Experimental and Numerical Study on Flame Inhibition Mechanism of Methane–Coal Dust Hybrid Explosion by Ultrafine Water Mist with Novel Chemical Additives
Abstract
1. Introduction
2. Methodology
2.1. Experimental Apparatus
2.2. Kinetic Model
3. Results
3.1. Effect of Sodium-Phosphorus Inhibitors on Flame Propagation Velocity
3.2. Effect of Sodium-Phosphorus Inhibitors on Flame Temperature

3.3. Effect of Sodium-Phosphorus Inhibitors on Flame Morphology
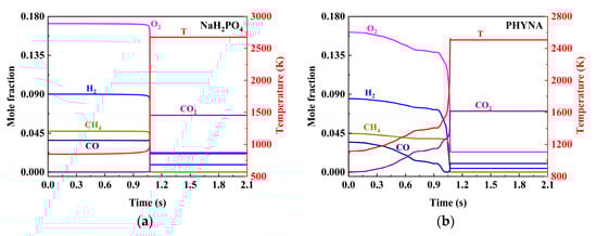
3.4. Sodium and Phosphate Inhibitor Inhibition Mechanism
4. Conclusions
- The ultrafine water mist, which contains sodium and phosphate compounds, has the effect of weakening flame propagation. Ultrafine water mist containing sodium-phosphorus inhibitors resulted in a notable reduction in v, an elongated fluctuation period, and a considerable decline in both the maximum flame propagation velocity and flame height. These observations indicate that the explosion inhibitors effectively impeded the acceleration of the flame, decelerated the v, and diminished explosion intensity and harm. Furthermore, the inhibition of PHYNA is found to be markedly superior to that of NaH2PO4.
- The primary function of sodium and phosphate inhibitors is accomplished through a dual mechanism of chemical inhibition and physical endothermic absorption. The decomposition of sodium-phosphorus compounds at elevated temperatures results in the generation of active substances containing phosphorus and sodium-based intermediate products. The substances then interact with free radicals that are produced during combustion, efficiently decreasing free radicals and interrupting the chain combustion reaction. It ultimately inhibits flame propagation and is accompanied by significant endothermic effects, which contribute to lowering the combustion temperature.
- The ultrafine water mist, comprising sodium and phosphate compounds, has been demonstrated to inhibit explosions by virtue of its ability to reduce free radicals and the combustion temperature. The results of the dynamic simulation demonstrated that the incorporation of NaH2PO4 and PHYNA led to a reduction in T, with values of 2674.613 K and 2506.28 K, respectively. Furthermore, the sodium and phosphate inhibitors component is observed to react with the H, O, and OH present within the flame, reducing their concentration and inhibiting flame propagation. It provides additional evidence that the explosion inhibitors agent operates through a dual mechanism of chemical inhibition and physical heat absorption, effectively reducing the risk of explosion.
Author Contributions
Funding
Institutional Review Board Statement
Informed Consent Statement
Data Availability Statement
Conflicts of Interest
References
- Bhattacharjee, R.; Dash, A.; Paul, P. A root cause failure analysis of coal dust explosion disaster–Gaps and lessons learnt. Eng. Fail. Anal. 2020, 111, 104229. [Google Scholar] [CrossRef]
- Han, W.; Wang, C.; Law, C.K. Role of transversal concentration gradient in detonation propagation. J. Fluid Mech. 2019, 865, 602–649. [Google Scholar] [CrossRef]
- Zhao, Y.; Xiao, X.; Zhang, X.; Wang, B.; Wu, C.; Chu, Z.; Shi, X.; Yu, Y.; Zhao, H.; Jiao, F.; et al. Experiment study on the explosion suppressing characteristics and mechanism of melamine cyanurate and ammonium dihydrogen phosphate for lignite dust. Powder Technol. 2024, 448, 120246. [Google Scholar] [CrossRef]
- Zhang, Y.; Wu, G.; Cai, L.; Zhang, J.; Wei, X.; Wang, X. Study on suppression of coal dust explosion by superfine NaHCO3/shell powder composite suppressant. Powder Technol. 2021, 394, 35–43. [Google Scholar] [CrossRef]
- Huang, Z.; Si, R.; Wen, G.; Jin, S.; Xue, S. Experimental Study on the Isolation Effect of an Active Flame-Proof Device on a Gas Explosion in an Underground Coal Mine. Fire 2023, 6, 468. [Google Scholar] [CrossRef]
- Zhao, Q.; Zhou, L.; Wang, H.; Zhang, Y.; Li, Y.; Qiu, D.; Chen, X. Effects of methane concentration on flame propagation mechanisms and dynamic characteristics of methane/coal dust explosions. Powder Technol. 2024, 439, 119744. [Google Scholar] [CrossRef]
- Yan, Z.X.; Zhang, T.; Yan, D.Z.; Yang, H.P.; Gong, A.; Liao, Q.; Chen, Q. A Comparison Study of Hybrid Flame of Methane/Coal Dust Mixture in Vented Explosions. Adv. Mater. Res. 2014, 864–867, 801–808. [Google Scholar] [CrossRef]
- Cashdollar, K.L. Overview of dust explosibility characteristics. J. Loss Prev. Process Ind. 2000, 13, 183–199. [Google Scholar] [CrossRef]
- Rockwell, S.R.; Rangwala, A.S. Influence of coal dust on premixed turbulent methane–air flames. Combust. Flame 2013, 160, 635–640. [Google Scholar] [CrossRef]
- Wang, Y.; Wang, Z.; Cao, X.; Wei, H. Study on the Characteristics and Influence Factor of Methane and Coal Dust Gas/Solid Two-Phase Mixture Explosions. Fire 2023, 6, 359. [Google Scholar] [CrossRef]
- Houim, R.W.; Oran, E.S. Structure and flame speed of dilute and dense layered coal-dust explosions. J. Loss Prev. Process Ind. 2015, 36, 214–222. [Google Scholar] [CrossRef]
- Salamonowicz, Z.; Kotowski, M.; Półka, M.; Barnat, W. Numerical simulation of dust explosion in the spherical 20l vessel. Bull. Pol. Acad. Sci. Tech. Sci. 2015, 63, 289–293. [Google Scholar] [CrossRef]
- Zanganeh, J.; Al-Zuraiji, M.J.A.; Moghtaderi, B. Investigation of the Minimum Ignition Energy Required for Combustion of Coal Dust Blended with Fugitive Methane. Fire 2024, 7, 381. [Google Scholar] [CrossRef]
- Semenov, I.; Utkin, P.; Markov, V. Numerical modelling of dust-layered detonation structure in a narrow tube. J. Loss Prev. Process Ind. 2013, 26, 380–386. [Google Scholar] [CrossRef]
- Cloney, C.T.; Ripley, R.C.; Pegg, M.J.; Amyotte, P.R. Laminar combustion regimes for hybrid mixtures of coal dust with methane gas below the gas lower flammability limit. Combust. Flame 2018, 198, 14–23. [Google Scholar] [CrossRef]
- Dong, C.; Bi, M.; Zhou, Y. Effects of obstacles and deposited coal dust on characteristics of premixed methane–air explosions in a long closed pipe. Saf. Sci. 2012, 50, 1786–1791. [Google Scholar] [CrossRef]
- Wu, Y.; Meng, X.; Shi, L.; Yu, X.; Zhu, Y. Experimental study on the suppression of coal dust explosion by ammonium polyphosphate modified aerogel based on explosive solid/gas products. Adv. Powder Technol. 2024, 35, 104364. [Google Scholar] [CrossRef]
- Chen, K.; Zhang, Y.; Zhang, P.; Li, L.; Chen, J.; Pan, Z.; Li, R.; He, M. Study on the preparation of green suppressors and their characteristics in coal dust flame propagation inhibition. Adv. Powder Technol. 2022, 33, 103749. [Google Scholar] [CrossRef]
- Amyotte, P.R. Solid inertants and their use in dust explosion prevention and mitigation. J. Loss Prev. Process Ind. 2006, 19, 161–173. [Google Scholar] [CrossRef]
- Wang, X.; Dai, H.; Yin, H.; Liang, G.; Chen, X. Effects of typical inhibition materials on the flame propagation of pulverized coal mixture. Powder Technol. 2022, 396, 68–79. [Google Scholar] [CrossRef]
- Liu, R.; Zhang, M.; Jia, B. Application of gas explosion nanometer powder suppression material in coal mine safety. Integr. Ferroelectr. 2021, 217, 240–254. [Google Scholar] [CrossRef]
- Xu, H.; Wang, X.; Gu, R.; Zhang, H. Experimental Study on Characteristics of Methane–Coal-Dust Mixture Explosion and Its Mitigation by Ultra-Fine Water Mist. J. Eng. Gas Turbines Power 2012, 134, 061401. [Google Scholar] [CrossRef]
- Cao, X.-y.; Bi, M.-s.; Ren, J.-j.; Chen, B. Experimental research on explosion suppression affected by ultrafine water mist containing different additives. J. Hazard. Mater. 2019, 368, 613–620. [Google Scholar] [CrossRef] [PubMed]
- Liu, J.; Meng, X.; Yan, K.; Wang, Z.; Dai, W.; Wang, Z.; Li, F.; Yang, P.; Liu, Y. Study on the effect and mechanism of Ca(H2PO4)2 and CaCO3 powders on inhibiting the explosion of titanium powder. Powder Technol. 2022, 395, 158–167. [Google Scholar] [CrossRef]
- Ren, X.; Zhang, J.; Jia, H. Influence of sodium hydrogen carbonate, ammonium dihydrogen phosphate, and lignin-based explosion inhibitors on the sensitivity of coal dust explosion. Process Saf. Environ. Prot. 2024, 189, 1193–1206. [Google Scholar] [CrossRef]
- Yao, B.; Cong, B.H.; Qin, J.; Chow, W.K. Experimental study of suppressing Poly(methyl methacrylate) fires using water mists. Fire Saf. J. 2012, 47, 32–39. [Google Scholar] [CrossRef]
- Liang, Y.; Zeng, W. Numerical study of the effect of water addition on gas explosion. J. Hazard. Mater. 2010, 174, 386–392. [Google Scholar] [CrossRef] [PubMed]
- Jing, Q.; Wang, D.; Liu, Q.; Chen, X.; Shen, Y.; Wang, Z.; Zhong, Y. Inhibition effect and mechanism of ultrafine water mist on CH4/air detonation: Quantitative research based on CFD technology. Process Saf. Environ. Prot. 2021, 148, 75–92. [Google Scholar] [CrossRef]
- Feng, X.; Ren, J.; Pu, M.; Chen, B.; Bi, M. Suppression effect of ultrafine water mist on methane-coal dust hybrid explosion. Powder Technol. 2022, 406, 117590. [Google Scholar] [CrossRef]
- Hasse, C.; Debiagi, P.; Wen, X.; Hildebrandt, K.; Vascellari, M.; Faravelli, T. Advanced modeling approaches for CFD simulations of coal combustion and gasification. Prog. Energy Combust. Sci. 2021, 86, 100938. [Google Scholar] [CrossRef]
- Li, G.; Pan, C.; Liu, Y.; Zhu, X.; Ni, X.; Zhao, X.; Chen, G.; Wang, X. Evaluation of the effect of water mist on propane/air mixture deflagration: Large-scale test. Process Saf. Environ. Prot. 2021, 147, 1101–1109. [Google Scholar] [CrossRef]
- Cao, X.; Ren, J.; Zhou, Y.; Wang, Q.; Gao, X.; Bi, M. Suppression of methane/air explosion by ultrafine water mist containing sodium chloride additive. J. Hazard. Mater. 2015, 285, 311–318. [Google Scholar] [CrossRef] [PubMed]
- Liu, Z.; Zhong, X.; Zhang, Q.; Lu, C. Experimental study on using water mist containing potassium compounds to suppress methane/air explosions. J. Hazard. Mater. 2020, 394, 122561. [Google Scholar] [CrossRef] [PubMed]
- Pu, M.; Ren, J.; Wang, Y.; Bi, M. Dedusting and inhibition of methane-coal dust hybrid explosion by ultrafine water mist containing SDS surfactant. Powder Technol. 2024, 441, 119844. [Google Scholar] [CrossRef]
- Liu, Z.; Zhong, X.; Lu, Y.; Zhu, D.; Zhong, Q.; Chen, T. Suppression characteristics of water mist containing alkali metal compounds in natural gas explosions. Case Stud. Therm. Eng. 2024, 62, 105196. [Google Scholar] [CrossRef]
- Yu, M.; Wan, S.; Xu, Y.; Zheng, K.; Liang, D. Suppressing methane explosion overpressure using a charged water mist containing a NaCl additive. J. Nat. Gas Sci. Eng. 2016, 29, 21–29. [Google Scholar] [CrossRef]
- Jayaweera, T.M.; Melius, C.F.; Pitz, W.J.; Westbrook, C.K.; Korobeinichev, O.P.; Shvartsberg, V.M.; Shmakov, A.G.; Rybitskaya, I.V.; Curran, H.J. Flame inhibition by phosphorus-containing compounds over a range of equivalence ratios. Combust. Flame 2005, 140, 103–115. [Google Scholar] [CrossRef]
- Velencoso, M.M.; Battig, A.; Markwart, J.C.; Schartel, B.; Wurm, F.R. Molecular Firefighting—How Modern Phosphorus Chemistry Can Help Solve the Challenge of Flame Retardancy. Angew. Chem. Int. Ed. 2018, 57, 10450–10467. [Google Scholar] [CrossRef]
- Wang, J.; Li, H.; Diao, S.; Yao, Y.; Wei, C.; Yu, M. Reactive behaviors and mechanism of methane/coal dust hybrid explosions inhibited by NH4H2PO4 and (NH4)2HPO4: A combined ReaxFF-MD and DFT study. Chem. Eng. J. 2024, 498, 155577. [Google Scholar] [CrossRef]
- Jiang, H.; Bi, M.; Huang, L.; Zhou, Y.; Gao, W. Suppression mechanism of ultrafine water mist containing phosphorus compounds in methane/coal dust explosions. Energy 2022, 239, 121987. [Google Scholar] [CrossRef]
- Jiang, H.; Bi, M.; Gao, W. In situ analysis of suppression mechanism of DMMP water mist in coal dust explosions using pyrolysis time-of-flight mass spectrometry. Chem. Eng. Sci. 2022, 260, 117836. [Google Scholar] [CrossRef]
- Jin, S.; Gao, W.; Huang, Z.; Bi, M.; Jiang, H.; Si, R.; Wen, G. Suppression characteristics of methane/coal dust explosions by active explosion suppression system in the large mining tunnel. Fire Saf. J. 2024, 150, 104251. [Google Scholar] [CrossRef]
- Zamansky, V.M.; Lissianski, V.V.; Maly, P.M.; Ho, L.; Rusli, D.; Gardiner, W.C. Reactions of sodium species in the promoted SNCR process. Combust. Flame 1999, 117, 821–831. [Google Scholar] [CrossRef]
- Babushok, V.I.; McNesby, K.L.; Miziolek, A.W.; Skaggs, R.R. Modeling of synergistic effects in flame inhibition by 2-H heptafluoropropane blended with sodium bicarbonate. Combust. Flame 2003, 133, 201–205. [Google Scholar] [CrossRef]
- Twarowski, A. The temperature dependence of H + OH recombination in phosphorus oxide containing post-combustion gases. Combust. Flame 1996, 105, 407–413. [Google Scholar] [CrossRef]
- Korobeinichev, O.P.; Shvartsberg, V.M.; Shmakov, A.G.; Knyazkov, D.A.; Rybitskaya, I.V. Inhibition of atmospheric lean and rich CH4/O2/Ar flames by phosphorus-containing compound. Proc. Combust. Inst. 2007, 31, 2741–2748. [Google Scholar] [CrossRef]
- Jin, S.; Gao, W.; Li, G.; Geng, X.; Bi, M.; Jiang, H. Atomistic insights into p-nitrotoluene combustion via the ReaxFF molecular dynamics and density functional theory study. Process Saf. Environ. Prot. 2024, 192, 484–494. [Google Scholar] [CrossRef]







Disclaimer/Publisher’s Note: The statements, opinions and data contained in all publications are solely those of the individual author(s) and contributor(s) and not of MDPI and/or the editor(s). MDPI and/or the editor(s) disclaim responsibility for any injury to people or property resulting from any ideas, methods, instructions or products referred to in the content. |
© 2024 by the authors. Licensee MDPI, Basel, Switzerland. This article is an open access article distributed under the terms and conditions of the Creative Commons Attribution (CC BY) license (https://creativecommons.org/licenses/by/4.0/).
Share and Cite
Liu, L.; Jing, Y.; Sun, L.; Tang, Y. Experimental and Numerical Study on Flame Inhibition Mechanism of Methane–Coal Dust Hybrid Explosion by Ultrafine Water Mist with Novel Chemical Additives. Fire 2024, 7, 484. https://doi.org/10.3390/fire7120484
Liu L, Jing Y, Sun L, Tang Y. Experimental and Numerical Study on Flame Inhibition Mechanism of Methane–Coal Dust Hybrid Explosion by Ultrafine Water Mist with Novel Chemical Additives. Fire. 2024; 7(12):484. https://doi.org/10.3390/fire7120484
Chicago/Turabian StyleLiu, Li, Yongheng Jing, Le Sun, and Yao Tang. 2024. "Experimental and Numerical Study on Flame Inhibition Mechanism of Methane–Coal Dust Hybrid Explosion by Ultrafine Water Mist with Novel Chemical Additives" Fire 7, no. 12: 484. https://doi.org/10.3390/fire7120484
APA StyleLiu, L., Jing, Y., Sun, L., & Tang, Y. (2024). Experimental and Numerical Study on Flame Inhibition Mechanism of Methane–Coal Dust Hybrid Explosion by Ultrafine Water Mist with Novel Chemical Additives. Fire, 7(12), 484. https://doi.org/10.3390/fire7120484
