Research on the Response Regularity of Smoke Fire Detectors Under Typical Interference Conditions in Ancient Buildings
Abstract
1. Introduction
2. Materials and Methods
2.1. Characteristics of Fire Sources, Selection of Detectors, and Analysis of Interference Sources in Ancient Building Fires
2.1.1. Analysis of Fire Source Characteristics and Detector Selection in Ancient Buildings
2.1.2. Analysis of Typical Interference Sources in Fire Detection of Ancient Buildings
- Indoor environmental wind speed interference
 
- 2.
 - Environmental water vapor interference
 
- 3.
 - Incense smoke and dust interference
 
2.2. Experimental Plan Design
2.2.1. Fire Source Working Conditions Design
- When heated to 110 °C, the first stage is the evaporation of water, and a small amount of resin is also vaporized.
 - At 130 °C, the wood block begins to decompose, and the main products of the decomposition are H2O and CO2.
 - At temperatures ranging from 220 to 250 °C, the wood block begins to change color and undergo carbonization. The cellulose is decomposed, resulting in the formation of CO, H2, and CxHy (hydrocarbons).
 - At 300 °C, a vigorous thermal decomposition occurs, causing the physical structure to break down, making the volatile substances easier to escape through the surface of the carbonized layer.
 - As the carbonization depth increases, the cracks gradually widen, resulting in the “map crack” phenomenon.
 
2.2.2. Full-Scale Experimental Platform Construction
- Fix the point-type smoke fire detector in the middle of the roof ridge of the changing room, with the smoke chamber facing vertically downward, and use a fire alarm controller compatible with the detector. Connect the devices with a dedicated signal line to complete data collection and transmission;
 - The location of the fire source is set on the ground directly below the point-type smoke detector;
 - The multi-frequency adjustable fan is set on the ground at a horizontal distance of 1 m from the fire source; the incense interference source and the water vapor humidity generation device are set 1 m directly below the detector. The specific experimental platform scenario is shown in Figure 5.
 
2.2.3. Design of Experimental Working Conditions
2.3. Experimental Data Research and Analysis Methods
2.3.1. Alarm Delay Time Calculation Method
- —Alarm delay time (s);
 - —Alarm time of fire detectors under different gradient interference conditions (s);
 - —Alarm time of the fire detector under non-interference conditions (s).
 
2.3.2. The Construction Procedure and Quantitative Analysis Method of the Alarm Time Prediction Model
- To mitigate the impact of baseline alarm times across different fire source conditions under interference-free scenarios on the calculation of detector alarm delay times, the data were normalized. Nine data sets were constructed based on the alarm delay time data of the three types of ignition source conditions under the three types of interference conditions (including the data under the condition of an interference gradient of 0, i.e., the condition of no interference), and the alarm delay time under the condition of no interference was defined as 0 s. Use the extreme value normalization method to standardize each data group. The formula is as follows [31]:
 
- —Standardized alarm delay time (s);
 - —Alarm delay time (s);
 - —Maximum alarm delay time (s);
 - —Minimum alarm delay time for 0.
 
- 2.
 - Perform data fitting processing on the standardized alarm delay time data under the same interference condition.
 - 3.
 - Based on the fitting curve data and experimental raw data, calculate the maximum absolute residual value of the fitting result using the following formula [32]:
 
- —Maximum absolute residual value of data fitting;
 - —Actual data values of the i-th experiment (s);
 - —The predicted values obtained by fitting the model in the i-th experiment (s).
 
- 4.
 - Based on Formula (3), calculate the maximum error of the detector’s alarm delay time (the maximum error of the detector’s actual alarm time).
 
- Third-order polynomial function:
 - Sigmoid function:
 - Fourth-order polynomial function:
 
2.3.3. The Calculation and Analysis Method for the Degree of Influence of Interference Conditions
- —Degree of delay in fire detector alarm time (%);
 - —Alarm delay time (s);
 - —Alarm time of fire detectors under non-interference conditions (s).
 
3. Results
3.1. Alarm Response Regularity and Time Prediction Models of Detectors Under Wind Speed
3.1.1. Analysis of Response Regularity
- Under the three types of fire source conditions, the initial rise time of the smoke concentration in smoke detectors and the alarm delay time both exhibit a nonlinear proportional relationship with the gradient of wind speed disturbance. As the wind speed disturbance gradient increases, the initial rise in smoke concentration detected by the smoke detector takes longer, and the alarm delay time increases. Compared with the other two fire source conditions, the effect of the gradient change in wind speed disturbance on the initial rise in the smoke concentration under the condition of wood block smoldering is relatively small.
 - Under wind speed interference conditions, the alarm delay times for three types of fire source detectors are as follows: cotton rope smoldering (39–91 s) > smoke cake smoldering (25–53 s) > wood block smoldering (8–29 s). Further analysis indicates that the application of wind speed promotes the pyrolysis process of the wood block and the volatilization rate of its smoke, and this promoting effect can effectively counteract the inhibiting effect of wind speed on the vertical spread of smoke, thereby somewhat alleviating the impact of wind speed on the delay in alarm time of the fire detectors.
 
3.1.2. Construction of Alarm Time Prediction Model
3.2. Alarm Response Regularity and Time Prediction Models of Detectors Under Water Vapor
3.2.1. Analysis of Response Regularity
- Under three types of fire source conditions, the initial rise time of smoke concentrations in the smoke detector and the alarm delay time are positively correlated with the gradient of water vapor interference. That is, as the gradient of water vapor interference increases, the initial rise time of the smoke concentration in the smoke detector is prolonged and the alarm delay time increases.
 - Under conditions of water vapor interference, the degree of impact of different interference gradient levels on the alarm delay time of three types of fire source condition detectors varies. The alarm delay times for the three types of fire source condition detectors are as follows: cotton rope smoldering (48–228 s) > wooden block smoldering (53–88 s) > smoke cake smoldering (47–87 s).
 
3.2.2. Construction of Alarm Time Prediction Model
3.3. Alarm Response Regularity and Time Prediction Models of Detectors Under Burning Incense
3.3.1. Analysis of Response Regularity
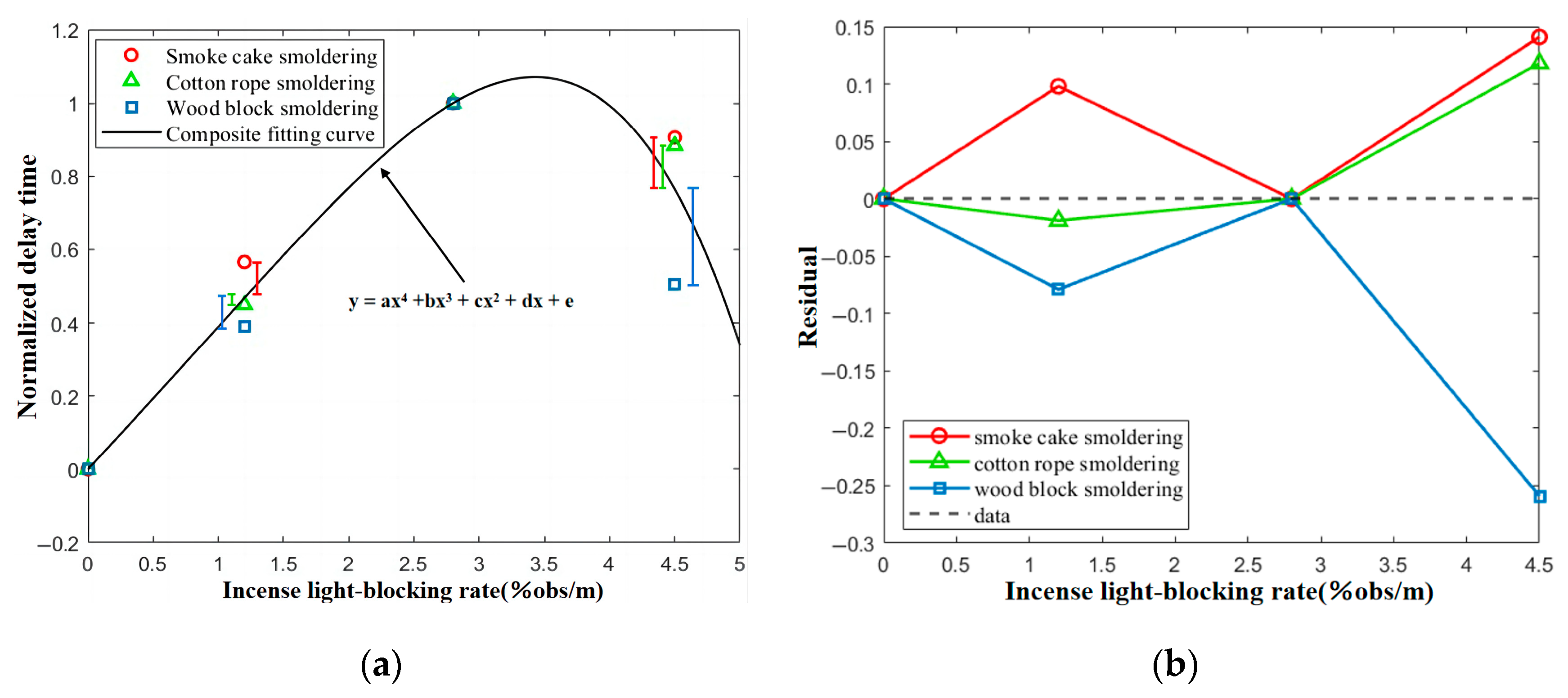
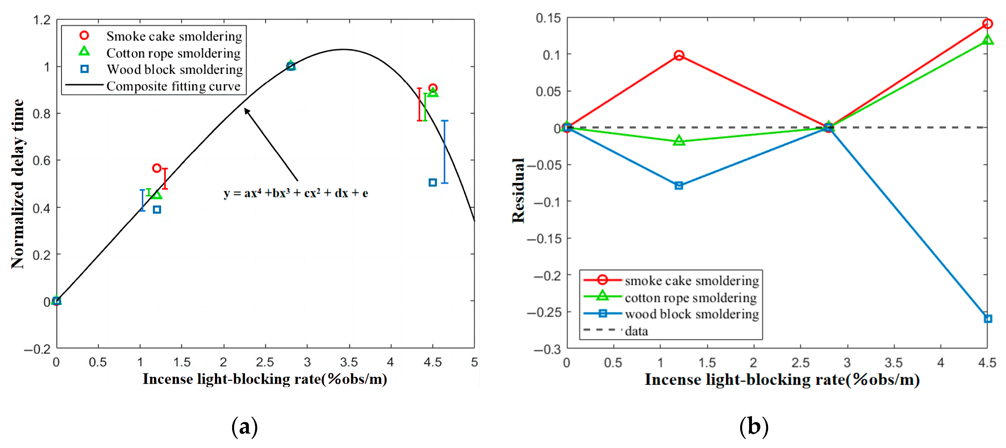
- Under three types of fire source conditions, the initial rise time of the smoke concentration detected by the smoke detector and the alarm delay time both exhibit a unimodal variation trend with the increase in interference from the burning incense, but the overall response shows a delay. It indicates that the interference of burning incense has a nonlinear effect on the alarm performance of the detector, with a critical interference threshold point. Before this point, an increase in the amount of interference will lead to a greater delay in the alarm; beyond this point, further increases in interference may actually shorten the alarm delay time.
 - Under burning incense interference conditions, there are significant differences in the alarm delay times of fire detectors under different fire source operating conditions. The alarm delay times for the three types of fire source condition detectors are as follows: cotton rope smoldering (88–196 s) > wood block smoldering (44–113 s) > smoke cake smoldering (30–53 s).
 
3.3.2. Construction of Alarm Time Prediction Model
- Adjust the fitting parameters for cotton rope smoldering conditions as follows: a = 0.008; b = −0.08; c = 0.181; d = 0.301; e = 0.029, that is: y = 0.008x4 + (−0.08x3) + 0.181x2 + 0.301x + 0.029;
 - Adjust the fitting parameters for wood block smoldering conditions as follows: a = −0.0084; b = 0.0278; c = 0.0038; d = 0.2943; e = 0, that is: y = −0.0084x4 + 0.0278x3 + 0.0038x2 + 0.2943x.
 
- Under wind speed interference conditions, the normalized alarm delay time data of detectors for three types of fire source conditions are well fitted by a third-order polynomial function (as in Formula (4)), and the fitting curve is highly consistent with the actual data. After parameter assignment, the prediction error of the detector alarm delay time under all operating conditions is controlled within 5.7 s.
 - Under the condition of water vapor interference, the fitted curve conforms to the Sigmoid function (as in Formula (5)). Among them, the fitting effect of cotton rope smoldering conditions was poor. Parameter optimization was carried out, and the prediction error under all conditions was ultimately controlled within 14 s.
 - Under the condition of burning incense interference, the fitted curve conforms to a fourth-order polynomial function (as in Formula (6)). Among them, the residuals of cotton rope smoldering and wood block smoldering conditions are relatively large. After parameter optimization and application, the prediction error under all conditions is controlled within 7.5 s.
 
3.4. Comprehensive Analysis of the Impact Degree of Different Interferences
- Under the condition of smoke cake smoldering, the influence of wind speed and incense burning interference on the detector alarm delay time is relatively similar. The impact of three interference conditions on the alarm time delay of the detector is as follows: water vapor interference > burning incense interference > wind speed interference.
 - In the case of smoldering conditions of the cotton rope, the alarm response time of fire detectors is significantly affected by various sources of interference. Among them, the influence of wind speed and water vapor interference conditions on the alarm delay time of the detector is significantly different. The impact of three interference conditions on the alarm time delay of the detector is as follows: water vapor interference > burning incense interference > wind speed interference.
 - In the case of smoldering conditions of the wood block, the alarm response time of fire detectors is relatively less affected by various interference sources. The impact of three interference conditions on the alarm time delay of the detector is as follows: burning incense interference > water vapor interference > wind speed interference.
 
4. Discussion
4.1. Limitations
- In terms of architectural structure, the research results may only be applicable to ancient buildings with a flush gable roof shape;
 - The gradient ranges of the three typical interference sources—wind speed, water vapor, and burning incense—are limited by the equipment but have covered the majority of the effects of actual environmental interference conditions on the alarm response characteristics of the detector. However, for certain special environmental conditions, full coverage cannot be achieved;
 - In this study, only point-type smoke fire detectors were used for the experiments. The conclusions drawn may not be applicable to other types of detectors, and the applicability of these conclusions to other types of detectors needs to be verified.
 
4.2. Prospects
- To verify the universality of the research conclusions, the scope of the study was expanded to include different architectural styles such as hip roofs and duo-pan roofs. Through comparative experiments, the influence laws of various interference conditions on smoke diffusion and detector response under different roof structures were revealed, and a more universally applicable fire detection optimization model for multiple building types was constructed.
 - Future research should further expand the monitoring of the actual environmental parameters of ancient buildings, including key indicators such as humidity, wind speed, and the concentration of smoke and dust particles. The experimental equipment should be upgraded to cover a wider range of interference source gradients, and a more comprehensive study should be conducted to explore the influence laws of various interference conditions on the alarm response of the detector. In addition, in-depth research should be carried out on the alarm response mechanism of the detector under the coupling and synergy effect of multiple interference sources, and an alarm time prediction model under composite interference conditions should be established.
 - Future research will expand to comparative tests of multiple types of fire detectors to investigate the differences in the applicability of different types of detectors (such as linear beam smoke detectors, aspirating-type, and composite-type) under typical interference sources in ancient buildings. This will help verify the universality of the conclusions and establish corresponding alarm time prediction models.
 
5. Conclusions
- Under typical interference conditions, the detector alarms may have false alarms. The overall accuracy rate of the detector alarms is approximately 97.8%. Apart from false alarms, in the three types of fire source conditions, the response characteristics of the initial increase in smoke concentration and the alarm delay time of the smoke detector are as follows: they show a nonlinear positive correlation with the increase in the wind speed and water vapor interference gradient, and they present a single-peak change characteristic with the increase in incense interference quantity.
 - Within the experimental conditions, there are significant differences in the alarm delay time under different fire source conditions under interference conditions. The promoting effect of wind speed on the pyrolysis process of wood blocks partially counteracted its interfering effect, minimizing the influence of wind speed on the delay time of the wood block smoldering condition; the delay time of the cotton rope smoldering condition was the longest under all interference conditions, while the average delay time of the smoke cake smoldering condition was the shortest, indicating that the detector had the lowest sensitivity to the smoke gas of the cotton rope smoldering and the optimal detection stability for the smoke gas of the smoke cake smoldering. Based on this, it is suggested that in ancient buildings with a large amount of cotton and linen textiles, the performance of point-type smoke fire detectors for these materials should be particularly optimized.
 - Among the three types of interference conditions, the wind speed interference condition has the least impact on the alarm delay of the detector under the three types of fire source conditions. This indicates that in the application scenarios where all three types of interferences exist simultaneously, point-type smoke detectors should first consider the influence of environmental particulate interference sources (such as water vapor particles, smoke from burning incense, etc.) and then consider the wind speed interference.
 - Develop a prediction model for the detector alarm time for three types of fire source conditions: Under wind speed interference, the fitting curve conforms to a cubic polynomial function (as in Formula (4)), and the prediction error is controlled within 5.7 s; under water vapor interference, the fitting curve conforms to the Sigmoid function (as in Formula (5)) after parameter optimization, and the prediction error is controlled within 14 s; and under incense burning interference, it conforms to a quartic polynomial function (as in Formula (6)) after parameter optimization and application, and the prediction error is controlled within 7.5 s.
 
Author Contributions
Funding
Data Availability Statement
Acknowledgments
Conflicts of Interest
References
- Zhang, Z.J.; Mei, X.J. Fire Protection of Ancient Buildings; Chemical Industry Press: Beijing, China, 2010. [Google Scholar]
 - Wu, X.S. Practice and Reflection on Fire Protection of Cultural Relics and Ancient Buildings. China Emerg. Rescue 2022, 5, 79–83. [Google Scholar]
 - Gou, B.Y.; Wu, B.; Ma, Y.F.; Su, J.L.; Jia, Z.P. Numerical Simulation of Notre-Dame Cathedral Fire Based on Simtec. Fire Sci. Technol. 2020, 39, 49–51. [Google Scholar]
 - Toutiao. Australia News: Sudden Fire Breaks Out at Melbourne Buddhist Temple Mingyue Lay Buddhist Forest. Available online: https://www.toutiao.com/article/7196845331399574049/ (accessed on 6 February 2023).
 - Sina Finance. Jiangsu News Broadcast: Gansu Shandan Reports Fire Incident at Great Buddha Hall of Dafo Temple. Available online: https://finance.sina.com.cn/wm/2023-07-25/doc-imzcwsyt7965875.shtml (accessed on 25 July 2023).
 - Xinhua Net. Investigation Results of Fire Accident at Henan University Minglun Campus Released: 48 Individuals Held Accountable. Available online: https://www.xinhuanet.com/legal/20250125/2f884c5d64304ffdbd5d535826bdb1a9/c.html (accessed on 25 January 2025).
 - Stand-Alone Photoelectric Smoke Fire Detector and Alarm. Fire Tech. Prod. Inf. 2017, 7, 92–93.
 - Yoon, G.Y.; Han, H.S.; Mun, S.Y.; Park, C.H.; Hwang, C.H. DB Construction of Activation Temperature and Response Time Index for Domestic Fixed-temperature Heat Detectors in Ceiling Jet Flow. Fire Sci. Eng. 2020, 34, 35–42. [Google Scholar] [CrossRef]
 - Sun, B.C.; Lin, T.J.; Guo, X.P.; Xiao, X. Application of infrared thermal imaging fire detection technology in oil-immersed transformers of nuclear power plants. Fire Sci. Technol. 2020, 39, 1529–1531. [Google Scholar]
 - Zhou, Y.; Liu, G.; Xie, G. Flame detection method and application based on RGB-HSI model and initial flame growth characteristics. J. Phys. Conf. Ser. 2024, 2752, 012231. [Google Scholar] [CrossRef]
 - Ma, Q.; Jiang, H.R.; Wang, K.; Wang, B.; Ding, L.; Ji, J. Optimization of Outdoor Image-Based Fire Detector Arrangement for Ancient Building Complexes. J. Tsinghua Univ. (Sci. Technol.) 2025, 65, 625–633. [Google Scholar]
 - Zhong, C.; Li, X.; Liu, X.; Ding, H. Experimental study on interference source of smoke fire detector in religious building environment. IOP Conf. Ser. Earth Environ. Sci. 2020, 585, 012079. [Google Scholar] [CrossRef]
 - Li, L.M.; Song, L.W.; Mei, Z.B.; Zhang, X. Experimental Study on Anti-Dust Pollution Performance of Photoelectric Smoke Fire Detectors. Fire Saf. Today 2022, 7, 5–8. [Google Scholar]
 - Li, R.; Zhang, X.Q.; He, Y.J.; Lin, T.J.; Li, Y. Design of Anti-Condensation Device for Photoelectric Smoke Detectors in Nuclear Power Plants. Instrum. User 2019, 26, 71–73. [Google Scholar]
 - Chai, X.F.; Zhang, Q. Research on Blue Light Detection Technology for Photoelectric Smoke Detectors. In Proceedings of the 2014 Annual Conference on Fire Science and Technology of China Fire Protection Association, Shanghai, China, 16 September 2014; China Fire Protection Association: Beijing, China, 2014; p. 5. [Google Scholar]
 - Philipp, J.B.; Kirbach, K.; Hofmann, M.; Hppfe, A.; Schank, M.; Behrens, R.; Schultze, T. False alarm resisting smoke detector for mobility application. In Proceedings of the 16th International Conference on Automatic Fire Detection, Hyattsville, MD, USA, 12–14 September 2017. [Google Scholar]
 - Fu, C.; Luo, H. Reflections on Fire Detection in Ancient Buildings. Electrotech Appl. 2021, 40, 92–95. [Google Scholar]
 - Jeong, J.; Baik, S.; Yoon, H.; Kim, J.H. SimUV-Net: A novel approach for UV signal-based fire detection and classification leveraging supervised contrastive learning. Expert Syst. Appl. 2025, 277, 127120. [Google Scholar] [CrossRef]
 - Zheng, G.K. Fire Behavior Analysis and Structural Fire Resistance Performance Study of Timber-Brick Ancient Buildings. Master’s thesis, Chang’an University, Xi’an, China, 2020. [Google Scholar] [CrossRef]
 - Dong, X.L. Fire Combustion Science; People’s Public Security University of China Press: Beijing, China, 2014. [Google Scholar]
 - Turns, S.R. An Introduction to Combustion. Yao, Q.; Li, S.Q.; Wang, Y., Translators; Tsinghua University Press: Beijing, China, 2009. [Google Scholar]
 - Dong, J. Analysis of Fire Risk and Firefighting Strategies for Ancient Buildings. Constr. Eng. Des. 2024, 22, 32–35. [Google Scholar]
 - GB 50116-2013; Code for Design of Automatic Fire Alarm Systems. Ministry of Housing and Urban-Rural Development of the People’s Republic of China, General Administration of Quality Supervision, Inspection and Quarantine of the People’s Republic of China, China Planning Press: Beijing, China, 2013.
 - Liu, H.; Li, T.; Zhong, C. Research on Fire Prevention Technology for Ancient Buildings Based on BIM and Simulation Technology. Fire Sci. Technol. 2023, 42, 1228–1232. [Google Scholar]
 - NFPA 72; National Fire Alarm and Signaling Code Handbook. National Fire Protection Association: Quincy, MA, USA, 2016.
 - Li, K.; Liu, G.; Yuan, H.; Chen, Y.; Dai, Y.; Meng, X.; Huang, L. Dual-Wavelength Smoke Detector Measuring Both Light Scattering and Extinction to Reduce False Alarms. Fire 2023, 6, 140. [Google Scholar] [CrossRef]
 - Wang, W.Q.; Pan, G.; Liu, X.L.; Wang, Y.Y.; Liu, Y.B.; Liu, B.; Jiang, L. Multi-angle Scattering Characteristic of test Fire Smoke and Typical Interference Aerosol. Procedia Eng. 2011, 11, 466–472. [Google Scholar] [CrossRef]
 - Taehoon, K.; Yongjoo, K.; Dongho, R. The Effect of Air Purifier on Smoke Detector Revealed by Fire Dynamics Simulation. Sustainability 2022, 14, 2259. [Google Scholar] [CrossRef]
 - Li, Y. Study on Condensate Water Issues in Fire Alarm Systems for Imperial Palace-Style Ancient Building Preservation. Water Resour. Archit. Eng. 2024, 22, 10–16. [Google Scholar]
 - GB 4715-2024; Point-Type Smoke Fire Detectors. State Administration for Market Regulation of the People’s Republic of China, Standardization Administration of the People’s Republic of China, Standards Press of China: Beijing, China, 2024.
 - Nawar, N.; Stow, D.A.; Riggan, P.; Tissell, R.; Sousa, D.; Jennings, M.K.; Wolden, L. Influences of Tree Mortality on Fire Intensity and Burn Severity for a Southern California Forest Using Airborne and Satellite Imagery. Fire 2025, 8, 144. [Google Scholar] [CrossRef]
 - Kouassi, J.-L.; Wandan, N.; Mbow, C. Predictive Modeling of Wildfire Occurrence and Damage in a Tropical Savanna Ecosystem of West Africa. Fire 2020, 3, 42. [Google Scholar] [CrossRef]
 




















| Place | Wind Speed (m/s) | Humidity (% RH) | Burning Incense Granule (%obs/m 1) | 
|---|---|---|---|
| The Taihe Hall of the Forbidden City | 0.12–0.31 | 64.5–77.5 | — | 
| Prince Gong’s Mansion Jiale Hall | 0.09–0.25 | 53.3–70.9 | — | 
| Yousun Temple Changing Hall | 0.21–0.34 | 59.2–76.2 | 0.9–5.3 | 
| Name of Experimental Fire Source | Experimental Fire Source Material | Experimental Fire Source Specifications | 
|---|---|---|
| Smoke cake smoldering | Smoke cake | 1 piece with a diameter of approximately 7 cm | 
| Cotton rope smoldering | Clean and dry cotton rope | 90 pieces are 80 cm long and weigh 3 g | 
| Wood block smoldering | Beech stick (with a moisture content of approximately 5%) | 10 pieces, each with dimensions of 75 mm × 25 mm × 20 mm | 
| Serial Number | Type of Interference Source | Interference Source Variable Value | Interference Source Arrangement Location | Experimental Fire Types | 
|---|---|---|---|---|
| 1 | Interference-free | Interference-free | / | Smoke cake smoldering Cotton rope smoldering Wood block smoldering  | 
| 2 | Wind speed | 0.15 m/s | On the ground, 1 m horizontal distance from the fire source | |
| 3 | 0.20 m/s | |||
| 4 | 0.25 m/s | |||
| 5 | Water vapor | 69% RH | 1 m below the detector | |
| 6 | 76% RH | |||
| 7 | 85% RH | |||
| 8 | Burning incense smoke | 1.2 %obs/m | 1 m below the detector | |
| 9 | 2.8 %obs/m | |||
| 10 | 4.5 %obs/m | 
| Fire Source Condition | R2 | The Absolute Value of the Maximum Residual | Maximum Error of Alarm  Delay Time (s)  | 
|---|---|---|---|
| Smoke cake smoldering | 0.996 | 0.051 (x = 0.15) | 2.7 s | 
| Cotton rope smoldering | 0.993 | 0.063 (x = 0.15) | 5.7 s | 
| Wood block smoldering | 0.974 | 0.121 (x = 0.20) | 3.5 s | 
| Fire Source Condition | R2 | The Absolute Value of the Maximum Residual | Maximum Error of Alarm  Delay Time (s)  | 
|---|---|---|---|
| Smoke cake smoldering | 0.9410 | 0.1593 (x = 76) | 13.8 s | 
| Cotton rope smoldering | 0.8188 | 0.2303 (x = 69) | 52.8 s | 
| Wood block smoldering | 0.9495 | 0.1597 (x = 69) | 14.0 s | 
| Fire Source Condition | R2 | The Absolute Value of the Maximum Residual | Maximum Error of Alarm  Delay Time (s)  | 
|---|---|---|---|
| Cotton rope smoldering | 0.9900 | 0.0610(x = 85) | 13.9 s | 
| Fire Source Condition | R2 | The Absolute Value of the Maximum Residual | Maximum Error of Alarm  Delay Time (s)  | 
|---|---|---|---|
| Smoke cake smoldering | 0.9688 | 0.1410 (x = 4.5) | 7.5 s | 
| Cotton rope smoldering | 0.9853 | 0.1180 (x = 4.5) | 23.0 s | 
| Wood block smoldering | 0.9265 | 0.2590 (x = 4.5) | 29.3 s | 
| Fire Source Condition | R2 | The Absolute Value of the Maximum Residual | Maximum Error of Alarm  Delay Time (s)  | 
|---|---|---|---|
| Cotton rope smoldering | 0.996 | 0.0377(x = 1.2) | 7.4 s | 
| Wood block smoldering | 0.9951 | 0.0500(x = 2.8) | 5.7 s | 
Disclaimer/Publisher’s Note: The statements, opinions and data contained in all publications are solely those of the individual author(s) and contributor(s) and not of MDPI and/or the editor(s). MDPI and/or the editor(s) disclaim responsibility for any injury to people or property resulting from any ideas, methods, instructions or products referred to in the content.  | 
© 2025 by the authors. Licensee MDPI, Basel, Switzerland. This article is an open access article distributed under the terms and conditions of the Creative Commons Attribution (CC BY) license (https://creativecommons.org/licenses/by/4.0/).
Share and Cite
Xia, Y.; Lei, L.; Zeng, S.; Li, D.; Cai, W.; Hou, Y.; Li, C.; Yin, Y. Research on the Response Regularity of Smoke Fire Detectors Under Typical Interference Conditions in Ancient Buildings. Fire 2025, 8, 315. https://doi.org/10.3390/fire8080315
Xia Y, Lei L, Zeng S, Li D, Cai W, Hou Y, Li C, Yin Y. Research on the Response Regularity of Smoke Fire Detectors Under Typical Interference Conditions in Ancient Buildings. Fire. 2025; 8(8):315. https://doi.org/10.3390/fire8080315
Chicago/Turabian StyleXia, Yunfei, Lei Lei, Siyuan Zeng, Da Li, Wei Cai, Yupeng Hou, Chen Li, and Yujie Yin. 2025. "Research on the Response Regularity of Smoke Fire Detectors Under Typical Interference Conditions in Ancient Buildings" Fire 8, no. 8: 315. https://doi.org/10.3390/fire8080315
APA StyleXia, Y., Lei, L., Zeng, S., Li, D., Cai, W., Hou, Y., Li, C., & Yin, Y. (2025). Research on the Response Regularity of Smoke Fire Detectors Under Typical Interference Conditions in Ancient Buildings. Fire, 8(8), 315. https://doi.org/10.3390/fire8080315
        
                                                
