The Lookout Mountain Thinning and Fuels Reduction Study, Central Oregon: Tree Mortality 2–9 Years After Treatments
Abstract
1. Introduction
2. Materials and Methods
2.1. Study Site
2.2. Treatments
- (1)
- Fifty (50) UMZ (low density stand): Thinned from below to 50% of the upper management zone (UMZ) for the dominant plant association based on stand density index (SDI) values for ponderosa pine. Stand densities were reduced by removing trees from the subdominant crown classes to improve residual tree growth and tree vigor. Thinning was followed by masticating and prescribed burning;
- (2)
- Seventy-five (75) UMZ (medium density stand): Thinned from below to 75% of the UMZ followed by masticating and prescribed burning;
- (3)
- Seventy-five (75) UMZ + Gaps (medium density stand): Thinned from below to 75% of the UMZ followed by masticating and prescribed burning. Small gaps in the canopy (~0.1 ha) were created by augmenting the existing gaps or creating new gaps;
- (4)
- One hundred (100) UMZ (high density stand): Thinned from below to 100% of the UMZ followed by masticating and prescribed burning;
- (5)
- Untreated control (UC): No manipulation.
2.3. Data Collection
2.4. Analyses
3. Results and Discussion
3.1. Tree Mortality Attributed to All Causes
3.2. Tree Mortality Attributed to Bark Beetles
3.2.1. Western Pine Beetle
3.2.2. Fir Engraver
3.2.3. Mountain Pine Beetle
3.2.4. Pine Engraver
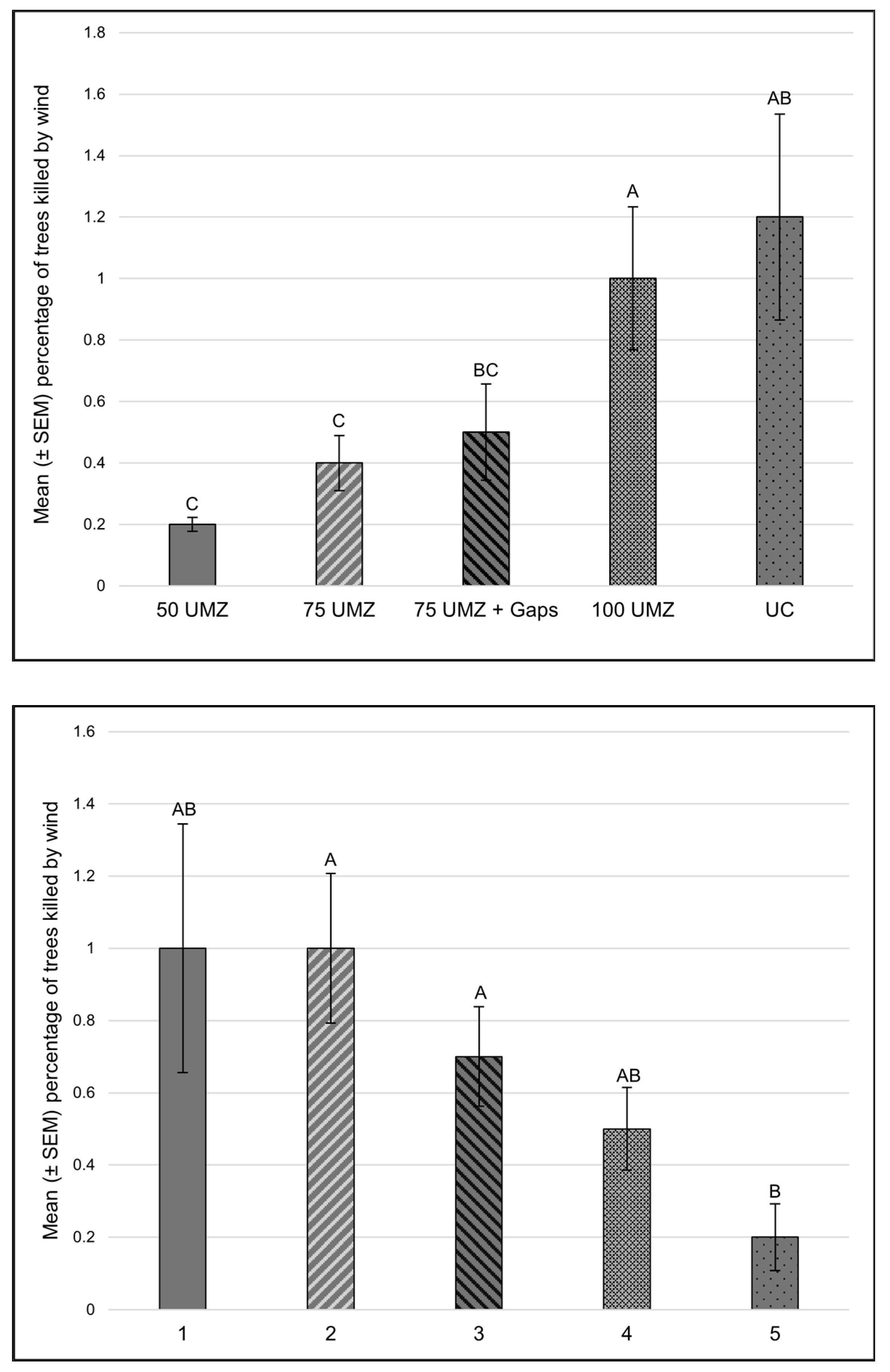
3.3. Tree Mortality Attributed to Wind
3.4. Tree Mortality Attributed to Suppression
4. Conclusions
Author Contributions
Funding
Institutional Review Board Statement
Data Availability Statement
Acknowledgments
Conflicts of Interest
References
- Agee, J.K. Fire Ecology of Pacific Northwest Forests; Island Press: Washington, DC, USA, 1993; p. 505. [Google Scholar]
- Hagmann, R.K.; Hessburg, P.F.; Prichard, S.J.; Povak, N.A.; Brown, P.M.; Fulé, P.Z.; Keane, R.E.; Knapp, E.E.; Lydersen, J.M.; Metlen, K.L.; et al. Evidence for widespread changes in the structure, composition, and fire regimes of western North American forests. Ecol. Appl. 2021, 31, e02431. [Google Scholar] [CrossRef]
- Prichard, S.J.; Hessburg, P.F.; Hagmann, R.K.; Povak, N.A.; Dobrowski, S.Z.; Hurteau, M.D.; Kane, V.R.; Keane, R.E.; Kobziar, L.N.; Kolden, C.A.; et al. Adapting western North American forests to climate change and wildfires: 10 common questions. Ecol. Appl. 2021, 31, e02433. [Google Scholar] [CrossRef]
- Halofsky, J.E.; Peterson, D.L.; Harvey, B.J. Changing wildfire, changing forests: The effects of climate change on fire regimes and vegetation in the Pacific Northwest, USA. Fire Ecol. 2020, 16, 4. [Google Scholar] [CrossRef]
- Marvel, K.; Su, W.; Delgado, R.; Aarons, S.; Chatterjee, A.; Garcia, M.E.; Hausfather, Z.; Hayhoe, K.; Hence, D.A.; Jewett, E.B.; et al. Climate trends. In Fifth National Climate Assessment; Crimmins, A.R., Avery, C.W., Easterling, D.R., Kunkel, K.E., Stewart, B.C., Maycock, T.K., Eds.; U.S. Global Change Research Program: Washington, DC, USA, 2023; pp. 2-1–2-59. [Google Scholar]
- Ritchie, M.W.; Skinner, C.N.; Hamilton, T.A. Probability of tree survival after wildfire in an interior pine forest of northern California: Effects of thinning and prescribed fire. For. Ecol. Manag. 2007, 247, 200–208. [Google Scholar] [CrossRef]
- Stephens, S.L.; Moghaddas, J.J.; Edminster, C.; Fiedler, C.E.; Haase, S.; Harrington, M.; Keeley, J.E.; Knapp, E.E.; McIver, J.D.; Metlen, K.; et al. Fire treatment effects on vegetation structure, fuels, and potential fire severity in western U.S. forests. Ecol. Appl. 2009, 19, 305–320. [Google Scholar] [CrossRef]
- Kalies, E.L.; Yocom Kent, L.L. Are fuel treatments effective at achieving ecological and social objectives? A systematic review. For. Ecol. Manag. 2016, 375, 84–95. [Google Scholar] [CrossRef]
- Davis, K.T.; Peeler, J.; Fargione, J.; Haugo, R.D.; Metlen, K.L.; Robles, M.D.; Woolley, T. A meta-analysis of thinning, prescribed fire, and wildfire effects on subsequent wildfire severity in conifer dominated forests of the Western US. For. Ecol. Manag. 2024, 561, 121885. [Google Scholar] [CrossRef]
- McIver, J.; Stephens, S.; Agee, J.; Barbour, J.; Boerner, R.; Edminster, C.; Erickson, K.; Farris, K.; Fettig, C.; Fiedler, C.; et al. Ecological effects of alternative fuel reduction treatments: Highlights of the national Fire and Fire Surrogate study (FFS). Intl. J. Wild. Fire 2013, 22, 63–82. [Google Scholar] [CrossRef]
- Prichard, S.J.; Peterson, D.L.; Jacobson, K. Fuel treatments reduce severity of wildfire effects in dry mixed conifer forest, Washington, USA. Can. J. For. Res. 2010, 40, 1615–1626. [Google Scholar] [CrossRef]
- The National Strategy. Available online: https://www.forestsandrangelands.gov/documents/strategy/strategy/CSPhaseIIINationalStrategyApr2014.pdf (accessed on 22 October 2024).
- USDA Forest Service. Wildfire Crisis Strategy. Available online: https://www.fs.usda.gov/sites/default/files/fs_media/fs_document/Confronting-the-Wildfire-Crisis.pdf (accessed on 22 October 2024).
- Bentz, B.J.; Régnière, J.; Fettig, C.J.; Hansen, E.M.; Hayes, J.L.; Hicke, J.A.; Kelsey, R.G.; Lundquist, J.; Negrón, J.F.; Seybold, S.J. Climate change and bark beetles of the western United States and Canada: Direct and indirect effects. Bioscience 2010, 60, 602–613. [Google Scholar] [CrossRef]
- Fettig, C.J.; Runyon, J.B.; Homicz, C.S.; James, P.M.A.; Ulyshen, M.D. Fire and insect interactions in North American forests. Curr. For. Rep. 2022, 8, 301–316. [Google Scholar] [CrossRef]
- Fettig, C.J.; Klepzig, K.D.; Billings, R.F.; Munson, A.S.; Nebeker, T.E.; Negrón, J.F.; Nowak, J.T. The effectiveness of vegetation management practices for prevention and control of bark beetle outbreaks in coniferous forests of the western and southern United States. For. Ecol. Manag. 2007, 238, 24–53. [Google Scholar] [CrossRef]
- Thistle, H.W.; Peterson, H.G.; Allwine, G.; Lamb, B.K.; Strand, T.; Holsten, E.H.; Shea, P.J. Surrogate pheromone plumes in three forest trunk spaces: Composite statistics and case studies. For. Sci. 2004, 50, 610–625. [Google Scholar] [CrossRef]
- Fettig, C.J.; McMillin, J.D.; Anhold, J.A.; Hamud, S.M.; Borys, R.R.; Dabney, C.P.; Seybold, S.J. The effects of mechanical fuel reduction treatments on the activity of bark beetles (Coleoptera: Scolytidae) infesting ponderosa pine. For. Ecol. Manag. 2006, 230, 55–68. [Google Scholar] [CrossRef]
- Seybold, S.J.; Huber, D.P.W.; Lee, J.C.; Graves, A.D.; Bohlmann, J. Pine monoterpenes and pine bark beetles: A marriage of convenience for defense and chemical communication. Phytochem. Rev. 2006, 5, 143–178. [Google Scholar] [CrossRef]
- Fettig, C.J.; Mortenson, L.A.; Audley, J.P. Tree mortality following thinning and prescribed burning in central Oregon. Forests 2021, 12, 1677. [Google Scholar] [CrossRef]
- Sherman, L.M.; Anderson, P.D.; Fettig, C.J. Forest Dynamics After Thinning and Fuel Reduction in the Pringle Falls Experimental Forest—Establishment and Early Observations of the Lookout Mountain Thinning and Fuels Reduction Study; USDA Forest Service Gen. Tech. Rep. PNW-GTR-1015; Pacific Northwest Research Station: Portland, OR, USA, 2023; p. 168.
- Powell, D.C. Eastside Screens Chronology; White Paper F14-SO-WP-SILV-53; Pacific Northwest Region, Umatilla National Forest: Pendleton, OR, USA, 2013; p. 42.
- Furniss, R.L.; Carolin, V.M. Western Forest Insects; USDA Forest Service Misc. Pub. 1339; Washington Office: Washington, DC, USA, 1977; p. 654. [Google Scholar]
- Olsen, W.K.; Schmid, J.M.; Mata, S.A. Stand characteristics associated with mountain pine beetle infestations in ponderosa pine. For. Sci. 1996, 42, 310–327. [Google Scholar] [CrossRef]
- Harrison, X.A. A comparison of observation-level random effect and beta-binomial models for modelling overdispersion in binomial data in ecology and evolution. Peer J. 2015, 3, e1114. [Google Scholar] [CrossRef]
- Douma, J.C.; Weedon, J.T. Analysing continuous proportions in ecology and evolution: A practical introduction to beta and Dirichlet regression. Methods Ecol. Evol. 2019, 10, 1412–1430. [Google Scholar] [CrossRef]
- Zuur, A.; Leno, E.; Walker, N.; Saveliev, A.; Smith, G. Mixed Effects Models and Extensions in Ecology with R; Springer: New York, NY, USA, 2009; p. 574. [Google Scholar]
- R Core Team. R: A Language and Environment for Statistical Computing. 2020. Available online: https://R-project.org/ (accessed on 28 December 2020).
- Guillaume, M.; Chagnon, C.; Achim, A.; Caspersen, J.; D’Orangeville, L.; Sánchez-Pinillos, M.; Thiffault, N. Opportunities and limitations of thinning to increase resistance and resilience of trees and forests to global change. Forestry 2022, 95, 595–615. [Google Scholar]
- Hood, S.M.; Cluck, D.R.; Smith, S.L.; Ryan, K.C. Using bark char codes to predict post-fire cambium mortality. Fire Ecol. 2008, 4, 57–73. [Google Scholar] [CrossRef]
- Fettig, C.J.; McKelvey, S.R. Resiliency of an interior ponderosa pine forest to bark beetle infestations following fuel-reduction and forest-restoration treatments. Forests 2014, 5, 153–176. [Google Scholar] [CrossRef]
- Hood, S.M. Mitigating Old Tree Mortality in Long-Unburned, Fire-Dependent Forests: A Synthesis; USDA Forest Service Gen. Tech. Rep. RMRS-GTR-238; Rocky Mountain Research Station: Fort Collins, CO, USA, 2010; p. 71.
- Berryman, A.A.; Ferrell, G.T. The fir engraver beetle in western states. In Dynamics of Forest Insect Populations: Patterns, Causes, Implications; Berryman, A.A., Ed.; Plenum Press: New York, NY, USA, 1988; pp. 556–577. [Google Scholar]
- Filip, G.M.; Klopfenstein, N.B.; Maffei, H.M.; Shaw III, C.G.; Lockman, B. Armillaria Root Disease in Conifers of Western North America; USDA Forest Service FIDL-188; Forest Health Protection: Washington, DC, USA, 2024; p. 23.
- Goheen, E.M.; Willhite, E.A. Field Guide to the Common Diseases and Insect Pests of Oregon and Washington Conifers; USDA Forest Service R6-NR-FID-PR-01-06; Forest Health Protection: Portland, OR, USA, 2006; p. 325.
- USDA Forest Service. Major Forest Insect and Disease Conditions in the United States: 2023; USDA Forest Service FS–1238; Forest Health Protection: Washington, DC, USA, 2024; p. 26.
- Filip, G.M.; Maffei, H.; Chadwick, K.L. Forest health decline in a central Oregon mixed-conifer forest revisited after wildfire: A 25-year case study. West. J. Appl. For. 2007, 22, 278–284. [Google Scholar] [CrossRef]
- Bentz, B.; Vandygriff, J.; Jensen, C.; Coleman, T.; Maloney, P.; Smith, S.; Grady, A.; Schen-Langenheim, G. Mountain pine beetle voltinism and life history characteristics across latitudinal and elevational gradients in the western United States. For. Sci. 2014, 60, 434–449. [Google Scholar] [CrossRef]
- Weidman, R.H. A study of windfall loss of western yellow pine in selection cuttings fifteen to thirty years old. J. For. 1920, 18, 616–622. [Google Scholar]
- Chen, J.; Franklin, J.F.; Spies, T.A. Vegetation responses to edge environments in old-growth Douglas-fir forests. Ecol. Appl. 1992, 2, 387–396. [Google Scholar] [CrossRef]
- Bernal, A.A.; Kane, J.M.; Knapp, E.E.; Zald, H.S.J. Tree resistance to drought and bark beetle-associated mortality following thinning and prescribed fire treatments. For. Ecol. Manag. 2023, 530, 120758. [Google Scholar] [CrossRef]









| Block | Thin | Masticate | Prescribed Burn 1 | First Census 2 | Second Census 3 |
|---|---|---|---|---|---|
| 4 | 2011 | 2012 | 2013 | 2014 | 2022 |
| 2 | 2012 | 2013 | 2014 | 2015 | 2023 |
| 1 | 2013 | 2014 | 2015 | 2016 | 2024 |
| 3 | 2013 | 2014 | 2015 | 2016 | 2024 |
| Cause | Number of Trees | Percentage of Tree Mortality | Primary Tree Species Affected |
|---|---|---|---|
| Bark beetles | 4002 | 44.1 | Pinus ponderosa |
| Dendroctonus brevicomis | 1631 | 18.0 | Pinus ponderosa |
| Scolytus ventralis | 1580 | 17.4 | Abies grandis |
| Dendroctonus ponderosae | 526 | 5.8 | Pinus ponderosa |
| Ips pini | 145 | 1.6 | Pinus ponderosa |
| Scolytus tsugae | 77 | 0.8 | Tsuga heterophylla |
| Pityogenes spp. | 19 | 0.2 | Pinus contorta |
| Ips latidens | 17 | 0.2 | Pinus ponderosa |
| Ips emarginatus | 7 | <0.1 | Pinus ponderosa |
| Unknown factors | 2682 | 29.5 | Pinus ponderosa |
| Wind | 1958 | 21.6 | Pinus ponderosa |
| Suppression | 327 | 3.6 | Pinus ponderosa |
| Snow breakage | 61 | 0.7 | Pinus ponderosa |
| Prescribed fire | 19 | 0.2 | Pinus ponderosa |
| Western gall rust | 15 | 0.2 | Pinus contorta |
| Stem cankers | 8 | <0.1 | Abies grandis |
| Mechanical | 5 | <0.1 | Pinus ponderosa |
| Dwarf mistletoe | 4 | <0.1 | Pinus ponderosa |
| Woodborers | 3 | <0.1 | Pinus ponderosa |
| Totals | 9084 | 100 |
| Agent | Highest Levels of Tree Mortality (Treatment) 1 | Highest Levels of Tree Mortality (Dbh Class) 2,3 | Correlation with Stand Density 2,4 | Change 5 |
|---|---|---|---|---|
| All | UC | ns | + | ++ |
| Bark beetles | UC | 3,5 | + | + |
| D. brevicomis | UC | 3,4,5 | + | - |
| S. ventralis | UC | ns | ns | ++ |
| D. ponderosae | UC | 2 | + | ++ |
| I. pini | 75 UMZ, UC | 1,2 | ns | -- |
| Unknown | UC | ns | + | ++ |
| Wind | 100 UMZ | 2,3 | + | ++ |
| Suppression | UC | 1 | + | ++ |
Disclaimer/Publisher’s Note: The statements, opinions and data contained in all publications are solely those of the individual author(s) and contributor(s) and not of MDPI and/or the editor(s). MDPI and/or the editor(s) disclaim responsibility for any injury to people or property resulting from any ideas, methods, instructions or products referred to in the content. |
© 2025 by the authors. Licensee MDPI, Basel, Switzerland. This article is an open access article distributed under the terms and conditions of the Creative Commons Attribution (CC BY) license (https://creativecommons.org/licenses/by/4.0/).
Share and Cite
Fettig, C.J.; Audley, J.P.; Mortenson, L.A.; Hamud, S.M.; Flowers, R.W. The Lookout Mountain Thinning and Fuels Reduction Study, Central Oregon: Tree Mortality 2–9 Years After Treatments. Fire 2025, 8, 109. https://doi.org/10.3390/fire8030109
Fettig CJ, Audley JP, Mortenson LA, Hamud SM, Flowers RW. The Lookout Mountain Thinning and Fuels Reduction Study, Central Oregon: Tree Mortality 2–9 Years After Treatments. Fire. 2025; 8(3):109. https://doi.org/10.3390/fire8030109
Chicago/Turabian StyleFettig, Christopher J., Jackson P. Audley, Leif A. Mortenson, Shakeeb M. Hamud, and Robbie W. Flowers. 2025. "The Lookout Mountain Thinning and Fuels Reduction Study, Central Oregon: Tree Mortality 2–9 Years After Treatments" Fire 8, no. 3: 109. https://doi.org/10.3390/fire8030109
APA StyleFettig, C. J., Audley, J. P., Mortenson, L. A., Hamud, S. M., & Flowers, R. W. (2025). The Lookout Mountain Thinning and Fuels Reduction Study, Central Oregon: Tree Mortality 2–9 Years After Treatments. Fire, 8(3), 109. https://doi.org/10.3390/fire8030109
