Some Examples of Calculation of Massless and Massive Feynman Integrals
Abstract
:1. Introduction
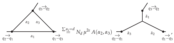
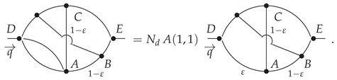
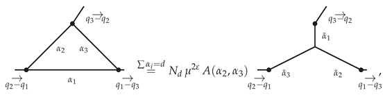
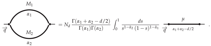
2. Basic Formulas for Massless Diagrams
3. -Operation
4. Calculation of Massive Feynman Integrals (Basic Formulas)
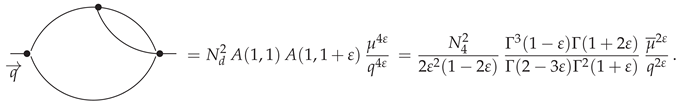
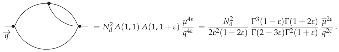
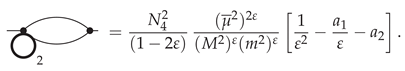
5. Two-Loop on-Shall Master Integral
5.1.
5.2.
6. Conclusions
Funding
Institutional Review Board Statement
Informed Consent Statement
Data Availability Statement
Acknowledgments
Conflicts of Interest
Appendix A
References
- ’t Hooft, G.; Veltman, M.J.G. Regularization and Renormalization of Gauge Fields. Nucl. Phys. B 1972, 44, 189–213. [Google Scholar]
- Bollini, C.G.; Giambiagi, J.J. Dimensional Renormalization: The Number of Dimensions as a Regularizing Parameter. Nuovo Cim. B 1972, 12, 20. [Google Scholar]
- Cicuta, G.M.; Montaldi, E. Analytic renormalization via continuous space dimension. Lett. Nuovo Cim. 1972, 4, 329–332. [Google Scholar]
- ’t Hooft, G. Dimensional regularization and the renormalization group. Nucl. Phys. B 1973, 61, 455–468. [Google Scholar]
- D’Eramo, M.; Parisi, G.; Peliti, L. Theoretical predictions for critical exponents at the lambda point of bose liquids. Lett. Nuovo Cim. 1971, 2, 878–880. [Google Scholar]
- Vasiliev, A.N.; Pismak, Y.M.; Khonkonen, Y.R. 1/N Expansion: Calculation of the exponents eta and Nu in the order 1/N**2. For arbitrary number of dimensions. Theor. Math. Phys. 1981, 47, 291–306. [Google Scholar]
- Kazakov, D.I. The method of uniqueness, a new powerful technique for multiloop calculations. Phys. Lett. B 1983, 133, 406–410. [Google Scholar]
- Kazakov, D.I. Calculation of feynman integrals by the method of ‘uniqueness’. Theor. Math. Phys. 1984, 58, 223. [Google Scholar]
- Usyukina, N.I. Calculation of many loop diagrams of perturbation theory. Theor. Math. Phys. 1983, 54, 78–81. [Google Scholar]
- Belokurov, V.V.; Usyukina, N.I. Calculation of ladder diagrams in arbitrary order. J. Phys. A 1983, 16, 2811. [Google Scholar]
- Belokurov, V.V.; Usyukina, N.I. An algorithm for calculating massless feynman diagrams. Theor. Math. Phys. 1989, 79, 385–391. [Google Scholar]
- Kazakov, D.I. Multiloop calculations: Method of uniqueness and functional equations. Theor. Math. Phys. 1985, 62, 84. [Google Scholar]
- Kazakov, D.I. Analytical Methods for Multiloop Calculations: Two Lectures on the Method of Uniqueness; JINR preprint JINR-E2-84-410 (JINR Publishing Department); Joint Inst. for Nuclear Research: Moscow, Russia, 1984. [Google Scholar]
- Kotikov, A.V. The Gegenbauer polynomial technique: The Evaluation of a class of Feynman diagrams. Phys. Lett. B 1996, 375, 240–248. [Google Scholar]
- Kotikov, A.V.; Teber, S. New Results for a Two-Loop Massless Propagator-Type Feynman Diagram. Theor. Math. Phys. 2018, 194, 284–294. [Google Scholar]
- Kotikov, A.V.; Teber, S. Multi-loop techniques for massless Feynman diagram calculations. Phys. Part. Nucl. 2019, 50, 1–41. [Google Scholar]
- Kotikov, A.V. About calculation of massless and massive Feynman integrals. Particles 2020, 3, 394–443. [Google Scholar]
- Peterman, A. Renormalization Group and the Deep Structure of the Proton. Phys. Rept. 1979, 53, 157–248. [Google Scholar]
- Ryder, L.H. Quantum Field Theory; Cambridge University Press: Cambridge, UK, 1996. [Google Scholar]
- Gorishnii, S.G.; Larin, S.A.; Tkachov, F.V.; Chetyrkin, K.G. Five Loop Renormalization Group Calculations in the gϕ4 in Four-dimensions Theory. Phys. Lett. B 1983, 132, 351. [Google Scholar]
- Broadhurst, D.J. The master two loop diagram with masses. Z. Phys. C 1990, 47, 115–124. [Google Scholar]
- Kalmykov, M.Y.; Kotikov, A.V. Joint Institute for Nuclear Research, Dubna, Russia. Unpublished work. 2021. [Google Scholar]
- Kotikov, A.V. Critical behavior of 3-D electrodynamics. JETP Lett. 1993, 58, 731. [Google Scholar]
- Kotikov, A.V. On the Critical Behavior of (2 + 1)-Dimensional QED. Phys. Atom. Nucl. 2012, 75, 890. [Google Scholar]
- Broadhurst, D.J.; Kotikov, A.V. Compact analytical form for nonzeta terms in critical exponents at order 1/N**3. Phys. Lett. B 1998, 441, 345. [Google Scholar]
- Kotikov, A.V.; Shilin, V.I.; Teber, S. Critical behavior of (2 + 1)-dimensional QED: 1/Nf corrections in the Landau gauge. Phys. Rev. D 2016, 94, 056009, Erratum in 2019, 99, 119901. [Google Scholar]
- Kotikov, A.V.; Teber, S. Critical behavior of (2 + 1)-dimensional QED: 1/Nf corrections in an arbitrary nonlocal gauge. Phys. Rev. D 2016, 94, 114011, Addendum in 2019, 99, 059902. [Google Scholar]
- Kotikov, A.V.; Teber, S. Critical Behavior of (2 + 1)-Dimensional QED: 1/N Expansion. Particles 2020, 3, 345–354. [Google Scholar]
- Teber, S. Electromagnetic current correlations in reduced quantum electrodynamics. Phys. Rev. D 2012, 86, 025005. [Google Scholar]
- Teber, S. Two-loop fermion self-energy and propagator in reduced QED3,2. Phys. Rev. D 2014, 89, 067702. [Google Scholar]
- Kotikov, A.V.; Teber, S. Note on an application of the method of uniqueness to reduced quantum electrodynamics. Phys. Rev. D 2013, 87, 087701. [Google Scholar]
- Kotikov, A.V.; Teber, S. Two-loop fermion self-energy in reduced quantum electrodynamics and application to the ultrarelativistic limit of graphene. Phys. Rev. D 2014, 89, 065038. [Google Scholar]
- Teber, S.; Kotikov, A.V. The method of uniqueness and the optical conductivity of graphene: New application of a powerful technique for multiloop calculations. Theor. Math. Phys. 2017, 190, 446–457. [Google Scholar]
- Chetyrkin, K.G.; Tkachov, F.V. Integration by parts: The algorithm to calculate beta functions in 4 loops. Nucl. Phys. B 1981, 192, 159–204. [Google Scholar]
- Tkachov, F.V. A theorem on analytical calculability of four loop renormalization group functions. Phys. Lett. B 1981, 100, 65. [Google Scholar]
- Gorishnii, S.G.; Isaev, A.P. On an Approach to the Calculation of Multiloop Massless Feynman Integrals. Theor. Math. Phys. 1985, 62, 232. [Google Scholar]
- Broadhurst, D.J. Exploiting the 1.440 Fold Symmetry of the Master Two Loop Diagram. Z. Phys. C 1986, 32, 249–253. [Google Scholar]
- Kazakov, D.I.; Kotikov, A.V. The Method of Uniqueness: Multiloop Calculations in QCD. Theor. Math. Phys. 1988, 73, 1264–1274. [Google Scholar]
- Kazakov, D.I.; Kotikov, A.V. Total α−s Correction to Deep Inelastic Scattering Cross-section Ratio, R = σ−l/σ−t in QCD. Calculation of Longitudinal Structure Function. Nucl. Phys. B 1988, 307, 721, Erratum in 1990, 345, 299. [Google Scholar]
- Kazakov, D.I.; Kotikov, A.V. On the value of the alpha-s correction to the Callan-Gross relation. Phys. Lett. B 1992, 291, 171–176. [Google Scholar]
- Kotikov, A.V. The Calculation of Moments of Structure Function of Deep Inelastic Scattering in QCD. Theor. Math. Phys. 1989, 78, 134. [Google Scholar]
- Bogoliubov, N.N.; Parasiuk, O.S. On the Multiplication of the causal function in thequantum theory of fields. Acta Math. 1957, 97, 227. [Google Scholar]
- Hepp, K. Proof of the Bogolyubov-Parasiuk theorem on renormalization. Commun. Math. Phys. 1966, 2, 301–326. [Google Scholar]
- Zimmermann, W. Convergence of Bogoliubov’s method of renormalization in momentumspace. Commun. Math. Phys. 1969, 15, 208–243. [Google Scholar]
- Vladimirov, A.A. Method for Computing Renormalization Group Functions in Dimensional Renormalization Scheme. Theor. Math. Phys. 1980, 43, 417. [Google Scholar]
- Chetyrkin, K.G.; Kataev, A.L.; Tkachov, F.V. New Approach to Evaluation of Multiloop Feynman Integrals: The Gegenbauer Polynomial x Space Technique. Nucl. Phys. B 1980, 174, 345–377. [Google Scholar]
- Chetyrkin, K.G.; Tkachov, F.V. Infrared R Operation And Ultraviolet Counterterms in the Ms Scheme. Phys. Lett. 1982, B114, 340–344. [Google Scholar]
- Chetyrkin, K.G.; Smirnov, V.A. R* Operation Corrected. Phys. Lett. 1984, B144, 419–424. [Google Scholar]
- Smirnov, V.A.; Chetyrkin, K.G. R* Operation in the Minimal Subtraction Scheme. Theor. Math. Phys. 1985, 63, 462–469. [Google Scholar]
- Chetyrkin, K.G. Combinatorics of R, R−1, and R*-operations and asymptotic expansions of feynman integrals in the limit of large momenta and masses. arXiv 1991, arXiv:1701.08627. [Google Scholar]
- Kotikov, A.V. New method of massive Feynman diagrams calculation. Mod. Phys. Lett. A 1991, 6, 677–692. [Google Scholar]
- Kotikov, A.V. New method of massive Feynman diagrams calculation. Vertex type functions. Int. J. Mod. Phys. A 1992, 7, 1977. [Google Scholar]
- Henn, J.M.; Plefka, J.C. Scattering Amplitudes in Gauge Theories. Lect. Notes Phys. 2014, 883, 1. [Google Scholar]
- Blumlein, J. Analytic integration methods in quantum field theory: An Introduction. arXiv 2021, arXiv:2103.10652. [Google Scholar]
- Fleischer, J.; Kotikov, A.V.; Veretin, O.L. Analytic two loop results for selfenergy type and vertex type diagrams with one nonzero mass. Nucl. Phys. B 1999, 547, 343. [Google Scholar]
- Fleischer, J.; Kotikov, A.V.; Veretin, O.L. Applications of the large mass expansion. Acta Phys. Polon. B 1998, 29, 2611. [Google Scholar]
- Kotikov, A.V. Differential equations method: New technique for massive Feynman diagrams calculation. Phys. Lett. B 1991, 254, 158–164. [Google Scholar]
- Kotikov, A.V. Differential equations method: The Calculation of vertex type Feynman diagrams. Phys. Lett. B 1991, 259, 314–322. [Google Scholar]
- Kotikov, A.V. Differential equation method: The Calculation of N point Feynman diagrams. Phys. Lett. B 1991, 267, 123–127. [Google Scholar]
- Kotikov, A.V. New method of massive N point Feynman diagrams calculation. Mod. Phys. Lett. A 1991, 6, 3133–3141. [Google Scholar]
- Kniehl, B.A.; Kotikov, A.V.; Onishchenko, A.; Veretin, O. Two-loop sunset diagrams with three massive lines. Nucl. Phys. B 2006, 738, 306–316. [Google Scholar]
- Kniehl, B.A.; Kotikov, A.V.; Onishchenko, A.I.; Veretin, O.L. Two-loop diagrams in non-relativistic QCD with elliptics. Nucl. Phys. B 2019, 948, 114780. [Google Scholar]
- Kniehl, B.A.; Kotikov, A.V. Calculating four-loop tadpoles with one non-zero mass. Phys. Lett. B 2006, 638, 531–537. [Google Scholar]
- Kniehl, B.A.; Kotikov, A.V. Counting master integrals: Integration-by-parts procedure with effective mass. Phys. Lett. B 2012, 712, 233–234. [Google Scholar]
- Fleischer, J.; Kotikov, A.V.; Veretin, O.L. The differential equation method: Calculation of vertex-type diagrams with one non-zero mass. Phys. Lett. B 1998, 417, 163–172. [Google Scholar]
- Fleischer, J.; Kalmykov, M.Y.; Kotikov, A.V. Two-loop self-energy master integrals on shell. Phys. Lett. B 1999, 462, 169–177. [Google Scholar]
- Kotikov, A.; Kuhn, J.H.; Veretin, O. Two-Loop Formfactors in Theories with Mass Gap and Z-Boson Production. Nucl. Phys. B 2008, 788, 47–62. [Google Scholar]
- Remiddi, E. Differential equations for Feynman graph amplitudes. Nuovo Cim. A 1997, 110, 1435–1452. [Google Scholar]
- Bern, Z.; Dixon, L.J.; Dunbar, D.C.; Kosower, D.A. One loop n point gauge theory amplitudes, unitarity and collinear limits. Nucl. Phys. B 1994, 425, 217–260. [Google Scholar]
- Gehrmann, T.; Remiddi, E. Differential equations for two loop four point functions. Nucl. Phys. B 2000, 580, 485–518. [Google Scholar]
- Henn, J.M. Multiloop integrals in dimensional regularization made simple. Phys. Rev. Lett. 2013, 110, 251601. [Google Scholar]
- Henn, J.M. Lectures on differential equations for Feynman integrals. J. Phys. A 2015, 48, 153001. [Google Scholar]
- Vermaseren, J.A.M. Harmonic sums, Mellin transforms and integrals. Int. J. Mod. Phys. A 1999, 14, 2037–2076. [Google Scholar]
- Blumlein, J.; Kurth, S. Harmonic sums and Mellin transforms up to two loop order. Phys. Rev. D 1999, 60, 014018. [Google Scholar]
- Kotikov, A.V. Differential equations and Feynman integrals. arXiv 2021, arXiv:2102.07424. [Google Scholar]
- Kotikov, A.V. The Property of maximal transcendentality in the N = 4 Supersymmetric Yang-Mills. arXiv 2010, arXiv:1005.5029. [Google Scholar]
- Kotikov, A.V. The property of maximal transcendentality: Calculation of anomalous dimensions in the = 4 SYM and master integrals. Phys. Part. Nucl. 2013, 44, 374–385. [Google Scholar]
- Kotikov, A.V.; Onishchenko, A.I. DGLAP and BFKL equations in = 4 SYM: From weak to strong coupling. arXiv 2019, arXiv:1908.05113. [Google Scholar]
- Kotikov, A.V. The property of maximal transcendentality: Calculation of master integrals. Theor. Math. Phys. 2013, 176, 913–921. [Google Scholar]
- Kotikov, A.V. The property of maximal transcendentality: Calculation of Feynman integrals. Theor. Math. Phys. 2017, 190, 391–401. [Google Scholar]
- Lipatov, L.N. Reggeization of the Vector Meson and the Vacuum Singularity in Nonabelian Gauge Theories. Sov. J. Nucl. Phys. 1976, 23, 338. [Google Scholar]
- Fadin, V.S.; Kuraev, E.A.; Lipatov, L.N. On the Pomeranchuk Singularity in Asymptotically Free Theories. Phys. Lett. B 1975, 60, 50–52. [Google Scholar]
- Kuraev, E.A.; Lipatov, L.N.; Fadin, V.N. Multi-Reggeon Processes in the Yang-Mills Theory. Sov. Phys. JETP 1976, 44, 443. [Google Scholar]
- Kuraev, E.A.; Lipatov, L.N.; Fadin, V.N. The Pomeranchuk Singularity in Nonabelian Gauge Theories. Sov. Phys. JETP 1977, 45, 199. [Google Scholar]
- Balitsky, I.I.; Lipatov, L.N. The Pomeranchuk Singularity in Quantum Chromodynamics. Sov. J. Nucl. Phys. 1978, 28, 822. [Google Scholar]
- Balitsky, I.I.; Lipatov, L.N. Calculation of meson meson interaction cross-section in quantum chromodynamics. JETP Lett. 1979, 30, 355–386. [Google Scholar]
- Fadin, V.S.; Lipatov, L.N. BFKL pomeron in the next-to-leading approximation. Phys. Lett. B 1998, 429, 127–134. [Google Scholar]
- Camici, G.; Ciafaloni, M. Energy scale(s) and next-to-leading BFKL equation. Phys. Lett. B 1998, 430, 349–354. [Google Scholar]
- Gribov, V.N.; Lipatov, L.N. Deep inelastic e p scattering in perturbation theory. Sov. J. Nucl. Phys. 1972, 15, 438. [Google Scholar]
- Gribov, V.N.; Lipatov, L.N. e+ e- pair annihilation and deep inelastic e p scattering in perturbation theory. Sov. J. Nucl. Phys. 1972, 15, 675. [Google Scholar]
- Lipatov, L.N. The parton model and perturbation theory. Sov. J. Nucl. Phys. 1975, 20, 94. [Google Scholar]
- Altarelli, G.; Parisi, G. Asymptotic Freedom in Parton Language. Nucl. Phys. B 1977, 126, 298–318. [Google Scholar]
- Dokshitzer, Y.L. Calculation of the Structure Functions for Deep Inelastic Scattering and e+ e- Annihilation by Perturbation Theory in Quantum Chromodynamics. Sov. Phys. JETP 1977, 46, 641. [Google Scholar]
- Kotikov, A.V.; Lipatov, L.N. NLO corrections to the BFKL equation in QCD and in supersymmetric gauge theories. Nucl. Phys. B 2000, 582, 19–43. [Google Scholar]
- Kotikov, A.V.; Lipatov, L.N. DGLAP and BFKL equations in the N = 4 supersymmetric gauge theory. Nucl. Phys. B 2003, 661, 19–61. [Google Scholar]
- Kotikov, A.V.; Lipatov, L.N. DGLAP and BFKL evolution equations in the N = 4 supersymmetric gauge theory. arXiv 2001, arXiv:hep-ph/0112346. [Google Scholar]
- Kotikov, A.V.; Lipatov, L.N.; Velizhanin, V.N. Anomalous dimensions of Wilson operators in N = 4 SYM theory. Phys. Lett. B 2003, 557, 114–120. [Google Scholar]
- Kotikov, A.V.; Lipatov, L.N.; Onishchenko, A.I.; Velizhanin, V.N. Three loop universal anomalous dimension of the Wilson operators in N = 4 SUSY Yang-Mills model. Phys. Lett. B 2004, 595, 521–529. [Google Scholar]
- Bianchi, L.; Forini, V.; Kotikov, A.V. On DIS Wilson coefficients in N = 4 super Yang-Mills theory. Phys. Lett. B 2013, 725, 394–401. [Google Scholar]
- Kotikov, A.V. Gluon distribution for small x. Phys. At. Nucl. 1994, 57, 133. [Google Scholar]
- Kotikov, A.V.; Velizhanin, V.N. Analytic continuation of the Mellin moments of deep inelastic structure functions. arXiv 2005, arXiv:hep-ph/0501274. [Google Scholar]
- Kotikov, A.V.; Rej, A.; Zieme, S. Analytic three-loop Solutions for N = 4 SYM Twist Operators. Nucl. Phys. B 2009, 813, 460–483. [Google Scholar]
- Beccaria, M.; Belitsky, A.V.; Kotikov, A.V.; Zieme, S. Analytic solution of the multiloop Baxter equation. Nucl. Phys. B 2010, 827, 565–606. [Google Scholar]
- Staudacher, M. The Factorized S-matrix of CFT/AdS. JHEP 2005, 0505, 054. [Google Scholar]
- Beisert, N.; Staudacher, M. Long-range psu(2,2|4) Bethe Ansatze for gauge theory and strings. Nucl. Phys. B 2005, 727, 1–62. [Google Scholar]
- Beisert, N.; Eden, B.; Staudacher, M. Transcendentality and Crossing. J. Stat. Mech. 2007, 0701, P01021. [Google Scholar]
- Kotikov, A.V.; Lipatov, L.N.; Rej, A.; Staudacher, M.; Velizhanin, V.N. Dressing and wrapping. J. Stat. Mech. 2007, 0710, P10003. [Google Scholar]
- Bajnok, Z.; Janik, R.A.; Lukowski, T. Four-loop perturbative Konishi from strings and finite size effects for multiparticle states. Nucl. Phys. B 2009, 816, 376. [Google Scholar]
- Lukowski, T.; Rej, A.; Velizhanin, V.N. Five-Loop Anomalous Dimension of Twist-Two Operators. Nucl. Phys. B 2010, 831, 105–132. [Google Scholar]
- Marboe, C.; Velizhanin, V.N.; Volin, D. Six-loop anomalous dimension of twist-two operators in planar = 4 SYM theory. JHEP 2015, 1507, 084. [Google Scholar]
- Marboe, C.; Velizhanin, V. Twist-2 at seven loops in planar = 4 SYM theory: Full result and analytic properties. JHEP 2016, 1611, 013. [Google Scholar]
- Gray, N.; Broadhurst, D.J.; Grafe, W.; Schilcher, K. Three Loop Relation of Quark (Modified) Ms And Pole Masses. Z. Phys. C 1990, 48, 673–679. [Google Scholar]
- Argeri, M.; Mastrolia, P.; Remiddi, E. The analytic value of the sunrise self-mass with two equal masses and the external invariant equal to the third squared mass. Nucl. Phys. B 2002, 631, 388–400. [Google Scholar]
- Lewin, L. Polylogarithms and Associated Functions; North Holland: Amsterdam, The Netherlands, 1981. [Google Scholar]
- Devoto, A.; Duke, D.W. Table of Integrals and Formulae for Feynman Diagram Calculations. Riv. Nuovo Cim. 1984, 7N6, 1–39. [Google Scholar]
- Remiddi, E.; Vermaseren, J.A.M. Harmonic polylogarithms. Int. J. Mod. Phys. A 2000, 15, 725–754. [Google Scholar]
- Goncharov, A.B. Periods and mixed motives. arXiv 2002, arXiv:math/0202154. [Google Scholar]
- Davydychev, A.I.; Kalmykov, M.Y. Massive Feynman diagrams and inverse binomial sums. Nucl. Phys. B 2004, 699, 3–64. [Google Scholar]
- Campert, J.; Moriello, F.; Kotikov, A. Sunrise integral with two internal masses and pseudo-threshold kinematics in terms of elliptic polylogarithms. arXiv 2020, arXiv:2011.01904. [Google Scholar]
- Aglietti, U.; Bonciani, R. Master integrals with one massive propagator for the two loop electroweak form-factor. Nucl. Phys. B 2003, 668, 3–76. [Google Scholar]
- Aglietti, U.; Bonciani, R.; Degrassi, G.; Vicini, A. Two loop light fermion contribution to Higgs production and decays. Phys. Lett. B 2004, 595, 432–441. [Google Scholar]
- Aglietti, U.; Bonciani, R.; Degrassi, G.; Vicini, A. Master integrals for the two-loop light fermion contributions to gg —> H and H —> gamma gamma. Phys. Lett. B 2004, 600, 57–64. [Google Scholar]
- Aglietti, U.; Bonciani, R.; Degrassi, G.; Vicini, A. Analytic Results for Virtual QCD Corrections to Higgs Production and Decay. JHEP 2007, 1, 21. [Google Scholar]
- Lee, R.N.; Schwartz, M.D.; Zhang, X. Compton Scattering Total Cross Section at Next-to-Leading Order. Phys. Rev. Lett. 2021, 126, 211801. [Google Scholar]
- Blumlein, J.; Schneider, C. Analytic Computing Methods for Precision Calculations in Quantum Field Theory. Int. J. Mod. Phys. A 2018, 33, 1830015. [Google Scholar]
- Ablinger, J.; Blumlein, J.; Schneider, C. Iterated integrals over letters induced by quadratic forms. Phys. Rev. D 2021, 103, 096025. [Google Scholar]
- Ablinger, J.; Blumlein, J.; Schneider, C. Harmonic Sums and Polylogarithms Generated by Cyclotomic Polynomials. J. Math. Phys. 2011, 52, 102301. [Google Scholar]
Publisher’s Note: MDPI stays neutral with regard to jurisdictional claims in published maps and institutional affiliations. |
© 2021 by the author. Licensee MDPI, Basel, Switzerland. This article is an open access article distributed under the terms and conditions of the Creative Commons Attribution (CC BY) license (https://creativecommons.org/licenses/by/4.0/).
Share and Cite
Kotikov, A.V. Some Examples of Calculation of Massless and Massive Feynman Integrals. Particles 2021, 4, 361-380. https://doi.org/10.3390/particles4030031
Kotikov AV. Some Examples of Calculation of Massless and Massive Feynman Integrals. Particles. 2021; 4(3):361-380. https://doi.org/10.3390/particles4030031
Chicago/Turabian StyleKotikov, Anatoly V. 2021. "Some Examples of Calculation of Massless and Massive Feynman Integrals" Particles 4, no. 3: 361-380. https://doi.org/10.3390/particles4030031
APA StyleKotikov, A. V. (2021). Some Examples of Calculation of Massless and Massive Feynman Integrals. Particles, 4(3), 361-380. https://doi.org/10.3390/particles4030031


