Research on Coal and Gas Outburst Prediction and Sensitivity Analysis Based on an Interpretable Ali Baba and the Forty Thieves–Transformer–Support Vector Machine Model
Abstract
1. Introduction
2. Materials and Methods
2.1. Collection of Raw Data
2.2. AFT-Transformer-SVM Model for Coal and Gas Outburst Prediction
2.2.1. Ali Baba and the Forty Thieves Optimisation Algorithm
2.2.2. Transformer Feature Extraction
2.2.3. Grid-Optimised Support Vector Machine Algorithm
2.3. Data Sensitivity Analysis
2.3.1. Permutation Feature Importance
2.3.2. SHAP Analysis for Interpreting the Coal and Gas Outburst Model
3. Results and Discussion
3.1. Optimisation of the Transformer-SVM Model Using Different Algorithms
3.2. AFT-Transformer-SVM Model for Coal and Gas Outburst Risk Prediction
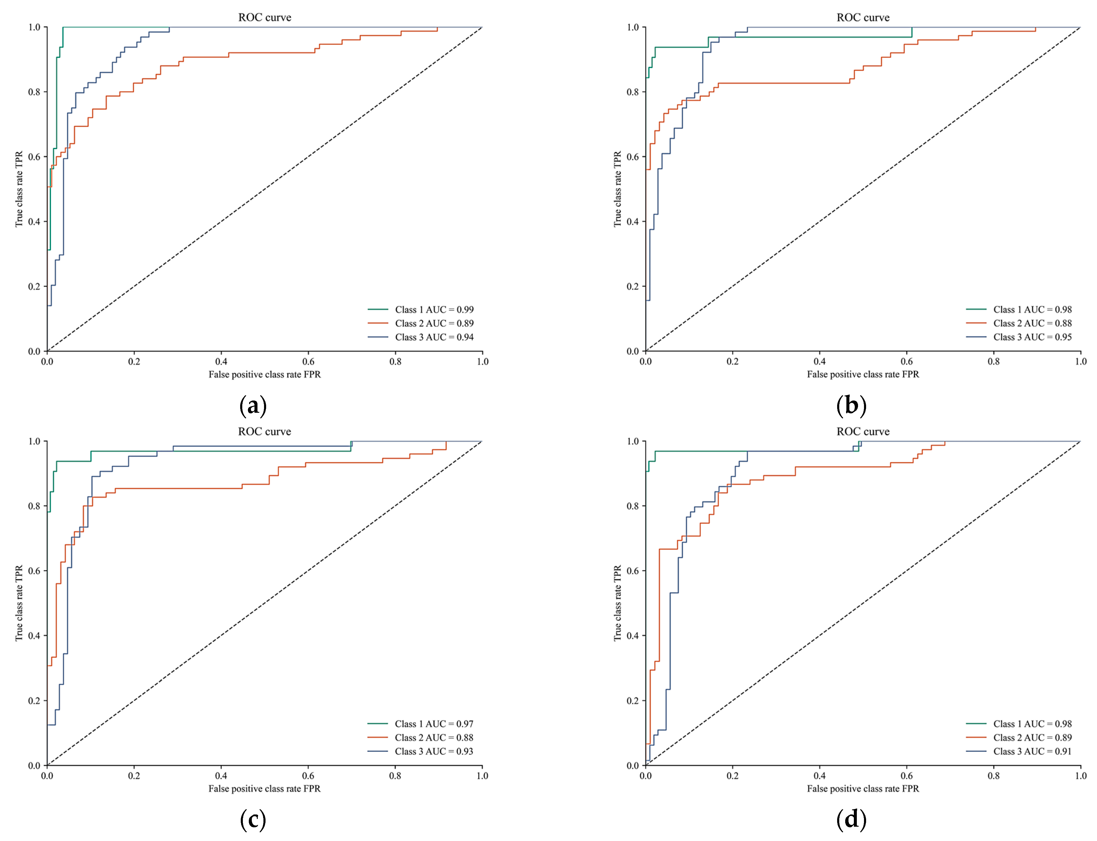
3.3. Comparative Analysis of Different Algorithms
3.4. Data Validation for Other Mining Areas
3.5. Analysis of the Importance of Original Sample Data
4. Conclusions
- (1)
- This study innovatively integrates the AFT algorithm-optimised Transformer with the SVM model. By leveraging positional embedding, multi-head self-attention mechanisms, and fully connected layers, the model’s ability to extract nonlinear and multidimensional data features of gas outbursts was significantly improved. The application of intelligent optimisation algorithms enabled the efficient parameter adjustment, ensuring the model’s stability and accuracy in real-world operational environments.
- (2)
- Based on SHAP and PFI analysis methods, the study conducted an in-depth examination of the impact of various features on model prediction, identifying the critical role of factors such as gas content, gas desorption rate, and drilling chip volume in assessing gas outburst risks. By incorporating multiple classification methods, including TP, TN, FP, and FN, the interpretability of the model was enhanced, providing a technical foundation for explaining gas prediction models in coal mines.
- (3)
- A comparative analysis with traditional algorithms, such as XGBoost, KNN, RBFN, and Bayesian classifiers, demonstrated the significant advantages of the AFT-Transformer-SVM model in handling multidimensional nonlinear data and achieving high prediction accuracy. Experimental results indicated that the model achieved 100% prediction accuracy and excellent sensitivity on the test set, outperforming the comparison algorithms.
Author Contributions
Funding
Informed Consent Statement
Data Availability Statement
Conflicts of Interest
References
- Liang, Y.; Zheng, M.; Li, Q.; Mao, S.; Li, X.; Li, J.; Zhou, J. A review on prediction and early warning methods of coal and gas outburst. J. China Coal Soc. 2023, 48, 2976–2994. [Google Scholar] [CrossRef]
- Zhang, C.; Wang, P.; Wang, E.; Xu, J.; Li, Z.; Liu, X.; Peng, S. Coal and gas outburst mechanism: Research progress and prospect inChina over the past 70 years. Coal Geol. Explor. 2023, 51, 59–94. [Google Scholar]
- Black, D.J. Review of Coal and Gas Outburst in Australian Underground Coal Mines. Int. J. Min. Sci. Technol. 2019, 29, 815–824. [Google Scholar] [CrossRef]
- Wang, E.; Zhang, G.; Zhang, C.; Li, Z. Research Progress and Prospect on Theory and Technology for Coal and Gas Outburst Control and Protection in China. J. China Coal Soc. 2022, 47, 297–322. [Google Scholar]
- Zhu, Z.; Zhang, Y.; Wang, S.; Zhao, B. Effect of Plasma-Activated Water on the Settling Characteristics of Ultrafine Kaolinite. Process Saf. Environ. Prot. 2024, 192, 613–620. [Google Scholar] [CrossRef]
- Nakajima, I.; Ujihira, M. Considerations for Acoustic Emission and Gas Emission in Gas Outburst Processes; VRMA: Morgantown, WV, USA, 1989. [Google Scholar]
- Feyt, G.N. Selecting Methods for Preventing Sudden Outbursts Based on Comprehensive Criteria of the Loss of Stability and Avalanche Destruction of the Seam. Nauchn. Soobshch.-Inst. Gorn. Dela A. A. Skochinskogo (USSR) 1980, 186, 39–46. [Google Scholar]
- Hanes, J.; Lama, R.D.; Shepherd, J. Research into the Phenomenon of Outbursts of Coal and Gas in Some Australian Collieries. In Proceedings of the 5th ISRM Congress, Melbourne, Australia, 10 April 1983. [Google Scholar]
- Sato, K.; Fujii, Y. Source Mechanism of a Large Scale Gas Outburst at Sunagawa Coal Mine in Japan. Pure Appl. Geophys. 1989, 129, 325–343. [Google Scholar] [CrossRef]
- Shepherd, J.; Rixon, L.K.; Griffiths, L. Outbursts and Geological Structures in Coal Mines: A Review. Int. J. Rock Mech. Min. Sci. Geomech. Abstr. 1981, 18, 267–283. [Google Scholar] [CrossRef]
- Ji, P.; Shi, S.; Shi, X. Research on Early Warning of Coal and Gas Outburst Based on HPO-BiLSTM. IEEE Trans. Instrum. Meas. 2023, 72, 2529808. [Google Scholar] [CrossRef]
- Zhu, J.; Zheng, H.; Yang, L.; Li, S.; Sun, L.; Geng, J. Evaluation of Deep Coal and Gas Outburst Based on RS-GA-BP. Nat. Hazards 2023, 115, 2531–2551. [Google Scholar] [CrossRef]
- Xie, X.; Shu, X.; Fu, G.; Shen, S.; Jia, Q.; Hu, J.; Wu, Z. Accident Causes Data-Driven Coal and Gas Outburst Accidents Prevention: Application of Data Mining and Machine Learning in Accident Path Mining and Accident Case-Based Deduction. Process Saf. Environ. Prot. 2022, 162, 891–913. [Google Scholar] [CrossRef]
- Wang, W.; Wang, H.; Zhang, B.; Wang, S.; Xing, W. Coal and Gas Outburst Prediction Model Based on Extension Theory and Its Application. Process Saf. Environ. Prot. 2021, 154, 329–337. [Google Scholar] [CrossRef]
- Hanson, D.R.; Lawson, H.E. Using Machine Learning to Evaluate Coal Geochemical Data with Respect to Dynamic Failures. Minerals 2023, 13, 808. [Google Scholar] [CrossRef] [PubMed]
- Zheng, X.; Lai, W.; Zhang, L.; Xue, S. Quantitative Evaluation of the Indexes Contribution to Coal and Gas Outburst Prediction Based on Machine Learning. Fuel 2023, 338, 127389. [Google Scholar] [CrossRef]
- Li, Z.; Wang, E.; Ou, J.; Liu, Z. Hazard Evaluation of Coal and Gas Outbursts in a Coal-Mine Roadway Based on Logistic Regression Model. Int. J. Rock Mech. Min. Sci. 2015, 80, 185–195. [Google Scholar] [CrossRef]
- Frid, V.; Vozoff, K. Electromagnetic Radiation Induced by Mining Rock Failure. Int. J. Coal Geol. 2005, 64, 57–65. [Google Scholar] [CrossRef]
- Mathews, J.P.; Campbell, Q.P.; Xu, H.; Halleck, P. A Review of the Application of X-Ray Computed Tomography to the Study of Coal. Fuel 2017, 209, 10–24. [Google Scholar] [CrossRef]
- Parsa, A.B.; Movahedi, A.; Taghipour, H.; Derrible, S.; Mohammadian, A. Toward Safer Highways, Application of XGBoost and SHAP for Real-Time Accident Detection and Feature Analysis. Accid. Anal. Prev. 2020, 136, 105405. [Google Scholar] [CrossRef] [PubMed]
- Lerner, B.; Guterman, H.; Aladjem, M.; Dinstein, I.; Romem, Y. Feature Extraction by Neural Network Nonlinear Mapping for Pattern Classification. In Proceedings of the 13th International Conference on Pattern Recognition, Vienna, Austria, 25–29 August 1996; Volume 4, pp. 320–324. [Google Scholar]
- Sun, L. Application Resrarch on the Coal and Gas Outburst Prediction Based on Gray Correlation Analysis and PSO-SVM. Master’s Thesis, China University of Mining and Technology, Beijing, China, 2019. [Google Scholar]
- Braik, M.; Ryalat, M.H.; Al-Zoubi, H. A Novel Meta-Heuristic Algorithm for Solving Numerical Optimization Problems: Ali Baba and the Forty Thieves. Neural Comput. Appl. 2022, 34, 409–455. [Google Scholar] [CrossRef]
- Sokolova, M.; Japkowicz, N.; Szpakowicz, S. Beyond Accuracy, F-Score and ROC: A Family of Discriminant Measures for Performance Evaluation. In AI 2006: Advances in Artificial Intelligence; Sattar, A., Kang, B., Eds.; Lecture Notes in Computer Science; Springer: Berlin/Heidelberg, Germany, 2006; Volume 4304, pp. 1015–1021. ISBN 978-3-540-49787-5. [Google Scholar]
- Zhu, W.; Zeng, N.F.; Wang, N. Sensitivity, Specificity, Accuracy, Associated Confidence Interval and ROC Analysis with Practical SAS. In Proceedings of the NESUG Proceedings: Health Care and Life Sciences, Baltimore, MD, USA, 14–17 November 2010. [Google Scholar]
- Tharwat, A. Classification Assessment Methods. Appl. Comput. Inform. 2021, 17, 168–192. [Google Scholar] [CrossRef]




















| Coal Type | Gas Desorption Δp | Strength Coefficient f | Gas Content /m3·t−1 | Gas Release Rate mL·(g·min0.5)−1 | ||||||
| 2 | 16.86 | 0.31 | 7.13 | 0.4 | 0.27 | 0.29 | ||||
| 2 | 17.83 | 0.30 | 10.62 | 0.42 | 0.21 | 0.24 | ||||
| 2 | 17.78 | 0.35 | 7.52 | 0.22 | 0.16 | 0.18 | ||||
| 3 | 17.09 | 0.32 | 11.44 | 0.11 | 0.25 | 0.21 | ||||
| … | … | … | … | … | … | … | ||||
| Distance to Geological Structure/m | Burial Depth /m | Coal Thickness/m | Drilling Chip/kg·m−1 | Outburst Risk | ||||||
| 32 | 366 | 0.8 | 3.7 | 3.4 | 3.9 | 1 | ||||
| 0 | 358 | 2.2 | 3.1 | 3.6 | 3 | 0.6 | ||||
| 42 | 352 | 2.2 | 3.5 | 3.4 | 3.8 | 0.1 | ||||
| 62 | 370 | 2.5 | 3.2 | 3.2 | 3.2 | 0.6 | ||||
| … | … | … | … | … | … | … | ||||
| Optimization Algorithms | Variance | Range | Minimum | Maximum | Standard Deviation |
|---|---|---|---|---|---|
| AFT | 0.00004 | 0.0004 | 0.000110 | 0.00015 | 0.000011 |
| CO | 0.00001 | 0.003 | 0.013 | 0.016 | 0.000884 |
| SSA | 0.00003 | 0.003 | 0.006 | 0.009 | 0.000936 |
| PSO | 0.00002 | 0.0018 | 0.0032 | 0.005 | 0.000503 |
| ACS | 0.00013 | 0.012 | 0.016 | 0.028 | 0.003606 |
| Recall/% | Precision/% | F1-Score/% | Accuracy/% | Sensitivity/% | Specificity/% | AUC/% | /% |
|---|---|---|---|---|---|---|---|
| 100 | 100 | 100 | 100 | 100 | 100 | 100 | 100 |
| Algorithm | FM/% | /% | AUC/% | SP/% | SE/% | CA/% |
|---|---|---|---|---|---|---|
| XGBoost | 89.23 | 86.70 | 93.87 | 97.12 | 90.62 | 95.91 |
| 78.57 | 63.85 | 81.46 | 89.58 | 73.33 | 82.46 | |
| 83.21 | 72.07 | 87.05 | 85.05 | 89.06 | 86.55 | |
| KNN | 90.62 | 88.47 | 94.23 | 97.84 | 90.62 | 96.49 |
| 81.12 | 67.61 | 83.46 | 89.58 | 77.33 | 84.21 | |
| 84.44 | 74.34 | 87.99 | 86.92 | 89.06 | 87.72 | |
| RBFN | 92.06 | 90.27 | 94.59 | 98.56 | 90.62 | 97.08 |
| 83.56 | 71.33 | 85.46 | 89.58 | 81.33 | 85.96 | |
| 85.71 | 76.64 | 88.92 | 88.79 | 89.06 | 88.89 | |
| Bayesian classifiers | 95.24 | 94.16 | 96.52 | 99.28 | 93.75 | 98.25 |
| 81.05 | 65.71 | 83.00 | 83.33 | 82.67 | 83.04 | |
| 79.37 | 67.33 | 83.46 | 88.79 | 78.12 | 84.80 |
| Class | FM/% | /% | AUC/% | SP/% | SE/% | CA/% |
|---|---|---|---|---|---|---|
| 1 | 98.41 | 96.96 | 98.44 | 100.00 | 96.88 | 98.48 |
| 2 | 95.45 | 93.18 | 96.59 | 97.73 | 95.45 | 96.97 |
| 3 | 96.00 | 95.07 | 99.07 | 98.15 | 100.00 | 98.48 |
| Gas Content | 0.20 | 0.39 | 0.40 | 0.28 | 0.30 | 0.29 | 0.30 | 0.30 | 0.31 | 0.29 |
| Gas Desorption | 0.26 | 0.26 | 0.24 | 0.24 | 0.26 | 0.25 | 0.26 | 0.24 | 0.27 | 0.25 |
| Gas Release Rate1 | 0.23 | 0.21 | 0.22 | 0.22 | 0.23 | 0.23 | 0.23 | 0.20 | 0.21 | 0.22 |
| Drilling Chip1 | 0.21 | 0.21 | 0.20 | 0.19 | 0.21 | 0.19 | 0.20 | 0.22 | 0.19 | 0.19 |
| Distance to Geological Structure | 0.20 | 0.19 | 0.19 | 0.20 | 0.20 | 0.20 | 0.20 | 0.20 | 0.20 | 0.20 |
Disclaimer/Publisher’s Note: The statements, opinions and data contained in all publications are solely those of the individual author(s) and contributor(s) and not of MDPI and/or the editor(s). MDPI and/or the editor(s) disclaim responsibility for any injury to people or property resulting from any ideas, methods, instructions or products referred to in the content. |
© 2025 by the authors. Licensee MDPI, Basel, Switzerland. This article is an open access article distributed under the terms and conditions of the Creative Commons Attribution (CC BY) license (https://creativecommons.org/licenses/by/4.0/).
Share and Cite
Wang, Y.; Qin, Z.; Yan, Z.; Deng, J.; Huang, Y.; Zhang, L.; Cao, Y.; Wang, Y. Research on Coal and Gas Outburst Prediction and Sensitivity Analysis Based on an Interpretable Ali Baba and the Forty Thieves–Transformer–Support Vector Machine Model. Fire 2025, 8, 37. https://doi.org/10.3390/fire8020037
Wang Y, Qin Z, Yan Z, Deng J, Huang Y, Zhang L, Cao Y, Wang Y. Research on Coal and Gas Outburst Prediction and Sensitivity Analysis Based on an Interpretable Ali Baba and the Forty Thieves–Transformer–Support Vector Machine Model. Fire. 2025; 8(2):37. https://doi.org/10.3390/fire8020037
Chicago/Turabian StyleWang, Yanping, Zhixin Qin, Zhenguo Yan, Jun Deng, Yuxin Huang, Longcheng Zhang, Yuqi Cao, and Yiyang Wang. 2025. "Research on Coal and Gas Outburst Prediction and Sensitivity Analysis Based on an Interpretable Ali Baba and the Forty Thieves–Transformer–Support Vector Machine Model" Fire 8, no. 2: 37. https://doi.org/10.3390/fire8020037
APA StyleWang, Y., Qin, Z., Yan, Z., Deng, J., Huang, Y., Zhang, L., Cao, Y., & Wang, Y. (2025). Research on Coal and Gas Outburst Prediction and Sensitivity Analysis Based on an Interpretable Ali Baba and the Forty Thieves–Transformer–Support Vector Machine Model. Fire, 8(2), 37. https://doi.org/10.3390/fire8020037

