic permeability is μ 0 = 1 , and the density ρ 0 is set to be 1. We used these values without changing them.
Practically, if the physical size and the representative velocity of an astrophysical system are L phys = 1.0 × 10 7 m and U phys = 1000 m s 1 , respectively (e.g., photosphere in the Sun), then the corresponding length scale is L 0 = L phys / L 1.59 × 10 6 m . With U 0 = 1000 m s 1 , the time scale becomes t 0 = L 0 / U 0 1.59 × 10 3 s , so that the physical time can be recovered from the code time by t phys = t 0 t code . The magnetic field unit is defined as B 0 = μ 0 ρ 0 U 0 2 , where μ 0 = 1 in code units (the physical value can be restored when converting to SI units), and ρ 0 can be chosen according to the astrophysical system, giving B phys = B 0 B code . It’s worth noting that the plasma system is weakly compressible, meaning ρ ρ 0 .
The system is forced with f ( r , t ) = N f ( t ) exp i k f ( t ) · x + i ϕ ( t ) , i.e., producing kinetic helicity, which is attached to Equation (2). (Kinetic helicity is generated by buoyancy and Coriolis forces, but the detailed physical processes cannot be directly incorporated into an MHD code.) However, since such motions ultimately produce kinetic helicity, it is sufficient to add a forcing function to the MHD equations that can supply it.). N is a normalization factor, f ( t ) is the forcing magnitude, and k f ( t ) represents the forcing wave number. At each time step, the code randomly selects one of 20 vectors from the k f set. f ( t ) is defined as f 0 f k ( t ) , where f k ( t ) is
f k ( t ) = i k ( t ) × ( k ( t ) × e ^ ) λ | k ( t ) | ( k ( t ) × e ^ ) k ( t ) 2 1 + λ 2 1 ( k ( t ) · e ) 2 / k ( t ) 2 .
The wavenumber ‘k’ is defined as 2 π / l . A value of k = 1 ( l = 2 π ) corresponds to the large-scale regime, while k > 2 refers to the wavenumber in the small (turbulent) scale regime. The parameter λ = ± 1 generates a fully right- ( λ = + 1 ) or left-handed ( λ = 1 ) helical field, described by × f k i k × f k ± k f k . The choice of λ = + 1 represents right-handed polarization, corresponding to the southern hemisphere, while λ = 1 represents left-handed polarization for the northern hemisphere. Here, e ^ denotes an arbitrary unit vector. We applied fully helical kinetic energy ( λ = ± 1 ) at k ave k f 5 . And we used f 0 = 0.07 and ν = η = 0.006 . Note that Reynolds’ rule is not applied to this energy source: f 0 . Notably, an initial seed magnetic field of B 0 10 4 was introduced into the system. However, the influence of this seed field diminishes rapidly due to the presence of the forcing function and the lack of memory in the turbulent flow. Using the DNS data obtained here and the α and β models, we will first determine the values of each coefficient and then use Equation (5) to reconstruct B ¯ , which will be compared with the large-scale magnetic field from the DNS.

2.3. Numerical Results

Figure 1 shows the temporally evolving energy, helicity, and helicity ratios in a kinetically driven rotating plasma system. The left panel depicts the southern hemisphere, which generates positive (right-handed) kinetic helicity, while the right panel depicts the northern hemisphere, which generates negative (left-handed) kinetic helicity.
Figure 1a,b depict the magnetic energy spectrum E M (red solid line) and kinetic energy spectrum E V (black dashed line) in Fourier space at times t = 0.2 , 100 , 200 , and 1440. As observed, the energy spectra for the southern and northern hemispheres match precisely. Both panels illustrate that the kinetic energy E V at the forcing scale k = 5 is converted into magnetic energy E M , which is subsequently inverse cascaded to the large scale k = 1 . At this scale, E V is significantly low, indicating an insufficient inverse cascade of kinetic energy. Additionally, each energy spectrum k > 5 decreases more steeply than the Kolmogorov scale k 5 / 3 , implying that the kinetic energy E V from the forcing scale does not fully cascade down to smaller plasma eddy regions, a limitation arising from the low magnetic Reynolds number R e M = 261 .
In Figure 1c,d, the kinetic helicity H V ( = u · × u ) and kinetic energy 2 E V ( = u 2 ) spectra over time are illustrated, with kinetic helicity represented by the red solid line and kinetic energy by the black dashed line. While both Hemispheres exhibit similar trends, there is a clear difference in the sign of kinetic helicity. In Figure 1c, which represents the southern hemisphere, the kinetic helicity is positive, whereas in Figure 1d, corresponding to the northern hemisphere, it is negative. Therefore, their absolute values are used for their comparison. Moreover, there is a notable difference between the kinetic energy and kinetic helicity spectra, particularly in their direction of migration. In both hemispheres, for wave numbers k > 2 (small-scale regime), the kinetic helicity exceeds the kinetic energy. However, as k 1 (large-scale regime), the kinetic energy becomes dominant. Such an unbalanced distribution of H V and E V is closely related to the α and β effects. An excess of H V and a deficiency of E V in small-scale regimes are more favorable for enhancing these α and β effects.
Figure 1e,f compare the current helicity J · B ( = k 2 H M ) with the magnetic energy multiplied by the wave number k B 2 across the entire Fourier space. In Figure 1e, which represents the Southern Hemisphere, the signs of J · B ( = k 2 H M ) and k B 2 are opposite in the large-scale region where k = 1 , while they are the same on other scales. This results from the positive kinetic helicity generated by buoyancy and the leftward-deflecting Coriolis force in the Southern Hemisphere. Conversely, Figure 1f shows the opposite behavior in the Northern Hemisphere.
Figure 1g,h display the kinetic helicity ratio f h k ( = U · ω / k U 2 ) (black) and the magnetic helicity ratio f h m ( = k A · B / B 2 (red) for k = 1 , 5 , 8 . In the Southern Hemisphere, f h k at the forcing scale, where k = 5 , is + 1 , and f h k in other regions maintains somewhat positive values. On the other hand, f h m converges to 1 when k = 1 , with values in other small-scale regions converging to positive values. The opposite phenomenon occurs in the Northern Hemisphere, as shown in the right panel. The raw data in Figure 1a–f are used to compute α and β , and f h m s in Figure 1g,h are employed to reproduce B with the α and β  coefficients.
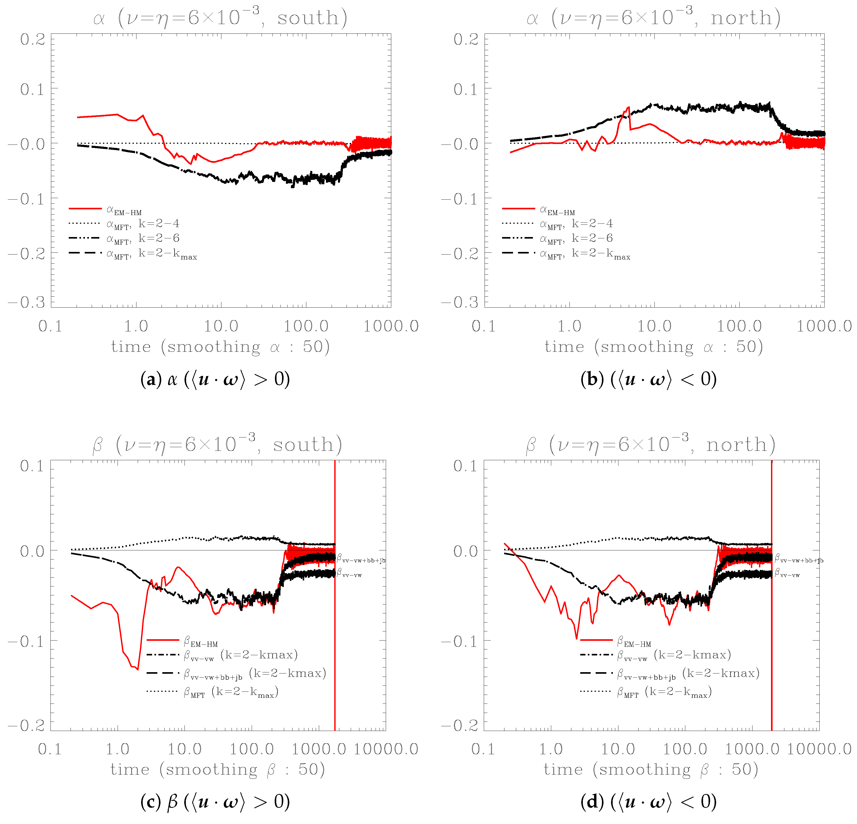
Figure 2a,b compare the α EM HM coefficients obtained using large-scale magnetic data Equation (13) with the α MFT coefficients Equation (A1) approximated using small-scale kinetic and magnetic data (the formulae for α E M H M and β E M H M , Equations (13) and (14) produce reliable results, but when the large-scale magnetic field becomes fully helical, i.e., when 2 E M = ± H M and the logarithmic function diverges, it can lead to unphysical outcomes. Therefore, we artificially used 0.99 H M .). As Figure 2a indicates, when the plasma system is driven with positive kinetic helicity, the α effect decreases from positive to negative and then converges to 0. Conversely, when the system is driven with negative kinetic helicity, as shown in Figure 2b, the α effect maintains a positive value before converging to 0. The MFT method requires integrating residual helicity over time, given by α M F T ( = 1 / 3 τ j · b u · ω d t ) . We calculated α MFT values across cases of k = 2 4 , k = 2 6 , and k = 2 k max . In both hemispheres, α 0 is obtained for k = 2 4 , and there is no difference in α between k = 2 6 and k = 2 k max , indicating that the forcing scale k = 5 primarily determines  α .
α EM HM and α MFT exhibit qualitatively similar evolution. However, compared to α MFT , α EM HM converges to zero more rapidly and begins to oscillate around zero in the nonlinear regime ( t > 250 ). In contrast, α MFT maintains the value determined by the kinetic helicity until entering the nonlinear regime, where it converges toward zero but still retains a non-negligible value. This indicates that the kinetic helicity supplied by the external forcing source exceeds the current helicity. The discrepancy also suggests that the higher-order terms neglected in the derivation of α MFT may contribute to the quenching of the α MFT effect, thereby limiting its role in magnetic field amplification. Moreover, the evolving profiles of α EM HM indicate that the α effect is relatively weak in the dynamo process. This is reasonable for an electrically neutral plasma system composed of numerous charged particles. The influence of electromagnetic forces—specifically, the α effect—is inevitably somewhat limited, and the collective behavior of clustered particles exhibits strong fluid-like characteristics, such as diffusion, from a statistical perspective. This is also consistent with the fact that the phase difference between the magnetic fields B pol and B tor in the actual Sun is π / 2 . As B tor begins to decrease, B pol starts to arise, and vice versa. In the presence of a strong α effect, the interaction between the two fields is restricted to either in-phase (zero-mode) or anti-phase ( π -mode) coupling [25].
Figure 2c,d illustrate the magnetic diffusion, or β effect. Here, we compare β EM HM , obtained from large-scale magnetic data Equation (14); β MFT or β v v ( = 1 / 3 t u 2 d τ ) , Equation (A2), derived from plasma turbulent kinetic energy; and β vv vw , calculated using plasma turbulent kinetic energy and kinetic helicity Equation (16). The coefficient β EM HM maintains a negative value before converging to zero. Since the β effect is always accompanied by the Laplacian operator, i.e., β 2 β k 2 , the negative β contributes to the diffusion of the magnetic field toward larger scales and the amplification of the magnetic field strength. Similar effects are observed for β EM HM in both the Northern and Southern Hemispheres. Meanwhile, β MFT remains positive, yielding a negative effect in conjunction with the Laplacian, which ultimately serves to decrease magnetic field energy. This result accounts for the leading term, without considering the helical component of plasma kinetic energy. By contrast, β vv vw , which incorporates both kinetic energy and kinetic helicity, aligns closely with β EM HM , suggesting that the kinetic helicity effect in the plasma plays a crucial role in the actual magnetic diffusion. Clearly, kinetic helicity reduces the β effect. However, the discrepancy observed in the region where the magnetic field undergoes significant amplification ( t > ∼250) implies that β v v v w should incorporate magnetic effects. β v v v w + b b + j b  (dashed line) includes the effects of turbulent magnetic energy and current helicity. The results show that β v v v w + b b + j b coincides with β E M H M in the whole range. The reduced β by kinetic helicity is enhanced by turbulent magnetic effects.
Figure 3a,b display the large-scale magnetic fields reproduced using four different combinations of coefficients: ( α E M H M , β E M H M ), ( α E M H M , β v v v w ), ( α E M H M , β v v v w + b b + j b ), and ( α M F T , β M F T ). These results are compared against the direct numerical simulation (DNS) results to assess the accuracy and efficacy of each coefficient pairing. These results are consistent with Figure 2a,b. In the kinematic regime, all models except ( α M F T , β M F T ) accurately reproduce the DNS magnetic field, while after t∼250, β v v v w generates a diverging magnetic field. When the effects of β b b + j b are included, β converges to zero, and the magnetic field saturates.
To reproduce the magnetic field, we used an IDL script as follows.
B[0] =  sqrt(2.0*spec_mag(1, 0))  % k=1 for large scale
for j=0L,  t_last do begin
  B[j+1] = B[j] + (sign*alpha[j]-beta[j]-eta)*B[j]*(time[j+1]-time[j])
  % helical magnetic field
endfor
Here, the time interval Δ t ∼0.2 and the correlation length l = 2 π / 3 are used. The corresponding wavenumber of this correlation length is k = 3 , which represents the average wavenumber between the large scale ( k = 1 ) and the energy injection scale ( k = 5 ). For the turbulent regime, we considered the range k = 2 k max .
The sign in front of α is positive (‘+’) for the Northern Hemisphere (left-handed kinetic helicity, Figure 1f,h, k = 1 , 5 ) and negative (‘−’) for the Southern Hemisphere (right-handed kinetic helicity, Figure 1e,g, k = 1 , 5 ). Among the configurations, ( α E M H M & β E M H M ) yields the most accurate results, while the classical MFT method shows the lowest accuracy. This trend is consistent with the results observed in Figure 4. Meanwhile, ( α E M H M & β v v v w ) provides relatively accurate results in the kinematic regime. However, as the magnetic field grows, β v v v w deviates larger than the actual value. This unconstrained growth implies the existence of additional mechanisms that quench the β effect.

3. Theoretical Framework

3.1. Overview of α 2 Magnetic Evolution Driven by Kinetic Helicity in a Rotating System

Figure 4a shows the kinetic helicity generated in a rotating plasma sphere. In rotating plasma systems, numerous tube-shaped plasma flux structures or kinetic eddies exist. The plasma inside the tube is pushed outward due to the balance between magnetic pressure and thermal pressure, making it relatively lighter than the surrounding medium and causing it to rise toward the solar surface. During this process, a portion of the plasma eddy stretches, reducing its density further and increasing its buoyancy, which leads to the deformation of the tube structure. At this stage, the Coriolis force causes the circular loop to rotate in a clockwise direction, generating right-handed kinetic helicity in the Southern Hemisphere. Conversely, in the Northern Hemisphere, left-handed kinetic helicity is generated. This kinetic helicity interacts with the magnetic field, inducing new magnetic fields (right handed polarity), as illustrated in Figure 4b. In stars including the Sun, dynamo action is thought to be concentrated near the tachocline, the boundary between the radiative zone and the convection zone, where strong shear amplifies the magnetic field.
In Figure 4b, the left panel illustrates a circular structure of a plasma turbulence eddy through which a magnetic field, B 0 , permeates, influencing both the eddy’s structure and energy distribution. Plasma motions, labeled u t 1 and u t 2 , interact with B 0 to produce current densities, j t 1 ( z ^ ) and j t 2 ( z ^ ) . According to Ampère’s law, these current densities induce a magnetic field, b ind ( x ^ ) , creating magnetic diffusion through the relationship × j t × ( × b ) 2 b . This process of magnetic field induction occurs continuously, ultimately leading to the weakening of the original magnetic field. These sequential processes explain the magnetic diffusion β effect due to plasma turbulence fluctuations β u 2 d τ . This is the turbulent magnetic diffusion in small scale dynamo.
However, if there is buoyancy, an additional poloidal velocity u pol appears. This component interacts with b ind to generate a current density u p o l × b i n d j 0 ( y ^ ) along B 0 , which in turn induces a toroidal magnetic field b tor  (dotted circle). B 0 (acting as a poloidal field) and b tor form left-handed magnetic helicity, H M 1 ( α effect). Simultaneously, u pol can interact with B 0 to produce another current density, j 1 , with b ind and j 1 forming right-handed magnetic helicity, H M 2 . This sequence of processes indicates that the α process presumes the preceding magnetic diffusion β .
In this figure, B 0 , u pol , and b ind are depicted as intersecting at the same point. However, while b ind and u pol intersect each other, B 0 and u pol can be separated. Statistically, j 0 becomes greater than j 1 . This left handed H M 1 can be interpreted as the magnetic helicity generated by right handed kinetic helicity and cascaded inversely to larger scales. In contrast, right handed H M 2 can be understood as the magnetic helicity produced to conserve the total magnetic helicity within the system. This reasoning aligns with the theoretical prediction that kinetic helicity generates magnetic helicity of opposite polarity, which is then amplified and transferred to larger scales, while magnetic helicity of the same polarity is generated in the small-scale regime.
For example, we may wonder what the magnetic helicities in the Sun actually are. Pipin et al. [26] showed that the global (large-scale) magnetic helicity is positive in the northern hemisphere and negative in the southern hemisphere. They used two different data sets: one from SOHO and the other from SOLIS. They also emphasized that the opposite signs—i.e., negative (positive) magnetic helicity in the northern (southern) hemisphere—are typically associated with active regions, such as sunspots [27]. In fact, the global-scale magnetic field is comparable in size to the solar hemisphere itself. According to their observations, the magnetic helicity polarity in each hemisphere appears to change over time.

3.2. Derivation of α and β Coefficients

There have been numerous theoretical attempts to derive the α and β coefficients. Among them, the important ones are included in the Appendix A and Appendix B, while here we primarily present our model.
From Equation (5), we constructed the coupled equations for H ¯ M ( t ) and E ¯ M ( t ) as follows:
H ¯ M t = 4 α E ¯ M 2 ( β + η ) H ¯ M ,
E ¯ M t = α H ¯ M 2 ( β + η ) E ¯ M .
For the large scale field with k = 1 , magnetic helicity and current helicity coincide: J · B = k 2 A · B A · B (Magnetic helicity is defined as the inner product of an axial vector B and a polar vector A to be a pseudoscalar. α is also considered as a pseudoscalar while E ¯ M and β are normal scalars.).
The solutions are [10]
2 H ¯ M ( t ) = ( 2 E ¯ M 0 + H ¯ M 0 ) e 2 0 t ( α β η ) d τ ( 2 E ¯ M 0 H ¯ M 0 ) e 2 0 t ( α β η ) d τ ,
4 E ¯ M ( t ) = ( 2 E ¯ M 0 + H ¯ M 0 ) e 2 0 t ( α β η ) d τ + ( 2 E ¯ M 0 H ¯ M 0 ) e 2 0 t ( α β η ) d τ ,
and,
α E M H M = 1 4 d d t l o g e | 2 E ¯ M ( t ) + H ¯ M ( t ) 2 E ¯ M ( t ) H ¯ M ( t ) | ,
β E M H M = 1 4 d d t l o g e | 2 E ¯ M ( t ) H ¯ M ( t ) 2 E ¯ M ( t ) + H ¯ M ( t ) | η .
Substituting this result into Equations (9) and (10) confirms equality between the left and right sides. The coefficients α and β can be obtained by multiplying Equation (9) by 2 and then performing simple algebraic operations with Equation (10). With α and β on the right-hand side, Equations (13) and (14) are derived, which provides an intuitive understanding of how α and β can be extracted from the raw data. Note that α and β are functions of large-scale or mean magnetic data expressed in differential form rather than integral form.
If we apply a reflection symmetry, E ¯ M does not change sign, but H ¯ M does. Then, the denominator and numerator in Equation (13) are reversed, leading to a change in the sign of α E M H M ; that is, it behaves as a pseudoscalar. In contrast, β E M H M in Equation (14) remains unchanged under reflection and thus is a scalar. For reference, helicities such as A · B , U · × U , and U · B represent interactions between an axial vector and a polar vector. Moreover, the electromagnetic field tensor F μ ν combines the electric field (a polar vector) and the magnetic field (an axial vector) into a single relativistically consistent object. Their different transformation properties are properly handled by the antisymmetric tensor structure. It is fundamentally incorrect to reject the validity of an equation or a physical quantity merely because it involves combinations of vectors and scalars of different transformation properties.

3.3. Derivation of β Using Turbulent Kinetic and Magnetic Data

With Equations (13) and (14), the profiles of α and β can be determined exactly. However, this indirect approach does not explain the physical mechanisms by which these effects are formed. In this section, we derive a more general β again using the function iterative approach, with a more detailed statistical identity relation.
Conventionally, β is found with
E M F = u × τ ( u · B ¯ ) d t ϵ i j k u j ( r ) u m ( r + l ) τ B ¯ k r ¯ m τ 3 u 2 ϵ i j k B ¯ k r ¯ m δ j m .
The eddy turnover time τ can be set as 1 under the assumption that the two eddies u j and u m are correlated over one eddy turnover time. Therefore, assuming the spatial correlation length ‘l’ for u j and u m to be l 0 and replacing the second-order velocity moment with kinetic energy is overly simplified.
In our previous work [10], we derived an expression for the β coefficient that includes both turbulent kinetic energy and kinetic helicity, using a more general second-order moment identity that accounts for helicity effects. (When applying the MHD equations through differentiation and integration, the original spatial information is not fully preserved. In turbulence, one generally employs the two-point correlation function, which statistically connects single-point scalars such as energy and helicity to a displacement ).
u × τ b t d t τ ϵ i j k u j ( r ) u m ( r + l ) B ¯ k r ¯ m τ 3 u 2 τ l 6 H V × B ¯ β v v v w × B ¯ .
This expression accurately reproduces the results when the magnetic field is weak. However, it has a limitation in the nonlinear regime where the magnetic field becomes strong, as it fails to capture the quenching effect adequately (see Figure 2c). Therefore, β needs to be derived in a more general form,
E M F = τ t u × b d t = τ u t d t × b + u × τ b t d t
For the first term in RHS [22],
τ u t d t × b τ b · B ¯ × b τ ϵ i j k b m B ¯ j r ¯ m b k τ 3 b k ( r ) b m ( r + l ) ϵ i j k B ¯ j r ¯ m δ k m τ ϵ k m s l s 6 b · × b ϵ i j k B ¯ j r ¯ m ( m i , s j ) τ 3 b 2 × B ¯ i τ H c 6 l × × B ¯ i τ 1 3 b 2 + l 6 H C × B ¯ β b b + j b × B ¯ .
We have used the identity of a second order moment for magnetic field with current helicity H C = j · b :
b k ( r ) b m ( r + l ) = b 2 3 δ k m ϵ k m s l s 6 H C .
The electromotive force, u × b , is formally a polar vector. The term l × ( × B ¯ ) is an axial vector, since it is the cross product of two polar vectors. The current helicity H C = j · b is a pseudoscalar, and β is a scalar. The finally complete form of the β coefficient can be expressed as
β n e t = β v v v w + β b b + j b = τ 2 3 E V + 2 3 E M l 6 H V + l 6 H C d t .
As shown by B ¯ / t ( β + η ) 2 B ¯ ( β + η ) k 2 B ¯ ( k = 1 ) , a reduced β due to definite positive l H V leads to the amplification of B ¯ . In contrast, definite positive l H C increases β , resulting in the decay or suppression of B ¯ .

4. Summary

We calculated the α and β effects generated by kinetic helicity, which has opposite signs in the southern and northern hemispheres of a rotating astrophysical plasma system. The large-scale magnetic field B ¯ reconstructed using the coefficients α EM HM and β EM HM showed excellent agreement with the results from direct numerical simulations (DNS). In Figure 3a,b, Comparing this theoretical model with the DNS results for the Southern Hemisphere (Figure 4a) and the Northern Hemisphere (Figure 4b), we found almost no difference in the kinematic regime, and a relative error of less than 30% in the nonlinear regime.
β vv vw reproduced a consistent magnetic field in the kinematic regime but gave unreliable results in the nonlinear regime, showing the limitations of conventional β estimates based solely on the velocity field. In Figure 2c,d, β E M H M and β v v v w agree well in the kinematic regime, but they introduce a slight difference in the nonlinear regime. These differences, in turn, explain the diverging magnetic field observed in Figure 3a,b.
We introduced additional turbulent correlation terms involving the magnetic field and current density, namely β bb + jb , and incorporated them to construct an improved coefficient, β vv vw + bb + jb . This enhanced coefficient more accurately reproduced the stable and physically realistic structure of the magnetic field. Clearly, β EM - HM and β vv - vw + bb + jb agree well even in the nonlinear regime shown in Figure 2c,d. When compared with the DNS results in Figure 3a,b, they also produce results that show excellent agreement across the entire domain. A brief comparison of each method is summarized in Table 1.
In a rotating body, the leftward Coriolis force in the southern hemisphere generates positive kinetic helicity, which in turn produces negative magnetic (current) helicity at large scales and positive magnetic (current) helicity at small scales. In contrast, in the northern hemisphere, the Coriolis force and helicities have opposite polarity. Consequently, the α effect is consistent with the polarity of the large-scale magnetic (current) helicity, whereas the β effect is independent of direction. In practice, it is the reduced β effect that amplifies the large-scale magnetic field, and in the nonlinear regime, it is enhanced by the turbulent magnetic energy and current helicity, ultimately converging toward zero. The change in the polarity of kinetic helicity based on the direction of the Coriolis force, and the resulting formation of magnetic helicity and magnetic field amplification mechanism, are illustrated in Figure 4a,b. These considerations suggest that magnetic-field amplification in a plasma composed of many charged particles is governed not solely by Maxwell’s laws, but by the combined effects of diffusive transport arising from the fluid’s statistical behavior and Maxwellian dynamics. In addition, while the Coriolis force does not influence the strength of the induced magnetic field, it does determine the polarity of the resulting helicity. These describe fundamental principles generally applicable to rotating celestial plasma bodies.

Funding

This research received no funding.

Data Availability Statement

The original contributions presented in this study are included in the article. Further inquiries can be directed to the corresponding author.

Acknowledgments

The author acknowledges the support from IPTM and is grateful for the journal’s publishing policy, which facilitates open access to this work.

Conflicts of Interest

The authors declare no conflicts of interest. The funders had no role in the design of the study; in the collection, analyses, or interpretation of data; in the writing of the manuscript; or in the decision to publish the results.

Appendix A. Theoretical Derivation of α & β

Several attempts have been made to calculate these coefficients using various dynamo theories such as MFT, EDQNM, and DIA. Despite these efforts, only approximations of the α and β coefficients are available. These theories suggest that α is related to residual helicity, b · ( × b ) u · ( × u ) , while β is linked to turbulent energy, such as u 2 or b 2 . Conventionally, α has been understood as a generator of magnetic fields, whereas β , in combination with molecular resistivity η , was thought to simply diffuse them. The theoretical expressions for α and β are outlined below.
(i)
MFT [4,28]:
α M F T = 1 3 τ j · b u · × u d t ,
β M F T = 1 3 τ u 2 d t ,
where τ is the correlation time, whose exact value remains unknown, isotropy is assumed, and higher-order terms are neglected.
(ii)
DIA [14]:
α D I A = 1 3 d k t G j · b u · × u d τ ,
β D I A = 1 3 d k t G u 2 + b 2 d τ ,
γ D I A = 1 3 d k t G u · b d τ ,
Compared to MFD, the electromotive force (EMF) is characterized by the coefficients α , β , and γ , where γ represents cross helicity u · b . Additionally, β consists of contributions from both turbulent kinetic energy and magnetic energy. It should be noted that the dependence of β on magnetic energy cannot be derived through the function recursion approach.
(iii)
EDQNM [13,29]:
α Q N = 2 3 t Θ k p q ( t ) j · b u · × u d q ,
β Q N = 2 3 t Θ k p q ( t ) u 2 d q + 2 3 t Θ k p q ( t ) b 2 d q ,
The relaxation time Θ k p q is given by 1 exp ( μ k p q t ) μ k p q , which converges to a constant over time: Θ k p q μ k p q 1 . The eddy damping operator μ k p q is determined experimentally. Note that the coefficients α and β have a factor of 2 / 3 , which stems from the quasi-normalization process that reduces fourth-order moments to second-order ones.

Appendix B. Temporal Evolution of the Magnetic Field in a Rotating Spherical System

In Figure A1a, we assume that B pol , flowing from north to south, is distorted by the sphere’s differential rotation. This rotation then leads to the formation of ( B tor ), which becomes most concentrated near the equator. Due to the Coriolis force and buoyancy in the rotating celestial body, left-handed (negative) kinetic helicity ( u · ω , ω = × u ) is generated in the northern hemisphere, while right-handed (positive) kinetic helicity forms in the southern hemisphere. In the numerical code, a series of these turbulent kinetic motions is included in the forcing term f ( r , t ) in the momentum equation. Other convective motions are represented by the large-scale velocity field U ¯ .
Figure A1. Evolution of magnetic fields in the northern and southern hemisphere. Figures (a)→(b)→(c)→(d)→(e)→(f) illustrate the amplification of the magnetic field in the early stage, while figures (f)→(g)→(h) indicate the onset of amplification of the reversed magnetic field after an apparent quiescent phase. Black arrows represent the current density, and the vertically oriented red circles denote the poloidal magnetic fields generated by the current density. Note the directions of kinetic helicity and current density in each hemisphere.
Figure A1. Evolution of magnetic fields in the northern and southern hemisphere. Figures (a)→(b)→(c)→(d)→(e)→(f) illustrate the amplification of the magnetic field in the early stage, while figures (f)→(g)→(h) indicate the onset of amplification of the reversed magnetic field after an apparent quiescent phase. Black arrows represent the current density, and the vertically oriented red circles denote the poloidal magnetic fields generated by the current density. Note the directions of kinetic helicity and current density in each hemisphere.
Particles 08 00098 g0a1
As Figure A1b shows, in the northern hemisphere, J induced by left-handed kinetic helicity is in the same direction as the magnetic flux. On the contrary, J is induced in the opposite direction in the southern hemisphere. Due to the opposite direction of B tor in both hemispheres, the current densities in the northern and southern hemispheres flow from west to east. We will discuss the generation of J aligned with B t o r due to kinetic helicity.
Figure A1c illustrates that these current densities, in turn, induce new magnetic fields B pol 0 encircling B tor , as described by Maxwell theory ( × B = μ 0 J ), not by Parker’s model. As a result, B tor and B pol 0 generate right-handed magnetic helicity in the northern hemisphere and left-handed magnetic helicity in the southern hemisphere( α effect). The fields B pol 0 reconnect to form the poloidal field ( B pol ).
In Figure A1d–f, these small poloidal fields combine to form a large-scale B pol that flows from the northern pole to the southern pole ( N S ). However, the large-scale B pol formed beneath B tor flows in the opposite direction, i.e., from south to north ( S N ). This B pol forms a new toroidal field ( B tor 2 ) through differential rotation ( α Ω effect). B tor 2 flows in the opposite direction to the original B tor . Meanwhile, the strongest B tor near the solar surface has fewer or virtually no factors for further amplification compared to B tor 2 which is still strengthened by differential rotation. Note that the polarity of J i n d · B t o r 2 is opposite to that of J i n d · B t o r .
As B tor 2 strengthens, the plasma density within the magnetic flux tube decreases, making it lighter and causing it to rise to the surface. There, it reconnects with the existing magnetic flux B tor , canceling out the magnetic fields. The amplified, oppositely directed magnetic flux beneath the surface continues to rise, eventually reaching the surface and exhibiting reversed polarity. In the new cycle depicted in Figure A1h, the current densities in both hemispheres flow from east to west, driven by the polarities of kinetic helicity. This process repeats every 11 years, accounting for the polarity reversal of the solar surface magnetic flux and the brief disappearance of magnetic fields between them. Nonetheless, J ind · B tor in the southern (northern) hemisphere is always left (right) handed, regardless of the reversal of the magnetic field.

References

  1. Brown, M.; Canfield, R.; Field, G.; Kulsrud, R.; Pevtsov, A.; Rosner, R.; Seehafer, N. Magnetic helicity in space and laboratory plasmas: Editorial summary. Geophys. Monogr. Ser. 1999, 111, 301–304. [Google Scholar] [CrossRef]
  2. Steenbeck, M.; Krause, F. Erklärung stellarer und planetarer Magnetfelder durch einen turbulenzbedingten Dynamomechanismus. Z. Naturforschung Teil A 1966, 21, 1285. [Google Scholar] [CrossRef]
  3. Moffatt, H.K. Magnetic Field Generation in Electrically Conducting Fluids; Cambridge University Press: Cambridge, UK, 1978; 353p. [Google Scholar]
  4. Krause, F.; Rädler, K. Mean-Field Magnetohydrodynamics and Dynamo Theory; Pergamon Press, Ltd.: Oxford, UK, 1980; 271p. [Google Scholar]
  5. Brandenburg, A.; Subramanian, K. Astrophysical magnetic fields and nonlinear dynamo theory. Phys. Rep. 2005, 417, 1–209. [Google Scholar] [CrossRef]
  6. Rogachevskii, I.; Kleeorin, N.; Brandenburg, A. Theory of the Kinetic Helicity Effect on Turbulent Diffusion of Magnetic and Scalar Fields. Astrophys. J. 2025, 985, 18. [Google Scholar] [CrossRef]
  7. Brandenburg, A.; Käpylä, P.J.; Rogachevskii, I.; Yokoi, N. Helicity Effect on Turbulent Passive and Active Scalar Diffusivities. Astrophys. J. 2025, 984, 88. [Google Scholar] [CrossRef]
  8. Park, K. Negative Magnetic Diffusivity β Replacing the α Effect in the Helical Dynamo. Astrophys. J. 2020, 898, 112. [Google Scholar] [CrossRef]
  9. Park, K.; Cheoun, M.K.; Kim, C.B. Turbulent Magnetic Diffusivity β Effect in a Magnetically Forced System. Astrophys. J. 2023, 944, 2. [Google Scholar] [CrossRef]
  10. Park, K. Effect of turbulent kinetic helicity on diffusive β effect for large scale dynamo. Phys. Rev. D 2025, 111, 023021. [Google Scholar] [CrossRef]
  11. Park, K. α Effect and Magnetic Diffusivity β in Helical Plasma Under Turbulence Growth. Universe 2025, 11, 203. [Google Scholar] [CrossRef]
  12. Parker, E.N. Hydromagnetic Dynamo Models. Astrophys. J. 1955, 122, 293. [Google Scholar] [CrossRef]
  13. Pouquet, A.; Frisch, U.; Leorat, J. Strong MHD helical turbulence and the nonlinear dynamo effect. J. Fluid Mech. 1976, 77, 321–354. [Google Scholar] [CrossRef]
  14. Yoshizawa, A. Hydrodynamic and Magnetohydrodynamic Turbulent Flows; Springer: Berlin/Heidelberg, Germany, 2011. [Google Scholar]
  15. Lanotte, A.; Noullez, A.; Vergassola, M.; Wirth, A. Large-scale dynamo produced by negative magnetic eddy diffusivities. Geophys. Astrophys. Fluid Dyn. 1999, 91, 131–146. [Google Scholar] [CrossRef]
  16. Schrinner, M.; Rädler, K.H.; Schmitt, D.; Rheinhardt, M.; Christensen, U. Mean-field view on rotating magnetoconvection and a geodynamo model. Astron. Nachrichten 2005, 326, 245–249. [Google Scholar] [CrossRef]
  17. Cabanes, S.; Schaeffer, N.; Nataf, H.C. Turbulence Reduces Magnetic Diffusivity in a Liquid Sodium Experiment. Phys. Rev. Lett. 2014, 113, 184501. [Google Scholar] [CrossRef] [PubMed]
  18. Giesecke, A.; Stefani, F.; Gerbeth, G. Magnetic material in mean-field dynamos driven by small scale helical flows. New J. Phys. 2014, 16, 073034. [Google Scholar] [CrossRef]
  19. Simard, C.; Charbonneau, P.; Bouchat, A. Magnetohydrodynamic Simulation-driven Kinematic Mean Field Model of the Solar Cycle. Astrophys. J. 2013, 768, 16. [Google Scholar] [CrossRef]
  20. Racine, É.; Charbonneau, P.; Ghizaru, M.; Bouchat, A.; Smolarkiewicz, P.K. On the Mode of Dynamo Action in a Global Large-eddy Simulation of Solar Convection. Astrophys. J. 2011, 735, 46. [Google Scholar] [CrossRef]
  21. Jouve, L.; Brun, A.S.; Arlt, R.; Brandenburg, A.; Dikpati, M.; Bonanno, A.; Käpylä, P.J.; Moss, D.; Rempel, M.; Gilman, P.; et al. A solar mean field dynamo benchmark. Astron. Astrophys. 2008, 483, 949–960. [Google Scholar] [CrossRef]
  22. Park, K. Effects of Turbulent Magnetic Energy and Current Helicity on Magnetic Diffusivity in Dynamos. Institute of Plasmas Turbulence and Magnetic Fields (ITPM), 50 Yongdam-ro, Sangdang-gu, Cheongju, Republic of Korea. 2025; under review. [Google Scholar]
  23. Charbonneau, P. Solar Dynamo Theory. Annu. Rev. Astron. Astrophys. 2014, 52, 251–290. [Google Scholar] [CrossRef]
  24. Arfken, G.B.; Weber, H.J. Mathematical Methods for Physicists, 6th ed.; Elsevier: Amsterdam, The Netherlands; Boston, MA, USA, 2005. [Google Scholar]
  25. Goldstein, H.; Poole, C.; Safko, J. Classical Mechanics, 3rd ed.; Addison Wesley: Newyork, NY, USA, 2001. [Google Scholar]
  26. Pipin, V.V.; Pevtsov, A.A. Magnetic helicity of the global field in solar cycles 23 and 24. Astrophys. J. 2014, 789, 21. [Google Scholar] [CrossRef]
  27. Zhang, H.; Sakurai, T.; Pevtsov, A.; Gao, Y.; Xu, H.; Sokoloff, D.D.; Kuzanyan, K. A new dynamo pattern revealed by solar helical magnetic fields. Mon. Not. R. Astron. Soc. Lett. 2010, 402, L30–L33. [Google Scholar] [CrossRef]
  28. Park, K.; Blackman, E.G. Comparison between turbulent helical dynamo simulations and a non-linear three-scale theory. Mon. Not. R. Astron. Soc. 2012, 419, 913–924. [Google Scholar] [CrossRef]
  29. Frisch, U.; Pouquet, A.; Leorat, J.; Mazure, A. Possibility of an inverse cascade of magnetic helicity in magnetohydrodynamic turbulence. J. Fluid Mech. 1975, 68, 769–778. [Google Scholar] [CrossRef]
Figure 1. Left panel: southern hemisphere (positive kinetic helicity), right panel: northern hemisphere (negative kinetic helicity).
Figure 1. Left panel: southern hemisphere (positive kinetic helicity), right panel: northern hemisphere (negative kinetic helicity).
Particles 08 00098 g001aParticles 08 00098 g001b
Figure 2. (a,b) α M F T ( = α j b v w ) reflects its dependence on the sign of externally provided kinetic helicity. (c,d) Unlike α , the β coefficient does not change its sign in response to the sign of kinetic helicity. β E M H M exhibits significant fluctuations after t > 250 , but its time average effectively converges to zero. In contrast, β M F T ( = β v v ) remains positive, while β v v v w and β v v v w + b b + j b stay negative.
Figure 2. (a,b) α M F T ( = α j b v w ) reflects its dependence on the sign of externally provided kinetic helicity. (c,d) Unlike α , the β coefficient does not change its sign in response to the sign of kinetic helicity. β E M H M exhibits significant fluctuations after t > 250 , but its time average effectively converges to zero. In contrast, β M F T ( = β v v ) remains positive, while β v v v w and β v v v w + b b + j b stay negative.
Particles 08 00098 g002
Figure 3. (a,b) Large-scale magnetic field B ¯ reconstructed using different combinations of α and β . The correlation length corresponds to k = 3.09 (south) k = 3 (north), which is the midpoint between the large scale ( k = 1 ) and the forcing scale ( k = 5 ).
Figure 3. (a,b) Large-scale magnetic field B ¯ reconstructed using different combinations of α and β . The correlation length corresponds to k = 3.09 (south) k = 3 (north), which is the midpoint between the large scale ( k = 1 ) and the forcing scale ( k = 5 ).
Particles 08 00098 g003
Figure 4. (a) Right handed kinetic helicity u · ω in southern hemisphere. The plasma flux, buoyed toward the surface, is twisted clockwise by the Coriolis force, generating right-handed kinetic helicity. (b) Left panel: nonhelical kinetic structure and seed magnetic field B 0 . Right panel: right handed kinetic helicity and B 0 . Negative j 0 · B 0 and positive j 1 · b i n d are generated (southern hemisphere).
Figure 4. (a) Right handed kinetic helicity u · ω in southern hemisphere. The plasma flux, buoyed toward the surface, is twisted clockwise by the Coriolis force, generating right-handed kinetic helicity. (b) Left panel: nonhelical kinetic structure and seed magnetic field B 0 . Right panel: right handed kinetic helicity and B 0 . Negative j 0 · B 0 and positive j 1 · b i n d are generated (southern hemisphere).
Particles 08 00098 g004
Table 1. Comparison of Methods for Calculating α and β and Their Impact on B ¯ . The accuracy varies slightly depending on the numerical method used to evaluate the theoretical formula (Euler forward difference, RK, or exponential).
Table 1. Comparison of Methods for Calculating α and β and Their Impact on B ¯ . The accuracy varies slightly depending on the numerical method used to evaluate the theoretical formula (Euler forward difference, RK, or exponential).
MethodData UsedCalculation MethodAccuracy of B ¯
α M F T & β M F T v and bintegralinaccurate
α E M H M & β E M H M B ¯ differentiationaccurate in the whole range
α E M H M & β v v v w v and B ¯ integral and differentiationaccurate for weak B ¯
α E M H M & β v v v w + b b + j b v, b, and B ¯ integral and differentiationaccurate in the whole range
Disclaimer/Publisher’s Note: The statements, opinions and data contained in all publications are solely those of the individual author(s) and contributor(s) and not of MDPI and/or the editor(s). MDPI and/or the editor(s) disclaim responsibility for any injury to people or property resulting from any ideas, methods, instructions or products referred to in the content.

Share and Cite

MDPI and ACS Style

Park, K. Magnetic Field Amplification and Reconstruction in Rotating Astrophysical Plasmas: Verifying the Roles of α and β in Dynamo Action. Particles 2025, 8, 98. https://doi.org/10.3390/particles8040098

AMA Style

Park K. Magnetic Field Amplification and Reconstruction in Rotating Astrophysical Plasmas: Verifying the Roles of α and β in Dynamo Action. Particles. 2025; 8(4):98. https://doi.org/10.3390/particles8040098

Chicago/Turabian Style

Park, Kiwan. 2025. "Magnetic Field Amplification and Reconstruction in Rotating Astrophysical Plasmas: Verifying the Roles of α and β in Dynamo Action" Particles 8, no. 4: 98. https://doi.org/10.3390/particles8040098

APA Style

Park, K. (2025). Magnetic Field Amplification and Reconstruction in Rotating Astrophysical Plasmas: Verifying the Roles of α and β in Dynamo Action. Particles, 8(4), 98. https://doi.org/10.3390/particles8040098

Article Metrics

Back to TopTop