Spatio-Temporal Analysis of Wildfire Regimes in Miombo of the LevasFlor Forest Concession, Central Mozambique
Abstract
1. Introduction
2. Materials and Methods
2.1. Study Area
2.2. Data Collection and Acquisition
2.2.1. MODIS Products
2.2.2. Land Cover Data, Climate Data and Complementary Geographic Data
2.3. Data Analysis
2.3.1. Fire Frequency and Fire Return Interval
2.3.2. Fire Seasonality
2.3.3. Fire Intensity
2.3.4. Fire Incidence and Land Cover
2.3.5. Fire Hotspot Analysis
2.3.6. The Influence of Environmental Factors on the Occurrence of Fires
2.3.7. Validation of the MODIS Products
3. Results
3.1. Annual Fire Incidence
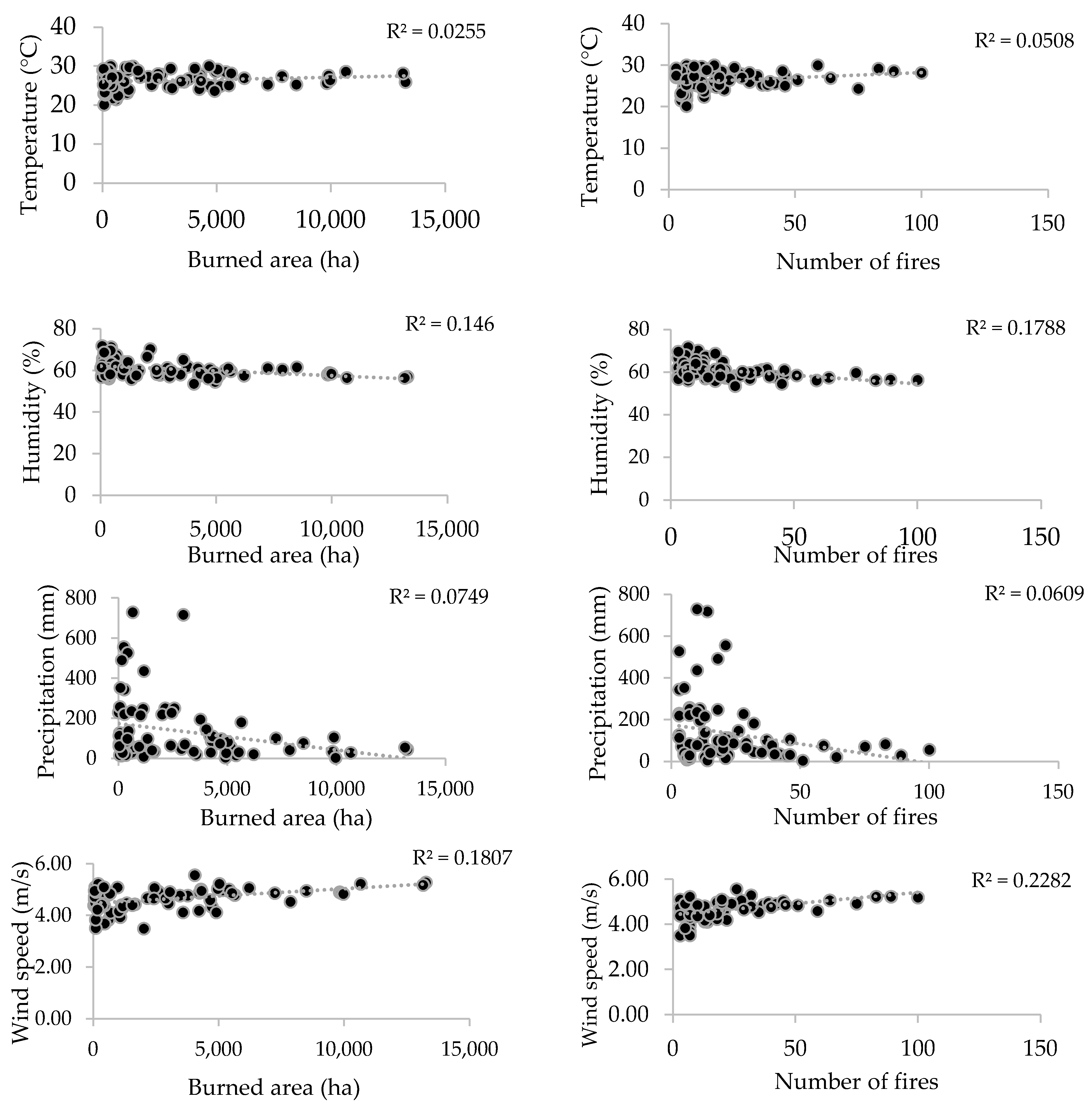
3.2. Environmental Factors Explaining Burned Areas and Active Fires
3.3. Fire Intensity
3.4. Fire Frequency and Density from 2001 to 2022
3.5. Fire Incidence and Land Cover
3.6. Hotspot Analysis of Active Fires
4. Discussion
4.1. Fire Incidence in LFC
4.2. Fire Seasonality
4.3. Fires Incidence and Land Cover
4.4. Fire Frequency and Return Interval
4.5. Hotspot Analysis
4.6. Accuracy Assessment of MODIS-Derived Burned Area Maps
5. Conclusions
Author Contributions
Funding
Institutional Review Board Statement
Informed Consent Statement
Data Availability Statement
Acknowledgments
Conflicts of Interest
References
- Ribeiro, N.S.; Armstrong, A.H.; Fischer, R.; Kim, Y.S.; Shugart, H.H.; Ribeiro-Barros, A.I.; Chauque, A.; Tear, T.; Washington-Allen, R.; Bandeira, R.R. Prediction of forest parameters and carbon accounting under different fire regimes in Miombo woodlands, Niassa Special Reserve, Northern Mozambique. For. Policy Econ. 2021, 133, 102625. [Google Scholar] [CrossRef]
- Joaquim-Meque, E.; Lousada, J.; Liberato, M.L.R.; Fonseca, T.F. Forest in Mozambique: Actual Distribution of Tree Species and Potential Threats. Land 2023, 12, 1519. [Google Scholar] [CrossRef]
- Sitoe, A.; Salomão, A.; Wertz-Kanounnikoff, S. The Context of REDD+ in Mozambique: Drivers, Agents and Institutions; CIFOR: Bogor, Indonesia, 2012; 79p. [Google Scholar]
- Bila, J.M.; Sanquetta, C.R.; Corte, A.P.D.; De Freitas, L.J.M. Diametric distribution and main tree species present in the Miombo, Mopane and Mecrusse ecosystems in Mozambique. Braz. For. Res. 2018, 38, e201701523. [Google Scholar] [CrossRef]
- Chidumayo, E.N. Miombo Ecology and Management: An Introduction; Stockholm Environment Institute: Stockholm, Sweden, 1997; 166p. [Google Scholar]
- Käll, K. The role of fire in the Miombo forest: And the adaptation of the Community-based forest management to meet local needs. Environ. Sci. 2006, 24. [Google Scholar]
- Timberlake, J.; Chidumayo, E.; Sawadogo, L. Distribution and characteristics of African dry forests and woodlands. In The Dry Forests and Woodlands of Africa; Routledge: England, UK, 2010; pp. 11–41. [Google Scholar]
- Frost, P. The Ecology of Miombo Woodlands. In The Miombo in Transition: Woodlands and Welfare in Africa; Campbell, B.M., Ed.; CIFOR: Bogor, Indonesia, 1996; pp. 11–57. [Google Scholar]
- Ribeiro, N.S.; Cangela, A.; Chauque, A.; Bandeira, R.R.; Ribeiro, A. Characterisation of spatial and temporal distribution of the fire regime in Niassa National Reserve, northern Mozambique. Int. J. Wildland Fire 2017, 26, 1021–1029. [Google Scholar] [CrossRef]
- Ribeiro, N.S. Interaction between Fires and Elephants in Relation to Vegetation Structure and Composition of Miombo Woodlands in Northern Mozambique. Ph.D. Thesis, University of Virginia, Charlottesville, VA, USA, 2007; 234p. [Google Scholar]
- Hoffmann, A.A.; Parry, J.E.; Cuambe, C.C.D.; Kwesha, D.; Zhakata, W. Climate change and wildland fires in Mozambique. In Tropical Fire Ecology: Climate Change, Land Use, and Ecosystem Dynamics; Springer: Berlin/Heidelberg, Germany, 2009; pp. 227–259. [Google Scholar]
- Scholes, M.; Andreae, M.O. Biogenic and pyrogenic emissions from Africa and their impact on the global atmosphere. Ambio 2000, 29, 23–29. [Google Scholar] [CrossRef]
- Sinha, P.; Hobbs, P.V.; Yokelson, R.J.; Blake, D.R.; Gao, S.; Kirchstetter, T.W. Emissions from Miombo woodland and Dambo grassland savanna fires. J. Geophys. Res. Atmos. 2004, 109, 1–13. [Google Scholar] [CrossRef]
- Wilson, S.A.; Scholes, R.J. The climate impact of land use change in the Miombo region of south-central Africa. J. Integr. Environ. Sci. 2020, 17, 187–203. [Google Scholar] [CrossRef]
- Jew, E.K.; Dougill, A.J.; Sallu, S.M.; O’Connell, J.; Benton, T.G. Miombo woodland under threat: Consequences for tree diversity and carbon storage. For. Ecol. Manag. 2016, 361, 144–153. [Google Scholar] [CrossRef]
- Wingqvist, O.G. Environment and Climate Change Policy Brief—Mozambique; Swedish Agency for International Development Cooperation Swedish: Stockholm, Sweden; University of Agricultural Sciences: Uppsala, Sweden; University of Gothenburg: Chalmers, Sweden, 2011; 23p. [Google Scholar]
- Buramuge, V.A.; Ribeiro, N.S.; Olsson, L.; Bandeira, R.R. Exploring Spatial Distributions of Land Use and Land Cover Change in Fire-Affected Areas of Miombo Woodlands of the Beira Corridor, Central Mozambique. Fire 2023, 6, 77. [Google Scholar] [CrossRef]
- Gajović, V.; Todorović, B. Spatial and temporal analysis of fires in Serbia for period 2000–2013. J. Geogr. Inst. Jovan Cvijic SASA 2013, 63, 297–312. [Google Scholar] [CrossRef]
- Reddy, C.S.; Bird, N.G.; Sreelakshmi, S.; Manikandan, T.M.; Asra, M.; Krishna, P.H.; Diwakar, P.G. Identification and characterization of spatio-temporal hotspots of forest fires in South Asia. Environ. Monit. Assess. 2019, 191, 1–17. [Google Scholar] [CrossRef] [PubMed]
- Archibald, S.; Roy, D.P.; van Wilgen, B.W.; Scholes, R.J. What limits fire? An examination of drivers of burnt areas in southern Africa. In: Fire Regimes in Southern Africa-Determinants, Drivers and Feedbacks. Glob. Change Biol. 2010, 15, 613–630. [Google Scholar] [CrossRef]
- Dwyer, E.; Pereira, J.M.; Grégoire, J.M.; DaCamara, C.C. Characterization of the spatio-temporal patterns of global fire activity using satellite imagery for the period April 1992 to March 1993. J. Biogeogr. 2000, 27, 57–69. [Google Scholar] [CrossRef]
- Ryan, C.M.; Williams, M. How does fire intensity and frequency affect Miombo woodland tree populations and biomass? Ecol. Appl. 2011, 21, 48–60. [Google Scholar] [CrossRef] [PubMed]
- Cangela, A.D.C.N.P. Caracterização e Mapeamento do Regime de Queimadas na Reserva Nacional do Niassa. Master’s Thesis, UEM, Maputo, Mozambique, 2014; 72p. [Google Scholar]
- Ministério da Terra, Ambiente e Desenvolvimento Rural (MITADER). Mozambique’s Forest Reference Emission Level for Reducing Emissions from Deforestation in Natural Forests, 10th ed.; República de Moçambique. Ministério da Terra, Ambiente e Desenvolvimento Rural: Maputo, Mozambique, 2018; 50p. [Google Scholar]
- Direcção Nacional De Florestas (DNAF). Inventário Florestal Nacional; relatório final; República De Moçambique Ministério Da Terra, Ambiente E Desenvolvimento Rural, Direcção Nacional De Florestas: Maputo, Mozambique, 2018; 118p. [Google Scholar]
- Magadzire, N. Reconstruction of a Fire Regime Using MODIS Burned Area Data: Charara Safari Area, Zimbabwe. Ph.D. Thesis, Stellenbosch University, Stellenbosch, South africa, 2013; 85p. [Google Scholar]
- Zolho, R. Effect of Fire Frequency on the Regeneration of Miombo Woodland in Nhambita, Mozambique. Master’s Thesis, Science University of Edinburgh, Scotland, UK, 2005; 63p. [Google Scholar]
- Tarimo, B.; Dick, Ø.; Gobakken, T.; Totland, O. Spatial distribution of temporal dynamics in anthropogenic fires in Miombo savanna woodlands of Tanzania. Carbon Balance Manag. 2015, 10, 18. [Google Scholar] [CrossRef] [PubMed]
- Dahan, K.S.; Kasei, R.A.; Husseini, R. Contribution of remote sensing to wildfire trend and dynamic analysis in two of Ghana’s ecological zones: Guinea-savanna and Forest-savanna mosaic. Fire Ecol. 2023, 19, 42. [Google Scholar] [CrossRef]
- Justice, C.O.; Giglio, L.; Korontzi, S.; Owens, J.; Morisette, J.T.; Roy, D.; Descloitres, J.; Alleaume, S.; Petitcolin, F.; Kaufman, Y. The MODIS fire products. Remote Sens. Environ. 2002, 83, 244–262. [Google Scholar] [CrossRef]
- Giglio, L.A.; Humber, M.; Hall, J.V.; Argueta, F. Collection 6.1 MODIS Burned Area Product User’s Guide Version 1.1; NASA EOSDIS Land Processes DAAC: Sioux Falls, SD, USA, 2022; pp. 11–27. [Google Scholar]
- Naftal, B.; Kija, H.K.; William, C.; Noe, C.; Anderson, D.; Stewart, F.A.; Piel, A.K. Spatial and temporal pattern of wildfires in the Masito Ugalla Ecosystem (2008–2019). IOSR J. Environ. Sci. Toxicol. Food Technol. 2022, 16, 12–19. [Google Scholar] [CrossRef]
- Araújo, F.D.; Ferreira, L.G., Jr. Validação do produto MODIS MCD45A1 área queimada utilizando imagens LANDSAT TM para o bioma Cerrado. In Proceedings of the Simpósio Brasileiro de Sensoriamento Remoto, Curitiba, PR, Brasil, 30 April–5 May 2011; pp. 6410–6417. [Google Scholar]
- Nieman, W.A.; Van Wilgen, B.W.; Leslie, A.J. A reconstruction of the recent fire regimes of Majete Wildlife Reserve, Malawi. Fire Ecol. 2021, 17, 36. [Google Scholar] [CrossRef]
- Chaúque, M. Plano de Maneio Florestal Para a Concessão Florestal de Condue, distritos de Muanza e Cheringoma; Ministry of Land and Enviroment: Maputo, Mozambique, 2020; 76p. [Google Scholar]
- Mpakairi, K.S.; Tagwireyi, P.; Ndaimani, H.; Madiri, H.T. Distribution of wildland fires and possible hotspots for the Zimbabwean Kavango-Zambezi Transfrontier Conservation Area component. South Afr. Geogr. J. 2019, 101, 110–120. [Google Scholar] [CrossRef]
- Zahran, E.S.M.M.; Shams, S.; Said, S.N.B.M.; Zahran, E.S.M.M.; Gadong, B.; Brunei-Muara, B.D. Validation Of Forest Fire Hotspot Analysis In Gis Using Forest Fire Contributory Factors. Syst. Rev. Pharm. 2020, 11, 249–255. [Google Scholar]
- Oom, D.; Pereira, J.M. Exploratory spatial data analysis of global MODIS active fire data. Int. J. Appl. Earth Obs. Geoinf. 2013, 21, 326–340. [Google Scholar] [CrossRef]
- FNDS. Relatório do Mapa de Cobertura Florestal de Moçambique de 2016; FNDS: Maputo, Mozambique, 2019; 100p. [Google Scholar]
- Campbell, J.; Wayne, R. Introduction to Remote Sensing, 5th ed.; The Guilford Press: New York, NY, USA, 2011; 701p. [Google Scholar]
- Kaiser, J.W.; Heil, A.; Andreae, M.O.; Benedetti, A.; Chubarova, N.; Jones, L.; Van Der Werf, G.R. Biomass burning emissions estimated with a global fire assimilation system based on observed fire radiative power. Biogeosciences 2012, 9, 527–554. [Google Scholar] [CrossRef]
- Vadrevu, K.P.; Csiszar, I.; Ellicott, E.; Giglio, L.; Badarinath, K.V.S.; Vermote, E.; Justice, C. Hotspot analysis of vegetation fires and intensity in the Indian region. IEEE J. Sel. Top. Appl. Earth Obs. Remote Sens. 2013, 6, 224–238. [Google Scholar] [CrossRef]
- Kumar, S.; Kumar, A. Hotspot and trend analysis of forest fires and its relation to climatic factors in the western Himalayas. Nat. Hazards 2022, 114, 3529–3544. [Google Scholar] [CrossRef]
- Aftergood, O.; Flannigan, M. Identifying and analyzing spatial and temporal patterns of lightning-ignited wildfires in Western Canada from 1981–2018. Can. J. For. Res. 2022, 52, 1399–1411. [Google Scholar] [CrossRef]
- Chen, C.Y.; Yang, Q.-H. Hotspot Analysis of the Spatial and Temporal Distribution of Fires. In Proceedings of the GISTAM 2018—4th International Conference on Geographical Information Systems Theory, Applications and Management, Funchal, Portugal, 17–19 March 2018; pp. 15–21. [Google Scholar] [CrossRef]
- Rossi, F.; Becker, G. Creating forest management units with Hot Spot Analysis (Getis-Ord Gi*) over a forest affected by mixed-severity fires. Aust. For. 2019, 82, 166–175. [Google Scholar] [CrossRef]
- World Metereological Organization. Past Eight Years Confirmed to Be the Eight Warmest on Record. 2023. Available online: https://public.wmo.int/en/media/press-release/past-eight-years-confirmed-be-eight-warmest-record (accessed on 12 December 2023).
- Frost, P.; Robertson, F. The ecological role of fire in savannas. Determinants of Tropical Savannas. In The International Union of Biological Sciences; IRL Press: Oxford, UK, 1987; pp. 93–140. [Google Scholar]
- Shirvani, Z.; Abdi, O.; Goodman, R.C. High-Resolution Semantic Segmentation of Woodland Fires Using Residual Attention UNet and Time Series of Sentinel-2. Remote Sens. 2023, 15, 1342. [Google Scholar] [CrossRef]
- Leblon, B.; San, J.; Bourgeau-Chavez, L. Use of remote sensing in wildfire management. Chapter 3. In Sustainable Development-Authoritative and Leading Edge Content for Environmental Management; Western Michigan University: Sime Curkovic, MI, USA, 2012; pp. 57–81. [Google Scholar] [CrossRef]
- Saito, M.; Luyssaert, S.; Poulter, B.; Williams, M.; Ciais, P.; Bellassen, V.; Ryan, C.M.; Yue, C.; Cadule, P.; Peylin, P. Fire regimes and variability in aboveground woody biomass in miombo woodland. Journal of Geophysical Research. Biogeosciences 2014, 119, 1014–1029. [Google Scholar] [CrossRef]
- Lourenco, M.; Woodborne, S.; Fitchett, J.M. Fire regime of peatlands in the Angolan Highlands. Environ. Monit. Assess. 2023, 195, 78. [Google Scholar] [CrossRef] [PubMed]
- Van Wilgen, B.W.; De Klerk, H.M.; Stellmes, M.; Archibald, S. An analysis of the recent fire regimes in the Angolan catchment of the Okavango Delta, Central Africa. Fire Ecol. 2022, 18, 13. [Google Scholar] [CrossRef]
- Kaufman, Y.J.; Ichoku, C.; Giglio, L.; Korontzi, S.; Chu, D.A.; Hao, W.M.; Justice, C.O. Fire and smoke observed from the Earth Observing System MODIS instrument—Products, validation, and operational use. Int. J. Remote Sens. 2003, 24, 1765–1781. [Google Scholar] [CrossRef]











| Cluster Type | Gi* z-Scores | Confidence (%) |
|---|---|---|
| Hotspot | >1.65 | 90 |
| >1.96 | 95 | |
| >2.58 | 99 | |
| Cold spot | <−1.65 <−1.96 | 90 95 |
| <−2.58 | 99 |
Disclaimer/Publisher’s Note: The statements, opinions and data contained in all publications are solely those of the individual author(s) and contributor(s) and not of MDPI and/or the editor(s). MDPI and/or the editor(s) disclaim responsibility for any injury to people or property resulting from any ideas, methods, instructions or products referred to in the content. |
© 2024 by the authors. Licensee MDPI, Basel, Switzerland. This article is an open access article distributed under the terms and conditions of the Creative Commons Attribution (CC BY) license (https://creativecommons.org/licenses/by/4.0/).
Share and Cite
Meneses, O.M.; Ribeiro, N.S.; Shirvani, Z.; Andrew, S.M. Spatio-Temporal Analysis of Wildfire Regimes in Miombo of the LevasFlor Forest Concession, Central Mozambique. Fire 2024, 7, 264. https://doi.org/10.3390/fire7080264
Meneses OM, Ribeiro NS, Shirvani Z, Andrew SM. Spatio-Temporal Analysis of Wildfire Regimes in Miombo of the LevasFlor Forest Concession, Central Mozambique. Fire. 2024; 7(8):264. https://doi.org/10.3390/fire7080264
Chicago/Turabian StyleMeneses, Osvaldo M., Natasha S. Ribeiro, Zeinab Shirvani, and Samora M. Andrew. 2024. "Spatio-Temporal Analysis of Wildfire Regimes in Miombo of the LevasFlor Forest Concession, Central Mozambique" Fire 7, no. 8: 264. https://doi.org/10.3390/fire7080264
APA StyleMeneses, O. M., Ribeiro, N. S., Shirvani, Z., & Andrew, S. M. (2024). Spatio-Temporal Analysis of Wildfire Regimes in Miombo of the LevasFlor Forest Concession, Central Mozambique. Fire, 7(8), 264. https://doi.org/10.3390/fire7080264

