Next Article in Journal
Frequency Spectrum Characterization of Infrared Thermal Images of Methane Diffusion Flames
Next Article in Special Issue
Remote Sensing for Wildfire Mapping: A Comprehensive Review of Advances, Platforms, and Algorithms
Previous Article in Journal
A Proposal for a Deflection-Based Evaluation Method for Barrel Support Brackets in the Extended Application of Fire Shutters in Logistics Facilities
 
 
Font Type:
Arial Georgia Verdana
Font Size:
Aa Aa Aa
Line Spacing:
Column Width:
Background:
Article

Can Fire Season Type Serve as a Critical Factor in Fire Regime Classification System in China?

College of Geological and Surveying Engineering, Tai Yuan University of Technology, Taiyuan 030024, China
*
Author to whom correspondence should be addressed.
Fire 2025, 8(7), 254; https://doi.org/10.3390/fire8070254
Submission received: 8 May 2025 / Revised: 21 June 2025 / Accepted: 26 June 2025 / Published: 28 June 2025
(This article belongs to the Special Issue Advances in Remote Sensing for Burned Area Mapping)

Abstract

Fire regime (FR) is a key element in the study of ecosystem dynamics, supporting natural resource management planning by identifying gaps in fire patterns in time and space and planning to assess ecological conditions. Due to the insufficient consideration of integrated characterization factors, especially the insufficient research on fire season types (FST), the current understanding of the spatial heterogeneity of fire patterns in China is still limited, and it is necessary to use FST as a key dimension to classify FR zones more accurately. This study extracted 13 fire characteristic variables based on Moderate Resolution Imaging Spectroradiometer (MODIS) burned area data (MCD64A1), active fire data (MODIS Collection 6), and land cover data (MCD12Q1) from 2001 to 2023. The study systematically analyzed the frequency, intensity, spatial distribution and seasonal characteristics of fires across China. By using data normalization and the k-means clustering algorithm, the study area was divided into five types of FR zones (FR 1–5) with significant differences. The burned areas of the five FR zones account for 67.76%, 13.88%, 4.87%, 12.94%, and 0.55% of the total burned area across the country over the 23-year study period, respectively. Among them, fires in the Northeast China Plain and North China Plain cropland areas (FR 1) exhibit a bimodal distribution, with the peak period concentrated in April and June, respectively; the southern forest and savanna region (FR 2) is dominated by high-frequency, small-scale, unimodal fires, peaking in February; the central grassland region (FR 3) experiences high-intensity, low-frequency fires, with a peak in April; the east central forest region (FR 4) is characterized by low-frequency, high-intensity fires; and the western grassland region (FR 5) experiences low-frequency fires with significant inter-annual fluctuations. Among the five zones, FST consistently ranks within the top five contributors, with contribution rates of 0.39, 0.31, 0.44, 0.27, and 0.55, respectively, confirming that the inclusion of FST is a reasonable and necessary choice when constructing FR zones. By integrating multi-source remote sensing data, this study has established a novel FR classification system that encompasses fire frequency, intensity, and particularly FST. This approach transcends the traditional single-factor classification, demonstrating that seasonal characteristics are indispensable for accurately delineating fire conditions. The resultant zoning system effectively overcomes the limitations of traditional methods, providing a scientific basis for localized fire risk warning and differentiated prevention and control strategies.

1. Introduction

Wildfires represent a significant manifestation of the interaction between natural ecosystems and human society, with their occurrence and propagation being influenced by a complex interplay of vegetation types, topographical conditions and human activities [1,2]. To better understand the attributes of wildfires, the concept of fire regime (FR) is employed to characterize the spatial and temporal features of wildfires, encompassing aspects such as fire occurrence rates, seasonality, intensity, severity, as well as the types and patterns of wildfires [3,4,5]. FR is profoundly shaped by climatic conditions, ecological characteristics and human activities, exhibiting considerable variability in wildfire frequency, intensity, scale, and seasonality, and displaying divergent trends across different regions [6,7,8,9,10].
China’s vast geographical expanse results in significant climatic and vegetation disparities, which contribute to pronounced heterogeneity in the characteristics and spatiotemporal patterns of wildfires across regions [11,12]. Previous studies have partitioned FR in China based on environmental factors [13], fire characteristics and vegetation types [14], but these studies tend to focus on a single or a few indicators, and there is a lack of comprehensive knowledge regarding the spatial differentiation of FR in China. However, a recent study has comprehensively analyzed the fire occurrence frequency, seasonality, intensity, fire size distribution, and the types of vegetation affected in China from 2001 to 2016 and zoned the FR [15]. This study only considered the fire season duration and fire peak month in terms of the characteristics of seasonality. Relevant studies have pointed out that fire season types (FST) are critical to ecosystems and fire management, and their variability directly affects plant population dynamics and the complexity of fire management [16,17]. By identifying and dividing different FST, the FR zoning system can be constructed more accurately to provide the basis for targeted fire management, which is of great significance for the development of scientific and reasonable fire prevention measures and ecological protection strategies. Therefore, this study tries to discuss whether FST serves as a critical factor in FR classification, aiming to enhance the completeness of fire-related indicators. In addition, to improve temporal coverage, the current fire dataset already reaches 2023.
When acquiring the factors of the above-mentioned FR zoning, a single data source often fails to meet the demands of multidimensional analysis. Different data products have their own advantages in terms of spatial resolution, temporal coverage, and data type; thus, it is particularly important to conduct a comprehensive analysis by integrating multiple data sources. The method of combining point and area data can overcome the limitations of a single data source, offering a more accurate and comprehensive fire risk assessment. The Moderate Resolution Imaging Spectroradiometer (MODIS) data, known for its high spatial and temporal coverage capability, has been widely used in fire point monitoring and burn area estimation [18,19,20]. Among them, the MCD64A1 has been extensively utilized in the extraction of fire data for the study area, particularly in large-scale fire area analysis and temporal variation studies [21,22]. Therefore it is especially suitable for evaluating annual average burned areas and providing high-quality spatial distribution information. The MODIS Collection 6 active fire data offer high timeliness and enhanced spatial coverage, making it well-suited for analyzing dynamic factors such as the annual average active fire density and fire frequency [23]. By integrating both datasets, a comprehensive reflection of the spatial distribution of fire occurrences can be achieved. This point-area integration approach to data fusion not only enhances the accuracy of fire monitoring but also contributes to a more comprehensive understanding of fire occurrence patterns, thereby providing more reliable support for fire risk assessment and management.
This study extracted 13 fire characterization variables based on 2001 to 2023 MODIS burned area data (MCD64A1), active fire data (MODIS Collection 6), and land cover data (MCD12Q1), covering core indicators such as mean annual area burned, mean annual active fire density, and fire seasonal types, to systematically characterize the frequency, intensity, spatial distribution and seasonal characteristics of fires. This study innovatively incorporated the FST factor, which addressed the shortcomings of traditional FR classifications in terms of fire season characteristics and established a multifactorial framework for FR zoning. Multi-source remote sensing data were utilized to derive these fire characteristic variables. This divided FR into distinct zones with significant differences, providing a scientific basis for the regionalization of fire risk warning and differentiated prevention and control. It further offered guidance for ecological conservation practices and land management, enabling measures to be planned according to local conditions.

2. Materials and Methods

2.1. Study Area

China is an extensive country with a diverse range of geography, climates, and ecosystems. From the temperate monsoon climate in the northeast to the subtropical monsoon climate in the south, and the arid and cold climate in the west, there are significant geographical and climatic differences, which directly influence the spatiotemporal distribution of fires and their occurrence mechanisms. Different vegetation types, such as forest, grassland, desert and cropland, are distributed throughout the country [24] (Figure 1a), with forest fires occurring mainly in the northeast and southwest, grassland fires in Inner Mongolia and Xinjiang, cropland fires in the North China Plain, and fewer fires in the arid regions of the west [25] (Figure 1b).

2.2. Satellite Data

In this study, three MODIS-based remote sensing data products were utilized to support fire monitoring and analysis from 2001 to 2023. The MCD64A1 data product is a monthly product generated by using MODIS cloudless surface reflectivity images with a resolution of 500 m and applying the active fire area mapping algorithm [26,27], which is suitable for analyzing the temporal distribution and burning area of the fire. The MODIS Collection 6(C6) detects active fire information using the standard MOD14/MYD14 fire points and thermal anomaly algorithms, including the time of fire, latitude and longitude, fire types, confidence, etc. [28]. The MCD12Q1 provides annual global land cover maps at 500 m resolution based on the IGBP classification, which includes 11 natural vegetation types, 3 developed and mosaic land types, and 3 non-vegetated land cover types [29]. Detailed information on the data is provided in Table 1.

2.3. Methods

The MCD64A1 burned area product and the MODIS C6 active fire product were used as national fire data sources, and the MCD12Q1 land cover data were used to distinguish fire types, to explore the spatial distribution characteristics of fires across China from 2001 to 2023, to carry out zoning and to establish FR. The workflow diagram of this study is shown in Figure 2.

2.3.1. Preprocessing of Fire Data

The confidence range of MODIS C6 data is 0–100%. In order to minimize the uncertainty in the process of fire detection, fire points with confidence ≥80% were selected in this study [30]. For the MCD12Q1 land cover data, the IGBP global vegetation classification scheme was selected. Due to varying degrees of annual change in land cover types, this study utilized datasets spanning from 2001 to 2023. After excluding fire-free areas such as permanent wetlands, snow and ice, the remaining 12 land cover types were aggregated into four categories, namely forests, savannas, grasslands and croplands [15].

2.3.2. Calculation of Fire Variables

This study constructed a multidimensional index system based on the concept of FR, encompassing six aspects: fire occurrence characteristics, inter-annual variability characteristics, seasonal characteristics, intensity characteristics, spatial distribution characteristics and vegetation distribution characteristics. The classification of each dimension is as follows: (1) Fire occurrence rate is characterized by the mean annual area burned (MAAB) and mean annual active fire density (MAFD), which represent the spatial scale and frequency of fire occurrences; (2) Inter-annual variability quantifying the inter-annual fluctuation patterns of fires using coefficient of variance in annual area burned (CVAB) and coefficient of variance in annual active fire density (CVFD); (3) Fire seasonality reflects the temporal dynamic characteristics through the fire season duration (FSD), fire peak month (FPM) and fire season types (FST);(4) Fire intensity characteristics reflect the intensity of energy release through fire radiative power (FRP);(5) Spatial distribution introduces the Gini index (GI) to quantify fire distribution heterogeneity;(6) Vegetation distribution assesses ecosystem heterogeneity through percentage of forests affected by fire (PFA), percentage of savannas affected by fire (PSA), percentage of grasslands affected by fire (PGA), and percentage of croplands affected by fire (PCA). Detailed information is provided in Table 2.
The study used a uniform spatial resolution (55 km×55 km grid) to standardize the multi-source remote sensing data, which was selected to balance the impact of terrain complexity on data analysis and to effectively describe the regional-scale fire distribution pattern. Variables 1, 3, 5, 7, and 9 were extracted from MCD64A1 burned area data, whereas variables 2, 4, 6, 8, 10, 11, 12 and 13 were extracted from MODIS C6 active fire data. By combining these two types of fire data, the problem of missing small fires due to detection threshold limitations of a single data source is effectively compensated, and this multi-source cooperative method improves the accuracy and reliability of fire monitoring.

2.3.3. Cluster Analysis of FR

Before cluster analysis, grid cells without data values were excluded, and the retained data were normalized [15]. Among them, the FPM is cyclical data and is normalized using sine and cosine representations, the FST is coded using the one-hot encoding, and the remaining fire variables were normalized using the min-max normalization.
The k-means clustering algorithm, which is used in this study, is a clustering algorithm based on the division of the sample set [31]. The k-means clustering divides the sample set into k subsets to form k classes, and divides n samples into k classes so that the distance between the center of each sample and its class is minimized, and each sample belongs to only one class. The k-means clustering has simplicity and efficiency and can recover the real clustering structure well, especially when faced with large-scale datasets. The k-means clustering analysis begins by determining the number of clusters, combining the elbow method [32] with the silhouette coefficient analysis [33] to decide the optimal number of clusters. The cluster analysis is then run several times, each time using a different initial cluster center, to ensure that the clustering results obtained are reliable and not a random result due to specific initial conditions, thus increasing the confidence of the cluster analysis [34].

3. Results

3.1. Characterization of Fire Variables

3.1.1. Occurrence of Fires

The occurrence in China obtained from the burned area data MCD64A1 and active fire data MODIS C6 is shown in Figure 3. Among them, areas with high values of annual average burned area (≥583 km2 per year) are mainly concentrated in the central and eastern agricultural regions, especially in the border region of Henan, Shandong, Anhui, and Jiangsu provinces (Figure 3a), whose burning area accounts for 42.3% of the national total. The northeastern provinces of Heilongjiang and Jilin are also heavily affected by fires, with an average burning area of 312 to 521 square kilometers per year. The spatial heterogeneity of the annual average active fire density was significant, with the highest value occurring along the eastern coast, up to 236 times per year, and the Yunnan and Guizhou regions in the southwest and Guangdong in south China constituting the second highest value area, with an average of 170 times per year (Figure 3b). The northeastern part of the country was at a medium level, indicating that fires in this region burned a large area in a single event.

3.1.2. Inter-Annual Variability of Fires

Inter-annual variability is the degree to which fires vary between years. In areas with frequent fires, the coefficient of inter-annual variation is lower; The inter-annual coefficient of variation is higher in areas where the frequency of fires fluctuates greatly between different years. The annual variation coefficient of burning area in arid and semi-arid regions of west-central region (such as western Gansu and northern Xinjiang) is as high as 4.79; the values for the southeastern coastal region are generally lower than 1, indicating that the inter-annual stability of burned area in this region is high (Figure 4a). The variation coefficient of annual active fire density in the Hengduan Mountains and central Xinjiang is the highest, reaching 4.79; in the southeast monsoon region, the value is stable at 0.3–0.7, and its low variability is consistent with Figure 3a (Figure 4b).

3.1.3. Seasonality of Fires

The duration of the fire season is longer in the central-eastern region as well as the northeastern and Yunnan regions, approaching two months, followed by a duration of nearly one month in the southwestern region, and a shorter duration of the fire season in the central-western region (Figure 5a). Peak months occur mainly in winter in South China, in summer and fall in the east, and in spring in the northeast (Figure 5b). Fire season types were bimodal across most of the central-eastern and northeastern regions, with a unimodal bimodal cross-distribution in the southern region, and no clear pattern of fire season types in the west-central region (Figure 5c).

3.1.4. Intensity of Fires

The distribution of fire radiant power shows obvious geographical differences, with the Greater Khingan Mountains and Lesser Khingan Mountains in the northeast and the Hengduan Mountains region in the southwest having higher fire radiant power close to 200 mW m−2 due to the extensive coverage of forests and grasslands, and the east-central region having lower fire radiant power, averaging 90 mW m−2 (Figure 6).

3.1.5. Spatial Distribution of Fires

The Gini index measures the inequality of fire impacts, that is, the degree to which the area burned by fire is concentrated in different regions. The Gini index is higher (>0.9) in the northeast and east-central regions, suggesting that in these regions the burned area is concentrated in a few large fires. In contrast, Gini indices are generally low (<0.5) in much of the south, indicating that the burned area is more equally distributed among many small fires. In areas where few fires occur, the Gini index is very low (Figure 7).

3.1.6. Vegetation Distribution Types

The spatial patterns of different ecosystems affected by fires are systematically analyzed in Figure 8. In forest ecosystems (Figure 8a), the percentage of forests affected by fires in the southern tropical monsoon rainforest zone (southern Yunnan and southwestern Guangxi) reached 68–92%, which was significantly higher than that of the temperate mixed coniferous forest zone in the northeastern part of the country (35–58%). In savanna ecosystems (Figure 8b), the percentage of fire-impacted savanna in the southern part of the country was as high as 87–100%; values in the savanna zone of the Northeast China Plain were only 12–29%. In grassland ecosystems (Figure 8c), the percentage of grassland affected by fires in the Hengduan Mountains amounted to 74–89%; the values in the typical grassland areas of Inner Mongolia showed an east-west gradient difference, with the east (62–78%) being significantly higher than the west (34–49%). In cropland ecosystems (Figure 8d), the percentage of cropland affected by fires in the black soil region of northeast China amounted to 55–83%; the percentage of cropland affected by fires in the cropland in the North China Plain amounted to 71–89%, which is consistent with the spatial distribution of slash-and-burn agricultural traditions.

3.2. Clusters and Zones of FR

3.2.1. Results of Clustering

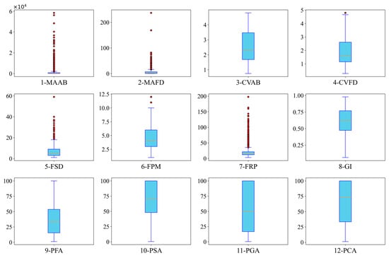
Figure 9 analyzes the distribution characteristics of fire variables in China using a box plot. Among them, the mean annual area burned, mean annual active fire density, fire season duration, and fire radiative power showed significant right-skewed distributions, with the 75th percentile values differing from the maximum values by several to several tens of times, indicating that in a few areas, fires occur much more frequently and intensely than in most parts of China. The distribution of the variation in annual burning area and annual active fire density is relatively concentrated, which reflects the moderate inter-annual fluctuation of fire scale in most regions. The median Gini index is 0.62, and the distribution is concentrated, reflecting the significant spatial clustering of the burned area. The types of vegetation affected by fires showed a gradient difference: the median forest was 32% lower than savanna (70%), grassland (50%), and cropland (73%). These findings provide a quantitative basis for understanding the spatial heterogeneity of fire in China.
In this study, the optimal number of clusters was determined by combining the elbow method with the silhouette coefficient analysis. Based on the elbow criterion, the sum of squares curves of the distance from each point corresponding to different cluster numbers to its nearest cluster center were drawn. It is found that when the number of clusters increases to 5, the decline rate of the total sum of squares shows a significant inflection point. This is also confirmed by the silhouette coefficient method, which calculates that the average silhouette coefficient when k = 5 is higher than for the rest of the classifications (Figure 10). This double verification effectively avoids the bias of subjective judgment, and finally determines it as a type 5-category zoning scheme.

3.2.2. Zones of FR

Figure 11 shows the spatial distribution of FR in China, and the comparison of fire characteristics and their key parameters in each zone is as follows (Table 3):
FR 1: In the cropland areas of the Northeast China Plain and North China Plain, both MAAB (2408 ha yr−1) and MAFD (10.2 counts yr−1) topped the list for each zone, indicating that fire incidence in this region is relatively high and the burned area is generally large. Fire activity showed a bimodal distribution. In the North China Plain, June is the most concentrated period throughout the year, while in the Northeast China Plain, it is concentrated in April. The Gini index was 0.81, with high concentration, and the burned area was concentrated in cultivated land, reflecting a fire pattern dominated by human activities.
FR 2: In the southern region, forest and savanna fires were frequent (MAFD = 10.3 counts yr−1) and small (MAAB = 420 ha yr−1). This type of fire generally has a high intensity (FRP = 19.7 mW m−2) and a long burning duration (FSD = 41 days). The fire type is mainly unimodal distribution, and the peak of fire is concentrated in February. GI = 0.65 (moderate concentration), the fires are concentrated in the savanna and forest edges.
FR 3: In the central region, grassland fires are characterized by irregular distribution. The fire intensity was generally high (FRP = 21.3 mW m−2), but there was spatial heterogeneity in the burned area (GI = 0.47), the fire frequency was low (MAFD = 1.6 counts yr−1), and the fire scale was generally small, the impact of a single fire was limited, and the peak fire activity was concentrated in April.
FR 4: In parts of the central and northeast regions, the characteristics of forest fires are more obvious. These areas generally have higher fire intensity (FRP = 17.7 mW m−2) and larger single burn areas (MAAB = 103 ha yr−1), but the frequency of fires is relatively low. In terms of timing, the peak of fires occurs in October of each year.
FR 5: The western region is dominated by grassland fires. The frequency of these fires is low (MAFD = 0.5 counts yr−1), and the intensity of each fire is relatively low. As a result, the inter-annual variability of these fires is high (CVAB = 3.8), and the occurrence of fires may fluctuate considerably between years.

3.2.3. Impacts of Variables on FR Zoning

In order to investigate the influence of various variables on the clustering results, we employed a multifactor analysis of variance to assess whether there were significant differences in the means of each variable across the five zones. If a variable exhibits substantial mean differences across zones, it indicates that the variable contributes significantly to distinguishing between the zones. From the results of the analysis (Figure 12), it can be seen that the factors that are more important for zoning include fire peak month, percentage of croplands affected by fire, fire season type, mean annual area burned and Gini index. The F-statistics of FPM and PCA are significantly higher than those of the other factors. As shown in Table 3, the values of FPM vary across the five zones, resulting in a large inter-class difference. This observation is further confirmed by Figure 5b and Figure 8d, which also indicate a relatively consistent intra-class variation. The relatively high F-values of MAAB and GINI can be attributed to the extensive burned areas and the high prevalence of unstable fire events in regions predominantly located in FR1 and FR2. This results in higher MAAB and GINI values for these two regions compared to others, leading to substantial inter-class differences. The FST of the bimodal pattern ranks third, as the clustering analysis in this study revealed that FR3, FR4, and FR5 did not clearly exhibit peak-type patterns. This is because the fire in these regions is rare and random, and difficult to extract, leading to a temporal distribution of fire that does not follow the typical unimodal or bimodal pattern [35,36]. Moreover, as shown in Figure 5c, the bimodal pattern is predominantly distributed in FR1, leading to a higher F-statistic value. This further demonstrates that the FST has a significant impact on the clustering outcomes.
The five key factors discussed above reflect the characteristics of fire from distinct perspectives. FPM and FST primarily characterize the seasonal characterization of fire, while PCA reveals vegetation cover types of the burned areas. MAAB reflects changes in the burned area, and GINI predominantly captures the spatial distribution of the fire. These factors encompass diverse dimensions, providing a comprehensive description of the variability and spatial characteristics of fire. The analysis indicates that two factors jointly contribute to the representation of burn duration, highlighting the complexity of temporal features that cannot be fully captured by any single factor. In the analysis incorporating FST, besides the unimodal pattern at 16, other peaks occur at 3 and 6, further emphasizing the significance of FST in FR analysis. These results suggest that cluster analysis should integrate multiple factors rather than relying solely on any single factor to more accurately reflect the FR characteristics of different regions.

4. Discussion

4.1. Importance of FST in the FR Zones

Chen et al. developed a six-category zoning system for China’s FR by analyzing characteristics such as fire occurrence frequency, seasonality, intensity, fire size distribution, and affected vegetation types [15]. And Zhang et al. further pointed out that FST has a key significance in the establishment and optimization of FR by influencing the interactions of ecosystem function, climate change response and human activities [37]. Therefore, based on the zoning framework of Chen et al., this study integrated the factor of FST, aiming to provide additional valuable information and new perspectives to reveal the fire mechanism in China. To investigate the importance of the FST factor in constructing FR partitions, we performed clustering analysis with and without the FST factor based on multidimensional indicators, resulting in a five-class partitioning for both scenarios. Subsequently, by calculating the contribution of each factor in the different clusters, we can determine which factors play a dominant role in specific clusters. As shown in Figure 13a, the contribution of the FST varies across different clusters, with its influence significantly surpassing that of other factors in certain clusters. For example, in FR1, the contribution of the bimodal pattern is significant, with a weight of 0.39; in FR2, the contribution of the unimodal pattern reaches 0.31, indicating that these two clusters exhibit distinct seasonal characteristics in their fire occurrence patterns. In FR3, FR4 and FR5, the contribution of the random pattern is higher, with values of 0.44, 0.27, and 0.55, respectively, suggesting that the fire occurrence patterns in these clusters are irregular and lack distinct seasonal characteristics. The result of factor contribution after removing the FST shows (Figure 13b) that the contribution of other factors in the clusters has changed, with the weight of certain factors (such as CVAB and CVFD) increasing. This suggests that seasonal factors may obscure the contribution of certain factors. Overall, the FST has strong explanatory power over the clustering features and significantly influences the performance of the clustering results. This finding highlights the critical role of FST in deeply understanding regional variations in fire environments and in constructing truly meaningful FR zones. FST is not merely a temporal sequence describing fire characteristics, but rather a comprehensive temporal manifestation of climate, vegetation, and human activities [38]. Ignoring the complex patterns of FST would obscure the genuine heterogeneity across different FR zones. This is particularly crucial for countries like China, where geographic complexity and diverse fire seasonality prevail, enabling more precise characterization of region-specific patterns and providing a solid foundation for differentiated fire risk management. On a global scale, adopting FST as a standardized indicator facilitates the development of a unified zonation framework, thereby advancing the integration of global FR patterns. Positioning FST as a key determinant in constructing FR zones offers vital theoretical support for more nuanced and refined FR research in the future.

4.2. Drivers of FR Zones

Forest and grassland ecosystems in China show significant spatial differences in fire characteristics and driving mechanisms, which lead to the subdivision of forests and grasslands into different subcategories in fire zoning. Forest ecosystems can be divided into two subclasses (FR 2 and 4), the differences of which are mainly due to the spatial differences of human activity intensity and climate driving factors. The southern forest region (FR 2) is primarily characterized by savanna types (Figure 13a), exhibiting high-frequency, small-scale fire characteristics, with generally high fire intensity and longer burn durations. Fires in this region are strongly influenced by climate factors, particularly those closely related to fluctuations in temperature rise and precipitation changes [39]. In the central and northeast forest region (FR 4), cropland types predominate (Figure 13a), with fires characterized by low frequency and high intensity. Human activity variables have significant explanatory power regarding fire density, indicating that human factors dominate in this region [40]. This subclassification reveals the differential driving mechanism of human factors and natural climate on fire dynamics.
The grassland ecosystem also showed obvious regional heterogeneity and was divided into two subclasses: central (FR 3) and western (FR 5). The central grassland region (FR 3) exhibits low-frequency, small-scale fire characteristics, with peak fires in April closely related to natural factors such as spring lightning strikes and strong winds [15], and high fire intensity due to higher available fuel loads, more complete combustion, and a greater proportion of total theoretical calorific value released [41]; In contrast, the occurrence of fires in the western grassland areas (FR 5) is often closely related to extreme climatic events (e.g., drought), and its low-frequency and low-intensity characteristics may be related to the complex and variable climatic conditions, uneven distribution of precipitation, and fragile ecosystems in the western region. This regional differentiation essentially reflects the differences in the ability of regional ecosystem stability to regulate fire.
It is noteworthy that the climate-distinct Northeast China Plain and North China Plain are categorized in the same fire region (FR 1), with the fundamental cause being the strong shaping effect of human agricultural activities on the spatiotemporal pattern of fires. Despite the latitudinal and climatic differences between the two areas, regular straw burning activities during the spring and fall harvest periods form a bimodal pattern of distribution, and crop residue cleanup during these two periods is the main cause of the high incidence of fires [42]. This temporal synchronization of human activity overrides the spatial heterogeneity of climate elements, resulting in the same pattern of fire season characteristics. In particular, while there are differences in the scale of burning between extensive mechanized farming in the Northeast China Plain and small-scale agricultural burning patterns in the North China Plain, both show typical anthropogenic fire characteristics of low inter-annual fluctuation and strong temporal regularity.

4.3. Limitations and Prospect

The literature points out that when conducting geographical regionalization analysis, some clustering methods are widely used [43], and our paper confirms this view. The k-means clustering algorithm is both algorithmically simple and computationally efficient, offering significant advantages when handling large-scale data. It is particularly suitable for delineating FR in this study using remote sensing data. However, machine learning approaches have been widely employed to estimate the probability of forest fire occurrence [44] and the size of the final burned area when a fire occurs [45] in recent years, but it has not been applied to FR zoning. Future studies may consider comparing these methods and selectively combining them according to specific needs.
In this study, the FST failed to distinguish specific types in three out of the five FR zones (Table 3), which may not accurately reflect the actual fire seasonality. Therefore, we analyzed the peak maps of all pixels over a 23-year period within each of the five zones (Figure 14). Among them, FR1 and FR2 have the same results as in Table 3. In addition to the known bimodal distribution of FR1 and unimodal distribution of FR2, FR3 and FR4 may be bimodal, and FR5 may be random peaks. Our analysis of the reasons for this difference includes the statistical methods. The mode is counted in Table 3, and all pixels are counted in Figure 14. In addition, it may be related to the method of peak classification type. To enhance the accuracy of classification, we plan to introduce a more systematic peak identification method in the future, aiming to further refine the categorization and analysis of FST.
Although this study effectively analyzed the spatial pattern of fires in China through multidimensional characterization indicators and remote sensing data, it was unable to quantify the immediate and lagged effects of climate factors on fire responses at the scale of each zone due to the lack of climate factor data. Future studies can consider building a climate-fire framework and using a time series analysis method to quantitatively reveal the synchronous response characteristics of key climate variables in each fire zone and the law of hysteresis effect, so as to provide a time-series dimension scientific basis for the formulation of regionally differentiated fire prevention strategies.

5. Conclusions

In this study, the spatial distribution pattern of FR and its driving mechanism in China were revealed by multi-source remote sensing data and a spatial clustering method. The five types of fire zones show significant differences in frequency, intensity, seasonality, and spatial distribution: fires in the Northeast China Plain and North China Plain cropland areas (FR 1) exhibit a bimodal distribution, with the peak period concentrated in April and June, respectively; the southern forest and savanna region (FR 2) is dominated by high-frequency, small-scale, unimodal fires, peaking in February; the central grassland region (FR 3) experiences high-intensity, low-frequency fires, with a peak in April; the east central forest region (FR 4) is characterized by low-frequency, high-intensity fires; and the western grassland region (FR 5) experiences low-frequency fires with significant inter-annual fluctuations. The results demonstrate that FST constitutes a critical factor in the FR classification system in China. The distinct seasonal patterns observed across the five fire zones demonstrate that FST effectively captures the fundamental characteristics of fire. These seasonal signatures provide crucial insights for fire prediction and risk assessment. Furthermore, the incorporation of FST significantly enhances both the ecological relevance and practical utility of fire classification systems.
Future research needs to combine high-resolution remote sensing data with climate data to quantify the contribution of drivers and construct fire risk prediction models to support precision prevention and control and ecological security maintenance. The results of the study lay the foundation for further exploration of the interrelationships between fires, ecosystems and climate change.

Author Contributions

Conceptualization, methodology, and writing—original draft preparation, H.L. and S.Z.; writing—review and editing, X.L.; code and software, Y.Z.; formal analysis, F.Z. All authors have read and agreed to the published version of the manuscript.

Funding

This work is financially supported by the National Natural Science Foundation of China (No. 42101414).

Institutional Review Board Statement

The study did not involve humans or animals.

Informed Consent Statement

The study did not involve humans.

Data Availability Statement

No new data were created or analyzed in this study. Data sharing is not applicable to this article.

Acknowledgments

We thank the National Aeronautics and Space Administration for providing the study with the burned area data, active fire data and land cover data.

Conflicts of Interest

The authors declare no conflicts of interest.

References

  1. Abatzoglou, J.T.; Williams, A.P.; Boschetti, L.; Zubkova, M.; Kolden, C.A. Global patterns of interannual climate-fire relationships. Glob. Chang. Biol. 2018, 24, 5164–5175. [Google Scholar] [CrossRef] [PubMed]
  2. Chuvieco, E.; Mouillot, F.; Werf, G.R.V.D.; Miguel, J.S.; Tanase, M.; Koutsias, N.; García, M.; Yebra, M.; Padilla, M.; Gitas, I.; et al. Historical background and current developments for mapping burned area from satellite Earth observation. Remote Sens. Environ. 2019, 225, 45–64. [Google Scholar] [CrossRef]
  3. Archibald, S.; Lehmann, C.E.R.; Gómez-Dans, J.L.; Bradstock, R.A. Defining pyromes and global syndromes of fire regimes. Proc. Natl. Acad. Sci. USA 2013, 110, 6442–6447. [Google Scholar] [CrossRef]
  4. Morgan, P.; Hardy, C.C.; Swetnam, T.W.; Rollins, M.G.; Long, D.G. Mapping fire regimes across time and space: Understanding coarse and fine-scale fire patterns. Int. J. Wildland Fire 2001, 10, 329–342. [Google Scholar] [CrossRef]
  5. Barros, A.M.G.; Pereira, J.M.C. Wildfire selectivity for land cover type: Does size matter? PLoS ONE 2018, 9, e84760. [Google Scholar] [CrossRef]
  6. Vidal-Riveros, C.; Reyes, W.J.W.; Bieng, M.A.N.; Souza-Alonso, P. Assessing fire regimes in the Paraguayan Chaco: Implications for ecological and fire management. Fire 2024, 7, 347. [Google Scholar] [CrossRef]
  7. Hanes, C.C.; Wang, X.; Jain, P.; Parisien, M.A.; Little, J.M.; Flannigan, M.D. Fire-regime changes in Canada over the last half century. Can. J. For. Res. 2018, 49, 256–269. [Google Scholar] [CrossRef]
  8. Bradstock, R.A. A biogeographic model of fire regimes in Australia: Current and future implications. Glob. Ecol. Biogeogr. 2010, 19, 145–158. [Google Scholar] [CrossRef]
  9. Ribeiro, N.S.; Cangela, A.; Chauque, A.; Bandeira, R.R.; Ribeiro-Barros, A.I. Characterisation of spatial and temporal distribution of the fire regime in Niassa National Reserve, northern Mozambique. Int. J. Wildland Fire 2017, 26, 1021–1029. [Google Scholar] [CrossRef]
  10. Majdalani, G.; Koutsias, N.; Faour, G.; Adjizian-Gerard, J.; Mouillot, F. Fire regime analysis in Lebanon (2001–2020): Combining remote sensing data in a scarcely documented area. Fire 2022, 5, 141. [Google Scholar] [CrossRef]
  11. Chen, Y.; Li, Y.; Wang, X.; Niu, Y. Advances in ecological stoichiometry in typically and ecologically vulnerable regions of China. Acta Ecol. Sin. 2021, 41, 4213–4225. [Google Scholar]
  12. Yu, Y.; Xie, Z. A simulation study on climatic effects of land cover change in China. Adv. Clim. Change Res. 2013, 4, 117–126. [Google Scholar]
  13. Wu, Z.; He, S.H.; Yang, J.; Liang, Y. Defining fire environment zones in the boreal forests of northeastern China. Sci. Total Environ. 2015, 518–519, 106–116. [Google Scholar] [CrossRef]
  14. Zong, X.; Tian, X.; Liu, J. A fire regime zoning system for China. Front. For. Glob. Change 2021, 4, 717499. [Google Scholar] [CrossRef]
  15. Chen, D.; Pereira, J.M.C.; Masiero, A.; Pirotti, F. Mapping fire regimes in China using MODIS active fire and burned area data. Appl. Geogr. 2017, 85, 14–26. [Google Scholar] [CrossRef]
  16. Wotton, B.M.; Flannigan, M.D. Length of the fire season in a changing climate. For. Chron. 1993, 69, 187–192. [Google Scholar] [CrossRef]
  17. Miller, R.G.; Tangney, R.; Enright, N.J.; Fontaine, J.B.; Merritt, D.J.; Ooi, M.K.J.; Ruthrof, K.X.; Miller, B.P. Mechanisms of fire seasonality effects on plant populations. Trends Ecol. Evol. 2019, 34, 1104–1117. [Google Scholar] [CrossRef]
  18. Koutsias, N.; Pleniou, M. A rule-based semi-automatic method to map burned areas in Mediterranean using Landsat images-revisited and improved. Int. J. Digital Earth 2021, 14, 1602–1623. [Google Scholar] [CrossRef]
  19. Chuvieco, E.; Giglio, L.; Justice, C. Global characterization of fire activity: Toward defining fire regimes from Earth observation data. Global Change Biol. 2008, 14, 1488–1502. [Google Scholar] [CrossRef]
  20. Santos, S.M.B.D.; Bento-Gonçalves, A.; Vieira, A. Research on wildfires and remote sensing in the last three decades: A bibliometric analysis. Forests 2021, 12, 604. [Google Scholar] [CrossRef]
  21. Jiao, M.; Quan, X.; He, B.; Yao, J. Remote sensing-based spatial-temporal characteristics of forest grassland fires in Sichuan Province from 2001 to 2021. Remote Sens. 2024, 28, 2984–3001. [Google Scholar] [CrossRef]
  22. Li, M.; Li, N.; Na, R.; Yin, S.; Xu, Z.; Bi, L. Temporal and spatial pattern evolution and influencing factors of wildfire in the Da Hinggan Mountains from 2001 to 2021. Sci. Geogr. Sin. 2025, 45, 1355–1368. [Google Scholar] [CrossRef]
  23. Liu, H.; Qian, Y.; Kong, J.; Zhang, C.; Liu, W. Temporal and spatial variations of vegetation fires in Inner Mongolia from 2003 to 2019 based on FIRMS_MODIS. For. Sci. Technol. Inf. 2023, 55, 1–8. [Google Scholar]
  24. Friedl, M.A.; Sulla-Menashe, D.; Tan, B.; Schneider, A.; Ramankutty, N.; Sibley, A.; Huang, X. MODIS Collection 5 global land cover: Algorithm refinements and characterization of new datasets. Remote Sens. Environ. 2009, 114, 168–182. [Google Scholar] [CrossRef]
  25. Tian, X.; Zhao, F.; Shu, L.; Wang, M. Distribution characteristics and the influence factors of forest fires in China. For. Ecol. Manag. 2013, 310, 460–467. [Google Scholar] [CrossRef]
  26. Boschetti, L.; Roy, D.P.; Giglio, L.; Huang, H.; Zubkova, M.; Humber, M.L. Global validation of the collection 6 MODIS burned area product. Remote Sens. Environ. 2019, 235, 111490. [Google Scholar] [CrossRef]
  27. Giglio, L.; Boschetti, L.; Roy, D.P.; Humber, M.L.; Justice, C.O. The Collection 6 MODIS burned area mapping algorithm and product. Remote Sens. Environ. 2018, 217, 72–85. [Google Scholar] [CrossRef]
  28. Hu, Y.; Wang, X.; Chen, Y.; Guo, M. Comparative analysis of forest fire driving in different forest regions of China based on the geographical detector approach. Acta Ecol. Sin. 2025, 45, 227–238. [Google Scholar]
  29. Li, X.; Liu, Q.; Qin, X.; Liu, S.; Wang, C. Method for national fuel types classification based on multi-source data. Remote Sens. 2022, 26, 480–492. [Google Scholar] [CrossRef]
  30. Gu, X.; Wu, Z.; Zhang, Y.; Yan, S.; Fu, J. Analysis on temporal and spatial characteristics of forest fires in Jiangxi province based on MODIS Data from 2001 to 2015. Guangdong Agric. Sci. 2018, 45, 129–134. [Google Scholar]
  31. Steinley, D. K-means clustering: A half-century synthesis. Br. J. Math. Stat. Psychol. 2006, 59, 1–34. [Google Scholar] [CrossRef] [PubMed]
  32. Zhong, Z.; Li, M.; Zhang, Y. Improved k-means clustering algorithm for adaptive k value in machine learning. Comput. Eng. Des. 2021, 42, 136–141. [Google Scholar]
  33. Lai, H.; Huang, T.; Lu, B.L.; Zhang, S.; Xiaog, R. Silhouette coefficient-based weighting k-means algorithm. Neural Comput. Appl. 2025, 37, 3061–3075. [Google Scholar] [CrossRef]
  34. Steinley, D. Stability analysis in K-means clustering. Br. J. Math. Stat. Psychol. 2008, 61, 255–273. [Google Scholar] [CrossRef]
  35. Wang, Z.; Huang, R.; Yao, Q.; Zong, X.; Tian, X.; Zheng, B.; Trouet, V. Strong winds drive grassland fires in China. Environ. Res. Lett. 2023, 18, 015005. [Google Scholar] [CrossRef]
  36. Hua, W.; Zhou, L.; Jiang, Y.; Zhou, L.; Xu, X.; Chen, H. Changes in fire-season burned area in northeastern China regulated by tropical North Atlantic variability. Environ. Res. Lett. 2024, 19, 124086. [Google Scholar] [CrossRef]
  37. Zhang, W.; Liu, R.; He, J.; Liu, Y.; Wu, C. Global fire season types and their characteristics based on MODIS burned area data. Chin. Geogr. Sci. 2025, 35, 374–383. [Google Scholar] [CrossRef]
  38. Whitlock, C.; Higuera, P.E.; McWethy, D.B.; Briles, C.E. Paleoecological perspectives on fire ecology: Revisiting the fire-regime concept. Open Ecol. J. 2010, 3, 6–23. [Google Scholar] [CrossRef]
  39. Guo, F.; Su, Z.; Wang, G.; Sun, L.; Tigabu, M.; Yang, X.; Hu, H. Understanding fire drivers and relative impacts in different Chinese forest ecosystems. Sci. Total Environ. 2017, 605, 411–425. [Google Scholar] [CrossRef]
  40. Wu, Z.; He, H.S.; Yang, J.; Liu, Z.; Liang, Y. Relative effects of climatic and local factors on fire occurrence in boreal forest landscapes of northeastern China. Sci. Total Environ. 2014, 493, 472–480. [Google Scholar] [CrossRef]
  41. Wooster, M.J.; Roberts, G.; Perry, G.L.W.; Kaufman, Y.J. Retrieval of biomass combustion rates and totals from fire radiative power observations: FRP derivation and calibration relationships between biomass consumption and fire radiative energy release. J. Geophys. Res. 2005, 110, D24311. [Google Scholar] [CrossRef]
  42. Huang, X.; Li, M.; Li, J.; Song, Y. A high-resolution emission inventory of crop burning in fields in China based on MODIS Thermal Anomalies/Fire products. Atmos. Environ. 2012, 50, 9–15. [Google Scholar] [CrossRef]
  43. Gao, J.; Huang, J.; Li, S.; Cai, Y. The new progresses and development trends in the research of physio-geographical regionalization in China. Prog. Phys. Geog. 2010, 29, 1400–1407. [Google Scholar]
  44. Pang, Y.; Li, Y.; Feng, Z.; Feng, Z.; Zhao, Z.; Chen, S.; Zhang, H. Forest fire occurrence prediction in China based on machine learning methods. Remote Sens. 2022, 14, 5546. [Google Scholar] [CrossRef]
  45. Coffield, S.R.; Graff, C.A.; Chen, Y.; Smyth, P.; Foufoula-Georgiou, E.; Randerson, J.T. Machine learning to predict final fire size at the time of ignition. Int. J. Wildland Fire 2019, 28, 861–873. [Google Scholar] [CrossRef]
Figure 1. (a) Map of main vegetation types in 2012. (b) Fire points distribution from 2001 to 2023. Bar chart (inset) The percentage of fire points distributed in each vegetation type of the total fire points.
Figure 1. (a) Map of main vegetation types in 2012. (b) Fire points distribution from 2001 to 2023. Bar chart (inset) The percentage of fire points distributed in each vegetation type of the total fire points.
Fire 08 00254 g001
Figure 2. Research framework and workflow of this study.
Figure 2. Research framework and workflow of this study.
Fire 08 00254 g002
Figure 3. Occurrence of fires. (a) Mean annual area burned, which indicates the average area burned by fires in the region each year, with darker colors representing a larger burned area in the region. (b) Mean annual active fire density, which indicates the frequency of fires per unit area per year, with darker colors representing more frequent fire activity.
Figure 3. Occurrence of fires. (a) Mean annual area burned, which indicates the average area burned by fires in the region each year, with darker colors representing a larger burned area in the region. (b) Mean annual active fire density, which indicates the frequency of fires per unit area per year, with darker colors representing more frequent fire activity.
Fire 08 00254 g003
Figure 4. Inter-annual variability of fires. (a) Inter-annual CoV in annual area burned, which indicates the degree of change in burned area between years, with darker colors representing greater inter-annual variability. (b) Inter-annual CoV in annual active fire density, which indicates the degree of change in active fire density between years, with darker colors representing more significant inter-annual variability.
Figure 4. Inter-annual variability of fires. (a) Inter-annual CoV in annual area burned, which indicates the degree of change in burned area between years, with darker colors representing greater inter-annual variability. (b) Inter-annual CoV in annual active fire density, which indicates the degree of change in active fire density between years, with darker colors representing more significant inter-annual variability.
Fire 08 00254 g004
Figure 5. Seasonality of fires. (a) Fire season duration, which indicates how long fire activity lasts during the year, with darker colors indicating a longer fire season. (b) Fire peak month, which indicates the months of the year with the most frequent fire activities, with different colors representing different peak months. (c) Fire season types, which indicate the type of fire season in different regions (unimodal, bimodal, random), are represented by different colors representing different types of fire season patterns.
Figure 5. Seasonality of fires. (a) Fire season duration, which indicates how long fire activity lasts during the year, with darker colors indicating a longer fire season. (b) Fire peak month, which indicates the months of the year with the most frequent fire activities, with different colors representing different peak months. (c) Fire season types, which indicate the type of fire season in different regions (unimodal, bimodal, random), are represented by different colors representing different types of fire season patterns.
Fire 08 00254 g005
Figure 6. Intensity of fires. Fire radiative power, which indicates the intensity of the energy released by the fires, the darker the color, the higher the fire radiative power and the more intense the fire.
Figure 6. Intensity of fires. Fire radiative power, which indicates the intensity of the energy released by the fires, the darker the color, the higher the fire radiative power and the more intense the fire.
Fire 08 00254 g006
Figure 7. Spatial distribution of fires. Gini index, a measure of the unevenness of the spatial distribution of fires, with values closer to 1 indicating a more concentrated distribution of fires and values closer to 0 indicating a more uniform distribution.
Figure 7. Spatial distribution of fires. Gini index, a measure of the unevenness of the spatial distribution of fires, with values closer to 1 indicating a more concentrated distribution of fires and values closer to 0 indicating a more uniform distribution.
Fire 08 00254 g007
Figure 8. Vegetation distribution types. (a) The percentage of forests affected by fire indicates the proportion of the forest area affected by fires. (b) The percentage of savannas affected by fire indicates the proportion of the savanna area affected by fires. (c) The percentage of grasslands affected by fire indicates the proportion of the grassland area affected by fires. (d) The percentage of croplands affected by fire indicates the proportion of the cropland area affected by fires.
Figure 8. Vegetation distribution types. (a) The percentage of forests affected by fire indicates the proportion of the forest area affected by fires. (b) The percentage of savannas affected by fire indicates the proportion of the savanna area affected by fires. (c) The percentage of grasslands affected by fire indicates the proportion of the grassland area affected by fires. (d) The percentage of croplands affected by fire indicates the proportion of the cropland area affected by fires.
Fire 08 00254 g008
Figure 9. Box-plot distribution of fire variables. The bottom and top edges of the blue box indicate the 25th percentile and 75th percentile values, respectively; the red markers in the box indicate the median; outliers are indicated by red dots; and the small blue horizontal line markers indicate the maximum and minimum values of the data points.
Figure 9. Box-plot distribution of fire variables. The bottom and top edges of the blue box indicate the 25th percentile and 75th percentile values, respectively; the red markers in the box indicate the median; outliers are indicated by red dots; and the small blue horizontal line markers indicate the maximum and minimum values of the data points.
Fire 08 00254 g009
Figure 10. The value of the silhouette coefficient with cluster number 5. Each horizontal line represents the distribution of a cluster, the horizontal axis represents the value of the profile coefficient, the vertical axis represents the different cluster numbers, the width of each horizontal line represents the number of samples in that cluster, and the red dashed line represents the mean value of the profile coefficient.
Figure 10. The value of the silhouette coefficient with cluster number 5. Each horizontal line represents the distribution of a cluster, the horizontal axis represents the value of the profile coefficient, the vertical axis represents the different cluster numbers, the width of each horizontal line represents the number of samples in that cluster, and the red dashed line represents the mean value of the profile coefficient.
Fire 08 00254 g010
Figure 11. Fire regime zones in China.
Figure 11. Fire regime zones in China.
Fire 08 00254 g011
Figure 12. Impacts of variables on FR zoning.
Figure 12. Impacts of variables on FR zoning.
Fire 08 00254 g012
Figure 13. Factor contribution in each cluster. (a) Thirteen factors, including FST. (b) Twelve factors excluding FST. Both figures show only the top five factors with the highest contribution within each class.
Figure 13. Factor contribution in each cluster. (a) Thirteen factors, including FST. (b) Twelve factors excluding FST. Both figures show only the top five factors with the highest contribution within each class.
Fire 08 00254 g013
Figure 14. Fire season types of the five fire regime zones. (a) Fire season type for FR1. (b) Fire season type for FR2. (c) Fire season type for FR3. (d) Fire season type for FR4. (e) Fire season type for FR5.
Figure 14. Fire season types of the five fire regime zones. (a) Fire season type for FR1. (b) Fire season type for FR2. (c) Fire season type for FR3. (d) Fire season type for FR4. (e) Fire season type for FR5.
Fire 08 00254 g014
Table 1. Summary of Data Sources.
Table 1. Summary of Data Sources.
Data ProductSatellite PlatformSpatial ResolutionTemporal ResolutionTime SpanData Source
MCD64A1Terra/Aqua500 mMonthly2001–2023https://ladsweb.modaps.eosdis.nasa.gov/ (accessed on 31 July 2024)
MODIS C61 kmDailyhttps://firms.modaps.eosdis.nasa.gov/active_fire/ (accessed on 31 July 2024)
MCD12Q1500 mAnnualhttps://ladsweb.modaps.eosdis.nasa.gov/ (accessed on 31 July 2024)
Table 2. List of fire variables.
Table 2. List of fire variables.
No.CategoryAbbr.VariableUnit
1Occurrence of firesMAABMean Annual Area Burnedha yr−1
2MAFDMean Annual Active Fire Densitycounts yr−1
3Inter-annual variability of firesCVABInter-annual CoV * in Annual Area Burned
4CVFDInter-annual CoV * in Annual Active Fire Density
5Seasonality of firesFSDFire Season Durationdays
6FPMFire Peak Month
7FSTFire Season Type
8Intensity of firesFRPFire Radiative PowermW m−2
9Spatial distribution of firesGIGini Index
10Vegetation distribution typesPFAPercentage of Forests Affected by Fire%
11PSAPercentage of Savannas Affected by Fire%
12PGAPercentage of Grasslands Affected by Fire%
13PCAPercentage of Croplands Affected by Fire%
* CoV = Coefficient of Variance.
Table 3. Characterization of fire variables in each zone.
Table 3. Characterization of fire variables in each zone.
12345
MAAB (ha yr−1)High (2408)High (420)Low (26)Medium (103)Low (10)
MAFD (counts yr−1)High (10.2)High (10.3)Low (1.6)Medium (5.6)Low (0.5)
CVABLow (1.8)Low (1.9)High (3.1)Medium (2.6)High (3.8)
CVFDLow (1.4)Low (1.2)High (2.6)High (2.3)Low (1.2)
FSD (days)741231
FPM63410NA *
FSTBimodalUnimodalNA *NA *NA *
FRP (mW m−2)Medium (16.4)High (19.7)High (21.3)Medium (17.7)Low (9.8)
GIHigh (0.81)Medium (0.65)Medium (0.47)Medium (0.59)Low (0.28)
Main vegetation typeCroplandsForestsGrasslandsForestsGrasslands
NA = Not Available. * For FR3, FR4 and FR5, the FPM and FST are absent due to the infrequency of fire in these regions and insufficient monitoring coverage.
Disclaimer/Publisher’s Note: The statements, opinions and data contained in all publications are solely those of the individual author(s) and contributor(s) and not of MDPI and/or the editor(s). MDPI and/or the editor(s) disclaim responsibility for any injury to people or property resulting from any ideas, methods, instructions or products referred to in the content.

Share and Cite

MDPI and ACS Style

Li, H.; Zhang, S.; Lian, X.; Zhang, Y.; Zhao, F. Can Fire Season Type Serve as a Critical Factor in Fire Regime Classification System in China? Fire 2025, 8, 254. https://doi.org/10.3390/fire8070254

AMA Style

Li H, Zhang S, Lian X, Zhang Y, Zhao F. Can Fire Season Type Serve as a Critical Factor in Fire Regime Classification System in China? Fire. 2025; 8(7):254. https://doi.org/10.3390/fire8070254

Chicago/Turabian Style

Li, Huijuan, Sumei Zhang, Xugang Lian, Yuan Zhang, and Fengfeng Zhao. 2025. "Can Fire Season Type Serve as a Critical Factor in Fire Regime Classification System in China?" Fire 8, no. 7: 254. https://doi.org/10.3390/fire8070254

APA Style

Li, H., Zhang, S., Lian, X., Zhang, Y., & Zhao, F. (2025). Can Fire Season Type Serve as a Critical Factor in Fire Regime Classification System in China? Fire, 8(7), 254. https://doi.org/10.3390/fire8070254

Article Metrics

Back to TopTop