Parametric Study of Flow and Combustion Characteristic in a Cavitied Scramjet with Multi-Position Injection
Abstract
1. Introduction
2. Numerical Methods
2.1. Computational Domain and Relevant Parameters
2.2. Numerical Methods and Boundary Conditions
2.3. Mesh Details
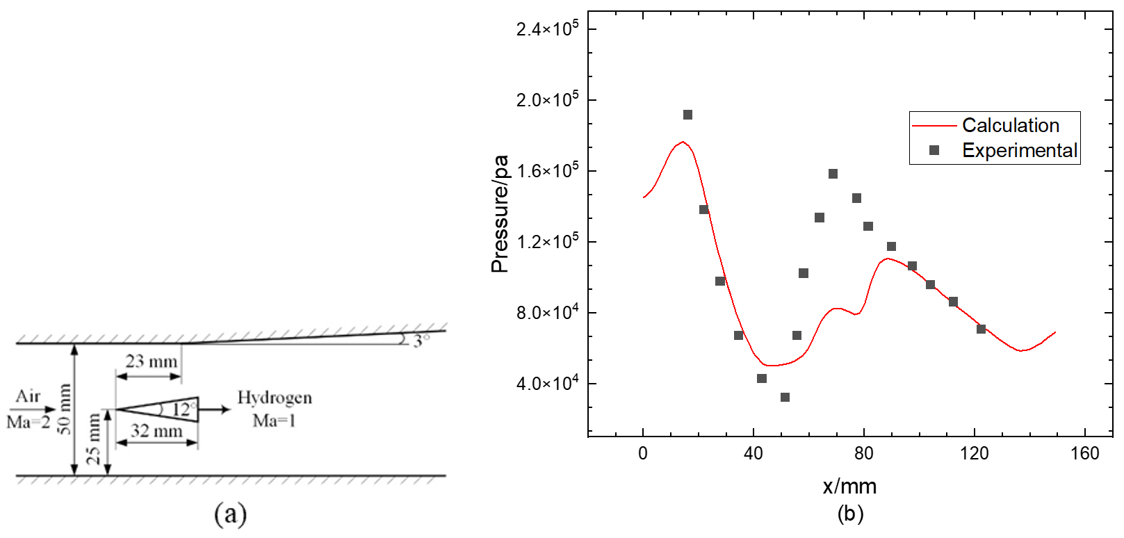
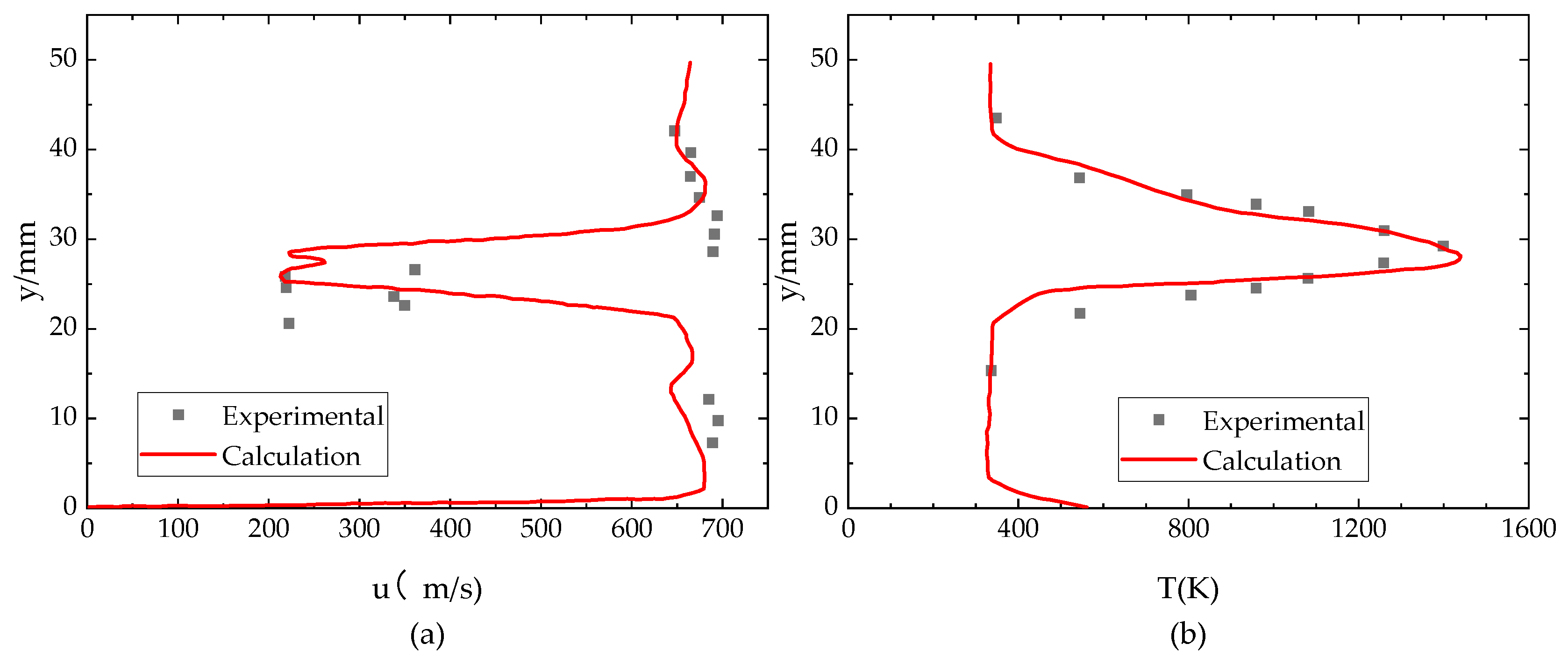
2.4. Model Validation
3. Results and Discussion
3.1. Effect of Equivalence Ratio
3.2. Effect of Injection Timing
3.3. Effect of Position of Injection
3.4. Effect of Injection Pressure
4. Conclusions
- (1)
- The higher the global equivalence ratio of the fuel, the greater the heat release during combustion in the chamber, and the farther the shock wave train advances towards the upstream of the combustion chamber. In the combustion zone and downstream region of the combustion chamber, the higher the global equivalence ratio, the more significant the increase in combustion chamber pressure.
- (2)
- When multiple-position injection occurs in a scramjet combustion chamber, different injection timings have little impact on flame stability patterns and fluid field parameters at stable states. Different injection timings only affect the working characteristics and related parameters of the flow field before reaching a stable state. This indicates that different injection timing has a relatively small impact on combustion efficiency and total pressure loss.
- (3)
- Compared with distribution on the same side of the wall surface, distribution on the opposite side of the nozzle can significantly improve fuel combustion efficiency and the internal pressure of the combustion chamber. At the same time, when the nozzle spacing is smaller with opposite nozzle distribution, greater combustion efficiency can be achieved. However, this also leads to increased total pressure loss, which in turn affects the total pressure recovery coefficient.
- (4)
- When multi-position injection occurs in a combustion chamber, if the injection pressure of each group of nozzles is equal or similar, the stable speed of the flow field in the combustion chamber significantly increases. At the same time, when fuel is injected at high pressure near the downstream region, it causes the local combustion area to shift backward and increases the pressure downstream of the combustion chamber. This indicates that injection pressure and location have important impacts on combustion efficiency and pressure distribution.
Author Contributions
Funding
Institutional Review Board Statement
Informed Consent Statement
Data Availability Statement
Conflicts of Interest
Nomenclature
| Latin characters: | |
| H | inlet height (mm) |
| h | height of the cavity (mm) |
| L | combustion chamber length (mm) |
| ΔL | distance between the inlet and the cavity (mm) |
| l | total length of the cavity (mm) |
| B | combustion chamber width (mm) |
| Pt | total pressure (MPa) |
| T0 | total temperature (K) |
| T | static temperature (K) |
| t | time (ms) |
| Greek symbols: | |
| β | expanded angle of the combustion chamber (°) |
| α | inclination angle of the back wall of the cavity (°) |
| ω | oxygen consumption rate |
| σ | total pressure recovery factor |
| ϕ | combustion efficiency |
| Abbreviations: | |
| ER | equivalent ratio |
| PLIF | planar laser-induced fluorescence |
| Ma | Mach number |
| Ms | millisecond |
References
- Li, L.-q.; Huang, W.; Yan, L.; Li, S.-b. Parametric effect on the mixing of the combination of a hydrogen porthole with an air porthole in transverse gaseous injection flow fields. Acta Astronaut. 2017, 139, 435–448. [Google Scholar] [CrossRef]
- Huang, W.; Jin, L.; Yan, L.; Tan, J.G. Influence of jet-to-crossflow pressure ratio on nonreacting and reacting processes in a scramjet combustor with backward-facing steps. Int. J. Hydrogen Energy 2014, 39, 21242–21250. [Google Scholar] [CrossRef]
- Sam, L.; Idithsaj, P.; Nair, P.P.; Suryan, A.; Narayanan, V. Prospects for scramjet engines in reusable launch applications: A review. Int. J. Hydrogen Energy 2023, 48, 36094–36111. [Google Scholar] [CrossRef]
- Curran, E.T. Scramjet Engines: The First Forty Years. J. Propuls. Power 2001, 17, 1138–1148. [Google Scholar] [CrossRef]
- Abdulrahman, G.A.; Qasem, N.A.; Imteyaz, B.; Abdallah, A.M.; Habib, M.A. A review of aircraft subsonic and supersonic combustors. Aerosp. Sci. Technol. 2023, 132, 108067. [Google Scholar] [CrossRef]
- Yang, Q.; Bao, W.; Chetehouna, K.; Zhang, S.; Gascoin, N. Thermal behavior of an isolator with mode transition inducing back-pressure of a dual-mode scramjet. Chin. J. Aeronaut. 2017, 30, 595–601. [Google Scholar] [CrossRef]
- Kumar, S.; Pandey, K.M.; Sharma, K.K. Recent developments in technological innovations in scramjet engines: A review. Mater. Today Proc. 2021, 45, 6874–6881. [Google Scholar] [CrossRef]
- Huang, W.; Pourkashanian, M.; Ma, L.; Ingham, D.B.; Luo, S.B.; Wang, Z.G. Investigation on the flameholding mechanisms in supersonic flows: Backward-facing step and cavity flameholder. J. Vis. 2011, 14, 63–74. [Google Scholar] [CrossRef]
- Watanabe, J.; Kouchi, T.; Takita, K.; Masuya, G. Characteristics of hydrogen jets in supersonic crossflow: Large-eddy simulation study. J. Propuls. Power 2013, 29, 661–674. [Google Scholar] [CrossRef]
- Li, L.; Rong, C.; Hu, S.; Zhang, B.; Liu, H. Intelligent variable strut for combustion performance optimization of a wide-range scramjet engine. Int. J. Hydrogen Energy 2024, 49, 1–13. [Google Scholar] [CrossRef]
- Jacobsen, L.S.; Gallimore, S.D.; Schetz, J.A.; O’Brien, W.F.; Goss, L. Improved aerodynamic-ramp injector in supersonic flow. J. Propuls. Power 2003, 19, 663–673. [Google Scholar] [CrossRef]
- Lee, S.-H. Mixing augmentation with cooled pylon injection in a scramjet combustor. J. Propuls. Power 2012, 28, 477–485. [Google Scholar] [CrossRef]
- Tian, Y.; Yang, S.; Le, J.; Su, T.; Yue, M.; Zhong, F.; Tian, X. Investigation of combustion and flame stabilization modes in a hydrogen fueled scramjet combustor. Int. J. Hydrogen Energy 2016, 41, 19218–19230. [Google Scholar] [CrossRef]
- Suneetha, L.; Randive, P.; Pandey, K. Numerical investigation on mixing behavior of fuels inreacting and non-reacting flow condition of a cavity-strut based scramjet combustor. Int. J. Hydrogen Energy 2019, 44, 16718–16734. [Google Scholar] [CrossRef]
- Vinogradov, V.A.; Kobigsky, S.A.; Petrov, M.D. Experimental investigation of kerosene fuel combustion in supersonic flow. J. Propuls. Power 1995, 11, 130–134. [Google Scholar] [CrossRef]
- Micka, D.J.; Driscoll, J.F. Combustion characteristics of a dual-mode scramjet combustor with cavity flameholder. Proc. Combust. Inst. 2009, 32, 2397–2404. [Google Scholar] [CrossRef]
- Hammack, S.D.; Ombrello, T.M. Spatio-temporal evolution of cavity ignition in supersonic flow. Proc. Combust. Inst. 2021, 38, 3845–3852. [Google Scholar] [CrossRef]
- Bao, H.; Zhou, J.; Pan, Y. Effect of cavity configuration on kerosene spark ignition in a scramjet combustor at Ma 4.5 flight condition. Acta Astronaut. 2015, 117, 368–375. [Google Scholar] [CrossRef]
- Lee, K.; Kang, S.; Lee, Y.; Cha, B.; Choi, B. Effects of fuel injectors and cavity configurations on supersonic combustion. J. Propuls. Power 2013, 29, 1052–1063. [Google Scholar] [CrossRef]
- Kannaiyan, K. Computational study of the effect of cavity geometry on the supersonic mixing and combustion of ethylene. J. Comput. Sci. 2020, 47, 101243. [Google Scholar] [CrossRef]
- Ma, G.; Sun, M.; Li, F.; Yang, Y.; Huang, Y.; Wang, H. Effect of fuel injection distance and cavity depth on the mixing and combustion characteristics of a scramjet combustor with a rear-wall-expansion cavity. Acta Astronaut. 2021, 182, 432–445. [Google Scholar] [CrossRef]
- Landsberg, W.O.; Curran, D.; Veeraragavan, A. Experimental flameholding performance of a scramjet cavity with an inclined front wall. Aerosp. Sci. Technol. 2022, 126, 107622. [Google Scholar] [CrossRef]
- Wang, T.; Li, G.; Yang, Y.; Wang, Z.; Cai, Z.; Sun, M. Combustion modes periodical transition in a hydrogen-fueled scramjet combustor with rear-wall-expansion cavity flameholder. Int. J. Hydrogen Energy 2020, 45, 3209–3215. [Google Scholar] [CrossRef]
- Takeno, K.; Kido, H.; Takeda, H. Flame stabilisation mechanism for under-expanded hydrogen Jets. Fire 2024, 7, 48. [Google Scholar] [CrossRef]
- Baranyshyn, Y.; Kuzmitski, V.; Penyazkov, O. Ignition delay and reaction time measurements of hydrogen–air mixtures at high temperatures. Fire 2024, 7, 43. [Google Scholar] [CrossRef]
- Koo, H.; Raman, V.; Varghese, P.L. Direct numerical simulation of supersonic combustion with thermal nonequilibrium. Proc. Combust. Inst. 2015, 35, 2145–2153. [Google Scholar] [CrossRef]
- Ao, Y.; Wu, K.; Lu, H.; Ji, F.; Fan, X. Combustion dynamics of high Mach number scramjet under different inflow thermal nonequilibrium conditions. Acta Astronaut. 2023, 208, 281–295. [Google Scholar] [CrossRef]
- Li, C.; Xia, Z.; Ma, L.; Chen, B.; Feng, Y.; Zhang, J.; Duan, Y. Performance analysis on the specific impulse and specific thrust of scramjet with a quasi-one-dimensional model. Energy 2023, 267, 126400. [Google Scholar] [CrossRef]
- Choubey, G.; Solanki, M.; Bhatt, T.; Kshitij, G.; Yuvarajan, D.; Huang, W. Numerical investigation on a typical scramjet combustor using cavity floor H2 fuel injection strategy. Acta Astronaut. 2023, 202, 373–385. [Google Scholar] [CrossRef]
- Yuan, M.; Wang, P.; Zhang, Y.; Tian, Y.; Chen, S.; Cheng, K. Assessing the effect of air-throttling on ignition dynamics in a hydrogen-fueled scramjet under various fuel-injection strategies using LES. Acta Astronaut. 2023, 212, 111–122. [Google Scholar] [CrossRef]
- Génin, F.; Menon, S. Simulation of turbulent mixing behind a strut injector in supersonic flow. AIAA J. 2010, 48, 526–539. [Google Scholar] [CrossRef]
- Gicquel, L.Y.; Staffelbach, G.; Poinsot, T. Large eddy simulations of gaseous flames in gas turbine combustion chambers. Prog. Energy Combust. Sci. 2012, 38, 782–817. [Google Scholar] [CrossRef]
- Gottlieb; Shu, C.-W. Total variation diminishing Runge-Kutta schemes. Math. Comput. 1998, 67, 73–85. [Google Scholar] [CrossRef]
- Horiuti, K. Large eddy simulation of turbulent channel flow by one-equation modeling. J. Phys. Soc. Jpn. 1985, 54, 2855–2865. [Google Scholar] [CrossRef]
- Pope, S.B. Ten questions concerning the large-eddy simulation of turbulent flows. N. J. Phys. 2004, 6, 35. [Google Scholar] [CrossRef]
- Waidmann, W. Experimental Investigation of the Combustion Process in a Supersonic Combustion Ramjet (SCRAMJET) Combustion Chamber; DGLR-Ahrestaqung: Erlangen, Germany, 1994. [Google Scholar]


















| Case | Injection Pressure/MPa | Global Equivalent Ratio | Nozzle Location | Injection Timing |
|---|---|---|---|---|
| 1 | 2.0 | 0.35 | A2, C1 | Simultaneous injection |
| 2 | 2.0 | 0.52 | A1, C1, C3 | Simultaneous injection |
| 3 | 2.0 | 0.70 | A1, A2, C1, C3 | Simultaneous injection |
| 4 | 2.0 | 0.35 | A2, C1 | A2 delayed injection by 2 ms |
| 5 | 2.0 | 0.35 | A2, C1 | C1 delayed injection by 2 ms |
| 6 | 2.0 | 0.35 | C3, C1 | Simultaneous injection |
| 7 | 2.0 | 0.35 | A1, C1 | Simultaneous injection |
| 8 | PA2 = 3.0, PC1 = 1.0 | 0.35 | A2, C1 | Simultaneous injection |
| 9 | PA2 = 1.0, PC1 = 3.0 | 0.35 | A2, C1 | Simultaneous injection |
| Number | Reaction | A (mole·cm·sec·k) | n | E (cal·mole−1) |
|---|---|---|---|---|
| 1 | H2 + O2 = HO2 + H | 1.00 × 1014 | 0.00 | 56,034.7 |
| 2 | H + O2 = OH + O | 2.60 × 1014 | 0.00 | 16,810.4 |
| 3 | H2 + O = OH + H | 1.80 × 1010 | 1.00 | 8905.5 |
| 4 | H2 + OH = H + H2O | 2.20 × 1013 | 0.00 | 5153.2 |
| 5 | OH + OH = O + H2O | 6.30 × 1012 | 0.00 | 1090.7 |
| 6 | H + OH + M = H2O + M | 2.20 × 1022 | 2.00 | 0.0 |
| H2O/6.0 | ||||
| 7 | H + H + M = H2 + M | 6.40 × 1017 | 1.00 | 0.0 |
| H2/2.0/H2O/6.0 | ||||
| 8 | H + O + M = OH + M | 6.00 × 1016 | 0.60 | 0.0 |
| H2O/5.0 | ||||
| 9 | H + O2 + M = HO2 + M | 2.10 × 1015 | 0.00 | −1000.6 |
| H2/2.0/H2O/16.0 | ||||
| 10 | O + O + M = O2 + M | 6.00 × 1013 | 0.00 | −1801.1 |
| 11 | HO2 + H = OH + OH | 1.40 × 1014 | 0.00 | 1080.7 |
| 12 | HO2 + H = H2O + O | 1.00 × 1013 | 0.00 | 1080.7 |
| 13 | HO2 + O = O2 + OH | 1.50 × 1013 | 0.00 | 950.6 |
| 14 | HO2 + OH = H2O + O2 | 8.00 × 1012 | 0.00 | 0.0 |
| 15 | HO2 + HO2 = H2O2 + O2 | 2.00 × 1012 | 0.00 | 0.0 |
| 16 | H + H2O2 = H2 + H2O | 1.40 × 1012 | 0.00 | 3602.2 |
| 17 | O + H2O2 = OH + HO2 | 1.40 × 1013 | 0.00 | 6404.0 |
| 18 | H2O2 + OH = H2O + HO2 | 6.10 × 1012 | 0.00 | 1430.9 |
| 19 | H2O2 + M = OH + OH + M | 1.20 × 1017 | 0.00 | 45,528.2 |
| H2O/15.0 | ||||
Disclaimer/Publisher’s Note: The statements, opinions and data contained in all publications are solely those of the individual author(s) and contributor(s) and not of MDPI and/or the editor(s). MDPI and/or the editor(s) disclaim responsibility for any injury to people or property resulting from any ideas, methods, instructions or products referred to in the content. |
© 2024 by the authors. Licensee MDPI, Basel, Switzerland. This article is an open access article distributed under the terms and conditions of the Creative Commons Attribution (CC BY) license (https://creativecommons.org/licenses/by/4.0/).
Share and Cite
Xi, W.; Liu, P.; Shao, Q.; Guo, W.; Liu, J. Parametric Study of Flow and Combustion Characteristic in a Cavitied Scramjet with Multi-Position Injection. Fire 2024, 7, 176. https://doi.org/10.3390/fire7060176
Xi W, Liu P, Shao Q, Guo W, Liu J. Parametric Study of Flow and Combustion Characteristic in a Cavitied Scramjet with Multi-Position Injection. Fire. 2024; 7(6):176. https://doi.org/10.3390/fire7060176
Chicago/Turabian StyleXi, Wenxiong, Pengchao Liu, Qihan Shao, Wenjie Guo, and Jian Liu. 2024. "Parametric Study of Flow and Combustion Characteristic in a Cavitied Scramjet with Multi-Position Injection" Fire 7, no. 6: 176. https://doi.org/10.3390/fire7060176
APA StyleXi, W., Liu, P., Shao, Q., Guo, W., & Liu, J. (2024). Parametric Study of Flow and Combustion Characteristic in a Cavitied Scramjet with Multi-Position Injection. Fire, 7(6), 176. https://doi.org/10.3390/fire7060176

