Next Article in Journal
Vibration-Based Diagnostics of Non-Ceramic Insulators: Characterization of Signals
Previous Article in Journal
Modular Modeling of a Half-Vehicle System Using Generalized Receptance Coupling and Frequency-Based Substructuring (GRCFBS)
 
 
Font Type:
Arial Georgia Verdana
Font Size:
Aa Aa Aa
Line Spacing:
Column Width:
Background:
Article

Numerical Investigation of the Nonlinear Drill String Dynamics Under Stick–Slip Vibration

by
Mohammad Javad Moharrami
1,
Hodjat Shiri
1,* and
Clóvis de Arruda Martins
2
1
Civil Engineering Department, Faculty of Engineering and Applied Science, Memorial University of Newfoundland, St. John’s, NL A1B 3X5, Canada
2
Offshore Mechanics Laboratory, Mechanical Engineering Department, Polytechnic School, University of São Paulo, São Paulo 05508-030, SP, Brazil
*
Author to whom correspondence should be addressed.
Vibration 2024, 7(4), 1086-1110; https://doi.org/10.3390/vibration7040056
Submission received: 7 June 2024 / Revised: 8 October 2024 / Accepted: 10 November 2024 / Published: 15 November 2024

Abstract

This paper presents a comprehensive analysis of the influence of rotary table velocity, weight-on-bit, and viscous damping on the drill string stick–slip vibration. The analysis allows for studying the qualitative and quantitative variation of the dynamic response of the drill pipes and drill collars/bit. To achieve this goal, a robust and practical finite element (FE) model of the full-scaled drill string was developed based on a velocity-weakening formulation of the nonlinear bit–rock interaction. A detailed investigation of damping parameters was carried out. The performance of the developed model was verified through comparisons with a lumped-parameter model and a field test example. Parametric studies on the stick–slip response of the entire drill string under different field operational conditions were conducted. The dynamical time series of the system response were analyzed in terms of the phase planes, response spectra, and descriptive statistics of the drill pipes and drill collars. The findings of the study revealed that for a realistic drill string geometry, the angular velocity (i.e., mean, peak-to-peak amplitude, and standard deviation) and dominant frequency of self-excited torsional stick–slip oscillations along the drill pipes and drill collars/bit are mainly governed by the rotary table velocity. Furthermore, it was shown that the contribution of higher harmonics in the torsional stick–slip response of the drill pipes is more substantial than the drill collars/bit.

1. Introduction

Drill string is an essential component of rotary drilling systems employed in onshore/offshore oil and gas extraction. A significant length of drill string is made of thin-walled drill pipes, which are loaded in tension and transfer the top rotary motion to the drill bit [1]. The lower end of the drill string is composed of various components, such as the thick-walled drill collars and stabilizers, collectively called the bottom-hole assembly (BHA) [2]. Drill collars are loaded in compression and provide the required axial force, known as weight-on-bit (WOB), to facilitate straight drilling [3]. Figure 1 shows an offshore drilling vessel and the basic components of the drill string.
Drill string is subjected to axial (i.e., bit bounce), lateral (i.e., whirl), and torsional (i.e., stick–slip) dynamic vibrations [4]. These vibrations can exist separately or coupled together in a linear or nonlinear manner [5]. Stick–slip vibration is a severe type of torsional oscillation, detrimental to the fatigue life of drill string and downhole equipment [6]. The primary cause of stick–slip vibration is the nonlinear friction at the bit–formation interface [1,5,7]. This type of vibration involves cyclic fluctuations in the bit angular velocity, ranging from zero up to more than twice the rotary table velocity [8]. The high angular velocities of the drill bit during the slip phase can induce severe axial and lateral vibrations in the BHA, leading to excessive wear and even failure of the bit [9]. Furthermore, the high levels of torque-on-bit during the stick phase, varying between 500 and 10,000 Nm, can twist the drill string for several turns [1]. The consequent large torsional deformation during the twisting can cause failure of the drill pipes or threaded connections [2].
Torsional vibration of drill string, either uncoupled or coupled with other vibration modes, has been extensively studied using (i) lumped-parameter models (e.g., [1,4,5,10,11,12,13,14,15,16,17]), (ii) continuous-parameter models (Cosserat theory of rods) (e.g., [18,19]), and (iii) finite element method (FEM) models (e.g., [9,14,20,21,22]). The influence of system parameters on the drill string vibrations has also been analyzed in a number of studies: Dareing and Livesay (1968) investigated the effect of rotary velocity, friction, and shock sub on the longitudinal vibration of the drill string [23]. The authors assumed a prescribed periodic motion at the bit in the absence of bit–rock excitation and contact forces. Liao et al. (2012) studied the influence of unbalanced mass, friction coefficient, and drive speed on the vibrations of a rotor–stator system [24]. Germay et al. (2009) analyzed the effect of weight-on-bit and rotational speed on the axial and torsional vibrations at the drill bit [22].
Although extensive literature has been dedicated to the dynamics of the drill string, the effects of field operating parameters on the torsional vibrations have not been extensively studied. Analyzing the vibrations under different operational conditions is essential for predicting the behavior of the entire system. It may also provide some valuable information about the influential external parameters in order to avoid harmful vibration modes and achieve a reliable and efficient drilling operation. Furthermore, the majority of the previous studies have analyzed the dynamics of the drill string through vibrations of the drill collars. Even though the drill collars have a significant influence on the overall dynamic response of the system, the behavior of the drill pipes as a slender structure has been less explored and is yet to be understood [19]. Therefore, the present paper aimed at comprehensive analyses of the stick–slip dynamics of the drilling assembly as an integrated system using an efficient integrated FEM model.
The objective of this paper was twofold. First, an integrated nonlinear numerical model was developed to obtain the dynamic response of the entire drill string under stick–slip vibration. A computationally efficient approach was used to model the rate-dependent bit–rock contact interface and capture the cutting and friction effects. The nonlinear Timoshenko beam element was used to model the drill string, accounting for the shear deformation and the axial and torsional stiffness of the drill pipes and drill collars. The axial and torsional vibration modes were geometrically coupled, and the nonlinear effects of large rotation were taken into account. A linear perturbation frequency analysis was performed to estimate the eigenfrequencies of the drill string. The effect of energy dissipation due to the presence of the drill mud was incorporated along the drill pipes and drill collars using the Rayleigh viscous damping. A procedure was proposed for proper quantification of the Rayleigh damping coefficients to maintain the effect of higher vibration modes. The performance of the numerical model was compared with a five-degree-of-freedom lumped-parameter model and verified against the field test example of stick–slip.
Second, comprehensive dynamic analyses of the entire drill string under different operating conditions were carried out. The effects of rotary table velocity, weight-on-bit, and damping ratio on the torsional stick–slip vibration of the drill pipes and drill collars/bit were examined quantitatively and qualitatively. Due to the vital role of viscous damping in the overall response of the system, special attention was paid to the detailed analysis of damping. The spectral analyses were carried out to determine the effects of operating parameters on the stick–slip frequency of the system. The descriptive statistics, i.e., mean, amplitude, and standard deviation of angular velocities along the drill string, were computed for varying operational conditions.
The results showed that the amplitude, mean, and standard deviation of the angular velocities of the drill pipes and drill collars/bit under stick–slip occurrence were largely related to the rotary velocity and its threshold value. Also, the dominant frequency of stick–slip vibration was dependent on the rotary velocity, i.e., decreased with decreasing rotary velocity. The results indicated that the drill pipes can be excited at frequencies higher than the second natural vibration mode of the system with noticeable amplitudes.
The findings of the work were in good qualitative agreement with the field and experimental observations under stick–slip oscillation. The outcomes revealed new features of the overall torsional dynamics of the drill string as an integrated system.

2. Developing the FEM Model

A global three-dimensional FEM model of the drill string was developed in ABAQUS/Explicit. The overall configuration and material properties were taken from a drill string structure, as given in Table 1. The slenderness ratio (diameter divided by length) of less than 0.1 implies that the three-dimensional continuum drill string can be abstracted to a one-dimensional beam [25]. Therefore, the two-node linear interpolation beam element B31 (Timoshenko beam) was selected from the ABAQUS element library to model both the drill pipes and drill collars. The B31 is a one-dimensional line element in three-dimensional space that has stiffness associated with axial deformation, bending, and torsion [26]. Each node has six degrees of freedom: three translational and three rotational. Using the beam element in modeling the drill string can significantly reduce the computational cost yet provide a good approximation of the model response. As the tool joints have a negligible effect on the axial and torsional vibrations [27], the drill pipes were modeled with a uniform cross-sectional area. The effect of geometric nonlinearities, i.e., large rotational displacements and geometric coupling between the axial and torsional vibration modes, were taken into account. The consideration of geometric nonlinearities is vital in dynamics of structures and drill string systems [20,28,29]. Figure 2 shows the overall scheme of the modeled drill string, where x, y, and z are the translational degrees of freedom, whereas φx, φy, and φz are the rotational degrees of freedom around x, y, and z axes, respectively.

2.1. Bit–Rock Contact Boundary Condition

Classically, for a static weight-on-bit, the bit–rock contact interface is characterized by a frictional torque decreasing with the bit angular velocity [30]. The nonlinear velocity-weakening behavior of the torque-on-bit has been observed in field and laboratory drilling experiments and is often considered the primary cause of the drill bit stick–slip oscillations [5,31,32].
ABAQUS/Explicit employs the kinematic and penalty contact models, in which the contact surfaces, i.e., the bit and the rock bodies, should be modeled through two- or three-dimensional finite elements. The inherent nonlinearity of the contact surfaces often leads to computational challenges and convergence issues. As an alternative approach to avoid the difficulties in contact analysis and efficiently employ the beam elements for minimizing the computational cost, the frictional contact at the bit–rock interface was modeled through an equivalent frictional torque-on-bit Tb as follows:
T b = M ,           i f   M < T 0   ( s t i c k   m o d e ) , M s l ,           o t h e r w i s e   ( s l i p   m o d e ) .
where M is the magnitude of all the frictional moments acting on the bit (drill collar’s end) about the longitudinal axis (tangent to the bit–rock contact surface), T0 = µsRbWb is the break-away moment (maximum static friction torque), Msl = µ( φ ˙ b )RbWb is the sliding friction moment about the longitudinal axis, Rb is the bit radius, Wb > 0 is the weight-on-bit, and μ ( φ ˙ b ) is the Static–Kinetic Exponential Decay friction formulation defined as follows:
μ ( φ ˙ b ) = μ c + μ s μ c e γ φ ˙ b
where φ ˙ b = Ωb is the bit angular velocity, µc and µs are the kinetic (Coulomb) and static friction coefficients, respectively, and γ > 0 is the constant decay coefficient. It is noted that µs can be greater than one depending on the surfaces, while µc ∈ (0, 1) and µs > µc.
The drill string was uniformly discretized with 64 elements on the pipe section and 32 elements on the collar section. The number of elements was selected based on a mesh sensitivity analysis, which verified convergence of the numerical results for the entire drill string.

2.2. Eigenfrequency Extraction

The stationary behavior of the rotating drill string is equivalent to the dynamics of the same structure fixed at the surface and free at the bit [33]. Therefore, the boundary condition at the upper end (rotary table) was completely fixed, while the lower end (bit) was only free to rotate about the longitudinal axis of the string.
The first 500 undamped natural frequencies of the drill string with the specified boundary conditions were extracted using the Lanczos linear perturbation method [26]. The criterion for extracting 500 natural modes was to obtain at least ten natural torsional frequencies of the drill string. The obtained natural frequencies are given in Table 2, where ω = 2πf.

2.3. Viscous Damping Effect

The viscous damping due to the drill mud is an important aspect of the drill string dynamics. Increasing the torsional damping can disfavor the stick–slip oscillation [1,34,35] and extend the upper boundary of the stable operating region of the drill string [36,37,38,39]. Therefore, the inclusion of viscous damping effects is essential for realistic modeling and satisfactory results.
In the present paper, the frequency-dependent Rayleigh damping was used to model the mud viscous damping in the FEM simulations. The standard form of Rayleigh damping is defined as a linear combination of the mass M and stiffness K matrices as follows [40,41]:
C = α M + β K
where α and β are the mass and stiffness proportional coefficients, respectively. The damping ratio for mode n of the system is given by the following [41]:
ξ n = α 2 ω n + β ω n 2
where ωn (rad/s) is the natural frequency of mode n. The coefficients α and β can be determined from two specified modal damping ratios, i.e., ξi and ξj. Rewriting Equation (4) in matrix form for the specified modes leads to a set of two algebraic equations as follows:
1 2 1 / ω i ω i 1 / ω j ω j α β = ξ i ξ j
Assuming ξi = ξj = ξ in Equation (5), the coefficients α and β can be computed as follows:
α = ξ 2 ω i ω j ω i + ω j ,         β = ξ 2 ω i + ω j
For a drill string with many modes over a large range of natural frequencies, the Rayleigh method can result in damping ratios significantly different than the target modal damping. Therefore, the natural frequencies ωi and ωj should be chosen to ensure that the damping ratios over the intermediate modes are close to the target damping. A preliminary investigation was conducted to determine ωi and ωj for which the variation of the damping ratio over the intermediate modes was minimized. To achieve ξ = 0.02, for example, ωi was set to be the first natural frequency ω1, whereas ωj was set to be about the second, the third, the fifth, and the tenth natural frequency of the system. Figure 3 shows the variation of Rayleigh damping over the selected frequency bands.
The results indicated that under a narrow frequency band, i.e., ωi =1.2 rad/s = ω1 and ωj = 5 rad/s ≈ ω2, the damping ratios for higher modes were immensely larger than the target damping, the so-called de-amplification effect. However, under the wider frequency bands, i.e., ωi = 1.2 rad/s = ω1 and ωj = 40 rad/s ≈ ω10, the damping ratios for higher modes were smaller than the target damping. Therefore, in the rest of this paper, α and β were calculated using ωi = ω1 and ωj = ω10 (see Tabe 2) in order to minimize the frequency-dependent damping variations and maintain the high-frequency torsional vibrations reported in the previous studies (e.g., [22,42]). This broad frequency band gave a conservative underdamped system for intermediate modes, which is more favorable than a non-conservative overdamped system, particularly in fatigue assessment of the drill string system.

3. Comparison and Verification of the Models

3.1. Comparison of the FEM Model with a Lumped-Parameter Model

A five-degree-of-freedom lumped-parameter model was developed based on the generic lumped-parameter model of Navarro-Lopez and Cortes (2007) [11] to make comparisons with the FEM model; see Figure 4. The key assumptions of the model are as follows: (i) the drill pipes behave as torsional spring without structural damping; the drill collars behave as a rigid body, (ii) the frictional contact in the pipe threaded connections and at the pipe–borehole interface is ignored, (iii) the energy dissipation effect of the drilling mud is modeled by lumped viscous damping, (iv) the motor dynamic is not considered, (v) the rotary table is massless; the rotary velocity is constant, and (vi) the weight-on-bit is constant. The corresponding set of motion equations are as follows:
k p φ r φ 1 T r = 0 J p φ ¨ 1 + c p φ ˙ 1 + k p φ 1 φ r + k p φ 1 φ 2 = 0 J p φ ¨ 2 + c p φ ˙ 2 + k p φ 2 φ 1 + k p φ 2 φ 3 = 0 J p φ ¨ 3 + c p φ ˙ 3 + k p φ 3 φ 2 + k p φ 3 φ b = 0 J b φ ¨ b + c b φ b + k p φ b φ 3 + T b = 0
where φr, φ1, φ2, φ3, and φb are the angular displacements of the rotary table, drill pipe 1, drill pipe 2, drill pipe 3, and drill collars/bit, respectively, T r = k p ( ϕ r ϕ 1 ) is the torque delivered by the rotary table to the drill string (Tr > 0), and Tb is a nonlinear function representing the frictional torque-on-bit. The model parameters were calculated as follows:
J p = ρ I p ( L p / 4 ) ,         J c = ρ I c L c ,         J b = J c + J p / 2 ,         k p = G I p / ( L p / 4 )
with
I p = ( π / 32 ) ( D p 4 d p 4 ) ,         I c = ( π / 32 ) ( D c 4 d c 4 )
where Jp, Jc, and Jb, are the mass moment of inertia of the drill pipe, drill collar, and drill bit, respectively, kp is the torsional stiffness of the drill pipe, and Ip and Ic are the polar moment of inertia of the pipe and the collar sections, respectively. The equivalent viscous damping coefficient of the drill pipe (cp) and drill collar/bit (cb) were calculated as follows:
c p = c ^ ( L p / 4 ) ,         c b = c ^ ( L p / 8 )
where c ^ is the viscous damping coefficient per unit length of the drill pipe.
The frictional torque-on-bit Tb was modeled as a combination of the Karnopp (1985) model [43] and the Stribeck effect (negatively sloped friction at the slip phase) through a variable structure proposed by Sepehri et al. (1996) [44], Leine et al. (1998) [45], and Navarro-Lopez and Cortes (2007) [11], as illustrated in Figure 5. Thus,
T b = T s t   , i f   φ ˙ b < V d     a n d   T s t T 0   ( s t i c k   m o d e ) , T 0 s g n T s t   , i f   φ ˙ b < V d     a n d   T s t > T 0   ( t r a n s i t i o n   f r o m   s t i c k   t o   s l i p ) , T s l s g n ϕ ˙ b ,   i f   φ ˙ b V d   ( s l i p   m o d e ) .
with
T s t = c b φ ˙ b k p φ b φ 3 ,   T 0 = μ s R b W b ,   T s l = μ ( φ ˙ b ) R b W b
where Vd > 0 is the threshold velocity, Tst is the reaction torque during the stick phase that must overcome the break-away torque to make the bit move, T0 is the break-away torque (maximum static friction torque), Tsl is the sliding friction torque, Rb is the bit radius, Wb > 0 is the weight-on-the bit, and   μ ( φ ˙ b ) is the bit exponential-decay friction coefficient defined in Equation (2). The exponential decaying behavior of the torque-on-bit (Stribeck effect) is in agreement with the field and experimental observations [5,31,32].
The drill string vibration obtained from the numerical model was compared with the lumped-parameter model to have a comparative evaluation of the models’ performance. The simulations were carried out for Ωr = 7.33 rad/s (7.33 × 60/2π = 70 rpm), which is within the common field operating range, Wb = 40 kN, and ξ = 0.03.
The model parameters are given in Table 3. The equations of motion, Equations (6) and (11), were numerically integrated using the 4th–5th order Runge–Kutta method with variable time steps through the built-in function ‘ode45’ in MATLAB. The initial condition for all of the state variables (except Ωr) was taken as zero. To achieve ξ = 0.03, the viscous damping coefficient per unit length of drill pipes ĉ = 0.0378 Ns/rad adapted from Jansen and van den Steen (1995) [1] was used.
Figure 6 shows the stick–slip response of the drill string obtained from the FEM and lumped-parameter models. There is a good agreement between the results. Also, the limit cycling behavior is in agreement with field and experimental measurements [1,46].

3.2. Field Test Verification

The FEM and lumped-parameter models developed in this paper were verified against field test data published in Kyllingstad and Nessjøen (2009) [47]. A realistic drill string of about 3200 m long consisting of 3100 m drill pipe and 100 m BHA was modeled based on the numerical and analytical procedures presented in Section 2 and Section 3.1, respectively. Figure 7 shows the result of the comparison. Although differences were observed, a fairly good match was achieved between the simulation results and the field test, which verifies the performance of the developed models under stick–slip vibration. It is noted that the difference between simulation results and the field test may be related to the bit–rock interface parameters [48]. Due to the lack of availability of drilling parameters at the bit–rock interface, these parameters were obtained from other studies (e.g., [11]). A better agreement between the simulation results and the field test can be obtained if the bit–rock-related parameters are validated based on downhole field measurements.

4. Results and Discussion

The numerical model developed in Section 2 was used for parametric studies. The values of rotary table velocity Ωr, weight-on-bit Wb, and damping ratio ξ were varied to investigate their effects on the dynamics of the drill string and the existence of stick–slip. Only one variable was changed at each simulation to assess its individual influence. The time series of angular velocities were obtained for observation nodes along the drill string over 110 s for which the drill string exhibits steady-state stick–slip vibrations. The first 10 s of the analysis was the ramping-up of the rotary velocity from zero to the desired level, which is not displayed in the time series.
For each simulation, the peak-to-peak angular velocities of the observation nodes were calculated from t = 70 s to t = 90 s. Figure 8 demonstrates the response amplitude of the drill pipe mid-point (1150 m above the bit) and the drill bit under stick–slip oscillations. The observed torsional oscillations of the drill string under stick–slip conditions were limit cycles (bounded periodic vibrations). Therefore, the considered time duration covered at least one full cycle of the velocity oscillation for each node, and the calculated amplitudes represented the absolute amplitude of the whole simulation for that node. Furthermore, the apparent oscillations of the peak-to-peak velocities under stick–slip situation were negligible and did not significantly affect the calculated amplitudes; see Figure 8. The statistical properties of the system response, such as mean and standard deviation of the angular velocities, were then evaluated at each node throughout the time series from t = 10 s to t = 110 s. Adequate quantification of the statistical characteristics can be further used in fatigue analysis of the drill string system.
To gain more in-depth insight into the behavior of the drill string under steady-state stick–slip vibration, the frequency analyses of the numerically obtained angular velocities were carried out. The time series of angular velocities along the drill string were treated using the fast Fourier transform (FFT). The obtained spectra indicated the discrete frequencies and amplitudes of the angular velocities that contributed to the stick–slip response of the system. The time series from t = 10 s to t = 110 s were sampled at a frequency of 80 Hz (Nyquist frequency 40 Hz) to achieve high-resolution spectra. The resolution of the obtained spectra was 0.01 Hz; therefore, the results were quantitative representations of the contributing frequencies. It is worth noting that the amplitudes of zero frequency components of the response spectra correspond to twice the mean angular velocities, which are not represented in the plots. Also, it is noted that the ordinate in each spectrum plot represents the normalized amplitude; that is, the amplitude of each frequency divided by the amplitude of the dominant frequency.

4.1. Effect of Rotary Velocity Ωr

Four different levels of Ωr were considered: 2.09, 5.24, 7.33, and 11.52 rad/s. The Wb and ξ were fixed at 40 kN and 0.03, respectively, with α = 0.070416 1/s and β = 0.00132142 s.
Figure 9 and Figure 10 show the time series and the corresponding phase planes of angular velocity at the bit and a drill pipe located 1900 m above the bit, respectively, under varying Ωr. For Ωr smaller than a particular threshold value, i.e., 2.09, 5.24, and 7.33 rad/s, the drill bit undergoes periodic stick–slip vibration, whereas the drill pipe experiences regular periodic torsional vibration; see plots (a)–(c) in Figure 9 and Figure 10 This situation can be identified by the closed trajectories of the phase planes representing the ceaseless torsional oscillations. As Ωr increases up to a certain threshold value, the duration of the stick phase at the bit is decreased, while the amplitude of the vibration at both the drill pipe and bit is increased. This agrees with field and experimental observations (e.g., [47,49]). For higher values of Ωr, i.e., 11.52 rad/s, which exceed the threshold value, the torsional vibrations at both the bit and drill pipe gradually damp out, and the drill string performs at stable condition with a velocity close to the rotary velocity; see plot (d) in Figure 9 and Figure 10. The suppression of stick–slip oscillation by increasing the rotary velocity beyond the threshold value is in agreement with field observations (e.g., [1,34,47]).
Table 4 presents the calculated mean angular velocities along the drill string for varying Ωr. Under each Ωr, the mean angular velocities of the drill pipes and drill collars along the drill string are in the vicinity of the rotary velocity. This indicates that the mean velocity of the drill string is directly related to the rotary velocity at the surface.
Figure 11 presents the amplitude spectra of angular velocities at the drill bit and a drill pipe located 1900 m above the bit under stick–slip vibration for different Ωr. For low levels of Ωr, i.e., 2.09 rad/s, the dominant frequencies of both the bit and drill pipe fD = 0.14 Hz are considerably smaller than the first torsional natural frequency of the system f1 = 0.19 Hz, fD/f1 = 0.73; see Figure 11a. This indicates that stick–slip vibration can occur at frequencies lower than the first natural frequency of the drill string. This is an interesting finding that agrees with published field observations [47]. For higher Ωr, i.e., 5.24 and 7.33 rad/s, the dominant frequencies of both the bit and drill pipe fD = 0.18~0.19 Hz are slightly smaller than the first torsional natural frequency of the system; see Figure 11b,c. The difference between the dominant frequencies and the first natural frequency of the system is associated with the nonlinear frictional torque due to the bit–rock interaction.
According to Figure 11a–c, the amplitude decreases with frequency at the drill bit; that is, the higher harmonics have a smaller contribution to the stick–slip vibration of the drill collars/bit, especially for higher Ωr. In contrast, the contribution of higher harmonics is significant in the drill pipes, especially for lower Ωr. For instance, in Figure 11a, corresponding to the drill pipe at 1900 m above the bit, the peak frequencies are 0.29, 0.86, 1.58, and 2.44 Hz, which the latter three are related to the second (0.838 Hz), third (1.595 Hz), and fourth (2.368) natural torsional frequency of the system, respectively; see Table 2. From these results, it can be concluded that under a stick–slip vibration, the contribution of higher frequencies in the response of the drill pipes is more noticeable than that in the drill collars/bit. This can be related to the smaller cross-sectional area and longer length of the drill pipe section compared to the drill collar section.

4.2. Effect of Weight-on-Bit Wb

Simulations were carried out using four different values of Wb: 10, 30, 40, and 50 kN. The Ωr and ξ were considered to be fixed at 6.3 rad/s and 0.03, respectively, with α = 0.070416 1/s and β = 0.00132142 s.
Figure 12 and Figure 13 show the time series and the corresponding phase planes of angular velocity at the bit and a drill pipe located 1650 m above the bit, respectively, for varying Wb. For levels of Wb smaller than a certain threshold value, i.e., 10 kN, no stick–slip vibration is observed, and the torsional vibrations at both the bit and drill pipe gradually disappear; see plot (a) in Figure 12 and Figure 13. As the Wb increases and exceeds the threshold value, i.e., 30, 40, and 50 kN, the drill bit exhibits periodic stick–slip vibration, resulting in periodic torsional vibration at the drill pipe; see plots (b)–(d) in Figure 12 and Figure 13. This indicates that increasing the Wb can give rise to more severe stick–slip vibration with a larger amplitude, whereas decreasing the Wb can diminish the stick–slip condition. This is in accordance with field measurement data (e.g., [5]).
The increase in Wb is associated with a rise in the break-away torque, T0 = µsRbWb, which is accompanied by a prolonged stick phase and a larger slip amplitude. This can be described in terms of the physical phenomenon as follows: if the weight-on-bit is increased, it will produce a greater frictional torque that needs to be overcome in order to enter the slip phase. This, in turn, requires a larger twisting of the drill string to accumulate reaction torque in the bit until it reaches the frictional torque. Therefore, the duration of the stick phase under fully developed stick–slip condition is more extended for larger Wb; see Figure 12b–d.
Table 5 shows the calculated mean angular velocity along the drill string. For small levels of Wb with no stick–slip vibration, i.e., Wb = 10 kN, the mean angular velocity of the entire drill string is equal to the rotary velocity. As the Wb increases and exceeds the threshold value, the mean angular velocity along the drill string becomes different from the rotary velocity. The difference between the rotary velocity and the mean angular velocity along the drill string indicates a continuous twist and, thus, torsional instability in the drill string during stick–slip vibration.
Figure 14 illustrates the response spectra of the angular velocities for varying Wb. According to this figure, for different levels of Wb, the stick–slip dominant frequency fD~0.19 Hz remains close to the first torsional natural frequency of the system 0.19188 Hz. This implies that the dominant frequency is independent of Wb. It is noted that increasing Wb has been shown to increase the frequency of the stick–slip limit cycle depending on the operating parameter [22]. Moreover, it is observed that larger Wb can excite higher frequency components in the drill pipes; see Figure 14.

4.3. Effect of Damping Ratio ξ

To conduct a detailed investigation of the effect of mud damping on stick–slip vibration of the drill string, nine values of ξ were considered, as given in Table 6. For each ξ, the corresponding α and β were calculated using Equation (6) with ωi = 1.2056 rad/s and ωj = 44.2 rad/s. The Ωr and Wb were fixed at 5.24 rad/s and 40 kN, respectively.
Figure 12 and Figure 13 illustrate the time series and phase planes of the angular velocity at the bit and a drill pipe located 1400 m above the bit, respectively, for different damping ratios. For ξ smaller than a certain value, i.e., 0.05, 0.10, and 0.20, the drill string responds with periodic torsional vibrations at the drill pipe and stick–slip at the drill bit; see plots (a)–(c) in Figure 15 and Figure 16. It can be seen that increasing ξ decreases both the duration of the stick phase at the bit and the amplitude of the torsional vibration at the drill pipe and bit. For ξ higher than a particular threshold value, i.e., 0.27, the stick–slip vibration is removed, and thus, the angular velocities of the drill pipe and drill collars/bit come close to the rotary velocity; see plot (d) in Figure 15 and Figure 16. The loss of stick–slip vibration above the threshold damping is in agreement with previous observations (e.g., [1,34,47]).
Table 7 shows the mean angular velocity along the drill string for different ξ. By increasing ξ, the mean angular velocity along the drill string does not change significantly and remains in the vicinity of Ωr.
Figure 17 shows the response spectra of the angular velocities for varying ξ. According to this figure, the dominant frequency of the stick–slip vibration fD = 0.18~0.19 Hz for varying ξ remains close to, i.e., slightly smaller than, the first natural torsional frequency of the system 0.19188 Hz. Although the influence of viscous mud damping on the dominant frequency might be negligible, it introduces a ragged behavior in the spectra.
The comparison between the stick–slip response predicted by the analytical and the numerical model when varying damping ratios showed a noticeable difference between their threshold damping values. Figure 18 demonstrates the result of the comparison. For ξ up to 0.10, both the lumped-parameter and FEM models predict a steady-state stick–slip vibration; see Figure 18a. By reaching ξ = 0.13, however, the stick–slip is eliminated in the lumped-parameter model, whereas the FEM model shows a continuous stick–slip oscillation; see Figure 18b. The difference in the threshold damping between the numerical and analytical models may be related to the Rayleigh damping model, which does not guarantee an equal value of the damping coefficient for all the vibration modes.

4.4. System Behavior

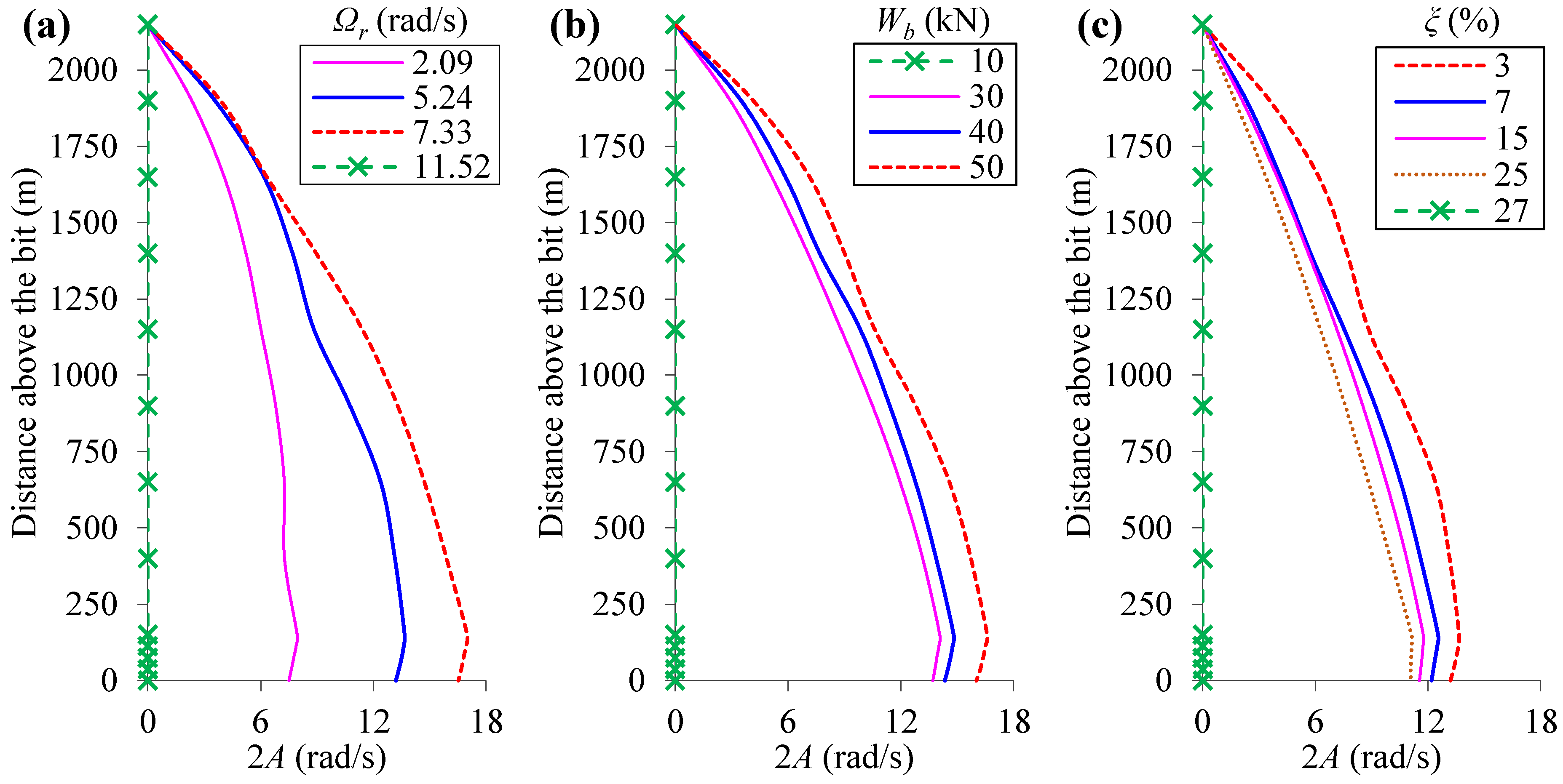
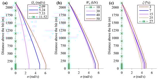
To gain a better understanding of the dynamical behavior of the entire drill string, the variations of the amplitude and standard deviation of angular velocities along the drill string with Ωr, Wb, and ξ are shown in Figure 19 and Figure 20, respectively.
Under each stick–slip condition, the vibration amplitude A and standard deviation σ along the drill string increase rapidly from zero at the rotary table to the maximum at the top of the drill collars and remain almost constant along the collar section. This shows that the torsional stick–slip oscillation of the drill collars/bit is more crucial than the drill pipes with regard to the intensity. The almost constant-amplitude torsional vibration along the drill collars is mainly due to the high torsional stiffness of the collar section, which makes it behave as a rigid body.
The amplitude and standard deviation of the angular velocity of the drill pipes and drill collars/bit along the drill string under stick–slip oscillation increase with Ωr and Wb, as depicted in plots (a)–(b) in Figure 19 and Figure 20, respectively, but decrease with ξ, as depicted in plot (c) in Figure 19 and Figure 20. A Ωr or ξ higher than a threshold value or a Wb lower than a threshold value can remove the stick–slip oscillations. As the stick–slip is removed, the amplitudes and standard deviations of the angular velocity of both the drill pipes and drill collars/bit reach zero. It is noted that although stick–slip vibration can be reduced or even eliminated by increasing the rotary velocity above the threshold value, the vibration amplitudes and standard deviations along the drill string can be intensified before reaching the threshold velocity; see plot (a) in Figure 19 and Figure 20. This, in turn, can result in larger cyclic stresses in the drill pipes and drill collars, detrimental to the life of the system.
Varying the ξ does not significantly alter the stick–slip vibration; see plot (c) in Figure 19 and Figure 20. For example, increasing the ξ from 0.07 to 0.10, which is an increase of 42.86%, decreases the standard deviation of the drill collar by only 3%. Similarly, increasing the ξ from 0.03 to 0.25, which is an increase of 833.33%, decreases the standard deviation of the drill collars/bit by 17.89%. Therefore, if Ωr and Wb are to be kept constant, and the stick–slip is treated only by altering the viscous damping, then a large damping should be considered for mitigation. It is noted that although viscous damping can reduce the amplitude of torsional vibration along the drill string or even remove the stick–slip vibration, the realistic damping value may be too small to eliminate the oscillations at field operating conditions.
The growth of the amplitude of the torsional vibration at each point along the drill string with regard to the stick–slip is significantly affected by the rotary velocity rather than the weight-on-bit and viscous damping.

5. Summary and Conclusions

In this paper, based on mathematical and mechanical theories, a detailed numerical investigation of the drill string stick–slip motion was presented. Firstly, an efficient and robust nonlinear FE model was developed to predict the vibrations of the full drill string. The stick–slip phenomenon was efficiently modeled by incorporation of the highly nonlinear bit–rock interaction and the viscous mud-damping effect along the entire drill string. An alternative approach was proposed based on the rate-dependent behavior of the torque-on-bit that has been observed in the published data. The nonlinear Timoshenko beam (shear deformation) was implemented. The nonlinear effects of large rotational displacements, the geometrically nonlinear axial–torsional coupling effects, and the axial and torsional stiffness of the drill pipes and drill collars were considered in the model. A modal analysis was conducted to estimate the eigenfrequencies of the drill string system through a linear perturbation frequency analysis. A procedure was proposed to properly select the Rayleigh damping coefficients in order to minimize the variation of the frequency-dependent damping and retain the effect of higher vibration modes of the system. A nonlinear torsional lumped-parameter model of the full drill string was developed considering the dynamics of the drill pipes, drill collars, and drill bit, accounting for the bit–rock interaction and the equivalent mud damping. The accuracy of the developed FEM and lumped-parameter models was verified against the field test data.
Secondly, the influence of rotary velocity, weight-on-bit, and viscous mud damping on the system dynamics was investigated. Particular attention was paid to the torsional behavior of both the drill pipes and drill collars/bit rather than focusing only on the BHA response. The time series of angular velocities were obtained for different points along the drill string under each operating condition. The mean, peak-to-peak amplitude, and standard deviation of the obtained velocity time series under different operating conditions were computed and compared. Spectral analyses were carried out to determine the frequency components of the torsional vibration of the drill pipes and drill collars/bit.
The results showed that the mean angular velocity of each point along the drill string was directly related to the rotational velocity at the surface but independent of the weight-on-bit and damping ratio. Variation of rotary velocity was more influential with regard to the growth of the amplitude and standard deviation of stick–slip vibration at each point along the drill string compared to the weight-on-bit and damping ratio. The stick–slip dominant frequency was dependent mainly on the angular velocity of the rotary table and was decreased with decreasing the rotary velocity. Nevertheless, the dominant frequency appeared to be independent of the weight-on-bit and damping for the considered drill string and operating conditions. The contribution of higher frequencies to the torsional stick–slip response of the drill collars/bit was negligible. However, noticeable peaks were observed at frequencies close to the higher natural vibration modes of the system in the response spectra of the drill pipes under low rotary velocities. The intensity of the higher frequency components in the response of the drill pipes increased with decreasing the rotary velocity.
In summary, the study demonstrated new characteristics of the stick–slip motion of the entire drill string and provided the significant influence of the rotary table velocity on the self-excited torsional motions of the drill string.

Author Contributions

Conceptualization, M.J.M., H.S. and C.d.A.M.; methodology, M.J.M., H.S. and C.d.A.M.; software, H.S. and C.d.A.M.; validation, M.J.M.; formal analysis, M.J.M.; investigation, M.J.M.; resources, H.S. and C.d.A.M.; data curation, M.J.M.; writing—original draft preparation, M.J.M.; writing—review and editing, H.S. and C.d.A.M.; visualization, M.J.M.; supervision, H.S. and C.d.A.M.; project administration, H.S.; funding acquisition, H.S. All authors have read and agreed to the published version of the manuscript.

Funding

The authors gratefully acknowledge the financial support of this research by the Research and Development Corporation (RDC) (now IET) through the Ignite funding program, the visiting research funding by Mitacs through the Globalink program, and the Memorial University of Newfoundland through VP start-up funding support. Also, the first author gratefully acknowledges the Offshore Mechanics Laboratory (LMO) and the University of São Paulo for providing the visiting opportunity and collaboration.

Data Availability Statement

All of the data used in this study has been presented in the manuscript.

Conflicts of Interest

The authors declare no conflict of interest.

References

  1. Jansen, J.D.; van den Steen, L. Active damping of self-excited torsional vibrations in oil well drillstrings. J. Sound Vib. 1995, 179, 647–668. [Google Scholar] [CrossRef]
  2. MacDonald, K.A.; Bjune, J.V. Failure analysis of drill strings. Eng. Fail. Anal. 2007, 14, 1641–1666. [Google Scholar] [CrossRef]
  3. Chevallier, A.M. Nonlinear Stochastic Drilling Vibrations. Ph.D. Thesis, Rice University, Houston, TX, USA, 2001. Available online: https://hdl.handle.net/1911/17946 (accessed on 10 July 2022).
  4. Yigit, A.S.; Christoforou, A.P. Coupled torsional and bending vibrations of drillstrings subject to impact with friction. J. Sound Vib. 1998, 215, 167–181. [Google Scholar] [CrossRef]
  5. Brett, J.F. The genesis of bit-induced torsional drillstring vibrations. SPE Drill. Eng. 1992, 7, 168–174. [Google Scholar] [CrossRef]
  6. Christoforou, A.P.; Yigit, A.S. Fully coupled vibrations of actively controlled drillstrings. J. Sound Vib. 2003, 267, 1029–1045. [Google Scholar] [CrossRef]
  7. Halsey, G.W.; Kyllingstad, A.; Kylling, A. Torque feedback used to cure slip-stick motion. In Proceedings of the SPE Annual Technical Conference and Exhibition, Houston, TX, USA, 5–8 October 1988. [Google Scholar] [CrossRef]
  8. Chen, S.L.; Blackwood, K.; Lamine, E. Field investigation of the effects of stick-slip, lateral and whirl vibrations on roller-cone bit performance. SPE Drill. Compl. 2002, 17, 15–20. [Google Scholar] [CrossRef]
  9. Khulief, Y.A.; Al-Sulaiman, F.A.; Bashmal, S. Vibration analysis of drillstrings with self-excited stick–slip oscillations. J. Sound Vib. 2007, 299, 540–558. [Google Scholar] [CrossRef]
  10. Lin, Y.Q.; Wang, Y.H. Stick-slip vibration of drill strings. ASME J. Eng. Ind. 1991, 113, 38–43. [Google Scholar] [CrossRef]
  11. Navarro-Lopez, E.M.; Cortes, D. Avoiding harmful oscillations in a drillstring through dynamical analysis. J. Sound Vib. 2007, 307, 152–171. [Google Scholar] [CrossRef]
  12. Richard, T.; Germay, C.; Detournay, E. A simplified model to explore the root cause of stick-slip vibrations in drilling systems with drag bits. J. Sound Vib. 2007, 305, 432–456. [Google Scholar] [CrossRef]
  13. Liu, X.; Vlajic, N.; Long, X.; Meng, G.; Balachandran, B. Nonlinear motions of a flexible rotor with a drill bit: Stick-slip and delay effects. Nonlinear Dyn. 2013, 72, 61–77. [Google Scholar] [CrossRef]
  14. Kapitaniak, M.; Vaziri Hamaneh, V.; Páez Chávez, J.; Nandakumar, K.; Wiercigroch, M. Unveiling complexity of drill-string vibrations: Experiments and modelling. Int. J. Mech. Sci. 2015, 101–102, 324–337. [Google Scholar] [CrossRef]
  15. Tang, L.; Zhu, X.; Shi, C.; Tang, J.; Xu, D. Study of the influences of rotary table speed on stick-slip vibration of the drilling system. Petroleum 2015, 1, 382–387. [Google Scholar] [CrossRef]
  16. Tang, L.; Zhu, X. Effects of the Difference Between the Static and the Kinetic Friction Coefficients on a Drill String Vibration Linear Approach. Arab. J. Sci. Eng. 2015, 40, 3723–3729. [Google Scholar] [CrossRef]
  17. Tang, L.; Zhu, X.; Qian, X.; Shi, C. Effects of weight on bit on torsional stick-slip vibration of oilwell drill string. J. Mech. Sci. Technol. 2017, 31, 4589–4597. [Google Scholar] [CrossRef]
  18. Tucker, R.W.; Wang, C. An integrated model for drill-string dynamics. J. Sound Vib. 1999, 224, 123–165. [Google Scholar] [CrossRef]
  19. Silveira, M. A Comprehensive Model of Drill-String Dynamics Using Cosserat Rod Theory. Ph.D. Thesis, University of Aberdeen, Aberdeen, UK, 2011. Available online: https://ethos.bl.uk/OrderDetails.do?uin=uk.bl.ethos.558596 (accessed on 15 May 2021).
  20. Sampaio, R.; Piovan, M.T.; Lozano, G.V. Coupled axial/torsional vibrations of drill-strings by means of non-linear model. J. Mech. Res. Commun. 2007, 34, 497–502. [Google Scholar] [CrossRef]
  21. Ritto, T.G.; Soize, C.; Sampaio, R. Non-linear dynamics of a drill–string with uncertain model of the bit–rock interaction. Int. J. Non-Linear Mech. 2009, 44, 865–876. [Google Scholar] [CrossRef]
  22. Germay, C.; Denol, V.; Detournay, E. Multiple mode analysis of the self-excited vibrations of rotary drilling systems. J. Sound Vib. 2009, 325, 362–381. [Google Scholar] [CrossRef]
  23. Dareing, D.W.; Livesay, B.J. Longitudinal and angular drill-string vibrations with damping. ASME J. Eng. Ind. 1968, 90, 671–679. [Google Scholar] [CrossRef]
  24. Liao, C.M.; Vlajic, N.; Karki, H.; Balachandran, B. Parametric studies on drill-string motions. Int. J. Mech. Sci. 2012, 54, 260–268. [Google Scholar] [CrossRef]
  25. Vlasov, V.Z. Thin Walled Elastic Beams, 2nd ed.; By the Israel Program for Scientific Translations; National Science Foundation: Washington, DC, USA, 1961.
  26. ABAQUS/Explicit User’s Manual; SIMULIA: Vélizy-Villacoublay, France, 2017.
  27. Bradbury, R.E.; Wilhoit, J.C. Effect of tool joints on passages of plane longitudinal and torsional waves along a drill pipe. ASME J. Eng. Ind. 1963, 85, 156–162. [Google Scholar] [CrossRef]
  28. Banerjee, A.K.; Dickens, J. Dynamics of an arbitrary flexible body in large rotation and translation. J. Guid. Control Dyn. 1990, 13, 221–227. [Google Scholar] [CrossRef]
  29. Trindade, M.; Sampaio, R. Dynamics of beams undergoing large rotations accounting for arbitrary axial rotations. J. Guid. Control Dyn. 2002, 25, 634–643. [Google Scholar] [CrossRef]
  30. Richard, T.; Detournay, E. Stick-slip vibrations of PDC bits. In Proceedings of the 4th North American Rock Mechanics Symposium, Seattle, DC, USA, 28 June–1 July 2009. [Google Scholar]
  31. Pavone, D.R.; Desplans, J.P. Application of high sampling rate downhole measurements for analysis and cure of stick–slip in drilling. In Proceedings of the SPE Annual Technical Conference and Exhibition, New Orleans, LA, USA, 25–28 September 1994. [Google Scholar] [CrossRef]
  32. Abbassian, F.; Dunayevsky, V.A. Application of stability approach to torsional and lateral bit dynamics. SPE Drill. Compl. 1998, 13, 99–107. [Google Scholar] [CrossRef]
  33. Challamel, N.; Sellami, H.; Chenevez, E.; Gossuin, L. A stick-slip analysis based on rock/bit interaction: Theoretical and experimental contribution. In Proceedings of the IADC/SPE Drilling Conference, New Orleans, LA, USA, 23–25 February 2000. [Google Scholar] [CrossRef]
  34. Dawson, R.; Lin, Y.Q.; Spanos, P.D. Drill-string stick-slip oscillations. In Proceedings of the SEM Spring Conference on Experimental Mechanics, Houston, TX, USA, 14–19 June 1987. [Google Scholar]
  35. Kyllingstad, A.; Halsey, G.W. A study of slip/stick motion of the bit. SPE Drill. Eng. 1988, 3, 369–373. [Google Scholar] [CrossRef]
  36. Zamanian, M.; Khadem, S.E.; Ghazavi, M.R. Stick-slip oscillations of drag bits by considering damping of drilling mud and active damping system. J. Pet. Sci. Eng. 2007, 59, 289–299. [Google Scholar] [CrossRef]
  37. Nandakumar, K.; Wiercigroch, M. Stability analysis of a state dependent delayed, coupled two DOF model of drill-string vibration. J. Sound Vib. 2013, 332, 2575–2592. [Google Scholar] [CrossRef]
  38. Liu, X.; Vlajic, N.; Long, X.; Meng, G.; Balachandran, B. Coupled axial-torsional dynamics in rotary drilling with state-dependent delay: Stability and control. Nonlinear Dyn. 2014, 78, 1891–1906. [Google Scholar] [CrossRef]
  39. Bakhtiari-Nejad, F.; Hosseinzadeh, A. Nonlinear dynamic stability analysis of the coupled axial-torsional motion of the rotary drilling considering the effect of axial rigid–body dynamics. Int. J. Non-Linear Mech. 2017, 88, 85–96. [Google Scholar] [CrossRef]
  40. Rayleigh, L. Theory of Sound; Dover: New York, NY, USA, 1945. [Google Scholar]
  41. Chopra, A.K.; McKenna, F. Modeling viscous damping in nonlinear response history analysis of buildings for earthquake excitation. Earthq. Eng. Struct. Dyn. 2016, 45, 193–211. [Google Scholar] [CrossRef]
  42. Nessjøen, P.J.; Kyllingstad, A.; Dambrosio, P.; Fonseca, I.S.; Garcia, A.; Levy, B. Field experience with an active stick-slip prevention system. In Proceedings of the SPE/IADC Drilling Conference and Exhibition, Amsterdam, The Netherlands, 1–3 March 2011. [Google Scholar] [CrossRef]
  43. Karnopp, D. Computer simulation of stick–slip friction in mechanical dynamic systems. ASME J. Dyn. Syst. Meas. Control. 1985, 107, 100–103. [Google Scholar] [CrossRef]
  44. Sepehri, N.; Sassani, F.; Lawrence, P.D.; Ghasempoor, A. Simulation and experimental studies of gear backlash and stick-slip friction in hydraulic excavator swing motion. ASME J. Dyn. Syst. Meas. Control. 1996, 118, 463–467. [Google Scholar] [CrossRef]
  45. Leine, R.I.; van Campen, D.H.; de Kraker, A.; van den Steen, L. Stick-slip vibrations induced by alternate friction models. Nonlinear Dyn. 1998, 16, 41–54. [Google Scholar] [CrossRef]
  46. Mihajlovic, N.; van Veggel, A.A.; van de Wouw, N.; Nijmeijer, H. Analysis of friction-induced limit cycling in an experimental drill-string system. ASME J. Dyn. Syst. Meas. Control. 2004, 126, 709–720. [Google Scholar] [CrossRef]
  47. Kyllingstad, A.; Nessjøen, P.J. A New Stick-Slip Prevention System. Soc. Pet. Eng. 2009. [Google Scholar] [CrossRef]
  48. Moharrami, M.J.; Martins, C.A.; Shiri, H. Nonlinear integrated dynamic analysis of drill strings under stick-slip vibration. Appl. Ocean Res. 2021, 108, 102521. [Google Scholar] [CrossRef]
  49. Liu, Y.; Páez Chávez, J.; De Sa, R.; Walker, S. Numerical and experimental studies of stick–slip oscillations in drill-strings. Nonlinear Dyn. 2017, 90, 2959–2978. [Google Scholar] [CrossRef]
Figure 1. Schematic of a typical offshore drilling system.
Figure 1. Schematic of a typical offshore drilling system.
Vibration 07 00056 g001
Figure 2. A sketch of the considered full drill string (left) and the corresponding FEM model developed in ABAQUS with boundary conditions at the surface and the bit (right).
Figure 2. A sketch of the considered full drill string (left) and the corresponding FEM model developed in ABAQUS with boundary conditions at the surface and the bit (right).
Vibration 07 00056 g002
Figure 3. Effect of frequency band on the Rayleigh damping variations.
Figure 3. Effect of frequency band on the Rayleigh damping variations.
Vibration 07 00056 g003
Figure 4. Lumped-parameter model representation of the drill string.
Figure 4. Lumped-parameter model representation of the drill string.
Vibration 07 00056 g004
Figure 5. Friction model at the bit: switch friction model (enhanced Karnopp friction model) + Stribeck model.
Figure 5. Friction model at the bit: switch friction model (enhanced Karnopp friction model) + Stribeck model.
Vibration 07 00056 g005
Figure 6. Example stick–slip time series and phase planes of the bit angular velocity obtained from (a) the FEM model and (b) the lumped-parameter model using Equations (7) and (11) with parameter values given in Table 3. Ωr = 7.33 rad/s (dashed lines), Wb = 40 kN, and ξ = 0.03 (with α = 0.070416 1/s and β = 0.00132142 s).
Figure 6. Example stick–slip time series and phase planes of the bit angular velocity obtained from (a) the FEM model and (b) the lumped-parameter model using Equations (7) and (11) with parameter values given in Table 3. Ωr = 7.33 rad/s (dashed lines), Wb = 40 kN, and ξ = 0.03 (with α = 0.070416 1/s and β = 0.00132142 s).
Vibration 07 00056 g006
Figure 7. Example of stick–slip vibration occurring in the field test under constant rotational velocity Ωr = 9.42 rad/s. Field test result from [48].
Figure 7. Example of stick–slip vibration occurring in the field test under constant rotational velocity Ωr = 9.42 rad/s. Field test result from [48].
Vibration 07 00056 g007
Figure 8. Definition of the peak-to-peak amplitude (2A) of angular velocity under stick–slip conditions for Ωr = 5.24 rad/s, ξ = 0.03, and Wb = 40 kN.
Figure 8. Definition of the peak-to-peak amplitude (2A) of angular velocity under stick–slip conditions for Ωr = 5.24 rad/s, ξ = 0.03, and Wb = 40 kN.
Vibration 07 00056 g008
Figure 9. Time series and phase planes of the angular velocity at the drill bit for Wb = 40 kN, ξ = 0.03, and Ωr of (a) 2.09, (b) 5.24, (c) 7.33, and (d) 11.52 rad/s.
Figure 9. Time series and phase planes of the angular velocity at the drill bit for Wb = 40 kN, ξ = 0.03, and Ωr of (a) 2.09, (b) 5.24, (c) 7.33, and (d) 11.52 rad/s.
Vibration 07 00056 g009
Figure 10. Time series and phase planes of the angular velocity at 1900 m above the drill bit for Wb = 40 kN, ξ = 0.03, and Ωr of (a) 2.09, (b) 5.24, (c) 7.33, and (d) 11.52 rad/s.
Figure 10. Time series and phase planes of the angular velocity at 1900 m above the drill bit for Wb = 40 kN, ξ = 0.03, and Ωr of (a) 2.09, (b) 5.24, (c) 7.33, and (d) 11.52 rad/s.
Vibration 07 00056 g010
Figure 11. Response spectra of angular velocity at the drill bit (left) and 1900 m above the bit (right) with Wb = 40 kN, ξ = 0.03, and Ωr of (a) 2.09, (b) 5.24, (c) 7.33, and (d) 11.52 rad/s. Dashed lines indicate natural frequencies.
Figure 11. Response spectra of angular velocity at the drill bit (left) and 1900 m above the bit (right) with Wb = 40 kN, ξ = 0.03, and Ωr of (a) 2.09, (b) 5.24, (c) 7.33, and (d) 11.52 rad/s. Dashed lines indicate natural frequencies.
Vibration 07 00056 g011
Figure 12. Time series and phase planes of the angular velocity at the bit for Ωr = 6.3 rad/s, ξ = 0.03, and Wb of (a) 10, (b) 30, (c) 40, and (d) 50 kN.
Figure 12. Time series and phase planes of the angular velocity at the bit for Ωr = 6.3 rad/s, ξ = 0.03, and Wb of (a) 10, (b) 30, (c) 40, and (d) 50 kN.
Vibration 07 00056 g012
Figure 13. Time series and phase planes of the angular velocity at 1650 m above the bit for Ωr = 6.3 rad/s, ξ = 0.03, and Wb of (a) 10, (b) 30, (c) 40, and (d) 50 kN.
Figure 13. Time series and phase planes of the angular velocity at 1650 m above the bit for Ωr = 6.3 rad/s, ξ = 0.03, and Wb of (a) 10, (b) 30, (c) 40, and (d) 50 kN.
Vibration 07 00056 g013
Figure 14. Response spectra of angular velocity at the drill bit (left) and 1650 m above the bit (right) for Ωr = 6.3 rad/s, ξ = 0.03, and Wb of (a) 10 kN, (b) 30 kN, (c) 40 kN, and (d) 50 kN. Dashed lines indicate natural frequencies.
Figure 14. Response spectra of angular velocity at the drill bit (left) and 1650 m above the bit (right) for Ωr = 6.3 rad/s, ξ = 0.03, and Wb of (a) 10 kN, (b) 30 kN, (c) 40 kN, and (d) 50 kN. Dashed lines indicate natural frequencies.
Vibration 07 00056 g014
Figure 15. Time series and phase planes of the angular velocity at the bit for Ωr = 5.24 rad/s, Wb = 40 kN, and ξ of (a) 0.05, (b) 0.10, (c) 0.20, (d) 0.27, and 0.30.
Figure 15. Time series and phase planes of the angular velocity at the bit for Ωr = 5.24 rad/s, Wb = 40 kN, and ξ of (a) 0.05, (b) 0.10, (c) 0.20, (d) 0.27, and 0.30.
Vibration 07 00056 g015
Figure 16. Time series and phase planes of the angular velocity at 1400 m above the bit for Ωr = 5.24 rad/s, Wb = 40 kN, and ξ of (a) 0.05, (b) 0.10, (c) 0.20, (d) 0.27, and 0.30.
Figure 16. Time series and phase planes of the angular velocity at 1400 m above the bit for Ωr = 5.24 rad/s, Wb = 40 kN, and ξ of (a) 0.05, (b) 0.10, (c) 0.20, (d) 0.27, and 0.30.
Vibration 07 00056 g016
Figure 17. Response spectra of angular velocity at the drill bit (left) and 1400 m above the bit (right) for Ωr = 5.24 rad/s, Wb = 40 kN, and ξ of (a) 0.05, (b) 0.10, (c) 0.20, and (d) 0.27.
Figure 17. Response spectra of angular velocity at the drill bit (left) and 1400 m above the bit (right) for Ωr = 5.24 rad/s, Wb = 40 kN, and ξ of (a) 0.05, (b) 0.10, (c) 0.20, and (d) 0.27.
Vibration 07 00056 g017
Figure 18. Time series (left) and phase planes (right) of the bit response obtained from the FEM model (solid lines) and the lumped-parameter model (dashed lines) for Ωr = 5.24 rad/s, Wb = 40 kN, and ξ of (a) 0.10 and (b) 0.13.
Figure 18. Time series (left) and phase planes (right) of the bit response obtained from the FEM model (solid lines) and the lumped-parameter model (dashed lines) for Ωr = 5.24 rad/s, Wb = 40 kN, and ξ of (a) 0.10 and (b) 0.13.
Vibration 07 00056 g018
Figure 19. Variation of the peak-to-peak amplitude of angular velocity along the drill string under different stick–slip conditions. (a) Wb = 40 kN and ξ = 0.03, (b) Ωr = 6.3 rad/s and ξ = 0.03, and (c) Ωr = 5.24 rad/s and Wb = 40 kN.
Figure 19. Variation of the peak-to-peak amplitude of angular velocity along the drill string under different stick–slip conditions. (a) Wb = 40 kN and ξ = 0.03, (b) Ωr = 6.3 rad/s and ξ = 0.03, and (c) Ωr = 5.24 rad/s and Wb = 40 kN.
Vibration 07 00056 g019
Figure 20. Variation of the standard deviation of angular velocity along the drill string under different stick–slip conditions. (a) Wb = 40 kN and ξ = 0.03, (b) Ωr = 6.3 rad/s and ξ = 0.03, and (c) Ωr = 5.24 rad/s and Wb = 40 kN.
Figure 20. Variation of the standard deviation of angular velocity along the drill string under different stick–slip conditions. (a) Wb = 40 kN and ξ = 0.03, (b) Ωr = 6.3 rad/s and ξ = 0.03, and (c) Ωr = 5.24 rad/s and Wb = 40 kN.
Vibration 07 00056 g020
Table 1. Geometry and material properties of the drill string [1].
Table 1. Geometry and material properties of the drill string [1].
ParameterVariableValue Unit
Drill pipe specification
Drill pipe lengthLp2000m
Drill pipe outer diameter Dp0.1270m
Drill pipe inner diameterdp0.1086m
Drill collar specification
Drill collar lengthLc150m
Drill collar outer diameterDc0.2286m
Drill collar inner diameter dc0.0762m
Material specification
Steel densityρ7850kg/m3
Young’s modulusE2 × 1011N/m2
Shear modulusG7.96 × 1010N/m2
Table 2. Torsional natural frequencies of the drill string.
Table 2. Torsional natural frequencies of the drill string.
Mode NumberNatural Frequency Natural Frequency
nfn (Hz)ωn (rad/s)
10.191.21
20.845.26
31.6010.02
42.3714.88
53.1419.75
63.9224.62
74.6929.48
85.4634.33
96.2339.16
107.0444.22
Table 3. Model parameters computed for the full drill string configuration given in Table 1.
Table 3. Model parameters computed for the full drill string configuration given in Table 1.
QuantityVariableValue Unit
Mass moment of inertia of drill pipeJp46.6438 kgm2
Mass moment of inertia of bitJb335.1180kgm2
Torsional stiffness of drill pipekp1891.8971Nm/rad
Equivalent viscous damping coefficient for drill pipecp18.9Nms/rad
Equivalent viscous damping coefficient for drill collars/bitcb9.45Nms/rad
Bit–rock interface parameters [11]
Bit outer diameterDb0.311 (12¼)m (inch)
Bit radiusRb0.1555m
Static friction coefficient µs0.8
Kinetic (Coulomb) friction coefficient µc0.5
Decay coefficient γ0.9
Threshold velocityVd1 × 10−6
Table 4. Mean angular velocity µ (rad/s) at different points along the drill string for Wb = 40 kN, ξ = 0.03, and varying Ωr.
Table 4. Mean angular velocity µ (rad/s) at different points along the drill string for Wb = 40 kN, ξ = 0.03, and varying Ωr.
Distance Above the Bit (m)Ωr = 2.09 rad/sΩr = 5.24 rad/sΩr = 7.33 rad/sΩr = 11.52 rad/s
21502.095.247.3311.52
19002.105.237.3311.52
16502.105.217.3211.51
14002.115.207.3211.51
11502.115.197.3111.50
9002.125.187.3111.50
6502.125.167.3111.50
4002.135.157.3011.49
1502.145.157.3011.49
112.52.145.157.3011.49
752.145.157.3011.49
37.52.145.157.3011.49
02.145.157.3011.49
Table 5. Mean angular velocity µ (rad/s) at different points along the drill string for Ωr = 6.3 rad/s, ξ = 0.03, and varying Wb.
Table 5. Mean angular velocity µ (rad/s) at different points along the drill string for Ωr = 6.3 rad/s, ξ = 0.03, and varying Wb.
Distance Above the Bit (m)Wb = 10 kNWb = 30 kNWb = 40 kNWb = 50 kN
21506.30006.30006.30006.3000
19006.30106.30246.28166.2807
16506.30206.30486.26316.2619
14006.30296.30726.24506.2441
11506.30386.30966.22826.2274
9006.30476.31196.21296.2117
6506.30556.31426.19866.1968
4006.30626.31646.18536.1826
1506.30696.31856.17286.1694
112.56.30696.31856.17276.1693
756.30696.31856.17266.1692
37.56.30696.31856.17266.1692
06.30696.31856.17266.1693
Table 6. ξ and the corresponding values for α and β.
Table 6. ξ and the corresponding values for α and β.
ξαβ
(1/s)(s)
0.030.0704160.00132142
0.050.1173610.00220237
0.070.1643050.00308332
0.100.2347210.00440474
0.150.3520820.00660711
0.200.4694420.00880948
0.250.5868030.01101185
0.270.6337470.01189280
0.300.7041640.01321422
Table 7. Mean angular velocity (µ) at different points along the drill string for Ωr = 5.24 rad/s, Wb = 40 kN, and varying ξ.
Table 7. Mean angular velocity (µ) at different points along the drill string for Ωr = 5.24 rad/s, Wb = 40 kN, and varying ξ.
Distance Above the Bit (m)ξ = 0.05ξ = 0.10ξ = 0.20ξ = 0.27
21505.245.245.245.24
19005.235.235.235.24
16505.225.225.215.23
14005.215.215.205.23
11505.205.205.195.22
9005.195.195.185.22
6505.185.185.175.21
4005.185.175.165.21
1505.175.155.155.20
112.55.175.155.155.20
755.175.155.155.20
37.55.175.155.155.20
05.175.155.155.20
Disclaimer/Publisher’s Note: The statements, opinions and data contained in all publications are solely those of the individual author(s) and contributor(s) and not of MDPI and/or the editor(s). MDPI and/or the editor(s) disclaim responsibility for any injury to people or property resulting from any ideas, methods, instructions or products referred to in the content.

Share and Cite

MDPI and ACS Style

Moharrami, M.J.; Shiri, H.; Martins, C.d.A. Numerical Investigation of the Nonlinear Drill String Dynamics Under Stick–Slip Vibration. Vibration 2024, 7, 1086-1110. https://doi.org/10.3390/vibration7040056

AMA Style

Moharrami MJ, Shiri H, Martins CdA. Numerical Investigation of the Nonlinear Drill String Dynamics Under Stick–Slip Vibration. Vibration. 2024; 7(4):1086-1110. https://doi.org/10.3390/vibration7040056

Chicago/Turabian Style

Moharrami, Mohammad Javad, Hodjat Shiri, and Clóvis de Arruda Martins. 2024. "Numerical Investigation of the Nonlinear Drill String Dynamics Under Stick–Slip Vibration" Vibration 7, no. 4: 1086-1110. https://doi.org/10.3390/vibration7040056

APA Style

Moharrami, M. J., Shiri, H., & Martins, C. d. A. (2024). Numerical Investigation of the Nonlinear Drill String Dynamics Under Stick–Slip Vibration. Vibration, 7(4), 1086-1110. https://doi.org/10.3390/vibration7040056

Article Metrics

Back to TopTop