Comment on Shamsaei et al. The Role of Fuel Characteristics and Heat Release Formulations in Coupled Fire-Atmosphere Simulation. Fire 2023, 6, 264
Abstract
1. Introduction
2. Methods and Theoretical Framework
2.1. Overview of Heat Distribution Schemes
2.1.1. Exponential Decay-WRF-SFIRE and Derivatives
2.1.2. The Truncated Gaussian Scheme from WRF-FIRE 4.6.1
2.1.3. MesoNH-ForeFire
2.1.4. MesoNH-Blaze
2.2. Introduction of New Versatile Energy-Conservative Distribution Scheme
2.2.1. The Exponential Profile
2.2.2. The Gaussian Profile
2.2.3. The Gamma Profile
2.3. Addition of Canopy Heat Fluxes
2.4. Evaluation Configurations
2.4.1. Fine Non-Uniform Mesh with Surface Flux Only
2.4.2. Coarse Non-Uniform Mesh with Surface Flux Only
2.4.3. Fine Non-Uniform Mesh with Surface and Canopy Flux
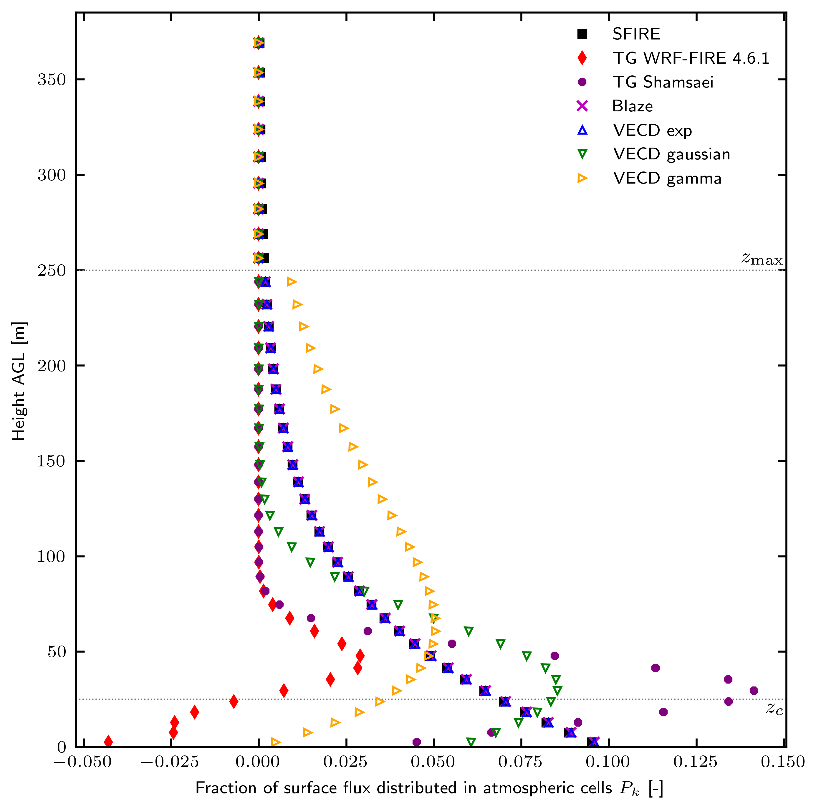
3. Results
3.1. Analytical Analysis of the Error of the WRF-SFIRE Exponential Profile
3.2. Energy Conservation Evaluation for Surface Flux Only
3.2.1. Fine Non-Uniform Mesh
3.2.2. Coarse Non-Uniform Mesh
3.3. Energy Conservation Evaluation for Surface and Canopy Fluxes
4. Discussion
5. Summary
Supplementary Materials
Author Contributions
Funding
Data Availability Statement
Acknowledgments
Conflicts of Interest
Nomenclature
| Symbol | Name | Unit |
| specific heat capacity | ||
| Relative error on energy conservation | % | |
| Gauss error function | ||
| distribution factor | – | |
| g | continuous function defining a profile | |
| indefinite integral of g | ||
| k | vertical index | – |
| P | proportion of surface flux distributed in atmospheric cell | – |
| source terms in the energy conservation equation | ||
| Truncated Gaussian function of [11] | ||
| Truncated Gaussian scheme of [11] | ||
| t | time | |
| z | vertical coordinate | |
| peak heat release height of Gaussian schemes | ||
| canopy bottom height | ||
| canopy top height | ||
| extinction depth | ||
| maximal elevation for heat flux distribution | ||
| minimal elevation for heat flux distribution | ||
| distribution coefficient | – | |
| cell vertical extent | ||
| moist potential temperature | ||
| dry air mass per unit area | ||
| box function | ||
| air density | ||
| surface heat flux | ||
| surface heat flux for canopy fuels | ||
| surface equivalent cumulative flux | ||
| surface heat flux for ground fuels | ||
| volume heat flux |
Appendix A. Evaluation of WRF-FIRE TG Scheme for Test Case Two Fires

Appendix B. Mesh Convergence Study on Uniform Mesh for Gaussian Schemes

References
- Couto, F.T.; Filippi, J.B.; Baggio, R.; Campos, C.; Salgado, R. Numerical investigation of the Pedróg ao Grande pyrocumulonimbus using a fire to atmosphere coupled model. Atmos. Res. 2024, 299, 107223. [Google Scholar] [CrossRef]
- Ehrke, C.; Farguell, A.; Kochanski, A.K. Interactions Between a High-Intensity Wildfire and an Atmospheric Hydraulic Jump in the Case of the 2023 Lahaina Fire. Atmosphere 2024, 15, 1424. [Google Scholar] [CrossRef]
- Couto, F.T.; Filippi, J.B.; Baggio, R.; Campos, C.; Salgado, R. Triggering Pyro-Convection in a High-Resolution Coupled Fire–Atmosphere Simulation. Fire 2024, 7, 92. [Google Scholar] [CrossRef]
- Roberts, M.; Lareau, N.P.; Juliano, T.W.; Shamsaei, K.; Ebrahimian, H.; Kosovic, B. Sensitivity of simulated fire-generated circulations to fuel characteristics during large wildfires. J. Geophys. Res. Atmos. 2024, 129, e2023JD040548. [Google Scholar] [CrossRef]
- Rothermel, R.C. A Mathematical Model for Predicting Fire Spread in Wildland Fuels; Intermountain Forest and Range Experiment Station, Forest Service: Fort Collins, CO, USA, 1972; Volume 115. [Google Scholar]
- Balbi, J.H.; Morandini, F.; Silvani, X.; Filippi, J.B.; Rinieri, F. A physical model for wildland fires. Combust. Flame 2009, 156, 2217–2230. [Google Scholar] [CrossRef]
- Santoni, P.A.; Filippi, J.B.; Balbi, J.H.; Bosseur, F. Wildland fire behaviour case studies and fuel models for landscape-scale fire modeling. J. Combust. 2011, 2011, 613424. [Google Scholar] [CrossRef]
- Chatelon, F.J.; Balbi, J.H.; Cruz, M.G.; Morvan, D.; Rossi, J.L.; Awad, C.; Frangieh, N.; Fayad, J.; Marcelli, T. Extension of the Balbi fire spread model to include the field scale conditions of shrubland fires. Int. J. Wildland Fire 2022, 31, 176–192. [Google Scholar] [CrossRef]
- Drucker, J.R.; Farguell, A.; Clements, C.B.; Kochanski, A.K. A live fuel moisture climatology in California. Front. For. Glob. Change 2023, 6, 1203536. [Google Scholar] [CrossRef]
- Farguell, A.; Drucker, J.R.; Mirocha, J.; Cameron-Smith, P.; Kochanski, A.K. Dead Fuel Moisture Content Reanalysis Dataset for California (2000–2020). Fire 2024, 7, 358. [Google Scholar] [CrossRef]
- Shamsaei, K.; Juliano, T.W.; Roberts, M.; Ebrahimian, H.; Lareau, N.P.; Rowell, E.; Kosovic, B. The Role of Fuel Characteristics and Heat Release Formulations in Coupled Fire-Atmosphere Simulation. Fire 2023, 6, 264. [Google Scholar] [CrossRef]
- Clark, T.L.; Jenkins, M.A.; Coen, J.; Packham, D. A coupled atmosphere fire model: Convective feedback on fire-line dynamics. J. Appl. Meteorol. Climatol. 1996, 35, 875–901. [Google Scholar] [CrossRef]
- Clark, T.L.; Jenkins, M.A.; Coen, J.L.; Packham, D.R. A coupled atmosphere-fire model: Role of the convective Froude number and dynamic fingering at the fireline. Int. J. Wildland Fire 1996, 6, 177–190. [Google Scholar] [CrossRef]
- Patton, E.G.; Coen, J.L. WRF-Fire: A coupled atmosphere-fire module for WRF. In Proceedings of the Preprints of Joint MM5/Weather Research and Forecasting Model Users’ Workshop, Boulder, CO, USA, 22–25 June 2004; pp. 22–25. [Google Scholar]
- Mandel, J.; Beezley, J.D.; Kochanski, A.K. Coupled atmosphere-wildland fire modeling with WRF 3.3 and SFIRE 2011. Geosci. Model Dev. 2011, 4, 591–610. [Google Scholar] [CrossRef]
- Munoz y Jimenez, P.A.; Frediani, M.; Eghdami, M.; Rosen, D.; Kavulich, M.; Juliano, T.W. The Community Fire Behavior Model for coupled fire-atmosphere modeling: Implementation in the Unified Forecast System. Geosci. Model Dev. Discuss. 2024, 2024, 1–30. [Google Scholar]
- WRF Model Development Team. Weather Research and Forecasting (WRF) Model. Version 4.6.1-Commit d66e442fccc04111067e29274c9f9eaccc3cef28. 2024. Available online: https://github.com/wrf-model/WRF/releases/tag/v4.6.1 (accessed on 14 December 2025).
- Filippi, J.B.; Bosseur, F.; Mari, C.; Lac, C.; Le Moigne, P.; Cuenot, B.; Veynante, D.; Cariolle, D.; Balbi, J.H. Coupled atmosphere–wildland fire modelling. J. Adv. Model. Earth Syst. 2009, 1, 11. [Google Scholar] [CrossRef]
- Filippi, J.B.; Bosseur, F.; Pialat, X.; Santoni, P.A.; Strada, S.; Mari, C. Simulation of coupled fire/atmosphere interaction with the MesoNH-ForeFire models. J. Combust. 2011, 2011, 540390. [Google Scholar] [CrossRef]
- Filippi, J.B.; Pialat, X.; Clements, C.B. Assessment of ForeFire/Meso-NH for wildland fire/atmosphere coupled simulation of the FireFlux experiment. Proc. Combust. Inst. 2013, 34, 2633–2640. [Google Scholar] [CrossRef]
- Costes, A.; Rochoux, M.; Lac, C.; Masson, V. Subgrid-scale fire front reconstruction for ensemble coupled atmosphere-fire simulations of the FireFlux I experiment. Fire Saf. J. 2021, 126, 103475. [Google Scholar] [CrossRef]
- Costes, A. Couplage Bidirectionnel Feu-Atmosphère Pour la Propagation des Incendies de Forêt: Modélisation, Incertitudes et Sensibilités. Ph.D. Thesis, Université Paul Sabatier-Toulouse III, Toulouse, France, 2021. [Google Scholar]




| Scheme | Fine Mesh [%] | Coarse Mesh [%] |
|---|---|---|
| WRF-SFIRE | 0 | |
| TG WRF-FIRE 4.6.1 | ||
| TG Shamsaei | ||
| Blaze | 0 | 0 |
| VECD exponential | 0 | 0 |
| VECD gaussian | 0 | 0 |
| VECD gamma | 0 | 0 |
Disclaimer/Publisher’s Note: The statements, opinions and data contained in all publications are solely those of the individual author(s) and contributor(s) and not of MDPI and/or the editor(s). MDPI and/or the editor(s) disclaim responsibility for any injury to people or property resulting from any ideas, methods, instructions or products referred to in the content. |
© 2025 by the authors. Licensee MDPI, Basel, Switzerland. This article is an open access article distributed under the terms and conditions of the Creative Commons Attribution (CC BY) license.
Share and Cite
Costes, A.; Kochanski, A.K. Comment on Shamsaei et al. The Role of Fuel Characteristics and Heat Release Formulations in Coupled Fire-Atmosphere Simulation. Fire 2023, 6, 264. Fire 2026, 9, 19. https://doi.org/10.3390/fire9010019
Costes A, Kochanski AK. Comment on Shamsaei et al. The Role of Fuel Characteristics and Heat Release Formulations in Coupled Fire-Atmosphere Simulation. Fire 2023, 6, 264. Fire. 2026; 9(1):19. https://doi.org/10.3390/fire9010019
Chicago/Turabian StyleCostes, Aurélien, and Adam K. Kochanski. 2026. "Comment on Shamsaei et al. The Role of Fuel Characteristics and Heat Release Formulations in Coupled Fire-Atmosphere Simulation. Fire 2023, 6, 264" Fire 9, no. 1: 19. https://doi.org/10.3390/fire9010019
APA StyleCostes, A., & Kochanski, A. K. (2026). Comment on Shamsaei et al. The Role of Fuel Characteristics and Heat Release Formulations in Coupled Fire-Atmosphere Simulation. Fire 2023, 6, 264. Fire, 9(1), 19. https://doi.org/10.3390/fire9010019

