Abstract
A high-temperature gas plasma scheme using methane/air/K2CO3 mixed combustion is proposed for the application background of hypersonic aircraft. The actual combustion temperature was calculated by ANSYS Chemkin Pro software; the various components of the combustion reaction were determined; and the function between temperature and electrical conductivity was established, revealing the variation law of ionization decomposition of K2CO3 ionized seeds with gas temperature. At 1500 K, K2CO3 ionized seeds are close to complete ionization. Increasing the mass fraction of K2CO3 ionized seeds will enhance the endothermic effect of K2CO3 seed ionization decomposition. Under the same residual gas coefficient conditions, the combustion equilibrium temperature will correspondingly decrease. The increase in initial combustion temperature results in an approximately linear increase in equilibrium temperature and conductivity. With the increase in initial pressure, the equilibrium temperature of gas shows a logarithmic growth trend, while conductivity gradually decreases and the gradient of change gradually slows down. This study provides a new method for evaluating the ionization characteristics of high-temperature gas plasma formed by potassium carbonate (K2CO3) as ionization seed, and hydrocarbon fuel (CxHy) combined with air.
1. Introduction
Plasma is an ionized gas composed of free electrons and ions, known as the fourth state of matter, and divided by temperature into high-temperature and low-temperature plasmas [1,2]. When an applied voltage reaches the ignition voltage of a gas, the gas molecules are punctured, creating a mixture of electrons, ions, atoms, and free radicals [3]. Although electron temperature is high during discharge, the temperature of heavy particles is very low, and the whole system presents a cryogenic state, so-called cry plasmas, also called non-equilibrium plasmas [4,5,6].
Plasma has been used in many fields such as aviation, energy, and industrial combustion systems [7,8]. In the field of combustion, non-equilibrium plasma combustion technology has been paid more and more attention due to its advantages, such as improving ignition performance, increasing flame propagation speed, improving combustion efficiency, and reducing emissions of pollutants [9]. Ionization effects in turbulent conditions include increased or fluctuating ionization rates, increased non-uniformity in electron density distribution, changes in plasma stability, and complex dynamical behavior due to non-linear interactions. In studies, Inomata et al. has revealed the positive role of plasma in combustion. Klimov et al. used a plasma generator to internally combust C3H8 fuel in experiments, demonstrating that plasma enhances combustion stability.
Plasma is electrically conductive, and its trajectory will deflect under the action of an electromagnetic field, which can be used to achieve the thrust vectoring aspects of a power plant. It is found that the effect of a plasma thrust vector controlled by a magnetic field is greatly influenced by electrical conductivity [10,11]. However, temperature is affected by the properties of hydrocarbon fuels, and the range of controllable combustion temperature is limited. Therefore, higher electrical conductivity can be obtained by adding ionized seeds to gas, thereby enhancing flow ionization characteristics.
When adding a small amount of alkali metal salts with low ionization potential to high-temperature gases, the alkali metal seeds ionize and release free electrons, causing the gas flow to exhibit ionization characteristics at lower temperatures [12]. K2CO3 is used as ionization seeds in the Hypersonic Vehicle Electric Power System (HVEPS) program. At 1718 K, the conductivity reached 16.78 S/m. NaK alloy is used as ionization seeds; at 2200 K, the conductivity is in the range of 4.8~12 S/m [13]. The following rule has been found in some of the computational studies we have conducted: adding ionized seeds reduces the temperature of the gas. With an increase in ionized seed mass, the conductivity of the K2CO3 seed scheme presented a bell-shaped distribution, while that of the CS2CO3 seed scheme presented a monotonic increasing trend, but the increasing gradient decreased gradually. At the same mass of ionized seeds, the electrical conductivity of the CS2CO3 scheme was better than that of the K2CO3 scheme. Compared to the K2CO3 seed scheme, the conductivity of the NaK seed scheme showed a monotonic increasing trend.
However, the scheme did not provide the relationship between conductivity and the initial temperature and pressure of combustion.
In a study of plasma thrust vectors, the purpose of using electron beam-induced ionization is to enhance and maintain the ionization characteristics of the working fluid in the irradiated area of the high-energy electron beam, which is called “local” plasma [14,15]. However, the effect of adding ionized seeds to gas is related to the spatial dispersion of ionized seeds. This method excites plasma with a larger distribution range, called “integrated” plasma [16,17], with a wider magnetron acting area, and an energy management solution is also more feasible.
Based on the engineering application background of a hypersonic aircraft thrust vector, this paper will explore the influence of K2CO3 ionization seeds on conductivity in methane/air combustion schemes. High-temperature gas working fluid is obtained by mixing and burning the hydrocarbon fuel methane and air, and adding potassium carbonate (K2CO3) as ionization seeds to high-temperature gas to obtain combustion plasma. The ionization characteristics of the combustion plasma are revealed, and experimental research is carried out to verify the correctness of theoretical calculations. This provides a basis for the engineering application of magnetic-controlled gas plasma thrust vectoring.
2. Methods
2.1. Description of Gas Plasma Ionization Characteristics
There are three main ways to quantitatively describe the ionization characteristics of plasma, namely electron number density ne, ionization degree α, and conductivity σ. And conductivity α is directly applied to the macroscopic characteristic parameters of plasma calculated by the Navier Stokes and Maxwell coupled equations [18].
For calculation of the ionization characteristics of plasma in a completely thermodynamic equilibrium state, the electron number density ne and ionization degree can be directly solved using the Saha equation and its variants [19] as shown in Formula (1). Among them, ne is the electron number density; ni is the ion number density; n0 is the neutral particle number density; me is the electron mass; k is the Boltzmann constant; T is the equilibrium ionization temperature; h is the Planck constant; gi is the statistical weight of the ion ground state; g0 is the statistical weight of the neutral particle ground state; and Ei is the particle ionization potential [20].
Conductivity σ can be calculated using the Spitzer formula as shown in Formula (2). Among them, ε0 is the vacuum dielectric constant; k is the Boltzmann constant; Te is the electron dynamic temperature (in K); e is the electron element charge; Z is the ion charge number (i.e., Zni = ne; ni is the ion number density); me is the electron mass; ln∧ is the Coulomb logarithm; and ne is the electron number density [20].
For the calculation μ of the conductivity of low-temperature non-equilibrium plasma μ, there are mainly Frost’s method based on electron mobility calculation, Chernov’s method based on collision cross-section calculation, and the superposition method. Frost’s method represents conductivity as a function of mobility, i.e., σ = neμe, and mobility is obtained from the Boltzmann equation as shown in Formula (3), where N is the particle number density, and ∑ v is the collision frequency between electrons and other particles, and is expressed as a power function of electron energy. The Chernov method is similar to the Frost method, except that it uses collision cross-sections to represent the collision frequency ∑ v.
The text uses the superposition method to calculate conductivity σ. Consider the low-temperature non-equilibrium plasma resistance 1/σ as the superposition of resistance under two types of limit conditions. The first type of limit is to consider its resistance as the resistance 1/σL of a weakly ionized gas, calculated using Chapman and Cowling formulas. The second type of limit is to consider its resistance as equivalent to 1/σS of the plasma resistance in the “complete thermodynamic equilibrium state”, and calculate it using the Spitzer formula as shown in Formula (4) [21].
Taking potassium carbonate K2CO3 as an example, the parameter nQ used to solve the limit conductivity σL is calculated by the following formula:
Among them, Qn, Qk, and Qi represent the effective collision cross-sectional area of ions, atoms, and molecules in gas, respectively. While nn, nk, and ni are the spatial number densities of neutral molecules, atoms, and ions in gas.
By applying Formulas (4)–(8), the electrical conductivity of gas (σ) can be calculated.
2.2. Calculation of Combustion Components
Below 3000 K, the ionization degree of an ordinary gas is only in the order of 10−8, with no capability to apply electromagnetic characteristics. From the definitions of ionization degree and electrical conductivity, it can be found that it is important to calculate the concentration of chemical components in gas plasma, which closely links the internal microscopic processes of gas plasma with the macroscopic characteristics of the system. From the definitions of ionization degree and conductivity, it can be found that calculating the concentration of chemical components in gas plasma is very important as it closely links the internal microscopic processes of gas plasma with the macroscopic characteristics of the system.
Gas temperature is mainly determined by the combustion reaction. β is used to characterize the excess air coefficient, which is the ratio of the actual airflow to the theoretical airflow during combustion. When the coefficient of excess air is equal to one, it means that the amount of air in the mixture is exactly the theoretical amount needed for the fuel to burn completely. Excess air reduces the combustion temperature when the excess air coefficient is greater than one, resulting in increased exhaust heat loss. When the excess gas coefficient is less than one, the lack of air causes the fuel to not burn fully, creating CO and unburned hydrocarbons, and the combustion efficiency drops dramatically.
The residual gas coefficient is characterized by α, and the combustion temperature is controlled by adjusting the residual gas coefficient β. The main reaction processes involved in gas plasma are shown in Table 1. The reaction involves C, H, O, N, and K elements, 24 components (i.e., CxHy, O2, CO2, H2, CO, H2O, O, N, OH, N2, H, NO, K2CO3, K2O, K, KO, K+, KOH, OH−, O−, H−, KH, (KOH)), and 18 chemical reactions. By observing these reactions, it can be inferred that the ionized seed K2CO3 dissociates at high temperatures and appears in various forms, such as K2O, K, KOH, etc. Among them, only the potassium atom K can ionize free electrons e, achieving gas flow conductivity [22,23]. The combustion temperature in the study was calculated using the chemical equilibrium module in ANSYS Chemkin Pro software, while determining the various components of the combustion reaction. This module accesses the chemical equilibrium calculation library named STANJAN through interface functions to solve the chemical equilibrium of the system, minimizing the Gibbs free energy of the chemical reaction system.
Table 1.
K2CO3 gas plasma reaction process.
Taking “methane/air/K2CO3 (ionized seeds account for 1% of the total mass of gas)” as an example, methane and air (residual gas coefficient is α) start a combustion reaction in an environment with an initial temperature T0 = 300 K and an initial pressure p0 = 101,325 Pa; while adding 1% mass fraction of K2CO3 seeds to the gas, as the combustion temperature increases, the K2CO3 seeds absorb heat and begin ionization. When the combustion reaction and ionization heat absorption effect reach equilibrium, the seeds induce the gas plasma to exhibit conductivity α. Figure 1 shows the molar relative concentration distributions of 24 components in order of magnitude.
Figure 1.
Molar relative concentration distribution of components in gas plasma (methane/air/1% K2CO3).
Figure 2 shows the distribution of ionization characteristics of gas plasma under different conditions. As the residual gas coefficient β increases, the temperature of the gas plasma shows a bell-shaped distribution β. Around the residual gas coefficient β = 1, the temperature peak of the gas plasma reaches 2206.3 K. When the excess air coefficient is greater than one, the actual air quantity is greater than the theoretical air quantity, and the oil–gas mixture comprises more air but less fuel; the excess air will also lower the gas temperature. The electron number density ne and conductivity both show peaks around the σ residual gas coefficient β = 0.9~1. As the temperature of the gas plasma increases, the degree of ionization and decomposition of K2CO3 ionized seeds gradually increases. When the temperature of the gas plasma exceeds 1500K, the ionization and decomposition ratio of K2CO3 ionized seeds exceeds 99%, approaching complete ionization.
Figure 2.
Characteristic distribution of gas plasma (methane/air/1% K2CO3). (a) Balanced temperature distribution. (b) Electronic number density and conductivity distribution. (c) Distribution of seed decomposition proportion. (d) Conductivity distribution.
Figure 2d shows the conductivity of gas plasma (with 1% K2CO3 ionization seed added) under different temperature conditions. When the residual gas coefficient β increases from 0.6 to 0.9 (Points A to D in Figure 2d), the gas temperature increases accordingly, and the conductivity rapidly reaches the peak value of 1.26 S/m. When the residual gas coefficient β increases from 0.9 to 1 (Points D to E in Figure 2d), although the gas temperature reaches 2206.3 K, the conductivity σ slightly decreases to 1.18S/m. Subsequently, as the residual gas coefficient β continues to increase from one (Points E to I in Figure 2d), the conductivity of the gas plasma σ rapidly decreases with decreasing temperature. The above analysis shows that the ionization characteristics of gas plasma depend on a high-temperature environment.
3. Results and Discussion
3.1. Influence of Ionized Seed Mass Fraction on Gas Plasma Characteristics
3.1.1. Results and Analysis
Based on the “methane/air/K2CO3” scheme, the mass fractions of K2CO3 ionized seeds were 1%, 5%, and 10%, respectively. Figure 3 compares the effects of K2CO3 seeds with different mass fractions on the characteristics of gas plasma. Overall, increasing the mass fraction of K2CO3 ionized seeds will enhance the endothermic effect of K2CO3 seed ionization decomposition. Under the same residual gas coefficient α conditions, the equilibrium temperature of gas plasma will correspondingly decrease. Corresponding to the 2000 K high-temperature region near the residual gas coefficient α = 1, K2CO3 seeds have been in a highly decomposed state, with a decomposition ratio of over 99%. However, contrary to the expected enhancement of conductivity α, when the mass fraction of K2CO3 ionized seeds increased from 5% to 10%, there was a significant decrease in conductivity α, and the peak conductivity of the 10% K2CO3 seed scheme was even lower than that of the 1% K2CO3 seed scheme.
Figure 3.
The effect of seed mass fraction on gas plasma characteristics (methane/air/K2CO3). (a) Balanced temperature distribution. (b) Distribution of seed decomposition proportion. (c) Conductivity distribution.
For the convenience of practical applications, it is necessary to quantitatively determine the relationship between conductivity σ and temperature T [24]. Set temperature T as a variable and conductivity α as a function, and fit the functional relationship between them. That is, σ (T) = a1T + a2T2 + a3T3 +⋯+ anTn, where a1, a2, a3,⋯, an are undetermined coefficients, and n is the polynomial order. Perform polynomial fitting of different orders using K2CO3 ionization seed mass fractions of 1%, 5%, and 10%. The left side of Figure 4 shows the polynomial fitting residual sum of squares (RSS) and adjusted correlation coefficient ARS (Adj. R-Square).
Figure 4.
Conductivity fitting characteristics of gas plasma (methane/air/K2CO3). (a) 1% K2CO3 scheme fitting characteristics. (b) 1% K2CO3 scheme fitting results. (c) 5% K2CO3 scheme fitting characteristics. (d) 5% K2CO3 scheme fitting results. (e) 10% K2CO3 scheme fitting characteristics. (f) 10% K2CO3 scheme fitting results.
3.1.2. Qualitative Relationship Between Conductivity and Temperature
As shown in Figure 4a,c,e, the fitting order increases from three to five; the square sum of squares of the fitting polynomial residuals gradually decreases; the adjustment correlation coefficient ARS gradually increases; and the increase in the fitting order improves the fitting accuracy. Afterwards, the fitting order continues to improve, and RSS and ARS remain at a stable level, indicating that the improvement of the fitting accuracy of the continued increase in the order is limited [25]. For different quality fraction K2CO3 seed schemes, the fifth-order fitting polynomial shows good accuracy. The fifth-order polynomial is selected to fit the functional relationship between temperature and conductivity as shown in Figure 4. Table 2 presents the fitting results for different schemes of “methane/air/K2CO3” gas plasma (mass fractions of 1%, 5%, and 10%, respectively).
Table 2.
Conductivity fitting results of gas plasma (methane/air/K2CO3).
3.2. Influence of Initial Reaction Conditions on the Ionization Characteristics of Gas Plasma
3.2.1. Determination of Initial Conditions
The ionization characteristics of gas plasma were preliminarily analyzed using the “methane/air/K2CO3” scheme as an example. For the reactions involved in gas plasma, assuming an initial temperature T0 = 300 K and an initial pressure p0 = 101,325 Pa, the entire reaction process is maintained under constant pressure conditions. The assumption of constant pressure is closer to the combustion process of the engine, but the initial temperature T0 and initial pressure p0 of the airflow at the inlet of the combustion chamber vary with the actual operating conditions of the engine [26,27]. Therefore, this section investigates the effects of initial temperature T0 and initial pressure p0 on the ionization characteristics of gas plasma. Considering the rapid response of gas plasma ionization characteristics to combustion equilibrium temperature, the high-temperature regions corresponding to residual gas coefficients of 0.9, 1, and 1.1 are mainly selected for comparative analysis. The “methane/air/1% K2CO3” scheme was selected, and Figure 5 and Figure 6 compared the effects of different initial temperature T0 and initial pressure p0 conditions on gas plasma characteristics, respectively.
Figure 5.
The effect of initial temperature on the characteristics of gas plasma (methane/air/1% K2CO3). (a) Balanced temperature distribution. (b) Conductivity distribution.
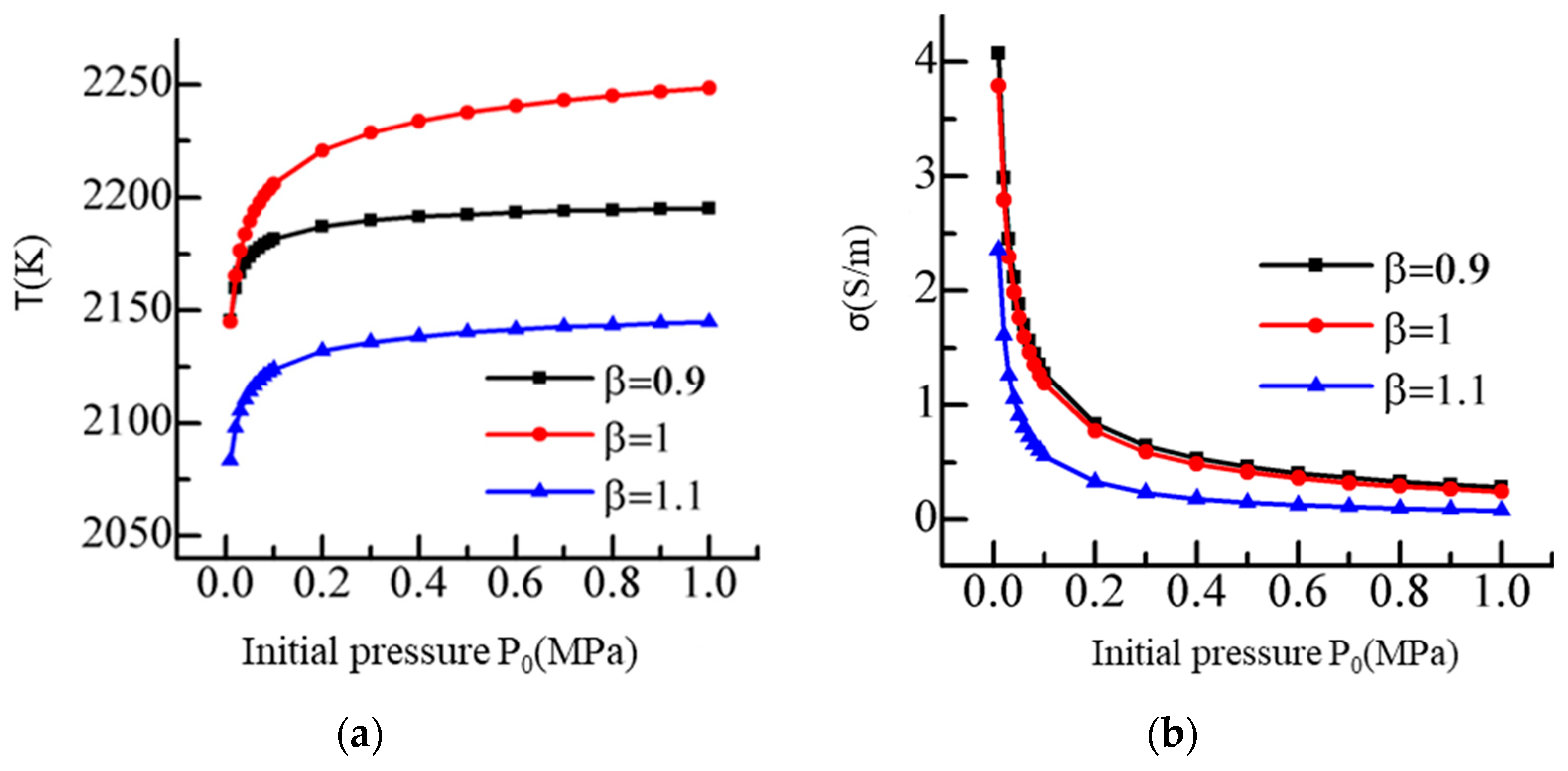
Figure 6.
The effect of initial pressure on the characteristics of gas plasma (methane/air/1% K2CO3). (a) Balanced temperature distribution. (b) Conductivity distribution.
3.2.2. Effects of Initial Temperature
As the initial temperature T0 increases, the equilibrium temperature and conductivity of the gas plasma approximately show a linear growth trend. Under different residual gas coefficient conditions, the residual gas coefficient scheme of 0.9 can enable gas plasma to balance the high equilibrium temperature and strong conductivity.
3.2.3. Effects of Initial Pressure
As the initial pressure p0 increases, the equilibrium temperature of the gas plasma shows a logarithmic growth trend [28], while the conductivity α gradually decreases, and the gradient of change slows down. Under different residual gas coefficient conditions, the scheme with residual gas coefficient α = 1 can maintain the gas plasma at a higher equilibrium temperature. The gas plasma formed by schemes with residual gas coefficient β = 0.9 and β = 1 has a higher conductivity and is basically the same. From an engineering perspective, the combination of gas plasma technology and flow control in engines, especially in the combustion chamber/tailpipe section, has great potential for development. The compression process of the engine increases the initial temperature and pressure of the airflow, and introduces ionization seeds during the combustion process. The higher initial temperature increases the conductivity of the gas plasma, while the higher initial pressure ensures the stability of the conductivity changes of the gas plasma.
3.3. Experimental Verification
To verify the effectiveness of theoretical calculations, experiments were conducted on a combustion and flow control test bench. The experimental platform, experimental methods, and steps are the same as those in Ref. [1]. The experiment chose a methane/air/K2CO3 mixed combustion scheme. The experimental conditions are shown in Table 3. Figure 7 shows the combustion flame morphology at different initial temperatures.
Table 3.
Experimental conditions.
Figure 7.
Combustion flames at different initial temperatures (methane/air/K2CO3). (a) No magnetic field. (b) Initial temperature 600 K. (c) Initial temperature 900 K. (d) Initial temperature 1200 K.
From Figure 7a, it can be seen that the residual gas coefficient is equal to 0.9, and the flame does not deflect in the absence of a magnetic field. As shown in Figure 7b–d, the degree of flame deflection is minimal at an initial temperature of 600 K. At an initial temperature of 1200 K, the degree of flame deflection is maximal. Because the initial temperature of the chemical reactants increases, the chemical equilibrium temperature also increases. The ionization decomposition rate of K2CO3 seeds increases; the number of ionized particles in the gas increases; and the conductivity increases. Under the control of a magnetic field, charged ions undergo deflection under the Lorentz force, exhibiting the flame deflection phenomenon shown in the figure at a macroscopic level. The experimental results confirmed the consistency of the conductivity variation pattern shown in Figure 5b. The external electromagnetic field significantly improves combustion efficiency through ionization regulation and combustion dynamics optimization, which, in turn, improves ionization; K2CO3 is fused at high temperatures to form ionic conductors, which combine with electromagnetic fields to construct an electrical reaction. The electromagnetic field achieves dynamic management of the combustion process by regulating the degree of ionization.
4. Conclusions
This article introduces the calculation method of seed-induced gas plasma ionization characteristics, and analyzes gas plasma ionization characteristics based on a methane/air/1% K2CO3 mixed combustion scheme. The main conclusions are as follows:
- (1)
- Based on the same initial reaction conditions, a high-temperature environment is beneficial to the ionization characteristics of gas plasma. Above 1500 K, after adding K2CO3 ionization seeds into the gas, it gradually shows ionization characteristics, and these characteristics become more pronounced as the combustion temperature increases.
- (2)
- For alkali metal salt ionization seeds, their ionization process requires absorbing of the heat released by combustion reactions and releasing free electrons. As a result, ionized seeds endow gas with certain conductive properties, forming seed-induced gas plasma.
- (3)
- For combustion reactions, increasing the initial temperature of reactants is beneficial for improving the ionization characteristics of seed-induced gas plasma.
- (4)
- Alkali metal salt K2CO3 is a powdery crystal at room temperature, easily soluble in water, and can be sprayed with fluidized solid powder using a fluidized bed device. Alkali metal salts have lower costs and higher safety during manufacturing, storage, and use, even in high overload environments. From the perspective of seed characteristics, alkali metal salts are more suitable for use in the field of open air flow control.
Author Contributions
Conceptualization, K.Z.; methodology, F.L.; software, Y.L. and X.Z. (Xiaohui Zhang); validation, K.Z. and X.Z. (Xueying Zhang); formal analysis, K.Z. and X.Z. (Xiaohui Zhang); investigation, K.Z.; resources, Y.L. data curation, Y.L. writing—original draft preparation, K.Z.; writing—review and editing, F.L.; visualization, Y.L. and X.Z. (Xueying Zhang); supervision, K.Z. and X.Z. (Xiaohui Zhang); project administration, F.L.; funding acquisition, F.L. All authors have read and agreed to the published version of the manuscript.
Funding
This work was supported by the National Science and Technology Major Project (2017-III-0002-0026, 2017-III-0006-0031 and J2019-III-0002-0045) and the National Natural Science Foundation of China (No. 90716025).
Institutional Review Board Statement
Not applicable.
Informed Consent Statement
Not applicable.
Data Availability Statement
The original contributions presented in this study are included in the article. Further inquiries can be directed to the corresponding author.
Acknowledgments
The authors would like to thank the anonymous reviewers for their valuable comments and suggestions.
Conflicts of Interest
The authors declare no conflicts of interest.
References
- Zhao, K.; Sun, B.; Yongji, L.; Feng, L.I.; Liu, Y. Experimental investigation on plasma jet deflection with magnetic fluid control based on PIV measurement. Plasma Sci. Technol. 2019, 21, 025503. [Google Scholar] [CrossRef]
- Bae, H.M.; Lee, N.; Sohn, H.S.; Cho, H.H. Thermal design for enhanced temperature uniformity on spark plasma sintering device. Finite Elem. Anal. Des. 2024, 239, 104208. [Google Scholar] [CrossRef]
- Jubin, S.; Powis, A.T.; Villafana, W.; Sydorenko, D.; Rauf, S.; Khrabrov, A.V. Numerical thermalization in 2D PIC simulations: Practical estimates for low-temperature plasma simulations. Phys. Plasmas 2024, 31, 023902. [Google Scholar] [CrossRef]
- Polek, M.P.; Phillips, M.C.; Beg, F.N.; Harilal, S.S. Comparison of excitation temperature of a laser-produced plasma by combining emission and absorption spectroscopy. AIP Adv. 2024, 14, 025043. [Google Scholar] [CrossRef]
- Nunomura, S.; Ezumi, N. Electron temperature characterization of h2 processing plasma by optical emission spectroscopy. Appl. Phys. Express. 2024, 17, 116001. [Google Scholar] [CrossRef]
- Hayat, T.; Ali, S.; Alsaedi, A.; Alsulami, H.H. Influence of thermal radiation and Joule heating in the Eyring–Powell fluid flow with the Soret and Dufour effects. J. Appl. Mech. Tech. Phy. 2016, 57, 1051–1060. [Google Scholar] [CrossRef]
- Menon, M.; Ponta, F.; Sun, X.; Dai, Q. Aerodynamic analysis of flow-control devices for wind turbine applications based on the trailing-edge slotted-flap concept. J. Aerospace Eng. 2016, 29, 04016037. [Google Scholar] [CrossRef]
- Abdullah, M.; Galib, M.T.; Khan, M.S.A.; Rahman, T.; Hossain, M.M. Recent advancements in flow control using plasma actuators and plasma vortex generators. Heat Transf. 2024, 53, 4244–4267. [Google Scholar] [CrossRef]
- Jia, M.; Lin, D.; Huang, S.; Zhang, Z.; Cui, W.; Wang, W. Experimental investigation on gliding arc plasma ignition in double-head swirling combustor. Aerosp. Sci. Technol. 2021, 113, 106726. [Google Scholar] [CrossRef]
- Igor, L.; Oleg, B.; Jinghua, F. Focusing plasma jets to achieve high current density: Feasibility and opportunities for applications in debris removal and space exploration. Aerosp. Sci. Technol. 2021, 108, 106343. [Google Scholar] [CrossRef]
- Wang, L.; Chi, W.W.; Alam, M.M. Post-stall flow control using a sawtooth plasma actuator in burst mode. Aerosp. Sci. Technol. 2020, 107, 106251. [Google Scholar] [CrossRef]
- Kolbakir, C.; Hu, H.; Liu, Y. An experimental study on different plasma actuator layouts for aircraft icing mitigation. Aerosp. Sci. Technol. 2020, 107, 106325. [Google Scholar] [CrossRef]
- Kim, M.; Jeon, Y.; Kim, Y.; Kim, S. Impact-ionization and tunneling fet characteristics of dual-functional devices with partially covered intrinsic regions. IEEE Trans. Nanotechnol. 2015, 14, 633–637. [Google Scholar] [CrossRef]
- Luo, W.D.; Li, F.; Sun, B.G. MHD control of weakly ionized plasma jet flows. J. Beijing Univ. Aeronaut. Astronaut. 2015, 41, 1758–1764. [Google Scholar] [CrossRef]
- Druker, N.; Goldwine, G.; Greenberg, J.B.; Sher, E. Enhancement of plasma assisted ignition by multi-voltage pulse discharges: A theoretical study. Int. J. Engine Res. 2024, 25, 14–19. [Google Scholar] [CrossRef]
- Kiseleva, E.M.; Viktorov, M.E.; Skalyga, V.A. Diagnostics of hot electron component escaping from dense nonequilibrium plasma of continuous ecr discharge. Plasma Phys. Rep. 2023, 49, 449–453. [Google Scholar] [CrossRef]
- Mahottamananda, S.N.; Pal, Y.; Sriram, Y.S.; Subha, S.; Trache, D. Evaluating Ignition and Combustion Performance with Al-Metal-Organic Frameworks and Nano-Aluminum in HTPB Fuel. Chin. J. Explos. Propellants 2024, 47, 413–421. [Google Scholar] [CrossRef]
- Murali, S.; Hussam, W.K.; Sheard, G.J. Heat transfer enhancement in quasi-two-dimensional magnetohydrodynamic duct flows using repeated flow-facing wedge-shaped protrusions. Int. J. Heat Mass Tran. 2021, 171, 121066. [Google Scholar] [CrossRef]
- Zhao, K.; Ming, M.; Feng, L.I. Experimental study on plasma jet deflection and energy extraction with MHD control. Chin. J. Aeronaut. 2020, 33, 1602–1610. [Google Scholar] [CrossRef]
- Kinefuchi, K.; Cho, S.; Tsukizaki, R. Characterization of a Capillary Flow Controller for Electric Propulsion. J. Propul. Power 2020, 36, 1–7. [Google Scholar] [CrossRef]
- Dheepika, M.; Hassan, B.V.T.; Mathew, T.K. Emergence of cosmic space in Tsallis modified gravity from equilibrium and non-equilibrium thermodynamic perspective. Phys. Scr. 2024, 99, 16. [Google Scholar] [CrossRef]
- Kumar, P.; Gangopadhyay, G. Nonequilibrium thermodynamic signatures of collective dynamical states around chimera in a chemical reaction network. Phys. Rev. E 2023, 108, 044218. [Google Scholar] [CrossRef]
- Nedelcu, L.; Burdusel, M.; Grigoroscuta, M.A.; Enculescu, M.; Badica, P.; Banciu, M.G. Microwave and Terahertz Properties of Spark-Plasma-Sintered Zr0.8Sn0.2TiO4 Ceramics. Materials 2022, 15, 1258. [Google Scholar] [CrossRef]
- Dong, Y.; Liu, J.; Wang, P. Study of Bulk Amorphous and Nanocrystalline Alloys Fabricated by High-Sphericity Fe84Si7B5C2Cr2 Amorphous Powders at Different Spark-Plasma-Sintering Temperatures. Materials 2022, 15, 1106. [Google Scholar] [CrossRef] [PubMed]
- Martín-Vaquero, J. Polynomial-based mean weighted residuals methods for elliptic problems with nonlocal boundary conditions in the rectangle. Nonlinear Anal. Model. Control 2014, 9, 448–459. [Google Scholar] [CrossRef]
- Khan, Z.; Rasheed, H.U.; Khan, H.A.M.A. Mathematical simulation of casson mhd flow through a permeable moving wedge with nonlinear chemical reaction and nonlinear thermal radiation. Materials 2022, 15, 747. [Google Scholar] [CrossRef]
- Fujino, T.; Ichinokiyama, D.; Ichikawa, T. Plasma Characteristics and Performance of Nonequilibrium Disk Magnetohydrodynamic Generator with Swirl Vanes. J. Propul. Power 2018, 34, 992–1001. [Google Scholar] [CrossRef]
- Valenzuela-Delgado, M.; Ortiz-Perez, A.S.; Flores-Fuentes, W.; Bravo-Zanoguera, M.E.; Acuna-Ramirez, A.; Ocampo-Diaz, J.D. Theoretical and experimental study of low conducting fluid MHD flow in an open annular channel. Int. J. Heat Mass Transf. 2018, 127, 322–331. [Google Scholar] [CrossRef]
Disclaimer/Publisher’s Note: The statements, opinions and data contained in all publications are solely those of the individual author(s) and contributor(s) and not of MDPI and/or the editor(s). MDPI and/or the editor(s) disclaim responsibility for any injury to people or property resulting from any ideas, methods, instructions or products referred to in the content. |
© 2025 by the authors. Licensee MDPI, Basel, Switzerland. This article is an open access article distributed under the terms and conditions of the Creative Commons Attribution (CC BY) license (https://creativecommons.org/licenses/by/4.0/).






