You are currently on the new version of our website. Access the old version .
VibrationVibration
  • Article
  • Open Access

1 October 2023

Defect Detection in Carbon Fiber-Reinforced Plate by Imaging of Mechanical Nonlinearity-Induced Sideband Vibrations

,
,
,
and
1
Laboratory of Soft Matter and Biophysics, Department of Physics and Astronomy, Katholieke Universiteit Leuven, Celestijnenlaan 200D, P.O. Box 2416, 3001 Heverlee, Belgium
2
Structural Composites and Alloys, Integrity and Nondestructive Testing (SCALINT) Group, Department of Materials Engineering, KU Leuven, Kasteelpark Arenberg 44, P.O. Box 2450, 3001 Leuven, Belgium
*
Author to whom correspondence should be addressed.
This article belongs to the Special Issue Feature Papers in Vibration

Abstract

Laser Doppler scanning vibrometry is used for imaging spectral vibration components in a carbon fiber-reinforced composite plate that contains a sub-surface delamination defect caused by hammer impact. The images reveal sideband generation at the location of the defect, reflecting mechanical nonlinearity-induced mixing between a high amplitude, low-frequency vibration that modulates the stress–strain behavior near the defect and a low amplitude, high-frequency probe vibration. In this work, a multifrequency probe is used to tackle the problem that the mixing coefficients are, in practice, frequency dependent. Based on the measured sideband amplitudes, a study is presented on the expected feasibility of detecting defects by a full field imaging scheme based on a photorefractive interferometer that is configured as a vibrometer acting as a bandpass filter around a sideband frequency of interest.

1. Introduction

Composite materials occupy a significant share of structural elements in a number of critical applications: transportation, wind turbines, pressure vessels, and civil engineering structures, to name a few. To guarantee the safety and reliability of the composite structures, non-destructive testing (NDT) techniques, able to detect and size possible defects, are constantly being adapted to the needs of the manufacturers and operators. The major points of interest for the operators are high sensitivity to defects so that they can be detected in an early stage, and the possibility to inspect large surfaces in a rapid way, in order to reduce the non-operational time of the item under testing. Downtime reduction is particularly critical for commercial sectors such as commercial airlines because of the economic impact that it involves. Over the past decades, a number of techniques have been developed to satisfy the needs of the different industries. Several ultrasound-based techniques based on linear [1,2,3] and non-linear [4,5,6,7,8,9,10,11] effects, infrared imaging [12,13,14,15,16,17,18], interferometric techniques, both full field (speckle interferometry [19], shearography [20,21]), and scanning [8,22,23,24,25].
In this work, the defect type of interest is barely visible impact damage (BVID) in a carbon fiber-reinforced polymer (CFRP) plate. This type of damage occurs after one, or a series, of heavy impacts that leave little or no trace on the target surface but cause delaminations in the inner layers. When it comes to aircrafts, typical examples are tool drops, vehicle impact (airport facilities), bird strikes, and impact with stones during take-off or landing. After an impact, an unscathed surface does not guarantee that the component is perfectly intact: ply debonding, core damage (in the case of sandwich components), and fiber breakage may have happened in depth [26,27].
In spite of the great advantages of classical ultrasonics in terms of sensitivity to mechanical disturbances caused by defects and the flexibility of letting guided waves probe large surfaces [28], due to the often closed state of delamination defects that make them appear like intact material, the risk of such defects remaining undetected by classical ultrasonic techniques is rather high.
Non-linear acoustic (NLA) methods in which the induced vibrations open the delamination and thus reveal their presence have been successful at localizing those defects in a wide variety of samples (plexiglass, glass fiber, concrete, metals [29], and CFRP) [4,30]. Two approaches are possible: harmonic generation and cross-modulation. In harmonic generation, the defect non-linearity acts as a source of harmonics of the pump vibration. The sample is set into vibration with amplitudes spanning from several hundred nanometers to a few micrometers, depending on the sample type and the defect characteristics. The pump wave should induce sufficient strain variations on the defect to bring it into the non-linear section of its stress–strain curve. Figuratively speaking, the pump wave should modulate the defect between a “closed” (linear) state and an “open” (non-linear) state. As a detector, a piezoelectric transducer or an optical vibrometer can be used, the tradeoff between these two choices being that the PT has a larger sensitivity, while the laser vibrometer can be scanned over the surface of the sample and returns a spatial profile of the spectral density of the vibrations in the sample, thus allowing for defect localization. The second approach, cross modulation, requires a probing wave in addition to the pump wave. Usually, the probing wave has a higher frequency and a lower amplitude than the pump wave. As a consequence of the defect non-linearity, sidebands are generated at frequencies that are linear combinations of those of the pump and probing wave. The same schemes for detection for the harmonic generation case can be used here, with the same tradeoff.
Contrary to the successful application of scanning NLA methods, to the best of our knowledge, no camera-based full-field approaches exploiting cross-modulation for defect detection have been reported. Interestingly, in the first half of the 1990s, a full optical lock-in (or bandpass) camera based on a photorefractive interferometer was demonstrated [31,32,33,34,35,36] to be capable of real-time imaging of vibrations happening at a known frequency. The possibility of configuring a full-field photorefractive interferometer as an optical bandpass filter (PRI-BP) was also demonstrated for a scenario in which the sample was excited with multiple frequencies [37].
In Section 2 and Section 3, we first report on the characterization of a CFRP affected by BVID using scanning laser Doppler vibrometry (LDV), by exploiting the nonlinear mechanical behavior of the defect, which induces modulation of a probing vibration by a delamination opening pump vibration, thus causing sidebands near the probing vibration frequency. Given that the efficiency of sideband excitation has been observed to be highly frequency dependent [8], here a frequency comb excitation is used as a probing signal mapping a region of interest along the sample surface. A final map, resulting from the combination of the displacement maps at all sidebands, allows for locating the defect with precision comparable with infrared imaging.
The obtained sideband amplitude maps are then used for quantitative estimation of the magnitude of the defect-induced sideband vibration, which in turn is employed for determining the sensitivity requirements for full-field PRI imaging of those sidebands.
In Section 4, the possibilities and limitations of Michelson-based full-field interferometry, applied for sideband imaging, are shown, by means of simulations and by means of experimental characterization of a PRI-BP device in point detection and full-field mode. In point detection, light is collected by a photodetector and processed by a lock-in amplifier. The minimum detectable displacement, the bandpass filtering response, and the extent of unwanted masking effects caused by the nonlinear optical response of the used device are quantified experimentally. Lastly, a simulation-based evaluation of the feasibility of using point detection-based and full-field PRI-BP for the detection of defects exploiting sideband generation is presented.

2. Materials and Methods

When a composite material is delaminated, its stress–strain function becomes non-linear [4,38,39] at the delamination location. Generally speaking, this leads to phenomena such as higher harmonic generation and sideband generation [40,41]. Vibrational signatures of the nonlinearity provide an ideal indication for the defect location [8,9,20]. There are different types of responses that can give rise to frequency mixing, the most prominent being a quadratic response [42] (Figure 1a), hysteresis [43,44,45] (Figure 1b), and a polygonal chain or mechanical diode, due to the so-called clapping phenomena [46] (Figure 1c).
Figure 1. Graphical representation of the stress(σ)–strain(ε) relation for a selection of scenarios characterized by non-linear mechanical behavior. A quadratic stress relation (a) is typical for classical nonlinearity. This type of nonlinearity is typically weakly present in all materials and becomes prominent for very large statically or vibration-induced stress levels. Hysteretic behavior (b) typically occurs when there is a frictional contact and short-range adhesion. Along with features of polygonal behavior (c), which is characteristic of delaminations in which the two limbs are less stiff to open by pulling than to close by pressing, hysteretic behavior can be expected for the hammer impact-induced delamination in the CFRP sample under investigation in this work.
In the investigated case of a hammer-impacted CFRP, we aim at exploiting contact acoustic non-linearity, going along with clapping between interfaces at the two sides of impact-induced delamination, as a signal feature characteristic for the defect. Two plates of equal size and layup were manufactured. The plates had a dimension of 30 × 30 cm2 and consisted of 8 plies stacked in a 0–90° configuration, meaning the orientation of the fibers in each ply was orthogonal with respect to the adjacent ones. The first four plies were stacked symmetrically to the last four. This was completed to balance the internal stresses, and thus avoid the occurrence of wrinkles and warping. The total thickness of the plates was 1.7 mm. The internal delamination was created by hitting the plate with a rubber hammer.
In general, a non-linear acoustic response can be revealed by injecting two mechanical sinusoidal waves in the sample, one “probe” wave at a high frequency, fP, and small amplitude, which probes the response, and one “modulating” wave at a low-frequency, fM, and high amplitude, which modulates that response at the nonlinearly responding defect. The injected waves typically result in standing wave patterns along the plate surface. By mapping the spectrum of the resulting total vibration along the plate, spatially resolved information is obtained. A graphical scheme of such an experiment is presented in Figure 2. In locations where nonlinearity is present, frequency mixing occurs as a result of
ε ( t ) = C ( σ ( t ) ) σ ( t ) = ( C 0 + C σ σ ( t ) + ) σ ( t )
with ε(t) the local strain resulting from the local stress σ(t), which also induces changes in the compliance C(t). In case of a sinusoidal pump and probe wave, this can be rewritten as
ε ( t ) = ( C 0 + C σ ( σ P , 0 sin ( ω P t ) + σ M , 0 sin ( ω M t ) ) + 2 C σ 2 ( σ P , 0 sin ( ω P t ) + ( σ M , 0 sin ( ω M t ) ) ) 2 ) × ( σ P , 0 sin ( ω P t ) + σ M , 0 sin ( ω M t ) ) = C 0 σ M , 0 sin ( ω M t ) + C σ σ M , 0 2 sin ( 2 ω M t ) + 2 C σ 2 σ M , 0 3 sin ( 3 ω M t ) + + C 0 σ P , 0 sin ( ω P t ) + C σ σ M , 0 σ P , 0 sin ( ( ω P + ω M ) t ) + C σ σ M , 0 σ P , 0 sin ( ( ω P ω M ) t ) + + 2 C σ 2 σ M , 0 2 σ P , 0 sin ( ( ω P + 2 ω M ) t ) + 2 C σ 2 σ M , 0 2 σ P , 0 sin ( ( ω P 2 ω M ) t ) +
Figure 2. Left: Schematic representation of acoustic frequency mixing. Left: two piezoelectric transducers (orange disks) force two respective sinusoidal vibrations in a plate to be tested. The first, low-frequency ( f m ), high-amplitude “pump” vibration is so strong that it dynamically modulates the mechanical response at the weak defect location (not elsewhere). The second, high-frequency ( f p ) “probe” vibration with moderate amplitude is affected by this modulation. Right: At the defect location, due to the non-linear mechanical response of the medium, sum, and difference frequencies are generated, resulting in sidelobes left and right around the probe frequency (at frequencies fpfm and fp + fm) in the power spectral density.
In addition to harmonics of the modulating vibration, sidebands appear in the measured probe vibration spectrum around the probing wave’s frequency at fP ± mfM, with m an integer number (|m| ≥ 2 components are caused by self-modulation and harmonic generation by the pump vibration). Using a scanning vibrometer, it is possible to measure the spatial dependence of the vibration spectrum along the plate. When scanning over the sound region of the sample, the spectrum presents terms only relative to the modulating vibration (fM) and to the probe (fP) vibration. When scanning over the BVID region, the spectrum also contains the sideband frequency terms.
In industrial applications, choosing a modal frequency of the sample is not a major complication. Normally, the vibration modes of an engineering item are known for simulation and design purposes. If they are unknown, they can be estimated with a number of existing approaches (simulation, shearography, scanning LDV, using accelerometers). Choosing the proper frequency for the probing term poses a challenge instead. In NDT, the defect characteristics are considered unknown, so it is not possible to estimate the local defect resonance (LDR). For this reason, instead of using a pure tone, a frequency comb was chosen. Using comb excitation, it is possible to combine the spectral density maps of multiple sidebands and obtain a compound image that may offer more insight on the defect silhouette, compared to the spectral density map originating from a single sideband. Sweeping the frequency of the probing wave over a frequency range [47] would return a similar insight but at the cost of a longer acquisition time per point and a more complex data analysis.
In view of the latter, here, we used a combination of multiple probing waves, with harmonic frequencies pfP and |p| = 1..12, resulting in a total vibrational content containing frequencies pfP ± mfM and thus sidebands around every peak in the comb spectrum of the probe:
ε ( t ) = C 0 σ M , 0 sin ( ω M t ) + C 0 σ p , 0 sin ( ω p t ) + m = 2 + m 1 C σ m 1 σ M , 0 m sin ( m ω M t ) + m = 1 + p = 1 + m C σ m σ M , 0 m σ P , 0 sin ( ( p ω P + m ω M ) t )
Figure 3 shows a simulated example of such a scan in a plate with a nonlinearly acting region in the middle. Contrary to the intact parts of the plate (e.g., power spectral density (PSD) left panel), in the defect region (right panel), sidebands around the probe frequencies reveal the presence of nonlinear frequency mixing.
Figure 3. Middle: Simulated displacement pattern in a plate excited by a low-frequency pumping wave and a series of harmonic probe frequency components characterized by a comb spectrum (frequencies nfcomb,0, n = 1..5). The blue–green chessboard pattern is representative of the standing waves set up by the probe vibrations. The larger displacements in the central region are caused by the pump vibration. The circular complex vibration behavior in the middle of the central region indicates nonlinear mixing between the pump vibration and the probing vibrations. Left: PSD in an intact part of the plate: only the pump vibration and its harmonics (resulting from classical mechanical nonlinearity) are present. Right: PSD in the middle of the central region, which is affected by defect-induced mechanical nonlinearity: in addition to the vibration components that are generated by the pump and probe transducers, mixing components are present in the form of side lobes around the probe comb frequencies, at frequencies pfP ± mfM (p = 1..5, m = 1,2). In principle, higher-order sidebands are generated by cross-modulation. In the experiment here reported, their amplitude was not significant enough to be used for defect localization.
In the performed experiments, we used a laser Doppler vibrometer (Polytec (Polytech GmbH, Waldbronn, Germany) OFV-5000/sensor head OFV 505 (Roland Corporation, Hamamatsu, Japan)) in velocity mode (sensitivity 5 mm/s/V) for scanning, and a Roland (Roland Corporation, Hamamatsu, Japan) Octa-Capture sound card for signal acquisition (Figure 4). Probe waves were generated by sending a sum of (phase locked) sinusoidal signals, with frequencies fp = pfP with fP = 4000 Hz (p = 1..12), and Vpp = 0.1 V for each individual sinusoidal component from the Roland Octa-Capture sound card through a home-made pre-amplifier to a 35 mm diameter PZT/brass piezoelectric transducer glued on the sample plate. The peak-to-peak amplitude of the probing comb was 20 V. Also, the sinusoidal modulating waves (frequency fM = 530 Hz) were synthesized by using the Roland Octa-Capture sound card, but in view of efficiently generating nonlinear effects, the sound card output signal was amplified by an AA Lab Systems (A.A.Lab System Ltd., Wilmington, DE, USA) power amplifier to about 120Vpp, which excited a second, identical PZT/brass piezoelectric transducer glued on the plate. In the scanned region of interest, retroreflective tape was glued on the plate in order to improve the amount of collected backscattered probe light and thus improve the SNR of the LDV signals.
Figure 4. Schematic set-up. The sample under study was a 1.7 mm thick, square, 300 × 300 m2 CFRP plate, consisting of 8 unidirectional plies overlapped in a 0–90° symmetric configuration. The barely visible impact damage was generated prior to vibrational testing by hitting the plate with a rubber hammer (contact surface 750 mm2). During vibrational testing, the plate was rigidly clamped at two edges (top and bottom in the photo). The area marked by gray reflective tape was scanned by the probe beam of a laser Doppler vibrometer (Polytec OFV-5000/sensor head OFV 505). The data were acquired using a commercial sound card (Roland Octa-Capture) that generated the excitation signal and recorded the resulting displacement. The modal excitation was amplified by a fixed gain amplifier (AA Lab Systems) and fed to a piezoelectric transducer that consisted of a PZT disk of 25 mm diameter (thickness 300 μm) glued on a 35 mm diameter brass plate (thickness 350 μm), which was in turn glued on the CFRP sample plate. For generating the probing waves, a second identical PZT–brass disk was glued on the CFRP sample plate.

3. Results

Figure 5 shows maps of the amplitude of the probe frequency (fP) component and its nearest neighbor sideband components (fP ± fM) for 3 of the probe frequencies. The color ranges are scaled according to the minimum and maximum amplitude in the map. For the lowest probing frequency of 4000 Hz, features of the standing wave of the probe (wavelength 75 mm, calculated on the basis of the frequency and the bending wave velocity for an estimated Young modulus of 70 GPa and Poisson ratio of 0.25) appear in the center frequency as well as in the sideband frequency maps. However, the amplitudes of the sidebands were found to be roughly 10 dB weaker than one of the center frequency components and no sign of a particular defect location is visible.
Figure 5. Maps of the PSD of LDV scans. The velocity amplitude is represented in linear scale, blue corresponds to large velocity and yellow to lower velocity. The spatial maps of the PSD are shown at 3 selected comb probe frequencies, 4000 Hz, 24,000 Hz, and 48,000 Hz (middle column), at the corresponding frequencies of left sideband, 3470 Hz, 23,470 Hz, and 47,470 Hz (left column, and at the corresponding frequencies of the right sideband, 4530 Hz, 24,530 Hz, and 48,530 Hz (right column). The color ranges are scaled between the minimum and maximum values of the shown region. Top panel: along 85 × 290 mm2 surface of retroreflective tape covered part of the CFRP sample in Figure 3. Bottom panel: zoom in on square 80 × 80 mm2 region in the bottom left corner. The sidebands were caused by amplitude modulation of the probe vibration by a 530 Hz pump vibration (maximum amplitude across the inspected zone: 3.3 μm). The vibration amplitude is enhanced at the defect location (indicated by the arrow in the right middle map) in the maps obtained for the 6 highest frequencies. The defect contrast is very obvious around the 24,000 Hz comb frequency component. Interestingly, this defect feature shows up not only in the sideband maps but also at the probe comb frequencies 24,000 Hz and 48,000 Hz. Indicating that 24,000 Hz and 48,000 Hz are LDRs. The strain induced by the pump and probing waves was calculated to be about 1.0 × 10 4 , while for the probe wave, it was about 4 × 10 8 . The value of the measured strain is in line with values reported in the literature on similar experiments [41,48].
The situation for the 24,000 Hz probing frequency is different. As expected, here the maps reflect the occurrence of standing waves (estimated wavelength 3 mm), but the amplitude at the probing frequency and its two satellites are clearly different at the location where we expected the (hidden) hammer impact defect to be. The fact that the defect is not only revealed in an enhancement of the amplitude of the sideband components but also at the original probing frequency indicates that the 24,000 Hz probing frequency may be exciting a local defect resonance, caused by delamination-induced softening and possible mass–spring–mass behavior of poorly attached delaminated plies. The existence of the sidebands must be due to nonlinear mixing between that probing vibration and the modulating vibration.
The picture for the 48,000 Hz probing frequency is less clear than for 24,000 Hz. There is amplitude enhancement at the defect location, mainly for the two sidebands, but with a substantially lower contrast to the other parts. This is because the amplitude level of the sidebands at 48,000 Hz is close to the noise floor of the measurement. Additionally, the sidebands at 48,000 Hz do not highlight the whole defect region but only a part of it.
The different pictures obtained for these three probing frequencies indicate that the use of multiple frequencies is quite useful in typical cases where the defect resonance frequency is unknown. The combination of one of the comb frequencies matching a defect resonance and nonlinear response-induced sideband generation increases the probability of detection.
Figure 5 only shows selected spectral maps, illustrating best- and worst-case scenarios. The generation of sidebands has taken place consistently at every comb frequency component with consistent efficiency. The spectrum averaged around the defect location (Figure 6) shows this.
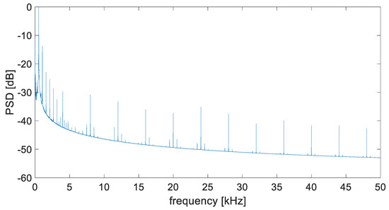
Figure 6. Spectrum of the velocity amplitude at the defect location rescaled with respect to the pump amplitude. At lower frequencies, the harmonics of the pump vibration are visible. The comb frequencies are fp = pfP with fP = 4000 Hz (p = 1..12). The sideband amplitude is approximately 10 dB smaller than the corresponding comb component.
An interesting view of the saliency of the defect in LDV displacement amplitude scans is given in Figure 7. The top panel shows that at 24,000 Hz, the increased vibration amplitude at the defect clearly stands out from those at other locations, with a defect-to-background amplitude contrast of more than 30 dB. The defect-generated sideband amplitudes are about 10 dB smaller than the amplitude of the probe vibration at the defect, but still with a defect-to-background amplitude contrast of more than 20 dB. In addition to the peak at the defect around x = 3 cm, there is a small peak at x = 18 cm. This could be an artifact, but it cannot be excluded that it reveals a second delamination location, which exhibits nonlinearity and thus sideband generation, but which is not resonating at 24,000 Hz.
Figure 7. Top: Cross-sections along the horizontal direction and through the defect of the LDV signal displacement amplitude maps in Figure 4 for the 24,000 Hz probe frequency (middle) and the two sidebands (left: 23,470 Hz, right: 24,530 Hz). The vertical dashed lines delimit the defect’s location as identified in Figure 8, the RMS amplitude of all sidebands. Middle: same as top, but here the RMS of all comb frequencies (pfP = 4 kHz to 48 kHz and respective sidebands pfP ± fM) is depicted. Bottom: displacement amplitude maps in Figure 4 for the 48,000 Hz probe frequency (middle) and the two sidebands (left: 47,470 Hz, right: 48,530 Hz). Note the vertical axis is in nm for the first two rows and pm for the last one, since the amplitude of the sidebands and of the comb is substantially smaller for the 48,000 Hz than for the 24,000 Hz and RMS case.
Since in real-life circumstances, it cannot be known a priori whether there is a defect, whether this defect exhibits a resonance and, if yes, at which frequency it occurs, the possibility of exciting the sample with a probe signal with a multi-frequency comb spectrum can be implemented by considering the root mean square (RMS) value of all the center comb components, and the same for the sidebands, as follows:
S c e n t e r ( x , y ) = 1 N p p = 1 N p S 2 ( x , y , p f P )
S l e f t ( x , y ) = 1 N p p = 1 N p S 2 ( x , y , p f P f M )
S r i g h t ( x , y ) = 1 N p p = 1 N p S 2 ( x , y , p f P + f M )
The bottom panels of Figure 7 show the resulting cross-sections. For defect localization, it is not meaningful to distinguish between left and right sidebands and therefore they are combined in a sideband RMS figure obtained as:
S s i d e b a n d s x , y = S l e f t 2 x , y + S r i g h t 2 x , y
Figure 8 (top panel) shows the resulting map. Thanks to the fact that for some of the comb components, the center frequency and/or the sidebands are strongly excited at the defect, the defect location clearly stands out from the background. In spite of their lower amplitude, the defect-to-background contrast is larger for the sidebands than for the central component, indicating that nonlinear sideband generation may be a more adequate phenomenon to exploit for the detection of this kind of defects than counting on enhanced probe frequency amplitudes due to a defect resonance.
Figure 8. Comparison between the image obtained by taking the RMS value across all satellite (top) and thermographic phase image (f = 0.3 Hz) obtained by pulsed photothermal excitation on the front side of the carbon fiber-reinforced sample plate with the flash lamp alimented with an electrical pulse of 3 kJ and 2 ms duration. The heating transient was recorded from the opposite side of the sample by an infrared camera (FLIR X8500SC (Teledyne FLIR LLC, Wilsonville, OR, USA) ). Signs of the defect are consistently indicated in both the vibrational and thermographic images, albeit with significantly better contrast in the latter. In the top left corner, an additional signature of cross-modulation is present. This is due to a locally improper clamping at the edge, caused by vibrational friction at a ridge at the edge of the plate. The surface scanned by the LDV is slightly smaller than the surface imaged by the IR camera because of the clamping present in the sideband imaging experiments. The defect is inside the red ellipse in the RMS image (top) and its left and right boundaries are projected in the IR image (bottom) by the red markings.
Figure 8 shows a comparison between the 2D maps of the RMS of the left and right sideband signals and a thermographic phase image. The RMS map (top) shows a sharp feature at the defect on a somewhat fluctuating background, and high RMS values towards the top left corner of the plate, which probably can be attributed to contact nonlinearities caused by improper clamping of the plate. The bottom map was obtained by pulsed photothermal flashlamp excitation (using 2 halogen lamps, 6 kJ per lamp, 2 ms pulse duration, lamp–sample distance approximately 1 m) and detection using a FLIR X8500SC at approximately 1 m from the sample, placed in between the halogen. The map shows the phase of the f = 0.3 Hz component obtained by a temporal Fourier transform of the signal for every pixel. The hammer-impacted region clearly shows up in the IR signal phase map, but it is substantially larger than in the RMS. Also, the contrast compared to intact parts of the plate is larger, mainly because the thermographic image is smoother. In Figure 9, the phase profile of the IR image, taken over a 4 cm strip running along the x-direction highlights the contrast between the defective region, marked by black dashed lines, and the adjacent region. Hence, compared to the sideband detection approach, the IR approach is more sensitive to hammer impact damage and somewhat less vulnerable to the detection of false positives. However, it should be mentioned that the front excitation—back detection IR thermography approach is intrinsically more sensitive to poor thermal contact between delaminated ply surfaces than front excitation—front detection IR thermography but that in practical circumstances the back side of plates is often not accessible, which is impeding the use of back detection. Also, the cross-section in the horizontal direction through the defect of the thermographic map shows that the phase exhibits quite some slowly varying values. In conclusion, the RMS image resulting from using a frequency comb as a probing wave proved to overcome the limitation of the traditional approach of using a single frequency probing wave and has a precision comparable to that of IR imaging.
Figure 9. Cross-section through the defect region of the infrared phase image in Figure 5, averaged over a strip of 4 cm wide in the horizontal (x) direction. The vertical dotted lines mark the defect boundaries along the x-axis.

4. Discussion

4.1. Feasibility of Cross-Modulation Detection Using PRI-BP

In the previous section, it was shown that when a CFRP plate containing a hammer impact-induced delamination defect is subject to the combination of a high-frequency probe wave with a comb-like spectrum and a strong low-frequency vibration, LDV scanning reveals modulation of the high-frequency amplitude by the low-frequency vibration, resulting in sidebands in the signal spectrum near the comb frequencies, with particularly high contrast at the defect location when a comb frequency matches the clapping resonance of the defect. The following approach is thus feasible for inspecting the integrity of CFRP components in the framework of NDT campaigns but unfortunately, LDV scanning is quite time-consuming. This indicates the translation of the approach to a full-field vibrometry scheme. Combining the detection of defect-induced sum and difference frequency signals with standard full-field vibrometry approaches such as speckle interferometry and shearography however stumbles over the intrinsic optical nonlinearity of these methods, which means that the mixing of probe and pump frequencies is not only caused by acoustic nonlinearity but also by optical nonlinearity. More specifically, the interference intensity Itot (Watt/m2) of Michelson-type (full-field) interferometers is given by Itot(δ) = Iref + Isample + (IrefIsample)1/2cos(2πδ/λoptical + ϕ), with λoptical (m) the wavelength of the used monochromatic light and δ (m) the motion induced change in optical path difference between the sample beam and the reference beam. The sensitivity of Itot to δ is maximum starting from an optical phase angle difference Φ (rad) between the two beams of π/2, so that cos(2πδ/λoptical + ϕ) = −sin(2πδ/λoptical) but even in that case Itot(δ) is not linear. Especially when displacement δ(t) contains probe contributions δprobe(t) = δprobe,0exp(iωprobet) and pump contributions δpump(t) = δpump,0exp(iωpumpt) larger than λoptical/4, this leads to frequency mixing with signal variations at sum and difference frequencies between fprobe and harmonics of fpump=, fprobe ± nfpump (with n the integer index of the pump harmonics).
The hurdles that Michelson-type interferometers encounter when applied in the framework of cross-modulation experiments are here illustrated by means of numerical analysis. Figure 10 illustrates three vibration patterns present in a sample plate: the pump, the probe, and a sidelobe. Their amplitude was chosen to resemble the previous LDV experiments. Round numbers have been chosen for the different parameters, without losing generality, with the intention of illustrating the phenomena of interest more clearly. Figure 11 shows a simulation of the different frequency components of the vibration pattern as would be measured by a full-field interferometer in the case of the probe and pump amplitudes used in the LDV experiment in the previous section, δprobe,0 = 10 nm and δpump,0 = 3.3 μm, for a probe frequency fprobe = 24 kHz and a pump frequency fpump = 0.53 kHz. Due to the nonlinearity of the sensitivity of the interferometer to sample displacements, mixing frequencies are present near all the antinodes across the whole sample of the standing wave pattern of the pump frequency vibration. The truly acoustic mixing frequency component, with an amplitude of 50 pm, which was simulated in the form of added frequency components δdefect = δdefect,0exp(i(ωprobe ± ωpump)t) at the two sideband frequencies is totally masked by the optical nonlinearity-induced features.
Figure 10. Simulation of the different vibration patterns involved in a cross-modulation experiment shown isolated. The border of the defect is depicted by the black rectangle in the center of the image. Top left, pump component. Top right, probe component. Bottom left, sideband component. The sideband vibration is only happening at the defect location. Bottom right, sum of all the displacement patterns. Due to the big difference in amplitude, the pump mode mostly determines the displacement pattern in the sum figure.
Figure 11. Simulated map of the sinusoidal interferometer signal component at a frequency of vibration of interest (23,470 Hz, left sidelobe) of a plate subject to a superposition of a 530 Hz large (δpump = 3.3 μm amplitude) sinusoidal vibration with wavelength of about 1 unit and a 4000 Hz small (δprobe10 nm amplitude) sinusoidal vibration with wavelength of about 0.13 units across the whole surface. A small 23,470 Hz (δdefect = 50 pm amplitude) sinusoidal vibration, mimicking a mechanical nonlinearity-induced vibration of interest, is superposed on the other two vibrations in the white rectangle. Ideally, one would expect to see a large contrast between the rectangular region in which the vibration of interest is present, and the remainder of the plate. In contrast, the map of the 23,470 Hz interferometer signal amplitude is not at all determined by the vibration of interest, but by the optical nonlinearity-induced mixing between the 530 Hz vibration and the 24,000 Hz probe vibration, which yields a difference frequency signal component of 23,470 Hz across the whole plate, with an amplitude (intensity modulation depth of the order of 1) much larger than the one resulting from the vibration of interest (intensity modulation of the order of 10−4). Light intensity is normalized to its maximum.
In Xiong et al. [37], the use of a photorefractive interferometer in bandpass mode (PRI-BP) has been shown to have the potential to tackle the above problem. Photorefractive materials are a class of nonlinear optical materials whose refractive index is dependent on the local light intensity [49,50]. The light impinging on the crystal excites the electrons in the valence band which rearranges in a space charge distribution resembling the light interference pattern [51,52]. The resulting space charge field affects the refractive index of the crystal according to the Pockels effect. Photorefractive materials have therefore been extensively used as media for continuous hologram reading and writing [35,53]. Since the space charge field formation is not immediate, using photorefractive crystals it is possible to isolate and filter out light phase variations that are faster than the space charge field formation characteristic time (τ) [54]. This property has enabled several schemes of adaptive interferometry for ultrasound detection [55,56,57] in which the resulting signal coming from the sample could be immune to disturbances due to sample roughness and low-frequency environmental vibrations. By exploiting a heterodyne interferometer scheme and modulating the phase of the reference beam, it is possible to realize a full-optical bandpass filter (PRI-BP) (also referred to as full optical lock-in) [31,33]. In PRI-BP (layout in Figure 12), the lowpass characteristic of the photorefractive crystal that causes the diffraction of the reference beam when mixed with the probe beam, combined with the use of a Pockels cell that modulates the optical phase of the reference beam at a frequency near to the one of a vibration frequency of interest (in casu: one of the sideband frequencies), results in a full-field vibrometry device with high selectivity to vibrations at the phase modulation frequency, and strong rejection of other vibration frequencies.
Figure 12. Schematic setup of a photorefractive interferometer in bandpass mode. The Pockels cell (PC) is driven by a sinusoidal voltage a frequency fP of interest from a high voltage amplifier that in turn is driven by a function generator. In this scheme, the CCD delivers vibrometric images varying at frequency Ω = fvibrationfP with a bandpass-type response with center frequency fP and bandwidth fBW = 1/(2πτ) = 106 Hz, with τ = 1.5 s the response time of the photorefractive crystal (PRC). Half wave (λ/2) plates 1,2,3, respectively, control the fraction of the laser power that is sent into the reference, the power of the sample beam, and the polarization of the sample beam when entering the PRC after collection by the objective O and the rotatable polarizing beam splitter P. The objective O together with the lens L make a sharp image of the sample on the CCD. Lens L also ensures a sharp image of the reference light diffracted by the PRC, which contains the spatially resolved information about the vibration, onto the CCD. Rejection of sample beam light through the PRC, while passing the part of the (anisotropically) diffracted reference beam that is perpendicularly polarized to the sample beam is aimed for by insertion of the rotatable polarizing beam splitter P. The quarter wave (λ/4) plate helps to reject the part of the sample beam that is optically rotated in the PRC.
The intensity of the diffracted reference beam in a PRI-BP is a function of phase modulations induced in the sample beam and in the reference beam and is given by [37].
I s = K e f f [ J 0 2 ( ϵ 2 ) J 0 2 ( ϵ p u m p , 0 ) J 0 2 ( ϵ p r o b e , 0 ) + 4 J 0 ( ϵ d e f e c t , 0 ) J 1 ( ϵ d e f e c t , 0 ) J 0 ( ϵ 2 ) J 1 ( ϵ 2 ) J 0 2 ( ϵ p u m p , 0 ) J 0 2 ( ϵ p r o b e , 0 )   c o s ( Ω t + Φ ) ( 1 + Ω 2 τ 2 ) 1 / 2 + ]
where the terms ϵ d e f e c t , 0 ,   ϵ p u m p , 0 ,   ϵ p r o b e , 0 express the optical phase modulations induced by the defect, pump, and probe vibrations.
ϵ j = 4 π δ j λ o p t i c a l  
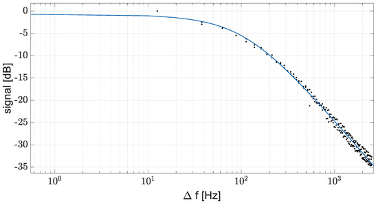
where j = defect, pump, probe. The term ϵ 2 (rad), indicates the optical phase modulation induced in the reference beam by the Pockels cell, tuning this value so that it maximizes the factor J 0 ϵ 2 J 1 ϵ 2 , maximizes in turn the signal modulation depth. J n x is a n-th order Bessel function of the first kind The term J 0 ϵ d e f e c t , 0 J 1 ( ϵ d e f e c t , 0 ) ϵ d e f e c t , 0 when ϵ d e f e c t , 0 λ o p t i c a l . The time-varying terms of interest having angular frequencies Ω (rad/s) that equal the difference in angular frequencies of the optical phase modulation ωPockels = 2πfPockels and of different signal components. Since fPockels can be chosen close to the acoustic mixing frequency of interest (e.g., fprobe + fpump) and far from fpump, the lowpass factor (1/(1 + (Ωτ)2)1/2 that affects the amplitude of the time-varying part in the measured diffracted intensity is made large (Ωτ << 1) for the former component and small (Ωτ >> 1) for the latter component. In this way, the unwanted time-varying component at angular frequency Ω can be efficiently suppressed, because of its filtering characteristic, measured in Figure 13 (linear) and Figure 14 (logarithmic), and as shown in the simulated amplitude map in Figure 15, which was calculated for the same conditions as in Figure 11. The experimentally observed bandpass-type rejection of unwanted signal components for the PRI-BP used in this work is further illustrated in the top panels of Figure 13. A fit of the time constant τ (s) of the device yielded τ = 1.5 ± 0.5 ms, corresponding with a bandwidth of 106 ± 50 Hz for a central bandpass frequency of 18.5 kHz. The PRI optical bandpass has a rejection of 20 dB/decade. The PRI-BP is particularly suited to rejecting large unwanted background signals because, in addition to the bandpass attenuation term (1/(1 + (Ωτ)2)1/2, its response in displacement is proportional to J 0 ϵ J 1 ( ϵ ) , which is linear only for ϵ λ / 4 , while for large ϵ , J 0 ϵ J 1 ϵ ϵ 1 cos 2 ϵ + φ [58], it is a decreasing function of the displacement.
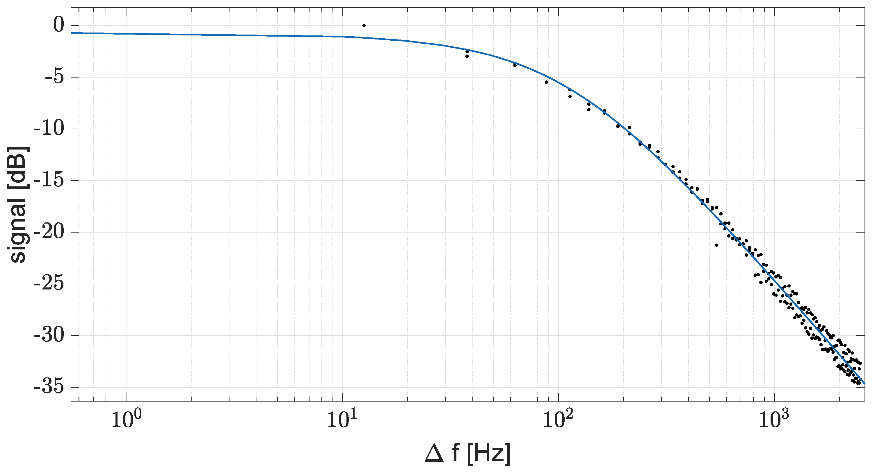
Figure 13. Experimentally determined characteristic bandpass spectrum of the PRI-BP for a Pockels cell phase modulation frequency swept from 17 to 20 kHz. A Thorlabs DET36A/M photodetector was used to detect the diffracted reference beam and a Stanford Research lock-in amplifier SR830 was used to determine its intensity modulation amplitude.
Figure 14. Plot of the bandpass filtering of the PRI in logarithmic scale. Δ f indicates the difference between the frequency of vibration in the sample (18.5 kHz) and the frequency of the phase modulation in the reference beam. This figure is a rearrangement of Figure 13. The attenuation is about 20 dB per decade as per a conventional electrical 1st order bandpass filter.
Figure 15. Illustrated map of the sinusoidal PRI-BP signal component locking on a sideband vibration in presence of a pump and a probe vibration as in Figure 10, i.e., at a frequency of vibration of interest (23,470 Hz) of a plate subject to a superposition of a 530 Hz large (δpump = 100 nm amplitude) sinusoidal vibration with wavelength of about 1 units and a 24,000 Hz small (δprobe= 10 nm amplitude) sinusoidal vibration with wavelength of about 0.13 units across the whole surface. A small 23,470 Hz (δdefect = 0.5 nm amplitude) sinusoidal vibration, mimicking a mechanical nonlinearity-induced vibration of interest, is superposed on the other two vibrations in the white rectangle. Thanks to the strong suppression of vibrational components other than the vibration of interest, the image clearly shows the presence of the vibration of interest in the rectangular “defect region”, and it is not affected by the presence of the two other vibrations. The values of the pump and probe amplitude are much smaller than what are used in the LDV experiments of the section above. This simulation illustrates the frequency selective imaging capability of the PRI in ideal setting. When the pump vibration pattern has large differences between the regions with maximum displacement (antinodes) and those with minimum displacement (nodes) a masking term modulates the resulting light amplitude, as illustrated in Figure 16.

4.2. Artefacts Caused by Strong Pump Frequency Component

Looking at Equation (6a), one complication of the PRI-BP interferometer is that, in spite of the rejection of time-varying signal components at unwanted frequencies, the measured amplitude of the component of interest is affected by other vibrational components: even if the amplitude Bessel function—factor of interest, J0defect,0)J1defect,0) is linear with the very small vibration of interest (Figure 17), δdefect = δdefect,0exp(i(ωprobe ± ωpump)t, one of the other pre-factors, J 0 2 ( ε p u m p , 0 ) varies strongly with the amplitude δpump,0(x,y) of the pump vibration. Figure 18 shows that the magnitude of the bandpass characteristic of the PRI-BP is strongly suppressed by the presence of a pump vibration. In this case, with amplitude δpump,0 = 0.38 μm, the masking factor corresponds to J 0 2 ε p u m p , 0 = 0.88 . The dependence of the masking factor on the amplitude of the pump, measured by scanning the amplitude of the pump vibration while measuring the light modulation happening at the downmixed frequency of interest, is illustrated by Figure 16. Even a very simple pump modal pattern, the fundamental mode of a rectangular plate, for example, causes a non-trivial masking pattern, which may lead to misinterpretation of the defect size. This is graphically illustrated in Figure 19.
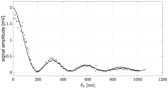
Figure 17. Amplitude of the PRI-BP detected signal versus amplitude of a sinusoidal sample displacement. The sample was a sinusoidally vibrating piezoelectric disk actuator consisting of a PZT disk of 300 μm thickness and 35 mm diameter glued on a 350 μm thick and 50 mm diameter brass disk that in turn was clamped in a 40 mm diameter rigid ring. The light beam intensities were 354 mW/cm2 for the reference beam and 0.42 mW/cm2 for the collected part of the sample beam (beam power values measured in front of the PRC surface using a Thorlabs PM100D power meter with detector S132C (Newton, NJ, USA)).
Figure 18. Experimentally determined characteristic bandpass spectrum in two scenarios, in which, (i) the sample PZT is vibrating a single vibration frequency at 54.5 kHz (amplitude δ1 = 44 nm) (circle markers), (ii) a second, large vibration component at 57 kHz was added, with an amplitude of δ2 = 380 nm resulting in an unwanted suppression of the signal of interest with a factor with J 0 2 ε p u m p , 0 = 0.88 , diamond markers. The Pockels cell optical phase modulation was swept in both cases from 50.5 kHz to 57.5 kHz. The experimental approach used to obtain these data was analogous to the one that was used to obtain the data in Figure 13.
Figure 19. Illustration of how the masking would affect the visualization of an elliptic and a linear defect (top left) generating acoustic cross modulation. Although the pump and probe vibrations can be efficiently rejected, the large amplitude (here: 5 μm) of the pump vibration (displacement map: top right) results in fringes in the vibration map, of which the spatial structure is not related to the vibration of interest but to the pump vibration (bottom left). The effect of the masking is a reduced reliability in the definition of the defect. The defect may appear as a set of multiple small features (bottom right) By varying the pump amplitude and taking the average of the images, the fringe structure can be spatially smeared out, resulting in the map in panel Figure 20, which is almost monotonic.
Figure 16. The dependency of Is on δ 2 , the pump amplitude, is illustrated in the swept network experiment of this figure with two vibrations excited in the sample: a “weak” vibration (57 kHz,44 nm) which was measured as a function of the amplitude of a second vibration (2.4 kHz, spanning 2.7–1015 nm). The frequency difference between the reference beam optical modulation and the weak vibration was kept fixed at 2 Hz. The amplitude of the downmixed light intensity modulation was then measured with the lock-in detector. The data (dots) are then fitted to the masking term J0( δ 2 ).
The effect of this strongly position-dependent factor J 0 2 ε p u m p , 0 on the measured signal pattern is illustrated in Figure 21. The masking factor increases non-monotonically as a function of the pump amplitude. The parts of the defect located close to the antinodes of the pump vibration pattern are dimmed by the masking effect by several orders of magnitude compared to the defect portions closer to the antinodes. A possible approach to mitigate the masking effect is to combine the data obtained using different pump amplitudes. The mask resulting from the average of the different masking patterns, M , can be calculated as:
M ( x , y ) = 1 N n = 1 N J 0 2 α n ε p u m p , 0 ( x , y ) .
where α n is a series of real numbers used to scale the pump amplitude between two extremes of choice. Each of these individual masking patterns presents local maxima and local minima at different locations from each other. If a sufficient number of pump amplitudes are chosen, the ripples present in an individual masking pattern are smoothed and the non-monotonicity of the mask is circumvented. The resulting smooth mask is reported in Figure 20, where the masking pattern of 15 different pump vibration components of amplitude spanning between 2.5 and 6 μm were combined in an average.
Another issue caused by the masking pattern is the reduction in signal amplitude. To get around this issue, it is necessary to combine images resulting from different pump vibration patterns chosen either by sweeping the pump frequency or by selecting a number of different standing modes as pump vibrations. These choices should be evaluated experimentally since there is no guarantee that the sideband conversion efficiency is the same for every pump frequency.
Figure 20. Average of 15 masking patterns generated by 15 different pump amplitudes. The pump displacements spanned from 2.5 μm to 6 μm in steps of 250 nm. The pump displacement pattern is the same as in Figure 19. The advantage of combining multiple pump masks is that the resulting averaged mask is void of ripples. However, the signal amplitude coming from the regions where the pump amplitude is the largest will inevitably be dimmed.
Figure 21. Illustrated map of the sinusoidal PRI-BP signal component in the same conditions as in Figure 10, i.e., at a frequency of vibration of interest (23,470 Hz) of a plate subject to a superposition of a 530 Hz large (δpump = 3.3 μm amplitude) sinusoidal vibration with wavelength of about 1 unit and a 24 kHz small (δprobe= 10 nm amplitude) sinusoidal vibration with wavelength of about 0.13 units across the whole surface. A small 23,470 kHz (δdefect = 0.5 nm amplitude) sinusoidal vibration, mimicking a mechanical nonlinearity-induced vibration of interest, is superposed on the other two vibrations in the white rectangle. Thanks to the strong suppression of vibrational components other than the vibration of interest, the image clearly shows the presence of the vibration of interest in the rectangular, white dashed, “defect region”, and it is not affected by the presence of the two other vibrations. The data are normalized to the maximum value across the image.

4.3. Feasibility of PRI-BP Detection of Acoustic Cross Modulation in Terms of SNR

The previous sections have shown that it is feasible to detect, by using LDV scanning, defects by the mixed frequency components they induce between a sinusoidal pump vibration and sinusoidal probe vibration, and that full-field photorefractive imaging in bandpass mode allows for detecting small vibrations at a frequency of interest, while rejecting other vibrations, no matter their amplitude. Combining the concept of doing NDT via frequency mixing with PRI-BP detection gives the potential for full-field PRI-BP tuned on mixed frequency components to generate damage maps without time-consuming scanning. The challenge for this approach is that the mixed frequency components typically have a very small displacement amplitude.
In the experimental setting described in Section 2, the modulating displacements were of the order of 3.3 μm at the defect location, the probe vibration amplitude 250 pm, and the defect-induced sidelobe amplitude 50 pm.
Table 1 gives an overview of the shot-noise limited minimum detectable displacement (MDP) of PRI-BP implemented in point (scanning) detection and full-field detection, expressed per unit of generated signal power I 1 and for our particular setup, in which part of the probe laser intensity that was sent to a circular brass sample was 9.6 mW/cm2, the intensity of the light collected and focused by a commercial camera objective lens (positioned at 500 mm from the sample) was 3.06 mW/cm2, measured at the PR crystal surface, and the intensity of the reference beam that was mixed with the sample in the PR crystal was 93 mW/cm2. The power reaching the camera (FLIR Chameleon 3 (Teledyne FLIR LLC, Wilsonville, OR, USA), using a SONY IMX265 CMOS pixel array, 3.19 MPixels, pixel size 3.45 μm × 3.45 μm) (full-field mode) of the PRI-BP was about 10−5 nW per pixel (600 nW/cm2). For point detection, a photodetector Thorlabs DET36 A/M was used, and no lenses were employed to illuminate the sample and collect the light and the resulting signal power was 50 nW. The PRI-BP signal is comprised of a constant term and an oscillating term. The first and second terms are between square brackets of Equation (6a), respectively [33]. In an ideal setting, with perfect rejection of undesired light, the average shot noise is, therefore, a function of the constant term, and the SNR is the ratio of the electrical powers resulting from the oscillating term and the constant term.
Table 1. Overview of the minimum detectable displacement of the LDV setup and the PRI-BP setup in different configurations.
Some of the values in Table 1 are striking. The experimentally observed noise value for PRI-BP point detection is almost three orders of magnitude larger than the value predicted considering optical shot noise on the anisotropically diffracted reference beam. Part of the reason is that the rejection of the transmitted sample beam by the polarizing beam splitter between the PR crystal and the detector is 10−3, so the intensity of the anisotropically diffracted reference light on the detector was 30% of the transmitted sample light. Using high extinction polarizer, with a rejection ratio of 10−5, an additional order of magnitude in the SNR can be gained. A factor to investigate is that the diffracted and the transmitted light displayed elliptical polarization. This goes in contrast with the experimental evidence reported in the literature and may suggest that the photorefractive process is not happening entirely according to the presented theory and the diffraction efficiency may be far from optimal. Possible reasons for this could be birefringence induced by stresses in the crystal [33] or suboptimal interaction length between the interfering beams. The crystal thickness may also need optimization. Additionally, electrical noise (e.g., read noise in the camera, dark noise) might have been underestimated.
The theoretically expected MDP of PRI-BP in scanning mode (0.14 pm/Hz1/2) is of the order of the MDP detected by LDV and thus in principle more than small enough to detect defect-induced frequency mixing components of 50 pm amplitude as in Section 2. Also, the practically observed MDP of 10 pm (for a bandwidth of 1 Hz) would suffice.
As a consequence of the decrease in SNR with decreasing signal power, the experimentally observed MDP with full-field PRI-BP, evaluated per pixel, is much smaller than the one where all the light is focused to a single detector. For a bandwidth of 1 Hz, the noise level of 3 nm would be far too large to detect the 50 pm mixing frequency components in the experimental setting of Section 2. Taking into account that the LDV scan took Tmeasurement = 13 h for 85 × 290 pixels, corresponding with an overall bandwidth of 1/Tmeasurement = 21μHz. The extrapolated MDP of PRI-BP for characterizing a whole sample in the same measuring time would be 5 nm/(Tmeasurement)1/2 = 23 pm.

5. Conclusions

The presented results show that, although invisible for the naked eye, impact-induced delamination damage can be detected in a measurement scheme that exploits the mechanical nonlinearity-induced generation of mixed frequency components between a strong vibration that makes the defect open, and a combination of probing vibrations that together form a comb spectrum. Vibrometry performed by a scanning laser Doppler vibrometer system yielded maps that show a clear contrast between the defect location (mixing frequency component amplitude of the order of 50 pm) and intact regions of an impacted carbon fiber-reinforced plate. The probability of defect detection of the method is shown to be favored by employing a comb spectrum for the probe, by virtue of the higher chance of one of the probe frequencies matching the frequency of a local defect resonance.
While detecting a small vibration of interest in the presence of other, masking, large vibrations in a classical full-field interferometric scheme is cumbersome due to the high nonlinearity of interferometric detection when large vibrations are present, photorefractive interferometry in a bandpass configuration around the frequency of the small defect-induced vibration of interest was shown to mitigate the masking problem. Further work is needed to decrease the minimum experimentally detectable displacement amplitude from 3 nm/(Hz)1/2 to 50 pm. One of the important steps to make is an enhancement of the polarization selection that favors the information containing part of the detected light (anisotropically diffracted part of the reference beam) compared to unwanted light (transmitted sample beam). Also, temporal coding of the reference beam is expected to improve the detection sensitivity. Also, in the case of PRI-BP, the same principle learned with LDV, that the defect silhouette is strongly frequency dependent, holds. In principle, only a few seconds of acquisition time are necessary to acquire a bandpass video. Therefore, future work should investigate the generation of an RMS figure exploiting different probing frequencies when working with PRI.

Author Contributions

Conceptualization, C.G. and T.S.; methodology C.G. and T.S.; software, T.S.; investigation, T.S. and S.S.; writing—original draft preparation, C.G. and T.S.; writing—review and editing, M.W., H.P. and S.S.; visualization, C.G. and T.S.; supervision, C.G.; project administration, H.P.; funding acquisition, H.P.,C.G. All authors have read and agreed to the published version of the manuscript.

Funding

This work was carried out in the framework of the “NDTonAIR” project (Training Network in Non-Destructive Testing and Structural Health Monitoring of Aircraft Structures), under the action H2020-MSCA-ITN-2016-GRANT 722134.

Data Availability Statement

The data presented in this study are available on request from the corresponding author.

Acknowledgments

The authors are grateful to Jichuan Xiong from Nanjing University of Technology, Nanjing, China and Osamu Matsuda from Hokkaido University, Sapporo, Japan, for precious help and advice.

Conflicts of Interest

The authors declare no conflict of interest.

References

  1. Goossens, J. Elastic Characterization of Heterogeneous Materials and Structures by Laser Ultrasonic Methods. Ph.D. Thesis, KU Leuven, Leuven, Belgium, 2007. [Google Scholar]
  2. Fahr, A.; Kandeil, A.Y. Ultrasonic Inspection of Composite Materials. Composites 1985, 16, 350. [Google Scholar] [CrossRef]
  3. Silipigni, G.; Burrascano, P.; Hutchins, D.A.; Laureti, S.; Petrucci, R.; Senni, L.; Torre, L.; Ricci, M. Optimization of the Pulse-Compression Technique Applied to the Infrared Thermography Nondestructive Evaluation. NDT E Int. 2017, 87, 100–110. [Google Scholar] [CrossRef]
  4. Solodov, I.Y.; Krohn, N.; Busse, G. CAN: An Example of Nonclassical Acoustic Nonlinearity in Solids. Ultrasonics 2002, 40, 621–625. [Google Scholar] [CrossRef] [PubMed]
  5. Solodov, I.Y.; Wackerl, J.; Pfleiderer, K.; Busse, G. Nonlinear Self-Modulation and Subharmonic Acoustic Spectroscopyfor Damage Detection and Location. Appl. Phys. Lett. 2004, 84, 5386. [Google Scholar] [CrossRef]
  6. Solodov, I.Y.; Bai, J.; Bekgulyan, S.; Busse, G. A Local Defect Resonance to Enhance Acoustic Wave-Defect Interaction in Ultrasonic Nondestructive Evaluation. Appl. Phys. Lett. 2011, 99, 211911. [Google Scholar] [CrossRef]
  7. Pieczonka, L.; Klepka, A.; Martowicz, A.; Staszewski, W.J. Nonlinear Vibroacoustic Wave Modulations for Structural Damage Detection: An Overview. Opt. Eng. 2015, 55, 011005. [Google Scholar] [CrossRef]
  8. Pieczonka, L.; Zietek, L.; Klepka, A.; Staszewski, W.J.; Aymerich, F.; Uhl, T. Damage Imaging in Composites Using Nonlinear Vibro-Acoustic Wave Modulations. Struct. Control Health Monit. 2018, 25, e2063. [Google Scholar] [CrossRef]
  9. Dionysopoulos, D.; Fierro, G.-P.M.; Meo, M.; Ciampa, F. Imaging of Barely Visible Impact Damage on a Composite Panel Using Nonlinear Wave Modulation Thermography. NDT E Int. 2018, 95, 9–16. [Google Scholar] [CrossRef]
  10. Meo, M.; Polimeno, U.; Zumpano, G. Detecting Damage in Composite Material Using Nonlinear Elastic Wave Spectroscopy Methods. Appl. Compos. Mater. 2008, 15, 115–126. [Google Scholar] [CrossRef]
  11. Polimeno, U.; Meo, M.; Almond, D.P.; Angioni, S.L. Detecting Low Velocity Impact Damage in Composite Plate Using Nonlinear Acoustic/Ultrasound Methods. Appl. Compos. Mater. 2010, 17, 481–488. [Google Scholar] [CrossRef]
  12. Barden, T.J.; Almond, D.P.; Pickering, S.G.; Morbidini, M.; Cawley, P. Detection of Impact Damage in CFRP Composites by Thermosonics. Nondestruct. Test. Eval. 2007, 22, 71–82. [Google Scholar] [CrossRef]
  13. Busse, G.; Krapez, J.-C.; Almond, D.P.; Ball, R.J.; Galmiche, F.; Dillenz, A.; Maldague, X. Round Robin Comparison II of the Capabilities of Various Thermographic Techniques in the Detection of Defects in Carbon Fibre Composites. In Quantitative Infrared Thermography (QIRT2000) Eurotherm Seminar; Elsevier: Amsterdam, The Netherlands, 2016; pp. 224–229. [Google Scholar] [CrossRef]
  14. Rantala, J.; Wu, D.; Busse, G. NDT of Polymer Materials Using Lock-in Thermography with Water-Coupled Ultrasonic Excitation. NDT E Int. 1998, 31, 43–49. [Google Scholar] [CrossRef]
  15. Rantala, J.; Wu, D.; Busse, G. Amplitude-Modulated Lock-in Vibrothermography for NDE of Polymers and Composites. Res. Nondestruct. Eval. 1996, 7, 215–228. [Google Scholar] [CrossRef]
  16. Saintey, M.B.; Almond, D.P. Defect Sizing by Transient Thermography. II. A Numerical Treatment. J. Phys. D Appl. Phys. 1995, 28, 2539–2546. [Google Scholar] [CrossRef]
  17. Maier, A.; Schmidt, R.; Oswald-Tranta, B.; Schledjewski, R. Non-Destructive Thermography Analysis of Impact Damage on Large-Scale CFRP Automotive Parts. Mater 2014, 7, 413–429. [Google Scholar] [CrossRef]
  18. Stamm, M.; Krüger, P.; Pfeiffer, H.; Köhler, B.; Reynaert, J.; Wevers, M. In-Plane Heatwave Thermography as Digital Inspection Technique for Fasteners in Aircraft Fuselage Panels. Appl. Sci. 2021, 11, 132. [Google Scholar] [CrossRef]
  19. Jacquot, P.; Jacquot, P. Speckle Interferometry: A Review of the Principal Methods in Use for Experimental Mechanics Applications. Strain 2008, 44, 57–69. [Google Scholar] [CrossRef]
  20. Sarens, B.; Kalogiannakis, G.; Glorieux, C.; Van Hemelrijck, D. Full-Field Imaging of Nonclassical Acoustic Nonlinearity. Appl. Phys. Lett. 2007, 91, 264102. [Google Scholar] [CrossRef]
  21. Krapez, J.C.; Balageas, D.; Deom, A.; Lepoutre, F. Early Detection By Stimulated Infrared Thermography. Comparison With Ultrasonics and Holo/Shearography. In Advances in Signal Processing for Nondestructive Evaluation of Materials; Springer Netherlands: Dordrecht, The Netherlands, 1994; pp. 303–321. [Google Scholar]
  22. Sarens, B.; Verstraeten, B.; Glorieux, C.; Kalogiannakis, G.; Hemelrijck, D. Investigation of Contact Acoustic Nonlinearity in Delaminations by Shearographic Imaging, Laser Doppler Vibrometric Scanning and Finite Difference Modeling. IEEE Trans. Ultrason. Ferroelectr. Freq. Control 2010, 57, 1383–1395. [Google Scholar] [CrossRef]
  23. Kudela, P.; Wandowski, T.; Malinowski, P.; Ostachowicz, W. Application of Scanning Laser Doppler Vibrometry for Delamination Detection in Composite Structures. Opt. Lasers Eng. 2017, 99, 46–57. [Google Scholar] [CrossRef]
  24. Derusova, D.A.; Vavilov, V.P.; Druzhinin, N.V.; Shpil’noi, V.Y.; Pestryakov, A.N. Detecting Defects in Composite Polymers by Using 3D Scanning Laser Doppler Vibrometry. Materials 2022, 15, 7176. [Google Scholar] [CrossRef] [PubMed]
  25. Stamm, M.; Schlemme-Weber, S.; Appl, S.; Köser, J.; Pfeiffer, H. Fast Loose Rivet Detection by Using Scanning Laser Doppler Vibrometry. J. Nondestruct. Test 2021, 3, 2843–2853. [Google Scholar]
  26. Ball, R.J.; Almond, D.P. The Detection and Measurement of Impact Damage in Thick Carbon Fibre Reinforced Laminates by Transient Thermography. NDT E Int. 1998, 31, 165–173. [Google Scholar] [CrossRef]
  27. Murat, B.I.S.; Rahman, A.A.A. Study of Impact Damage Behavior in Woven Carbon Fiber Plates. Procedia Eng. 2017, 170, 47–54. [Google Scholar] [CrossRef]
  28. Lamb, H. On Waves in an Elastic Plate. Proc. R. Soc. Lond. A Math. Phys. Eng. Sci. 1917, 93, 114–128. [Google Scholar]
  29. Dutta, D.; Sohn, H.; Harries, K.A.; Rizzo, P. Structural Health Monitoring. Struct. Health Monit. 2011, 8, 251–262. [Google Scholar] [CrossRef]
  30. Broda, D.; Staszewski, W.J.; Martowicz, A.; Uhl, T.; Silberschmidt, V. V Modelling of Nonlinear Crack-Wave Interactions for Damage Detection Based on Ultrasound-A Review. J. Sound Vib. 2013, 333, 1097–1118. [Google Scholar] [CrossRef]
  31. Khoury, J.; Ryan, V.; Woods, C.; Cronin-Golomb, M. Photorefractive Optical Lock-in Detector. Opt. Lett. 1991, 16, 1442. [Google Scholar] [CrossRef]
  32. Telschow, K.L.; Deason, V.A.; Cottle, D.L.; Larson, J.D. Full-Field Imaging of Gigahertz Film Bulk Acoustic Resonator Motion. IEEE Trans. Ultrason. Ferroelectr. Freq. Control. 2003, 50, 1279–1285. [Google Scholar] [CrossRef]
  33. Hale, T.C.; Telschow, K.L.; Deason, V.A. Photorefractive Optical Lock-in Vibration Spectral Measurement. Appl. Opt. 1997, 36, 8248. [Google Scholar] [CrossRef]
  34. Murray, T.W.; Sui, L.; Maguluri, G.; Roy, R.A.; Nieva, A.; Blonigen, F.; DiMarzio, C.A. Detection of Ultrasound-Modulated Photons in Diffuse Media Using the Photorefractive Effect. Opt. Lett. 2004, 29, 2509. [Google Scholar] [CrossRef] [PubMed][Green Version]
  35. Troth, R.C.; Dainty, J.C. Holographic Interferometry Using Anisotropic Self-Diffraction in Bi12SiO20. Opt. Lett. 2008, 16, 53. [Google Scholar] [CrossRef] [PubMed][Green Version]
  36. Marrakchi, A.; Huignard, J.P.; Herriau, J.P. Application of Phase Conjugation in Bi12SiO20 Crystals to Mode Pattern Visualisation of Diffuse Vibrating Structures. Opt. Commun. 1980, 34, 15–18. [Google Scholar] [CrossRef]
  37. Xiong, J.; Glorieux, C. Spectrally Resolved Detection of Mixed Acoustic Vibrations by Photorefractive Interferometry. J. Appl. Phys. 2013, 113, 054502. [Google Scholar] [CrossRef]
  38. Krohn, N.; Stoessel, R.; Busse, G. Acoustic Non-Linearity for Defect Selective Imaging. Ultrasonics 2002, 40, 633–637. [Google Scholar] [CrossRef]
  39. Mokryakov, V.V. Stresses of a Symmetric Lamb Wave in the Middle-Wavelength Range: Study of an Internal Wave. Acoust. Phys. 2022, 68, 101–109. [Google Scholar] [CrossRef]
  40. Van Den Abeele, K.E.-A.; Johnson, P.A.; Sutin, A. Nonlinear Elastic Wave Spectroscopy (NEWS) Techniques to Discern Material Damage, Part I: Nonlinear Wave Modulation Spectroscopy (NWMS). Res. Nondestruct. Eval. 2000, 12, 17–30. [Google Scholar] [CrossRef]
  41. Zaitsev, V.Y.; Nazarov, V.; Gusev, V.; Castagnede, B. Novel Nonlinear-Modulation Acoustic Technique for Crack Detection. NDT E Int. 2005, 39, 184–194. [Google Scholar] [CrossRef]
  42. Buck, O.; Morris, W.L. Acoustic Harmonic Generation at Unbonded Interfaces and Fatigue Cracks. J. Acoust. Soc. Am. 1978, 64, 33. [Google Scholar] [CrossRef]
  43. Wegner, A.; Koka, A.; Janser, K.; Netzelmann, U.; Hirsekorn, S.; Arnold, W. Assessment of the Adhesion Quality of Fusion-Welded Silicon Wafers with Nonlinear Ultrasound. Ultrasonics 2000, 38, 316–321. [Google Scholar] [CrossRef]
  44. Hirsekorn, S. Nonlinear Transfer of Ultrasound by Adhesive Joints–A Theoretical Description. Ultrasonics 2001, 39, 57–68. [Google Scholar] [CrossRef]
  45. Holcomb, D.J. Memory, Relaxation, and Microfracturing in Dilatant Rock. J. Geophys. Res. Solid Earth 1981, 86, 6235–6248. [Google Scholar] [CrossRef]
  46. Shkerdin, G.; Glorieux, C. Nonlinear Modulation of Lamb Modes by Clapping Delamination. J. Acoust. Soc. Am. 2008, 124, 3397–3409. [Google Scholar] [CrossRef]
  47. Wang, J.; Shen, Y.; Rao, D.; Xu, W. An Instantaneous-Baseline Multi-Indicial Nonlinear Ultrasonic Resonance Spectral Correlation Technique for Fatigue Crack Detection and Quantification. Nonlinear Dyn. 2021, 103, 677–698. [Google Scholar] [CrossRef]
  48. Zaitsev, V.Y.; Gusev, V.; Castagnede, B. Luxemburg-Gorky Effect Retooled for Elastic Waves: A Mechanism and Experimental Evidence. Phys. Rev. Lett. 2002, 89, 105502. [Google Scholar] [CrossRef] [PubMed]
  49. Günter, P.; Huignard, J.P. (Eds.) . Photorefractive Materials and Their Applications 1; IOP Publishing: Bristol, UK, 2005; ISBN 9780387251912. [Google Scholar]
  50. Ashkin, A.; Boyd, G.D.; Dziedzic, J.M.; Smith, R.G.; Ballman, A.A.; Levinstein, J.J.; Nassau, K. Optically-induced refractive index inhomogeneities in LiNbO3 and LiTaO3. Appl. Phys. Lett. 2004, 9, 72. [Google Scholar] [CrossRef]
  51. Kukhtarev, N.; Markov, V.; Odulov, S.; Soskin, M.; Vinetskii, V. Holographic storage in electrooptic crystals: II. Beam coupling—Light amplification. Landmark Pap. Photorefractive Nonlinear Opt. 1995, 22, 49–52. [Google Scholar]
  52. Yeh, P. Two-Wave Mixing in Nonlinear Media. IEEE J. Quantum Electron. 1989, 25, 484–519. [Google Scholar] [CrossRef]
  53. Lemaire, P.; Georges, M. Dynamic Holographic Interferometry: Devices and Applications. Springer Ser. Opt. Sci. 2007, 115, 223–251. [Google Scholar] [CrossRef]
  54. Yeh, P. Fundamental Limit of the Speed of Photorefractive Effect and Its Impact on Device Applications and Material Research. Appl. Opt. 1987, 26, 602–604. [Google Scholar] [CrossRef]
  55. Monchalin, J.P. Optical Detection of Ultrasound at a Distance Using a Confocal Fabry-Perot Interferometer. Appl. Phys. Lett. 1985, 47, 14–16. [Google Scholar] [CrossRef]
  56. Blouin, A.; Monchalin, J. Detection of Ultrasonic Motion of a Scattering Surface by Twowave Mixing in a Photorefractive GaAs Crystal Detection of Ultrasonic Motion of a Scattering in a Photorefractive. Appl. Phys. Lett. 1994, 65, 932–934. [Google Scholar] [CrossRef]
  57. Kamshilin, A.; Mokrushina, V. Adaptive Holographic Interferometers Operating through Crystals Self -Diffraction of of Recording Recording Beams Beams in in Photorefractive Photorefractive Crystals. Opt. Eng. 2015, 28, 580–585. [Google Scholar]
  58. Abramowitz, M.; Stegun, I.A.; Romer, R.H. Handbook of Mathematical Functions with Formulas, Graphs, and Mathematical Tables. Am. J. Phys. 1988, 56, 958. [Google Scholar] [CrossRef]
Disclaimer/Publisher’s Note: The statements, opinions and data contained in all publications are solely those of the individual author(s) and contributor(s) and not of MDPI and/or the editor(s). MDPI and/or the editor(s) disclaim responsibility for any injury to people or property resulting from any ideas, methods, instructions or products referred to in the content.

Article Metrics

Citations

Article Access Statistics

Multiple requests from the same IP address are counted as one view.