Experimental Investigation and Theoretical Analysis of Flame Spread Dynamics over Discrete Thermally Thin Fuels with Various Inclination Angles and Gap Sizes
Abstract
1. Introduction
2. Materials and Methods
3. Results and Discussion
3.1. Flame Spread Behavior Characterization
3.2. Characteristic Flame Lengths
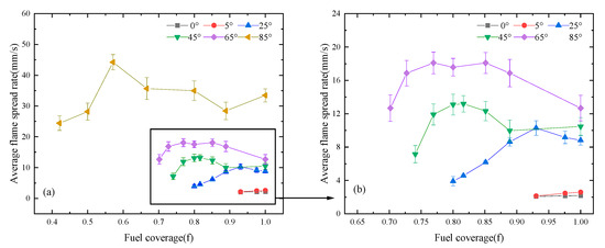
3.3. Flame Spread Rate
4. Conclusions
- At lower angles, the flame front exhibited a smooth envelope with minimal fluctuations. However, at higher inclination angles, turbulent flame structures became increasingly apparent. Nevertheless, the burning intensity diminished, resulting in more stable flames, especially when the gap distance was sufficiently large, even at high inclination angles. In instances of smaller gap distances, flames leaped across the air gap. As the gap distance increased, flames propagated across the gap by relying on continuous heating from the preceding fuel flame, often accompanied by flame splitting.
- Both flame height and flame width exhibited an initial increase followed by a decrease with the increase in fuel coverage, reaching their peak values at specific points. Higher fuel coverage levels facilitated the entrainment of air and effective fuel mixing in the relatively small air gap, accelerating combustion and resulting in a larger flame size. Conversely, at low fuel coverage, larger air gaps hindered flame propagation due to the increasingly challenging ignition of the next sample, resulting in a smaller flame size.
- The flame spread rate demonstrated an initial increase followed by a decrease with the increase in fuel coverage, reaching a maximum value at fuel coverage rates between 0.93 and 0.571 for various inclination angles. We proposed a theoretical model to predict flame spread which effectively elucidates and predicts the interplay among flame spread rate, inclination angle, and fuel coverage. Furthermore, we delineated distinct regions within the map formed by inclination angle and fuel coverage, including the accelerated flame spread region, the flame spread weakening region, and the failed flame spread region.
Author Contributions
Funding
Institutional Review Board Statement
Informed Consent Statement
Data Availability Statement
Conflicts of Interest
References
- Quintiere, J.G. Fundamentals of Fire Phenomena; John Wiley & Sons Ltd.: Chichester, UK, 2006. [Google Scholar]
- Watanabe, Y.; Torikai, H.; Ito, A. Flame spread along a thin solid randomly distributed combustible and noncombustible areas. Proc. Combust. Inst. 2011, 33, 2449–2455. [Google Scholar] [CrossRef]
- Gollner, M.J.; Xie, Y.; Lee, M.; Nakamura, Y.; Rangwala, A.S. Burning behavior of vertical matchstick arrays. Combust. Sci. Technol. 2012, 184, 585–607. [Google Scholar] [CrossRef]
- Miller, C.H.; Gollner, M.J. Upward flame spread over discrete fuels. Fire Saf. J. 2015, 77, 36–45. [Google Scholar] [CrossRef]
- Carrier, G.F.; Fendell, F.E.; Wolff, M.F. Wind-aided fire spread across arrays of discrete fuel elements. I. Theory. Combust. Sci. Technol. 1991, 75, 31–51. [Google Scholar] [CrossRef]
- Fernandez-Pello, A.C.; Williams, F.A. Laminar spread over PMMA surfaces. In Symposium (Int.) on Combustion, 15th ed.; The Combustion Institute: Pittsburgh, PA, USA, 1975. [Google Scholar]
- Fernandez-Pello, A.C.; Santoro, R.J. On the dominant mode of the transfer in downward flame spread. In Symposium (International) on Combustion, 17th ed.; The Combustion Institute: Pittsburgh, PA, USA, 1979. [Google Scholar]
- Iii, M.A.; Magee, R.S. The mechanism of flame spreading over the surface of igniting condensed-phase materials. Symp. Combust. 1969, 12, 215–227. [Google Scholar]
- Orloff, L.; De Ris, J.; Markstein, G.H. Upward turbulent fire spread and burning of fuel surface. In Symposium (International) on Combustion, 15th ed.; The Combustion Institute: Pittsburgh, PA, USA, 1975. [Google Scholar]
- Di Blasi, C.; Crescitelli, S.; Russo, G. Near-Limit Flame Spread over Thick Fuels in a Concurrent Forced Flow. Combust. Flame 1988, 72, 205–212. [Google Scholar] [CrossRef]
- Quintiere, J. Fire Spread on Surfaces and Through Solid Media. In Fundamentals of Fire Phenomena; John Wiley & Sons Ltd.: Hoboken, NJ, USA, 2006; pp. 191–225. [Google Scholar]
- Vogel, M.; Williams, F.A. Flame propagation along matchstick arrays. Combust. Sci. Technol. 1970, 1, 429–436. [Google Scholar] [CrossRef]
- Finney, M.A.; Cohen, J.D.; Grenfell, I.C.; Yedinak, K.M. An examination of fire spread thresholds in discontinuous fuel beds. Int. J. Wildland Fire 2010, 19, 163–170. [Google Scholar] [CrossRef]
- Di Cristina, G.; Skowronski, N.S.; Simeoni, A.; Rangwala, A.S.; Im, S.K. Flame spread behavior characterization of discrete fuel array under a forced flow. In Proceedings of the 38th International Symposium on Combustion, Adelaide, Australia, 24–29 January 2021; Elsevier Limited: Amsterdam, The Netherlands, 2021. [Google Scholar]
- Gollner, M.; Huang, X.Y.; Cobian, J.; Rangwala, A.S.; Williams, F.A. Experimental study of upward flame spread of an inclined fuel surface. Proc. Combust. Inst. 2013, 34, 2531–2538. [Google Scholar] [CrossRef]
- Prahl, J.M.; Tien, J.S. Preliminary investigations of forced convection on flame propagation along paper and matchstick arrays. Combust. Sci. Technol. 1973, 7, 271–282. [Google Scholar] [CrossRef]
- Lai, Y.; Wang, X.; Rockett, T.B.; Willmott, J.R.; Zhang, Y. Investigation into wind effects on fire spread on inclined wooden rods by multi-spectrum and schlieren imaging. Fire Saf. J. Int. J. Devoted Res. Fire Saf. Sci. Eng. 2022, 127, 103513. [Google Scholar] [CrossRef]
- Hwang, C.C.; Xie, Y. Flame propagation along Matchstick Arrayson, inclined base boards. Combust. Sci. Technol. 1984, 42, 1–12. [Google Scholar] [CrossRef]
- Ohtani, H.; Ohta, K.; Uehara, Y. Effect of orientation on burning rate of solid combustible. Fire Mater. 1991, 15, 191–193. [Google Scholar] [CrossRef]
- Park, J.; Brucker, J.; Seballos, R.; Kwon, B.; Liao, Y.T.T. Concurrent flame spread over discrete thin fuels. Combust. Flame 2018, 191, 116–125. [Google Scholar] [CrossRef]
- Cui, W.; Liao, Y.T.T. Experimental study of upward flame spread over discrete thin fuels. Fire Saf. J. 2019, 110, 102907. [Google Scholar] [CrossRef]
- Luo, S.; Zhao, Y.; Zhang, H. Numerical study on opposed-flow flame spread over discrete fuels—The influence of gap size and opposed-flow velocity. Fuel 2021, 283, 118862. [Google Scholar] [CrossRef]
- Wang, Z.; Liang, W.; Cai, M.; Tang, Y.; Li, S.; An, W.; Zhu, G. Experimental study on flame spread over discrete extruded polystyrene foam with different fuel coverage rates. Case Stud. Therm. Eng. 2020, 17, 100577. [Google Scholar] [CrossRef]
- An, W.; Cai, M.; Tang, Y.; Li, Q.; Wang, Z. Influence of inclined angle on upward flame spread over discrete extruded polystyrene foam. Combust. Sci. Technol. 2020, 194, 1301–1320. [Google Scholar] [CrossRef]
- Beer, T. Fire propagation in vertical stick arrays—The effects of wind. Int. J. Wildland Fire 1995, 5, 43–49. [Google Scholar] [CrossRef]
- Pizzo, Y.; Consalvi, J.L.; Querre, P.; Coutin, M.; Porterie, B. Width effects on the early stage of upward flame spread over PMMA slabs: Experimental observations. Fire Saf. J. 2009, 44, 407–414. [Google Scholar] [CrossRef]
- Dold, J.W.; Zinoviev, A. Fire eruption through intensity and spread rate interaction mediated by flow attachment. Combust. Theory Model. 2009, 13, 763–793. [Google Scholar] [CrossRef]
- Finney, M.A.; Cohen, J.D.; Forthofer, J.M.; McAllister, S.S.; Gollner, M.J.; Gorham, D.J.; Saito, K.; Akafuah, N.K.; Adam, B.A.; English, J.D. Role of buoyant flame dynamics in wildfire spread. Proc. Natl. Acad. Sci. USA 2015, 112, 9833–9838. [Google Scholar] [CrossRef] [PubMed]
- VM, J.; Ambatipudi, M.K. The phenomenon of flame jump in counter–current flame propagation in biomass packed beds–experiments and theory. Combust. Sci. Technol. 2022, 194, 1199–1212. [Google Scholar]
- Heskestad, G. Fire plumes, flame height, and air entrainment. In SFPE Handbook of Fire Protection Engineering; Springer: Berlin/Heidelberg, Germany, 2016; pp. 396–428. [Google Scholar]
- Carney, A.; Li, Y.; Liao, Y.T.; Olson, S.; Ferkul, P. Concurrent-flow flame spread over thin discrete fuels in microgravity. Combust. Flame 2021, 226, 211–221. [Google Scholar] [CrossRef]
- Ju, X.; Gollner, M.J.; Wang, Y.; Tang, W.; Zhao, K.; Ren, X.; Yang, L. Downstream radiative and convective heating from methane and propane fires with cross wind. Combust. Flame 2019, 204, 1–12. [Google Scholar] [CrossRef]
- Morton, B.R. Modeling fire plumes. In Symposium (International) on Combustion; Elsevier: Amsterdam, The Netherlands, 1965; Volume 10, pp. 973–982. [Google Scholar]
- Chen, X.; Liu, J.; Zhou, Z.; Li, P.; Zhou, T.; Zhou, D.; Wang, J. Experimental and theoretical analysis on lateral flame spread over inclined PMMA surface. Int. J. Heat Mass Transf. 2015, 91, 68–76. [Google Scholar] [CrossRef]
- Hu, L. A review of physics and correlations of pool fire behaviour in wind and future challenges. Fire Saf. J. 2017, 91, 41–55. [Google Scholar] [CrossRef]
- Lin, Y.; Hu, L.; Zhang, X.; Chen, Y. Experimental study of pool fire behaviors with nearby inclined surface under cross flow. Process Saf. Environ. Protect. 2021, 148, 93–103. [Google Scholar] [CrossRef]














| θ (°) | g (mm) | f | θ(°) | g (mm) | f |
|---|---|---|---|---|---|
| 0 | 0 | 1 | 5 | 0 | 1 |
| 1 | 0.976 | 1 | 0.976 | ||
| 3 | 0.930 | 3 | 0.930 | ||
| 25 | 0 | 1 | 45 | 0 | 1 |
| 1 | 0.976 | 5 | 0.889 | ||
| 3 | 0.930 | 7 | 0.851 | ||
| 5 | 0.889 | 9 | 0.816 | ||
| 7 | 0.851 | 10 | 0.8 | ||
| 9 | 0.816 | 12 | 0.769 | ||
| 10 | 0.8 | 14 | 0.741 | ||
| 65 | 0 | 1 | 85 | 0 | 1 |
| 5 | 0.889 | 5 | 0.889 | ||
| 7 | 0.851 | 10 | 0.8 | ||
| 10 | 0.8 | 20 | 0.667 | ||
| 12 | 0.769 | 30 | 0.571 | ||
| 15 | 0.727 | 40 | 0.5 | ||
| 17 | 0.702 | 55 | 0.421 |
| Pr | β | T∞ (K) | ν∞ (m2 s−1) | μ∞ (Pa·s) | Tf (K) |
|---|---|---|---|---|---|
| 0.7 [34] | 0.00367 | 298 | 14.8 × 10−6 | 17.9 × 10−6 | 1073 [34] |
| τ (m) | Tig (K) | cp (kJ/(kg·°C)) | ρ (kg·m−3) | θ (°) |
|---|---|---|---|---|
| 0.274 × 10−3 | 456 | 2.0 | 0.6 × 103 | 0–85 |
| θ (°) | f | xp (mm) | θ (°) | f | xp (mm) |
| 25 | 1 | 50.273 | 45 | 1 | 59.4 |
| 0.976 | 48.576 | 0.889 | 54.582 | ||
| 0.930 | 57.152 | 0.851 | 63.012 | ||
| 0.889 | 49.182 | 0.816 | 68.159 | ||
| 0.851 | 44.425 | 0.8 | 59.003 | ||
| 0.816 | 34.9 | 0.769 | 53.075 | ||
| 0.8 | 31.74 | 0.741 | 49.101 | ||
| 65 | 1 | 71.998 | 85 | 1 | 126.154 |
| 0.889 | 67.001 | 0.889 | 122.603 | ||
| 0.851 | 66.013 | 0.8 | 125.112 | ||
| 0.8 | 75.976 | 0.667 | 136.525 | ||
| 0.769 | 83.899 | 0.571 | 159.882 | ||
| 0.727 | 75.925 | 0.5 | 131.015 | ||
| 0.702 | 55.89 | 0.421 | 130.71 |
Disclaimer/Publisher’s Note: The statements, opinions and data contained in all publications are solely those of the individual author(s) and contributor(s) and not of MDPI and/or the editor(s). MDPI and/or the editor(s) disclaim responsibility for any injury to people or property resulting from any ideas, methods, instructions or products referred to in the content. |
© 2024 by the authors. Licensee MDPI, Basel, Switzerland. This article is an open access article distributed under the terms and conditions of the Creative Commons Attribution (CC BY) license (https://creativecommons.org/licenses/by/4.0/).
Share and Cite
Zhang, X.; Kuang, S.; Zhao, Y.; Zhang, J.; Luo, S. Experimental Investigation and Theoretical Analysis of Flame Spread Dynamics over Discrete Thermally Thin Fuels with Various Inclination Angles and Gap Sizes. Fire 2024, 7, 177. https://doi.org/10.3390/fire7060177
Zhang X, Kuang S, Zhao Y, Zhang J, Luo S. Experimental Investigation and Theoretical Analysis of Flame Spread Dynamics over Discrete Thermally Thin Fuels with Various Inclination Angles and Gap Sizes. Fire. 2024; 7(6):177. https://doi.org/10.3390/fire7060177
Chicago/Turabian StyleZhang, Xiaoliang, Shibing Kuang, Yanli Zhao, Jun Zhang, and Shengfeng Luo. 2024. "Experimental Investigation and Theoretical Analysis of Flame Spread Dynamics over Discrete Thermally Thin Fuels with Various Inclination Angles and Gap Sizes" Fire 7, no. 6: 177. https://doi.org/10.3390/fire7060177
APA StyleZhang, X., Kuang, S., Zhao, Y., Zhang, J., & Luo, S. (2024). Experimental Investigation and Theoretical Analysis of Flame Spread Dynamics over Discrete Thermally Thin Fuels with Various Inclination Angles and Gap Sizes. Fire, 7(6), 177. https://doi.org/10.3390/fire7060177

