Pre-Supernova (Anti)Neutrino Emission Due to Weak-Interaction Reactions with Hot Nuclei
Abstract
1. Introduction
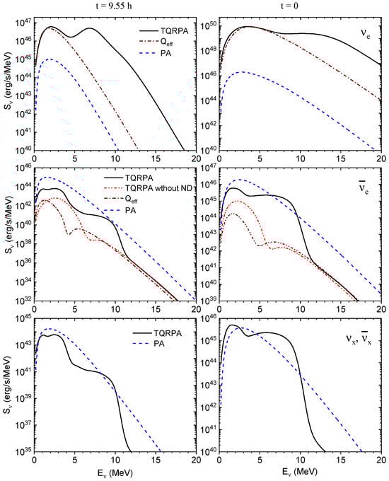
2. Neutrino Spectra Within the TQRPA Framework and Pre-Supernova Model
3. Results
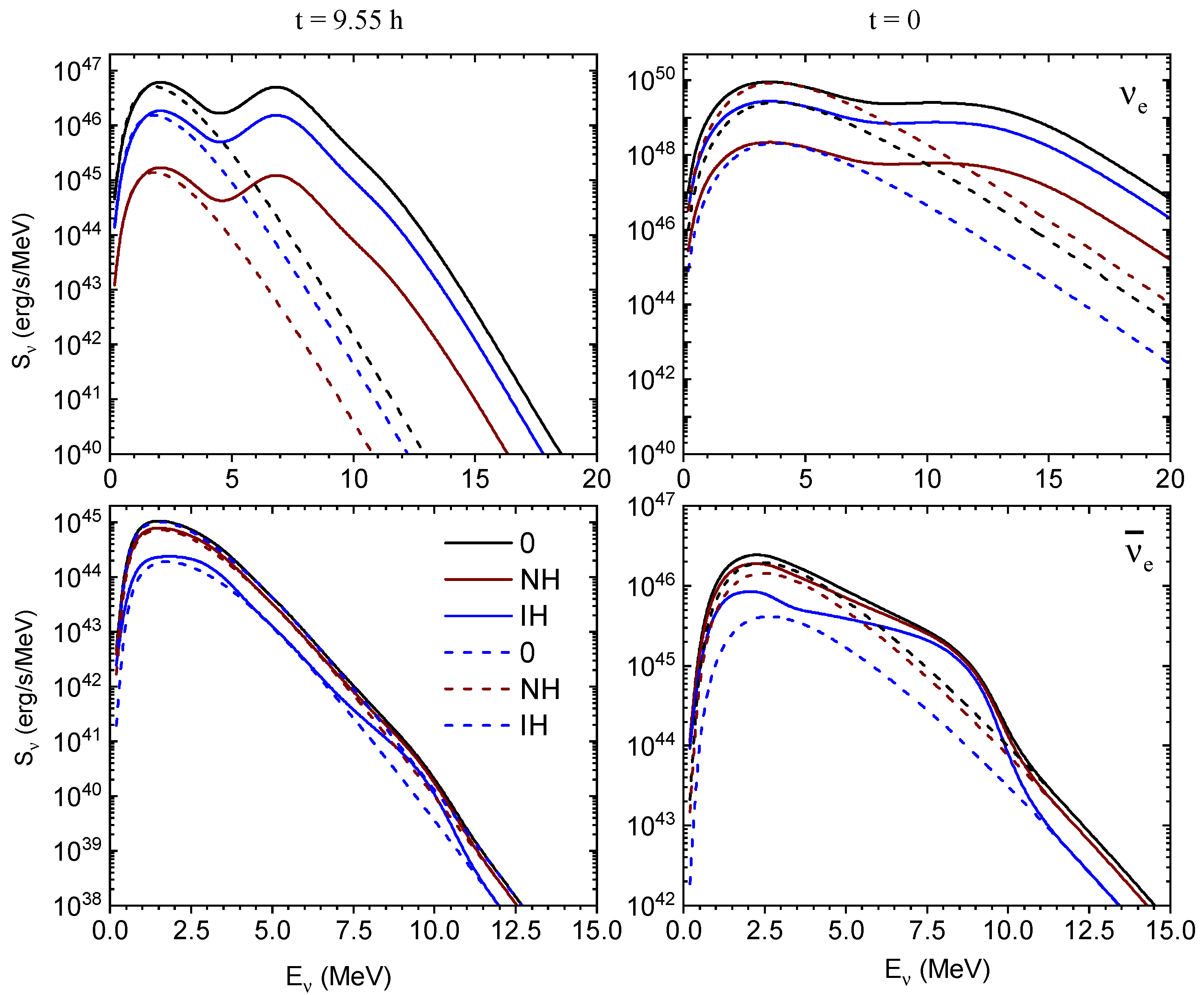
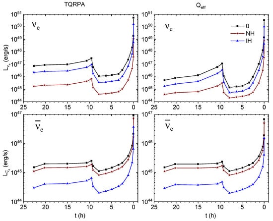
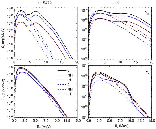
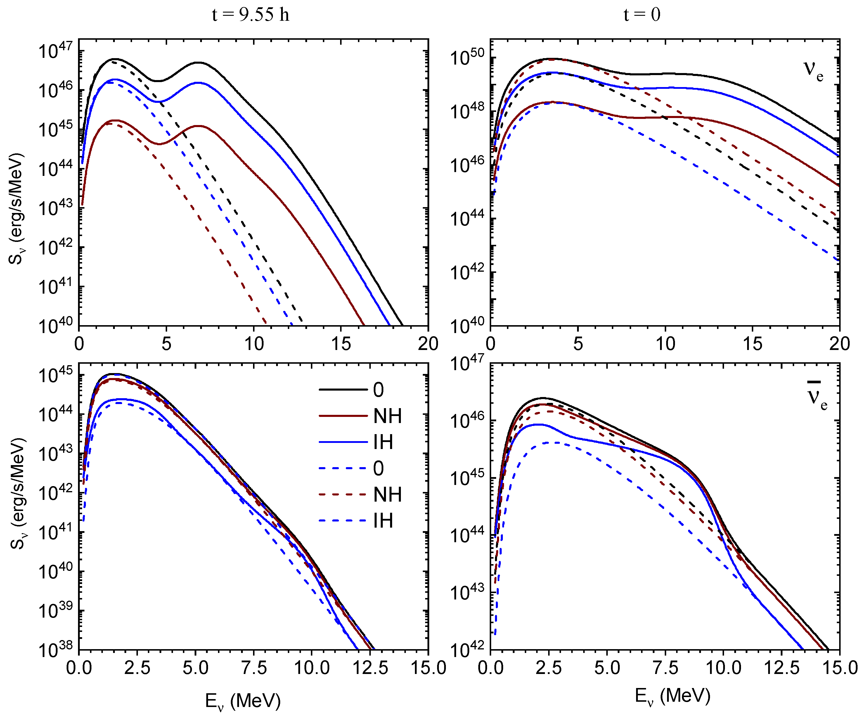
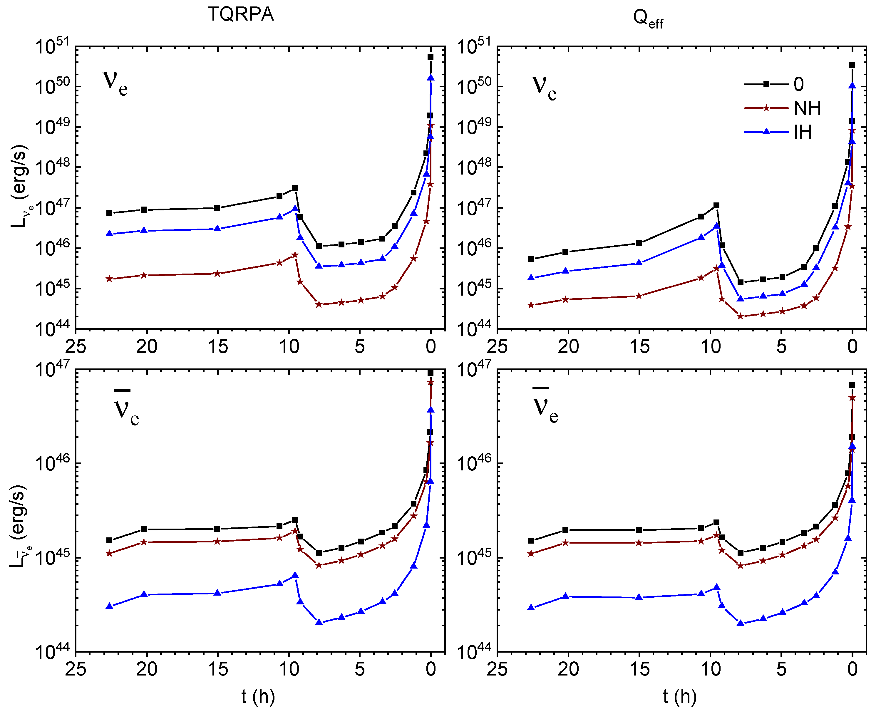
3.1. Luminosities and Spectra of Pre-Supernova Neutrinos
3.2. Neutrino Oscillations
4. Conclusions
Author Contributions
Funding
Data Availability Statement
Conflicts of Interest
References
- Woosley, S.E.; Heger, A.; Weaver, T.A. The evolution and explosion of massive stars. Rev. Mod. Phys. 2002, 74, 1015–1071. [Google Scholar] [CrossRef]
- Janka, H.T.; Langanke, K.; Marek, A.; Martínez-Pinedo, G.; Müller, B. Theory of core-collapse supernovae. Phys. Rep. 2007, 442, 38–74. [Google Scholar] [CrossRef]
- Balasi, K.; Langanke, K.; Martínez-Pinedo, G. Neutrino–nucleus reactions and their role for supernova dynamics and nucleosynthesis. Prog. Part. Nucl. Phys. 2015, 85, 33–81. [Google Scholar] [CrossRef]
- Hirata, K.; Kajita, T.; Koshiba, M.; Nakahata, M.; Oyama, Y.; Sato, N.; Suzuki, A.; Takita, M.; Totsuka, Y.; Kifune, T.; et al. Observation of a neutrino burst from the supernova SN1987A. Phys. Rev. Lett. 1987, 58, 1490–1493. [Google Scholar] [CrossRef]
- Bionta, R.M.; Blewitt, G.; Bratton, C.B.; Casper, D.; Ciocio, A.; Claus, R.; Cortez, B.; Crouch, M.; Dye, S.T.; Errede, S.; et al. Observation of a neutrino burst in coincidence with supernova 1987A in the Large Magellanic Cloud. Phys. Rev. Lett. 1987, 58, 1494–1496. [Google Scholar] [CrossRef]
- Alekseev, E.N.; Alekseeva, L.N.; Volchenko, V.I.; Krivosheina, I.V. Possible detection of a neutrino signal on 23 February 1987 at the Baksan underground scintillation telescope of the Institute of Nuclear Research. Sov. J. Exp. Theor. Phys. Lett. 1987, 45, 589. [Google Scholar]
- Odrzywolek, A.; Misiaszek, M.; Kutschera, M. Detection possibility of the pair-annihilation neutrinos from the neutrino-cooled pre-supernova star. Astropart. Phys. 2004, 21, 303–313. [Google Scholar] [CrossRef]
- Odrzywolek, A.; Misiaszek, M.; Kutschera, M. Neutrinos from Pre-Supernova Star. Acta Phys. Pol. B 2004, 35, 1981. [Google Scholar] [CrossRef]
- Asakura, K.; Gando, A.; Gando, Y.; Hachiya, T.; Hayashida, S.; Ikeda, H.; Inoue, K.; Ishidoshiro, K.; Ishikawa, T.; Ishio, S.; et al. KamLAND sensitivity to neutrinos from pre-supernova stars. Astrophys. J. 2016, 818, 91. [Google Scholar] [CrossRef]
- Kato, C.; Delfan Azari, M.; Yamada, S.; Takahashi, K.; Umeda, H.; Yoshida, T.; Ishidoshiro, K. Pre-supernova Neutrino Emissions from ONe Cores in the Progenitors of Core-collapse Supernovae: Are They Distinguishable from Those of Fe Cores? Astrophys. J. 2015, 808, 168. [Google Scholar] [CrossRef]
- Patton, K.M.; Lunardini, C.; Farmer, R.J. Presupernova Neutrinos: Realistic Emissivities from Stellar Evolution. Astrophys. J. 2017, 840, 2. [Google Scholar] [CrossRef]
- Patton, K.M.; Lunardini, C.; Farmer, R.J.; Timmes, F.X. Neutrinos from Beta Processes in a Presupernova: Probing the Isotopic Evolution of a Massive Star. Astrophys. J. 2017, 851, 6. [Google Scholar] [CrossRef]
- Langanke, K.; Martínez-Pinedo, G.; Sampaio, J.M. Neutrino spectra from stellar electron capture. Phys. Rev. C 2001, 64, 055801. [Google Scholar] [CrossRef]
- Langanke, K.; Martínez-pinedo, G. Rate tables for the weak processes of pf-shell nuclei in stellar environments. At. Data Nucl. Data Tables 2001, 79, 1–46. [Google Scholar] [CrossRef]
- Misch, G.W.; Fuller, G.M. Nuclear neutrino energy spectra in high temperature astrophysical environments. Phys. Rev. C 2016, 94, 055808. [Google Scholar] [CrossRef]
- Langanke, K.; Martínez-Pinedo, G. Shell-model calculations of stellar weak interaction rates: II. Weak rates for nuclei in the mass range /A=45-65 in supernovae environments. Nucl. Phys. A 2000, 673, 481–508. [Google Scholar] [CrossRef]
- Dzhioev, A.A.; Yudin, A.V.; Dunina-Barkovskaya, N.V.; Vdovin, A.I. Neutrino Spectrum and Energy Loss Rates Due to Weak Processes on Hot 56Fe in Pre-Supernova Environment. Particles 2023, 6, 682–692. [Google Scholar] [CrossRef]
- Dzhioev, A.A.; Yudin, A.V.; Dunina-Barkovskaya, N.V.; Vdovin, A.I. Neutrinos from pre-supernova in the framework of TQRPA method. Mon. Not. R. Astron. Soc. 2024, 527, 7701–7712. [Google Scholar] [CrossRef]
- Dzhioev, A.A.; Yudin, A.V.; Dunina-Barkovskaya, N.V.; Vdovin, A.I. Neutrinos from pre-supernova: Effects of nuclear temperature on luminosities and spectra. Int. J. Mod. Phys. E 2024, 33, 2441014. [Google Scholar] [CrossRef]
- Dzhioev, A.A.; Vdovin, A.I. Superoperator Approach to the Theory of Hot Nuclei and Astrophysical Applications: I – Spectral Properties of Hot Nuclei. Phys. Part. Nucl. 2022, 53, 885–938. [Google Scholar] [CrossRef]
- Available online: http://user.astro.wisc.edu/~townsend/static.php?ref=mesa-web (accessed on 18 May 2024).
- Paxton, B.; Bildsten, L.; Dotter, A.; Herwig, F.; Lesaffre, P.; Timmes, F. Modules for Experiments in Stellar Astrophysics (MESA). Astrophys. J. Suppl. Ser. 2011, 192, 3. [Google Scholar] [CrossRef]
- Paxton, B.; Cantiello, M.; Arras, P.; Bildsten, L.; Brown, E.F.; Dotter, A.; Mankovich, C.; Montgomery, M.H.; Stello, D.; Timmes, F.X.; et al. Modules for Experiments in Stellar Astrophysics (MESA): Planets, Oscillations, Rotation, and Massive Stars. Astrophys. J. Suppl. Ser. 2013, 208, 4. [Google Scholar] [CrossRef]
- Paxton, B.; Marchant, P.; Schwab, J.; Bauer, E.B.; Bildsten, L.; Cantiello, M.; Dessart, L.; Farmer, R.; Hu, H.; Langer, N.; et al. Modules for Experiments in Stellar Astrophysics (MESA): Binaries, Pulsations, and Explosions. Astrophys. J. Suppl. Ser. 2015, 220, 15. [Google Scholar] [CrossRef]
- Paxton, B.; Schwab, J.; Bauer, E.B.; Bildsten, L.; Blinnikov, S.; Duffell, P.; Farmer, R.; Goldberg, J.A.; Marchant, P.; Sorokina, E.; et al. Modules for Experiments in Stellar Astrophysics (MESA): Convective Boundaries, Element Diffusion, and Massive Star Explosions. Astrophys. J. Suppl. Ser. 2018, 234, 34. [Google Scholar] [CrossRef]
- Paxton, B.; Smolec, R.; Schwab, J.; Gautschy, A.; Bildsten, L.; Cantiello, M.; Dotter, A.; Farmer, R.; Goldberg, J.A.; Jermyn, A.S.; et al. Modules for Experiments in Stellar Astrophysics (MESA): Pulsating Variable Stars, Rotation, Convective Boundaries, and Energy Conservation. Astrophys. J. Suppl. Ser. 2019, 243, 10. [Google Scholar] [CrossRef]
- Misiaszek, M.; Odrzywołek, A.; Kutschera, M. Neutrino spectrum from the pair-annihilation process in the hot stellar plasma. Phys. Rev. D 2006, 74, 043006. [Google Scholar] [CrossRef]
- Kolupaeva, L.; Gonchar, M.; Ol’shevskii, A.; Samoylov, O. Neutrino oscillations: Status and prospects for the determination of neutrino mass ordering and the leptonic CP-violation phase. Phys. Usp. 2023, 66, 753. [Google Scholar] [CrossRef]






Disclaimer/Publisher’s Note: The statements, opinions and data contained in all publications are solely those of the individual author(s) and contributor(s) and not of MDPI and/or the editor(s). MDPI and/or the editor(s) disclaim responsibility for any injury to people or property resulting from any ideas, methods, instructions or products referred to in the content. |
© 2025 by the authors. Licensee MDPI, Basel, Switzerland. This article is an open access article distributed under the terms and conditions of the Creative Commons Attribution (CC BY) license (https://creativecommons.org/licenses/by/4.0/).
Share and Cite
Dzhioev, A.A.; Yudin, A.V.; Dunina-Barkovskaya, N.V.; Vdovin, A.I. Pre-Supernova (Anti)Neutrino Emission Due to Weak-Interaction Reactions with Hot Nuclei. Particles 2025, 8, 84. https://doi.org/10.3390/particles8040084
Dzhioev AA, Yudin AV, Dunina-Barkovskaya NV, Vdovin AI. Pre-Supernova (Anti)Neutrino Emission Due to Weak-Interaction Reactions with Hot Nuclei. Particles. 2025; 8(4):84. https://doi.org/10.3390/particles8040084
Chicago/Turabian StyleDzhioev, Alan A., Andrey V. Yudin, Natalia V. Dunina-Barkovskaya, and Andrey I. Vdovin. 2025. "Pre-Supernova (Anti)Neutrino Emission Due to Weak-Interaction Reactions with Hot Nuclei" Particles 8, no. 4: 84. https://doi.org/10.3390/particles8040084
APA StyleDzhioev, A. A., Yudin, A. V., Dunina-Barkovskaya, N. V., & Vdovin, A. I. (2025). Pre-Supernova (Anti)Neutrino Emission Due to Weak-Interaction Reactions with Hot Nuclei. Particles, 8(4), 84. https://doi.org/10.3390/particles8040084

