Galactic Stellar Black Hole Binaries: Spin Effects on Jet Emissions of High-Energy Gamma-Rays
Abstract
1. Introduction
2. Background—Description of the Model
2.1. Kerr
2.2. Main Reactions Inside the Jets
2.3. The Transfer Equation
2.4. Gamma-Ray Source Function
2.5. Intensities and Integral Fluxes
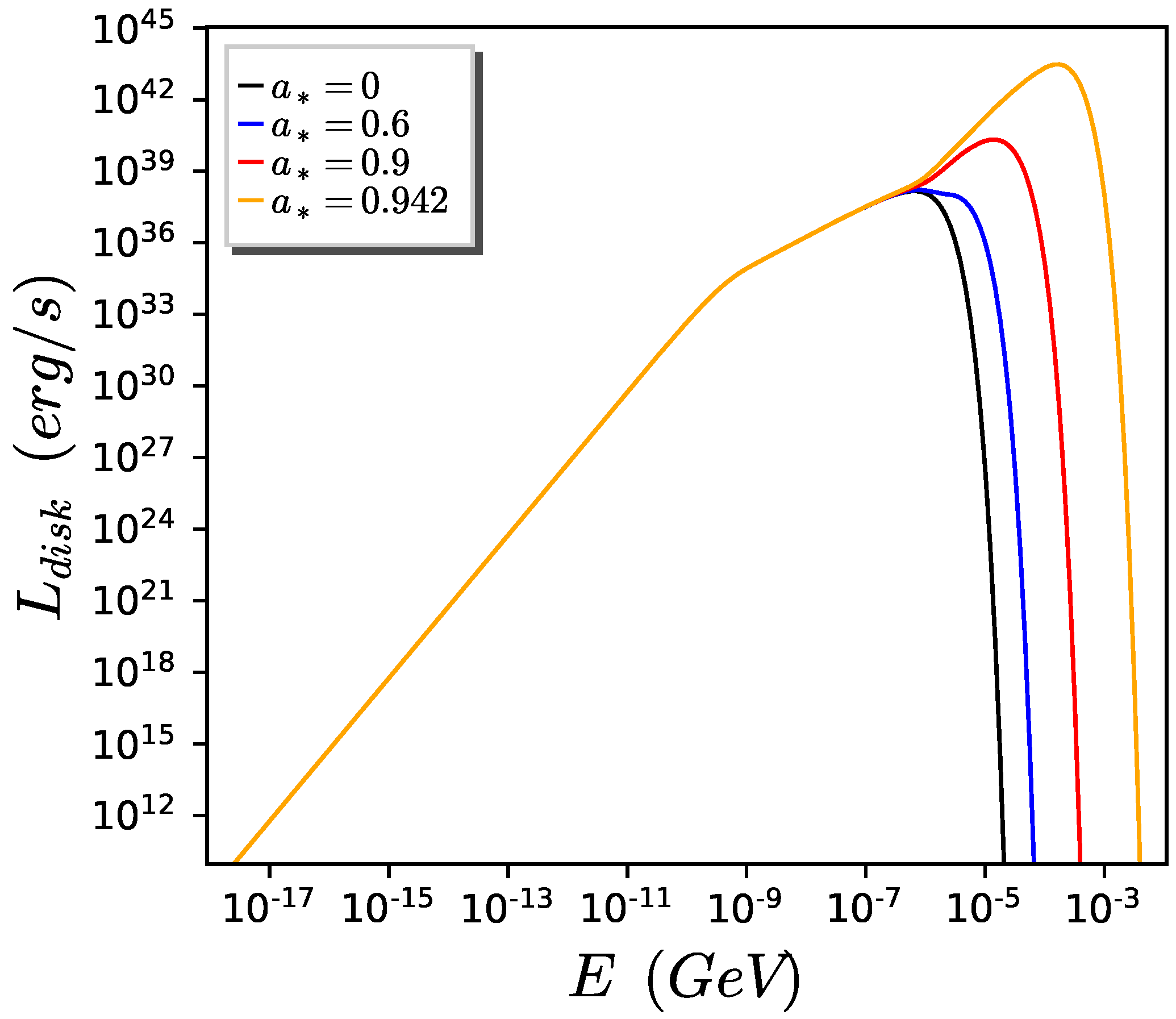
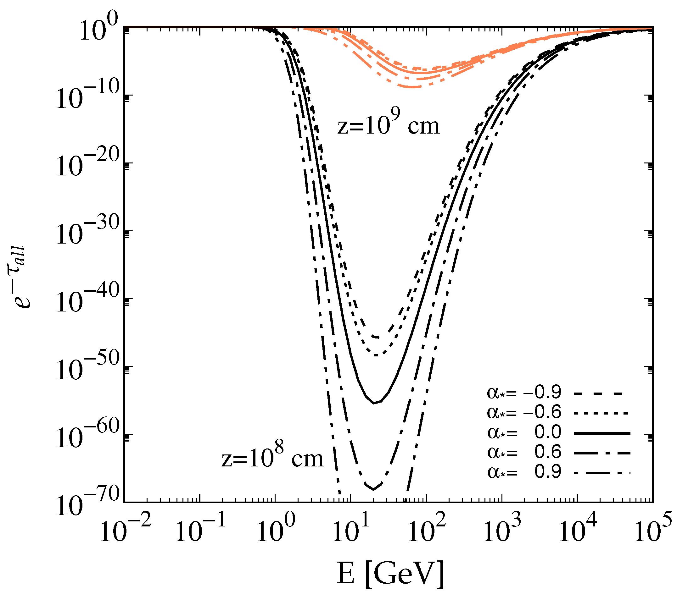
2.6. Absorption from the Accretion Disk
3. Results and Discussion
4. Conclusions
Author Contributions
Funding
Data Availability Statement
Conflicts of Interest
Abbreviations
| BHXRB | Black Hole X-ray Binary | 
| Radius of the Innermost Stable Circular Orbit | 
References
- Schee, J.; Stuchlík, Z. Profiles of emission lines generated by rings orbiting braneworld Kerr black holes. Gen. Relativ. Gravit. 2009, 41, 1795–1818. [Google Scholar] [CrossRef]
- Bambi, C. Testing the space-time geometry around black hole candidates with the analysis of the broad K α iron line. Phys. Rev. 2013, 87, 023007. [Google Scholar]
- Bambi, C. Broad K α iron line from accretion disks around traversable wormholes. Phys. Rev. 2013, 87, 084039. [Google Scholar]
- Johannsen, T.; Psaltis, D. Testing the no-hair theorem with observations in the electromagnetic spectrum. IV. Relativistically broadened iron lines. Astrophys. J. 2013, 773, 57. [Google Scholar] [CrossRef]
- Jiang, J.; Bambi, C.; Steiner, J.F. Testing the Kerr nature of black hole candidates using iron line spectra in the CPR framework. Astrophys. J. 2015, 811, 130. [Google Scholar] [CrossRef]
- Ni, Y.; Zhou, M.; Cardenas-Avendano, A.; Bambi, C.; Herdeiro, C.A.; Radu, E. Iron Kα line of Kerr black holes with scalar hair. J. Cosmol. Astropart. Phys. 2016, 2016, 049. [Google Scholar] [CrossRef]
- Zhou, M.; Cardenas-Avendano, A.; Bambi, C.; Kleihaus, B.; Kunz, J. Search for astrophysical rotating Ellis wormholes with X-ray reflection spectroscopy. Phys. Rev. D 2016, 94, 024036. [Google Scholar] [CrossRef]
- Bambi, C.; Abdikamalov, A.B.; Ayzenberg, D.; Cao, Z.; Liu, H.; Nampalliwar, S.; Tripathi, A.; Wang-Ji, J.; Xu, Y. relxill_nk: A Relativistic Reflection Model for Testing Einstein’s Gravity. Universe 2018, 4, 79. [Google Scholar] [CrossRef]
- Zhang, Y.; Abdikamalov, A.B.; Ayzenberg, D.; Bambi, C.; Dauser, T.; García, J.A.; Nampalliwar, S. About the Kerr Nature of the Stellar-mass Black Hole in GRS 1915+105. Astrophys. J. 2019, 875, 41. [Google Scholar]
- Kerr, R.P. Gravitational field of a spinning mass as an example of algebraically special metrics. Phys. Rev. Lett. 1963, 11, 237. [Google Scholar] [CrossRef]
- Romero, G.E.; Vila, G.S. Introduction to Black Hole Astrophysics; Springer: Berlin/Heidelberg, Germany, 2013; Volume 876. [Google Scholar]
- Newman, E.T.; Couch, E.; Chinnapared, K.; Exton, A.; Prakash, A.; Torrence, R. Metric of a rotating, charged mass. J. Math. Phys. 1965, 6, 918–919. [Google Scholar] [CrossRef]
- McClintock, J.E.; Narayan, R.; Davis, S.W.; Gou, L.; Kulkarni, A.; Orosz, J.A.; Penna, R.F.; Remillard, R.A.; Steiner, J.F. Measuring the spins of accreting black holes. Class. Quantum Gravity 2011, 28, 114009. [Google Scholar] [CrossRef]
- Papavasileiou, T.V.; Kosmas, O.T.; Sinatkas, I. Prediction of gamma-ray emission from Cygnus X-1, SS 433, and GRS 1915+105 after absorption. Astron. Astrophys. 2023, 673, A162. [Google Scholar] [CrossRef]
- Papavasileiou, T.V.; Kosmas, O.T.; Sinatkas, I. Studying the Spectral Energy Distributions Emanating from Regular Galactic XRBs. Universe 2023, 9, 312. [Google Scholar] [CrossRef]
- Kosmas, O.T.; Papavasileiou, T.V.; Kosmas, T.S. Integral Fluxes of Neutrinos and Gamma-Rays Emitted from Neighboring X-ray Binaries. Universe 2023, 9, 517. [Google Scholar] [CrossRef]
- Hobson, M.P.; Efstathiou, G.P.; Lasenby, A.N. General Relativity: An Introduction for Physicists; Cambridge University Press: New York, NY, USA, 2006; pp. 310–354. [Google Scholar]
- Bardeen, J.M.; Press, W.H.; Teukolsky, S.A. Rotating black holes: Locally nonrotating frames, energy extraction, and scalar synchrotron radiation. Astrophys. J. 1972, 178, 347–370. [Google Scholar] [CrossRef]
- Böttcher, M.; Dermer, C.D. Photon-Photon Absorption of Very High Energy Gamma Rays from Microquasars: Application to LS 5039. Astrophys. J. 2005, 634, L81–L84. [Google Scholar] [CrossRef]
- Cerutti, B.; Dubus, G.; Malzac, J.; Szostek, A.; Belmont, R.; Zdziarski, A.A.; Henri, G. Absorption of high-energy gamma rays in Cygnus X-3. Astron. Astrophys. 2011, 529, A120. [Google Scholar] [CrossRef][Green Version]
- Romero, G.E.; Vila, G.S. The proton low-mass microquasar: High-energy emission. Astron. Astrophys. 2008, 485, 623–631. [Google Scholar] [CrossRef]
- Mannheim, K.; Schlickeiser, R. Interactions of cosmic ray nuclei. Astron. Astrophys. 1994, 286, 983–996. [Google Scholar]
- Smponias, T.; Kosmas, O.T. Neutrino Emission from Magnetized Microquasar Jets. Adv. High Energy Phys. 2017, 2017, 4962741. [Google Scholar] [CrossRef]
- Romero, G.E.; Torres, D.F.; Kaufman Bernadó, M.M.; Mirabel, I.F. Hadronic gamma-ray emission from windy microquasars. Astron. Astrophys. 2003, 410, L1–L4. [Google Scholar] [CrossRef]
- Zhang, J.F.; Li, Z.R.; Xiang, F.Y.; Lu, J.F. Electron transport with re-acceleration and radiation in the jets of X-ray binaries. Mon. Not. R. Astron. Soc. 2017, 473, 3211–3222. [Google Scholar] [CrossRef]
- Kosmas, O.T.; Leyendecker, S. Phase lag analysis of variational integrators using interpolation techniques. PAMM Proc. Appl. Math. Mech. 2012, 12, 677–678. [Google Scholar]
- Kosmas, O.T.; Leyendecker, S. Family of high order exponential variational integrators for split potential systems. J. Phys. Conf. Ser. 2015, 574, 012002. [Google Scholar] [CrossRef]
- Kosmas, O.T.; Vlachos, D.S. A space-time geodesic approach for phase fitted variational integrators. Phys. Conf. Ser. 2016, 738, 012133. [Google Scholar] [CrossRef]
- Kantzas, D.; Markoff, S.; Beuchert, T.; Lucchini, M.; Chhotray, A.; Ceccobello, C.; Tetarenko, A.J.; Miller-Jones, J.C.A.; Bremer, M.; Garcia, J.A.; et al. A new lepto-hadronic model applied to the first simultaneous multiwavelength data set for Cygnus X–1. Mon. Not. R. Astron. Soc. 2021, 500, 2112–2126. [Google Scholar] [CrossRef]
- Carulli, A.M.; Reynoso, M.M.; Romero, G.E. Neutrino production in Population III microquasars. Astropart. Phys. 2021, 128, 102557. [Google Scholar] [CrossRef]
- Papavasileiou, T.; Kosmas, O.; Sinatkas, I. Simulations of Neutrino and Gamma-Ray Production from Relativistic Black-Hole Microquasar Jets. Galaxies 2021, 9, 67. [Google Scholar] [CrossRef]
- Papavasileiou, T.; Kosmas, O.; Sinatkas, I. Relativistic Magnetized Astrophysical Plasma Outflows in Black-Hole Microquasars. Symmetry 2022, 14, 485. [Google Scholar] [CrossRef]
- Kelner, S.R.; Aharonian, F.A.; Bugayov, V.V. Energy spectra of gamma rays, electrons, and neutrinos produced at proton-proton interactions in the very high energy regime. Phys. Rev. D 2006, 74, 034018. [Google Scholar] [CrossRef]
- Smponias, T.; Kosmas, O.T. High Energy Neutrino Emission from Astrophysical Jets in the Galaxy. Adv. High Energy Phys. 2015, 2015, 921757. [Google Scholar] [CrossRef]
- Kosmas, O.; Smponias, T. Simulations of Gamma-Ray Emission from Magnetized Microquasar Jets. J. Adv. High Energy Phys. 2018, 2018, 9602960. [Google Scholar] [CrossRef]
- Reynoso, M.M.; Romero, G.E.; Christiansen, H.R. Production of gamma rays and neutrinos in the dark jets of the microquasar SS433. Mon. Not. R. Astron. Soc. 2008, 387, 1745–1754. [Google Scholar] [CrossRef][Green Version]
- Reynoso, M.M.; Romero, G.E. Magnetic field effects on neutrino production in microquasars. Astron. Astrophys. 2009, 493, 1–111. [Google Scholar] [CrossRef]
- Shakura, N.I.; Sunyaev, R.S. Black holes in binary systems. Observational appearance. Astron. Astrophys. 1973, 24, 337–355. [Google Scholar]
- Gould, R.J.; Schréder, G.P. Pair production in photon-photon collisions. Phys. Rev. 1967, 155, 1404. [Google Scholar] [CrossRef]
- Paczynsky, B.; Wiita, P.J. Thick accretion disks and supercritical luminosities. Astron. Astrophys. 1980, 88, 23–31. [Google Scholar]
- Gierliński, M.; Zdziarski, A.A.; Poutanen, J.; Coppi, P.S.; Ebisawa, K.; Johnson, W.N. Radiation mechanisms and geometry of Cygnus X-1 in the soft state. Mon. Not. R. Astron. Soc. 1999, 309, 492–512. [Google Scholar] [CrossRef]
- Mukhopadhyay, B. Description of pseudo-Newtonian potential for the relativistic accretion disks around Kerr black holes. Astrophys. J. 2002, 581, 427. [Google Scholar] [CrossRef]
- Papavasileiou, T.V.; Kosmas, O.; Kosmas, T.S. A direct method for reproducing fully relativistic spectra from standard accretion disks by modifying their inner boundary. arXiv 2024, arXiv:2408.02415. [Google Scholar]
- Rarras, D.; Kosmas, O.; Papavasileiou, T.; Kosmas, T. Black Hole’s Spin-Dependence of γ-ray and Neutrino Emissions from MAXI J1820+070, XTE J1550-564, and XTE J1859+226. Particles 2024. to be published. [Google Scholar]
- Blumenthal, G.R.; Gould, R.J. Bremsstrahlung, synchrotron radiation, and compton scattering of high-energy electrons traversing dilute gases. Rev. Mod. Phys. 1970, 42, 237. [Google Scholar] [CrossRef]
- Torres, M.A.P.; Casares, J.; Jiménez-Ibarra, F.; Álvarez-Hernández, A.; Muñoz-Darias, T.; Padilla, M.A.; Jonker, P.G.; Heida, M. The binary mass ratio in the black hole transient MAXI J1820+070. Astrophys. J. Lett. 2020, 893, L37. [Google Scholar] [CrossRef]
- Mikołajewska, J.; Zdziarski, A.A.; Ziółkowski, J.; Torres, M.A.; Casares, J. The Donor of the Black Hole X-ray Binary MAXI J1820+070. Astrophys. J. 2022, 930, 9. [Google Scholar] [CrossRef]
- Poutanen, J.; Veledina, A.; Berdyugin, A.V.; Berdyugina, S.V.; Jermak, H.; Jonker, P.G.; Kajava, J.J.E.; Kosenkov, I.A.; Kravtsov, V.; Piirola, V.; et al. Black hole spin–orbit misalignment in the X-ray binary MAXI J1820+070. Science 2022, 375, 874–876. [Google Scholar] [CrossRef]
- Kalogera, V. Spin-orbit misalignment in close binaries with two compact objects. Astrophys. J. 2000, 541, 319. [Google Scholar] [CrossRef]
- Atri, P.; Miller-Jones, J.C.A.; Bahramian, A.; Plotkin, R.M.; Deller, A.T.; Jonker, P.G.; Maccarone, T.J.; Sivakoff, G.R.; Soria, R.; Altamirano, D.; et al. A radio parallax to the black hole X-ray binary MAXI J1820+070. Mon. Not. R. Astron. Soc. Lett. 2020, 493, L81–L86. [Google Scholar] [CrossRef]
- Zdziarski, A.A.; Tetarenko, A.J.; Sikora, M. Jet Parameters in the Black Hole X-ray Binary MAXI J1820+070. Astrophys. J. 2022, 925, 189. [Google Scholar] [CrossRef]
- Zhao, X.; Gou, L.; Dong, Y.; Tuo, Y.; Liao, Z.; Li, Y.; Jia, N.; Feng, Y.; Steiner, J.F. Estimating the black hole spin for the X-ray binary MAXI J1820+070. Astrophys. J. 2021, 916, 108. [Google Scholar] [CrossRef]
- Draghis, P.A.; Miller, J.M.; Zoghbi, A.; Reynolds, M.; Costantini, E.; Gallo, L.C.; Tomsick, J.A. A systematic view of ten new black hole spins. Astrophys. J. 2023, 945, 19. [Google Scholar] [CrossRef]
- Bhargava, Y.; Belloni, T.; Bhattacharya, D.; Motta, S.; Ponti, G. A timing-based estimate of the spin of the black hole in MAXI J1820+070. Mon. Not. R. Astron. Soc. 2021, 508, 3104–3110. [Google Scholar] [CrossRef]
- Orosz, J.A.; Steiner, J.F.; McClintock, J.E.; Torres, M.A.; Remillard, R.A.; Bailyn, C.D.; Miller, J.M. An improved dynamical model for the microquasar XTE J1550-564. Astrophys. J. 2011, 730, 75. [Google Scholar] [CrossRef]
- Miller-Jones, J.C.A.; Fender, R.P.; Nakar, E. Opening angles, Lorentz factors and confinement of X-ray binary jets. Mon. Not. R. Astron. Soc. 2006, 367, 1432–1440. [Google Scholar] [CrossRef]
- Motta, S.E.; Munoz-Darias, T.; Sanna, A.; Fender, R.; Belloni, T.; Stella, L. Black hole spin measurements through the relativistic precession model: XTE J1550-564. Mon. Not. R. Astron. Soc. Lett. 2014, 439, L56–L69. [Google Scholar] [CrossRef]
- Steiner, J.F.; Reis, R.C.; McClintock, J.E.; Narayan, R.; Remillard, R.A.; Orosz, J.A.; Gou, L.; Fabian, A.C.; Torres, M.A.P. The spin of the black hole microquasar XTE J1550-564 via the continuum-fitting and Fe-line methods. Mon. Not. R. Astron. Soc. 2011, 416, 941–958. [Google Scholar] [CrossRef]
- Kaaret, P.; Corbel, S.; Tomsick, J.A.; Fender, R.; Miller, J.M.; Orosz, J.A. Tzioumis, A.K.; Wijnands, R. X-ray Emission from the Jets of XTE J1550-564. Astrophys. J. 2003, 582, 945. [Google Scholar] [CrossRef]
- Nandi, A.; Mandal, S.; Sreehari, H.; Radhika, D.; Das, S.; Chattopadhyay, I.; Iyer, N.; Agrawal, V.K.; Aktar, R. Accretion flow dynamics during 1999 outburst of XTE J1859+ 226-modeling of broadband spectra and constraining the source mass. Astrophys. Space Sci. 2018, 363, 1–12. [Google Scholar] [CrossRef]
- Kimura, M.; Done, C. Evolution of X-ray irradiation during the 1999–2000 outburst of the black hole binary XTE J1859+ 226. Mon. Not. R. Astron. Soc. 2019, 482, 626–638. [Google Scholar] [CrossRef]
- Yanes-Rizo, I.V.; Torres, M.A.P.; Casares, J.; Motta, S.E.; Muñoz-Darias, T.; Rodríguez-Gil, P.; Armas Padilla, M.; Jiménez-Ibarra, F.; Jonker, P.G.; Corral-Santana, J.M.; et al. A refined dynamical mass for the black hole in the X-ray transient XTE J1859+ 226. Mon. Not. R. Astron. Soc. 2022, 517, 1476–1482. [Google Scholar] [CrossRef]
- Motta, S.E.; Belloni, T.; Stella, L.; Pappas, G.; Casares, J.; Muñoz-Darias, A.T.; Torres, M.A.P.; Yanes-Rizo, I.V. Black hole mass and spin measurements through the relativistic precession model: XTE J1859+ 226. Mon. Not. R. Astron. Soc. 2022, 517, 1469–1475. [Google Scholar] [CrossRef]



| BHXRB Parameter | Symbol (Units) | Value | 
|---|---|---|
| Black hole mass | 20 | |
| Donor star mass | 15 | |
| Distance to Earth | 2 | |
| Donor star luminosity | ||
| Donor star temperature | 10,000 | |
| Jet’s inclination | 30 | |
| Jet’s Lorentz factor | ||
| Jet’s half-opening angle | ||
| Black hole’s spin parameter | ||
| Mass accretion rate | 0.07 | |
| Jet’s emitting region height | ||
| Seperation distance of the system | 
| Disclaimer/Publisher’s Note: The statements, opinions and data contained in all publications are solely those of the individual author(s) and contributor(s) and not of MDPI and/or the editor(s). MDPI and/or the editor(s) disclaim responsibility for any injury to people or property resulting from any ideas, methods, instructions or products referred to in the content. | 
© 2024 by the authors. Licensee MDPI, Basel, Switzerland. This article is an open access article distributed under the terms and conditions of the Creative Commons Attribution (CC BY) license (https://creativecommons.org/licenses/by/4.0/).
Share and Cite
Rarras, D.; Kosmas, T.; Papavasileiou, T.; Kosmas, O. Galactic Stellar Black Hole Binaries: Spin Effects on Jet Emissions of High-Energy Gamma-Rays. Particles 2024, 7, 792-804. https://doi.org/10.3390/particles7030046
Rarras D, Kosmas T, Papavasileiou T, Kosmas O. Galactic Stellar Black Hole Binaries: Spin Effects on Jet Emissions of High-Energy Gamma-Rays. Particles. 2024; 7(3):792-804. https://doi.org/10.3390/particles7030046
Chicago/Turabian StyleRarras, Dimitrios, Theocharis Kosmas, Theodora Papavasileiou, and Odysseas Kosmas. 2024. "Galactic Stellar Black Hole Binaries: Spin Effects on Jet Emissions of High-Energy Gamma-Rays" Particles 7, no. 3: 792-804. https://doi.org/10.3390/particles7030046
APA StyleRarras, D., Kosmas, T., Papavasileiou, T., & Kosmas, O. (2024). Galactic Stellar Black Hole Binaries: Spin Effects on Jet Emissions of High-Energy Gamma-Rays. Particles, 7(3), 792-804. https://doi.org/10.3390/particles7030046
 
        


 
       