Tunable High-Static-Low-Dynamic Stiffness Isolator under Harmonic and Seismic Loads
Abstract
1. Introduction
2. Description of the Real Isolator and Theoretical Dynamic Model
- if < 0, the system presents a negative stiffness nonlinear spring;
- if = 0, the isolator works as a QZS mechanism;
- if 0 < < 1, the isolator works as an HSLDS mechanism.
3. Experimental Setup and Shake Table Test
3.1. Harmonic Excitation Tests
- Each test is defined by a specific horizontal spring preload ;
- Before each experimental test, the isolator’s static equilibrium position, characterized by having horizontal rods, , was imposed by adjusting the vertical spring preload . According to Equation (5), this angle was selected to provide the minimum stiffness around the static equilibrium position;
- To study the behavior of the isolator under HSLDS conditions for all the investigated cases, the displacement was kept below the QZS threshold given by Equation (6), = 25 mm;
- Cases where > 12 mm were excluded because payload oscillations with amplitudes exceeding the maximum allowed stroke were observed, causing the premature end of the test;
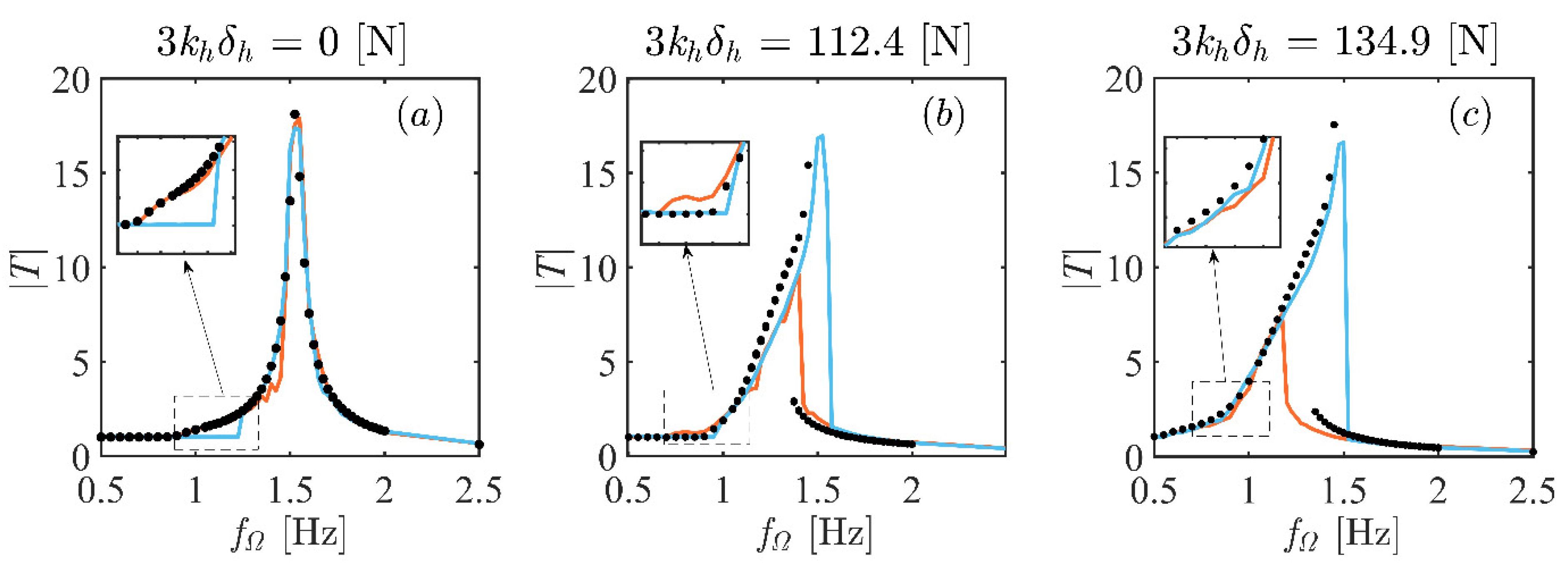
- The natural frequency of the system can be obtained by the linearization of the restoring force, Equation (7), using the Taylor series. Considering Case 1 as a reference, a reduction in natural frequency of 22% and 27% was achieved for Case 2 and Case 3, respectively.
3.2. Earthquake Experimental Results
- (i)
- Amplitude-scaled tests: the acceleration amplitude of the input signals was reduced to cope with the shaker limits (i.e., shaker base overtravel);
- (ii)
- Time-scaled tests: the input signals were compressed in time to shift the earthquake energy content to higher frequencies in order to account for the limited suspended mass.
4. Concluding Remarks
- (1)
- The numerically determined and experimental transmissibility exhibited noticeable agreement, underlining the importance of considering a piecewise nonlinear–linear restoring force to replicate the experimental observation;
- (2)
- (3)
- Near-fault excitation tests revealed the beneficial effects of the HSLDS isolator in mitigating transmitted ground vibration to the payload. Results showed that a nonlinear isolator attained a higher vibration reduction than a linear spring isolator in four out of six investigated earthquakes;
- (4)
- Experimental results align with existing literature [34], reinforcing the concept of the HSLDS mechanism as an effective means to prevent damage to sensitive objects;
- (5)
- Insights into passive isolation systems are provided, revealing their susceptibility to resonance and emphasizing the importance of careful tuning to meet the safety requirements of suspended payloads.
Author Contributions
Funding
Data Availability Statement
Acknowledgments
Conflicts of Interest
References
- Doocy, S.; Daniels, A.; Packer, C.; Dick, A.; Kirsch, T.D. The human impact of earthquakes: A historical review of events 1980-2009 and systematic literature review. PLoS Curr. 2013, 5, ecurrents.dis.67bd14fe457f1db0b5433a8ee20fb833. [Google Scholar] [CrossRef] [PubMed]
- Parulekar, Y.M.; Reddy, G.R. Passive response control systems for seismic response reduction: A state-of-the-art review. Int. J. Struct. Stab. Dyn. 2009, 9, 151–177. [Google Scholar] [CrossRef]
- Inman, D.J. Engineering Vibration, 4th ed.; Pearson International Education (Prentice Hall): Upper Saddle River, NJ, USA, 2013. [Google Scholar]
- Abolfathi, A.; Brennan, M.J.; Waters, T.P.; Tang, B. On the effects of mistuning a force-excited system containing a quasi-zero-stiffness vibration isolator. J. Vib. Acoust. 2015, 137, 044502. [Google Scholar] [CrossRef]
- Sarlis, A.A.; Pasala, D.T.R.; Constantinou, M.C.; Reinhorn, A.M.; Nagarajaiah, S.; Taylor, D.P. Negative Stiffness Device for Seismic Protection of Structures. J. Struct. Eng. 2013, 139, 1124–1133. [Google Scholar] [CrossRef]
- Sarlis, A.A.; Pasala, D.T.R.; Constantinou, M.C.; Reinhorn, A.M.; Nagarajaiah, S.; Taylor, D.P. Negative Stiffness Device for Seismic Protection of Structures: Shake Table Testing of a Seismically Isolated Structure. J. Struct. Eng. 2016, 142, 04016005. [Google Scholar] [CrossRef]
- David, L.P. Negative-stiffness-mechanism vibration isolation systems. In Vibration Control in Microelectronics, Optics, and Metrology; SPIE: Bellingham, WA, USA, 1992; Volume 1619. [Google Scholar] [CrossRef]
- Gatti, G.; Brennan, M.J.; Tang, B. Some diverse examples of exploiting the beneficial effects of geometric stiffness nonlinearity. Mech. Syst. Signal Process. 2019, 125, 4–20. [Google Scholar] [CrossRef]
- Molyneaux, W.G. Supports for vibration isolation. In ARC/CP-322; Aeronautical Research Council: London, UK, 1957. [Google Scholar]
- Woodard, S.E.; Housner, J.M. Nonlinear behavior of a passive zero-spring-rate suspension system. J. Guid. Control Dyn. 1991, 14, 84–89. [Google Scholar] [CrossRef]
- Carrella, A.; Brennan, M.J.; Waters, T.P. Static analysis of a passive vibration isolator with quasi-zero-stiffness characteristic. J. Sound. Vib. 2007, 301, 678–689. [Google Scholar] [CrossRef]
- Carrella, A.; Brennan, M.J.; Waters, T.P. Optimization of a quasi-zero-stiffness isolator. J. Mech. Sci. Technol. 2007, 21, 946–949. [Google Scholar] [CrossRef]
- Kovacic, I.; Brennan, M.J.; Waters, T.P. A study of a nonlinear vibration isolator with a quasi-zero stiffness characteristic. J. Sound. Vib. 2008, 315, 700–711. [Google Scholar] [CrossRef]
- Brennan, M.J.; Kovacic, I.; Carrella, A.; Waters, T.P. On the jump-up and jump-down frequencies of the Duffing oscillator. J. Sound. Vib. 2008, 318, 1250–1261. [Google Scholar] [CrossRef]
- Carrella, A.; Brennan, M.J.; Waters, T.P.; Lopes, V. Force and displacement transmissibility of a nonlinear isolator with high-static-low-dynamic-stiffness. Int. J. Mech. Sci. 2012, 55, 22–29. [Google Scholar] [CrossRef]
- Cheng, C.; Li, S.; Wang, Y.; Jiang, X. Force and displacement transmissibility of a quasi-zero stiffness vibration isolator with geometric nonlinear damping. Nonlinear Dyn. 2017, 87, 2267–2279. [Google Scholar] [CrossRef]
- Cheng, C.; Ma, R.; Hu, Y. Beneficial performance of a quasi-zero stiffness vibration isolator with generalized geometric nonlinear damping. Noise Vib. Worldw. 2021, 52, 59–71. [Google Scholar] [CrossRef]
- Shahraeeni, M.; Sorokin, V.; Mace, B.; Ilanko, S. Effect of damping nonlinearity on the dynamics and performance of a quasi-zero-stiffness vibration isolator. J. Sound. Vib. 2022, 526, 116822. [Google Scholar] [CrossRef]
- Jeong, B.; Cho, H.; Yu, M.F.; Vakakis, A.F.; McFarland, D.M.; Bergman, L.A. Modeling and measurement of geometrically nonlinear damping in a microcantilever-nanotube system. ACS Nano 2013, 7, 8547–8553. [Google Scholar] [CrossRef]
- Den Hartog, J.P. Forced Vibration With Combined Viscous and Coulomb Damping. Transcations Am. Soc. Mech. Eng. 1930, 9, 801–817. [Google Scholar]
- Ravindra, B.; Mallik, A.K. Hard duffing-type vibration isolator with combined Coulomb and viscous damping. Int. J. Non Linear Mech. 1993, 28, 427–440. [Google Scholar] [CrossRef]
- Donmez, A.; Cigeroglu, E.; Ozgen, G.O. An improved quasi-zero stiffness vibration isolation system utilizing dry friction damping. Nonlinear Dyn. 2020, 101, 107–121. [Google Scholar] [CrossRef]
- Liu, C.; Yu, K. Design and experimental study of a quasi-zero-stiffness vibration isolator incorporating transverse groove springs. Arch. Civ. Mech. Eng. 2020, 20, 67. [Google Scholar] [CrossRef]
- Liu, C.; Zhang, W.; Yu, K.; Liu, T.; Zheng, Y. Quasi-zero-stiffness vibration isolation: Designs, improvements and applications. Eng. Struct. 2024, 301, 117282. [Google Scholar] [CrossRef]
- Barbieri, M.; Ilanko, S.; Pellicano, F. Active vibration control of seismic excitation. Nonlinear Dyn. 2018, 93, 41–52. [Google Scholar] [CrossRef]
- Samani, F.S.; Pellicano, F. Vibration reduction on beams subjected to moving loads using linear and nonlinear dynamic absorbers. J. Sound. Vib. 2009, 325, 742–754. [Google Scholar] [CrossRef]
- Lan, C.C.; Yang, S.A.; Wu, Y.S. Design and experiment of a compact quasi-zero-stiffness isolator capable of a wide range of loads. J. Sound. Vib. 2014, 333, 4843–4858. [Google Scholar] [CrossRef]
- Cheng, C.; Li, S.; Wang, Y.; Jiang, X. On the analysis of a piecewise nonlinear-linear vibration isolator with high-static-low-dynamic-stiffness under base excitation. J. Vibroengineering 2015, 17, 3453–3470. [Google Scholar]
- Carrella, A.; Brennan, M.J.; Waters, T.P.; Shin, K. On the design of a high-static-low-dynamic stiffness isolator using linear mechanical springs and magnets. J. Sound. Vib. 2008, 315, 712–720. [Google Scholar] [CrossRef]
- Dong, G.; Zhang, X.; Xie, S.; Yan, B.; Luo, Y. Simulated and experimental studies on a high-static-low-dynamic stiffness isolator using magnetic negative stiffness spring. Mech. Syst. Signal Process. 2017, 86, 188–203. [Google Scholar] [CrossRef]
- Yan, G.; Zou, H.X.; Wang, S.; Zhao, L.C.; Wu, Z.Y.; Zhang, W.M. Bio-inspired vibration isolation: Methodology and design. Appl. Mech. Rev. 2021, 73, 1–21. [Google Scholar] [CrossRef]
- Bian, J.; Jing, X. Analysis and design of a novel and compact X-structured vibration isolation mount (X-Mount) with wider quasi-zero-stiffness range. Nonlinear Dyn. 2020, 101, 2195–2222. [Google Scholar] [CrossRef]
- Chong, X.; Wu, Z.; Li, F. Vibration isolation properties of the nonlinear X-combined structure with a high-static and low-dynamic stiffness: Theory and experiment. Mech. Syst. Signal Process. 2022, 179, 109352. [Google Scholar] [CrossRef]
- Eskandary-Malayery, F.; Ilanko, S.; Mace, B.; Mochida, Y.; Pellicano, F. Experimental and numerical investigation of a vertical vibration isolator for seismic applications. Nonlinear Dyn. 2022, 109, 303–322. [Google Scholar] [CrossRef]
- Kim, T.C.; Rook, T.E.; Singh, R. Effect of smoothening functions on the frequency response of an oscillator with clearance non-linearity. J. Sound. Vib. 2003, 263, 665–678. [Google Scholar] [CrossRef]
- Shampine, L.F.; Reichelt, M.W. The MATLAB Ode Suite. SIAM J. Sci. Comput. 1997, 18, 1–22. [Google Scholar] [CrossRef]
- Peer Ground Motion Database; Pacific Earthquake Engineering Research Center (PEER): Berkeley, CA, USA.
- Eurocode 8. Design of Structures for Earthquake Resistance—Part 3: Assessment and Retrofitting of Buildings; Committee for Standardization: Brussels, Belgium, 2005; EN 1998-1. [Google Scholar]
- Benedetti, D.; Carydis, P.; Pezzoli, P. Shaking table tests on 24 simple masonry buildings. Earthq. Eng. Struct. Dyn. 1998, 27, 67–90. [Google Scholar] [CrossRef]
- Ceroni, F.; Sica, S.; Rosaria Pecce, M.; Garofano, A. Evaluation of the natural vibration frequencies of a historical masonry building accounting for SSI. Soil. Dyn. Earthq. Eng. 2014, 64, 95–101. [Google Scholar] [CrossRef]
- Vaiana, N.; Rosati, L. Classification and unified phenomenological modeling of complex uniaxial rate-independent hysteretic responses. Mech. Syst. Signal Process. 2023, 182, 109539. [Google Scholar] [CrossRef]
- Vaiana, N.; Rosati, L. Analytical and differential reformulations of the Vaiana–Rosati model for complex rate-independent mechanical hysteresis phenomena. Mech. Syst. Signal Process. 2023, 199, 110448. [Google Scholar] [CrossRef]














| Frequency range [Hz] | 0.5–1.05 | 1.05–2 | 2–5 | 5–10 |
| Frequency step [Hz] | 0.050 | 0.025 | 0.5 | 1 |
| Slope of reference acceleration [m s−2 Hz−1] | 0.39 | 0.39 | 1.10 | 2.37 |
| Parameter | Case 1 | Case 2 | Case 3 |
|---|---|---|---|
| [mm] | 0 | 10 | 12 |
| [N] | 0 | 112.4 | 134.9 |
| Natural frequency [Hz] | 1.53 | 1.19 | 1.11 |
| Parameter | Case 1 | Case 2 | Case 3 |
|---|---|---|---|
| 0.015 | 0.008 | 0.020 | |
| [N] | 3.44 | 3.44 | 0.86 |
Disclaimer/Publisher’s Note: The statements, opinions and data contained in all publications are solely those of the individual author(s) and contributor(s) and not of MDPI and/or the editor(s). MDPI and/or the editor(s) disclaim responsibility for any injury to people or property resulting from any ideas, methods, instructions or products referred to in the content. |
© 2024 by the authors. Licensee MDPI, Basel, Switzerland. This article is an open access article distributed under the terms and conditions of the Creative Commons Attribution (CC BY) license (https://creativecommons.org/licenses/by/4.0/).
Share and Cite
Iarriccio, G.; Zippo, A.; Eskandary-Malayery, F.; Ilanko, S.; Mochida, Y.; Mace, B.; Pellicano, F. Tunable High-Static-Low-Dynamic Stiffness Isolator under Harmonic and Seismic Loads. Vibration 2024, 7, 829-843. https://doi.org/10.3390/vibration7030044
Iarriccio G, Zippo A, Eskandary-Malayery F, Ilanko S, Mochida Y, Mace B, Pellicano F. Tunable High-Static-Low-Dynamic Stiffness Isolator under Harmonic and Seismic Loads. Vibration. 2024; 7(3):829-843. https://doi.org/10.3390/vibration7030044
Chicago/Turabian StyleIarriccio, Giovanni, Antonio Zippo, Fatemeh Eskandary-Malayery, Sinniah Ilanko, Yusuke Mochida, Brian Mace, and Francesco Pellicano. 2024. "Tunable High-Static-Low-Dynamic Stiffness Isolator under Harmonic and Seismic Loads" Vibration 7, no. 3: 829-843. https://doi.org/10.3390/vibration7030044
APA StyleIarriccio, G., Zippo, A., Eskandary-Malayery, F., Ilanko, S., Mochida, Y., Mace, B., & Pellicano, F. (2024). Tunable High-Static-Low-Dynamic Stiffness Isolator under Harmonic and Seismic Loads. Vibration, 7(3), 829-843. https://doi.org/10.3390/vibration7030044

