Study on the Fire Temperature Pattern of Tunnels with Beams Under the Longitudinal Smoke Exhaust Mode
Abstract
1. Introduction
2. Materials and Methods
2.1. Experimental Tunnel
2.2. Detector Layout
2.3. Fan Calibration
2.4. Experimental Conditions
3. Results and Discussion
3.1. The Impact of Different Factors on the Maximum Ceiling Temperature Rise
3.2. The Impact of Different Factors on Ceiling Temperature Decay Pattern
4. Conclusions
- The distribution of interior tunnel ceiling temperatures is influenced by two factors: the heat release rate and the longitudinal ventilation velocity. During the operation of jet fans, a notable increase in velocity at the top of the tunnel is observed, resulting in a considerable reduction in the maximum ceiling temperature rise.
- The presence of longitudinal ventilation will cause the flame to shift downstream from the fire source. An increase in the longitudinal ventilation velocity has been shown to accelerate the spread of smoke. When the velocity exceeds the critical velocity, the smoke ceases to flow back, and high-temperature areas exceeding 60 °C are only present above and downstream of the fire source.
- The presence of beams has been shown to induce turbulence in the longitudinal ventilation airflow beneath the tunnel ceiling. The magnitude of this phenomenon is directly proportional to the beam spacing; the greater the beam spacing, the more pronounced the phenomenon. This results in fluctuations in the ceiling temperature rise near the fire source.
- The beam height exerts a substantial influence on the smoke storage capacity within the open cavities formed between adjacent beams, consequently affecting the overall ceiling temperature rise. It is evident that the greater the beam height, the more pronounced the overall ceiling temperature rise in the vicinity of the fire source, while concurrently exhibiting a decrease in ceiling temperature downstream of the fire source.
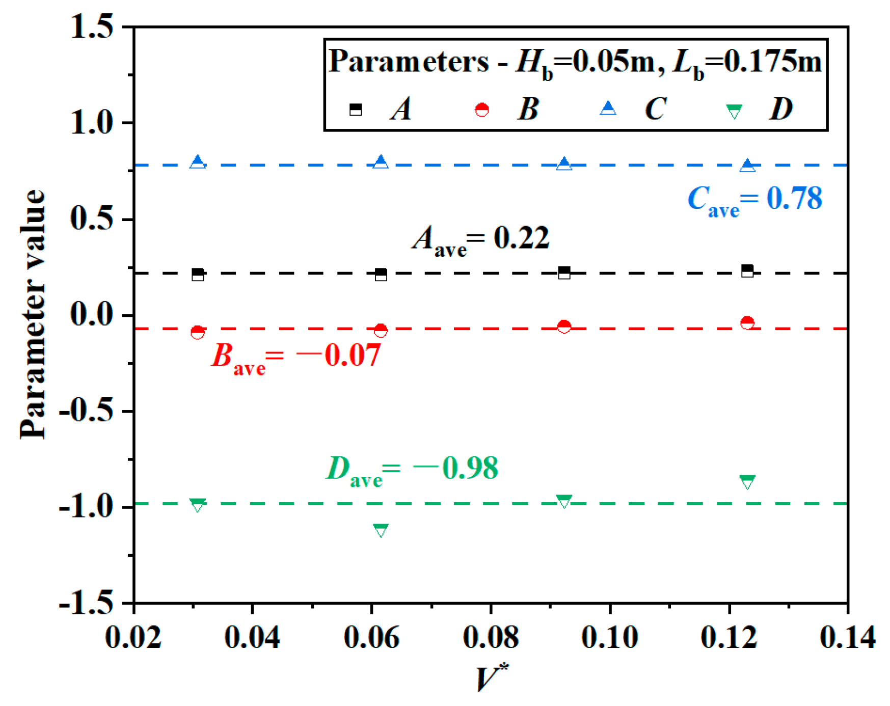
- Through the application of data fitting techniques, a prediction model for the ceiling longitudinal temperature decay downstream of the fire source, related to the dimensionless heat release rate Q*, was obtained for the absence of beams. In the context of beams, a predictive model has been derived for the longitudinal decay in ceiling temperature downstream of a fire source. This model is related to the dimensionless beam dimension Hb/Lb.
Author Contributions
Funding
Data Availability Statement
Acknowledgments
Conflicts of Interest
References
- Chen, L.; Mao, P.; Zhang, Y.; Xing, S.; Li, T. Experimental study on smoke characteristics of bifurcated tunnel fire. Tunn. Undergr. Space Technol. 2020, 98, 103295. [Google Scholar] [CrossRef]
- Huang, Y.; Li, Y.; Li, J.; Wu, K.; Li, H.; Zhu, K. Experimental study on the temperature longitudinal distribution induced by a branched tunnel fire. Int. J. Therm. Sci. 2021, 170, 107175. [Google Scholar] [CrossRef]
- Yoon, S.; Rie, D.; Kim, Y. Smoke control of a fire in a tunnel with vertical shaft. J. Loss Prev. Process Ind. 2009, 22, 954–957. [Google Scholar] [CrossRef]
- Huang, J.; Zhu, G.; Yu, M.; Gu, S. Effect of Smoke Barrier in Narrow Space on Smoke Flow Utilizing CFD. Procedia Eng. 2016, 135, 142–150. [Google Scholar] [CrossRef]
- Chaabat, F.; Creyssels, M.; Mos, A.; Wingrave, J.; Correia, H.; Marro, M.; Salizzoni, P. The effects of solid barriers and blocks on the propagation of smoke within longitudinally ventilated tunnels. Build. Environ. 2019, 160, 106207. [Google Scholar] [CrossRef]
- Halawa, T.; Safwat, H. Fire-smoke control strategies in road tunnels: The effectiveness of solid barriers. Case Stud. Therm. Eng. 2021, 27, 101260. [Google Scholar] [CrossRef]
- Wei, L.; Tang, H.; Zhao, J.; Chen, S.; Xie, Y.; Feng, S.; Xu, Z.; Yu, Z. Fire Hazard Analysis on Different Fire Source Locations in Multi-Segment Converging Tunnel with Structural Beams. Fire 2023, 6, 444. [Google Scholar] [CrossRef]
- Zhang, X.; Shi, C.; Hu, L. Temperature profile of impingement flow in the corner between wall and inclined ceiling induced by gaseous fuel jet flame. Fuel 2020, 259, 116232. [Google Scholar] [CrossRef]
- Takeuchi, S.; Aoki, T.; Tanaka, F.; Moinuddin, K. Modeling for predicting the temperature distribution of smoke during a fire in an underground road tunnel with vertical shafts. Fire Saf. J. 2017, 91, 312–319. [Google Scholar] [CrossRef]
- Tang, F.; Mei, F.; Wang, Q.; He, Z.; Fan, C.; Tao, C. Maximum temperature beneath the ceiling in tunnel fires with combination of ceiling mechanical smoke extraction and longitudinal ventilation. Tunn. Undergr. Space Technol. 2017, 68, 231–237. [Google Scholar] [CrossRef]
- Qiu, D.; Yang, J.; Liu, C.; Zheng, Y.; Zheng, J. Experimental study on temperature distribution beneath tunnel ceiling under the condition of transverse double fire sources. Tunn. Undergr. Space Technol. 2023, 132, 104889. [Google Scholar] [CrossRef]
- Li, L.; Wang, Z.; Wu, Z.; Huang, H.; Zhang, H.; Gao, Z. Experimental study on transverse fire source and blockage locations influence on tunnel fire temperature distribution. Case Stud. Therm. Eng. 2024, 61, 105132. [Google Scholar] [CrossRef]
- Chen, Y.; Feng, Q.; Zhao, Y.; Wang, P.; Zhang, Y. Ceiling temperature rise and critical ventilation velocity under the influence of burner dimensions in tunnel fires. Tunn. Undergr. Space Technol. 2024, 150, 105808. [Google Scholar] [CrossRef]
- Zhang, Y.; Xing, S.; Chen, R.; Chen, L.; Li, T.; Mao, P. Experimental study on maximum temperature beneath tunnel ceiling under the condition of double fire sources. Tunn. Undergr. Space Technol. 2020, 106, 103624. [Google Scholar] [CrossRef]
- Pan, R.; Hostikka, S.; Zhu, G.; Xu, G.; Liu, X. Two-Dimensional Analysis on Ceiling Jet Temperature Characteristics in a Semicircular Tunnel. Fire Technol. 2022, 58, 959–990. [Google Scholar] [CrossRef]
- Ura, F.; Kawabata, N.; Tanaka, F. Characteristics of smoke extraction by natural ventilation during a fire in a shallow urban road tunnel with roof openings. Fire Saf. J. 2014, 67, 96–106. [Google Scholar] [CrossRef]
- Carvel, R.; Beard, A.; Jowitt, P. The influence of longitudinal ventilation systems on fires in tunnels. Tunn. Undergr. Space Technol. 2001, 16, 3–21. [Google Scholar] [CrossRef]
- Chaabat, F.; Salizzoni, P.; Creyssels, M.; Mos, A.; Wingrave, J.; Correia, H.; Marro, M. Smoke control in tunnel with a transverse ventilation system: An experimental study. Build. Environ. 2020, 167, 106480. [Google Scholar] [CrossRef]
- Gannouni, S. Critical velocity for preventing thermal backlayering flow in tunnel fire using longitudinal ventilation system: Effect of floor-fire separation distance. Int. J. Therm. Sci. 2022, 171, 107192. [Google Scholar] [CrossRef]
- Lee, E.; Oh, C.; Oh, K.; Yoo, Y.; Shin, H. Performance of the smoke extraction system for fires in the Busan-Geoje immersed tunnel. Tunn. Undergr. Space Technol. 2010, 25, 600–606. [Google Scholar] [CrossRef]
- Tanaka, F.; Majima, S.; Kato, M.; Kawabata, N. Performance validation of a hybrid ventilation strategy comprising longitudinal and point ventilation by a fire experiment using a model-scale tunnel. Fire Saf. J. 2015, 71, 287–298. [Google Scholar] [CrossRef]
- Dessì, R.; Fruhwirt, D.; Papurello, D. A Study on Large Electric Vehicle Fires in a Tunnel: Use of a Fire Dynamics Simulator (FDS). Processes 2025, 13, 2435. [Google Scholar] [CrossRef]
- Li, Y.; Fan, C.; Ingason, H.; Lonnermark, A.; Ji, J. Effect of cross section and ventilation on heat release rates in tunnel fires. Tunn. Undergr. Space Technol. 2016, 51, 414–423. [Google Scholar] [CrossRef]
- Weisenpacher, P.; Glasa, J.; Valasek, L. Investigation of Various Fire Dynamics Simulator Approaches to Modelling Airflow in Road Tunnel Induced by Longitudinal Ventilation. Fire 2025, 8, 74. [Google Scholar] [CrossRef]
- Yu, Z.; Zhao, J.; Xu, Z.; Chen, S.; Xie, B. Study of the flow field characteristics and pressure prediction of jet fans in the tunnel with building beams. J. Wind. Eng. Ind. Aerod. 2024, 254, 105873. [Google Scholar] [CrossRef]
- Baek, D.; Sung, K.; Ryou, H. Experimental study on the effect of heat release rate and aspect ratio of tunnel on the plug-holing phenomena in shallow underground tunnels. Int. J. Heat Mass Tran. 2017, 113, 1135–1141. [Google Scholar] [CrossRef]
- Yan, W.; Li, C.; Zhao, P.; Gao, Z. Validation of the Froude model applicability for flame and thermal properties of tunnel fires with different cross-section scale ratios. Int. Commun. Heat Mass Tansfer 2025, 164, 108916. [Google Scholar] [CrossRef]
- Zhu, Y.; Tang, F.; Huang, Y. Experimental study on the smoke plug-holing phenomenon and criteria in a tunnel under the lateral smoke extraction. Tunn. Undergr. Space Technol. 2022, 121, 104330. [Google Scholar] [CrossRef]
- Yao, Y.; Li, Y.; Ingason, H.; Cheng, X. The characteristics of under-ventilated pool fires in both model and medium-scale tunnels. Tunn. Undergr. Space Technol. 2019, 87, 27–40. [Google Scholar] [CrossRef]
- Gong, L.; Jiang, L.; Li, S.; Shen, N.; Zhang, Y.; Sun, J. Theoretical and experimental study on longitudinal smoke temperature distribution in tunnel fires. Int. J. Therm. Sci. 2016, 102, 319–328. [Google Scholar] [CrossRef]
- Oka, Y.; Atkinson, G. Control of smoke flow in tunnel fires. Fire Saf. J. 1995, 25, 305–322. [Google Scholar] [CrossRef]
























| Test No. | Heat Release Rate Q (kW) | Beam Height Hb (m) | Beam Spacing Lb (m) | Jet Fan Velocity vj (m) | Environmental Velocity vr (m/s) |
|---|---|---|---|---|---|
| 1–20 | 1.88, 4.33, 7.83, 10.18 | - | - | 7.27 | 0, 0.22, 0.45, 0.67, 0.89 |
| 21–140 | 1.88, 4.33, 7.83, 10.18 | 0.05 | 0.075, 0.175, 0.375 | 0, 7.27 | 0, 0.22, 0.45, 0.67, 0.89 |
| 141–220 | 1.88, 4.33, 7.83, 10.18 | 0.1 | 0.075, 0.175 | 0, 7.27 | 0, 0.22, 0.45, 0.67, 0.89 |
Disclaimer/Publisher’s Note: The statements, opinions and data contained in all publications are solely those of the individual author(s) and contributor(s) and not of MDPI and/or the editor(s). MDPI and/or the editor(s) disclaim responsibility for any injury to people or property resulting from any ideas, methods, instructions or products referred to in the content. |
© 2025 by the authors. Licensee MDPI, Basel, Switzerland. This article is an open access article distributed under the terms and conditions of the Creative Commons Attribution (CC BY) license (https://creativecommons.org/licenses/by/4.0/).
Share and Cite
Feng, S.; Yi, L.; Xu, Z.; Yu, Z. Study on the Fire Temperature Pattern of Tunnels with Beams Under the Longitudinal Smoke Exhaust Mode. Fire 2025, 8, 388. https://doi.org/10.3390/fire8100388
Feng S, Yi L, Xu Z, Yu Z. Study on the Fire Temperature Pattern of Tunnels with Beams Under the Longitudinal Smoke Exhaust Mode. Fire. 2025; 8(10):388. https://doi.org/10.3390/fire8100388
Chicago/Turabian StyleFeng, Shilin, Liang Yi, Zhisheng Xu, and Zihan Yu. 2025. "Study on the Fire Temperature Pattern of Tunnels with Beams Under the Longitudinal Smoke Exhaust Mode" Fire 8, no. 10: 388. https://doi.org/10.3390/fire8100388
APA StyleFeng, S., Yi, L., Xu, Z., & Yu, Z. (2025). Study on the Fire Temperature Pattern of Tunnels with Beams Under the Longitudinal Smoke Exhaust Mode. Fire, 8(10), 388. https://doi.org/10.3390/fire8100388
