Abstract
Wooden structures are prone to fire hazards, and studying their combustion properties is vital for their protection. Samples of fresh pine wood (FP) and pine subjected to artificially accelerated aging (treated at 240 circulation) were collected and prepared for analysis. The heat-release rate, smoke production, and yields of carbon monoxide (CO) and carbon dioxide (CO2) from both types of pine were assessed using conical calorimetry to determine their combustion characteristics. A historic building in Xi’an was modeled using PyroSim to serve as a representative case. The experimentally obtained combustion characteristics of the two pine wood types were inputted into the model, and the Fire Dynamics Simulator (FDS) software was utilized to simulate the development of fire in both newly constructed and aging historic buildings. The results suggest that aging impairs the wood’s combustion properties and increases the susceptibility of pine to ignition. Consequently, this accelerates the spread of fire in wooden structures, leading to a rapid increase in temperature and swift smoke production during fires, thus amplifying the fire risk to historic wooden buildings.
1. Introduction
During a fire, the “chimney effect” can cause high-temperature smoke to rapidly rise to the roof, accompanied by horizontal spread, ultimately filling the entire building. This phenomenon can result in significant damage to historic structures, or even complete destruction [1]. Furthermore, the wooden elements of historic buildings are subject to prolonged exposure to environmental elements such as wind and sunlight [2], which can alter their combustion properties and, consequently, affect the fire risk associated with these buildings. Thus, examining the combustion characteristics specific to fires in historic wooden buildings is of critical importance, both practically and scientifically, for the conservation of heritage architecture.
The cone calorimeter, created by V. Babrauskas and colleagues in 1982, is an instrument specifically designed to assess the combustion characteristics of materials through the principle of oxygen consumption [3]. Its capability to simulate a realistic combustion environment while burning samples has established it as an essential tool in fire testing [4,5,6]. In their research, Osvaldova et al. [7] utilized the cone calorimeter to investigate the impact of flame retardants on the flammability of wood. Their comparative analysis of combustion data from South America and Asia revealed that flame retardants significantly decreased both the flammability and smoke production of the treated wood. Nikolaeva et al. [8] used a cone calorimeter to assess the fire performance of composite materials with different flame retardants integrated into the shell. The results showed that the incorporation of flame retardants via co-extrusion into the shell of polypropylene composites could significantly improve their fire resistance. Beyond material testing, cone calorimeters are also instrumental in evaluating the fire hazard presented by various products. Yang et al. [9] compared the fire hazards of three flooring types—rubber flooring, wool carpet, and blended carpet—finding that rubber flooring had the highest fire risk, followed by wool carpet, with blended carpets being the least hazardous. Xu et al. [10] utilized a cone calorimeter to explore the combustion characteristics of five common types of wood, revealing that pine displayed inherent flame-retardant properties. Zhang et al. [11] combined cone calorimeter experiments with numerical simulation to model and analyze the fire development process in wooden buildings. Their simulation results suggested that variations in the heat-release rate data from cone calorimeter tests at different external heat fluxes (35–50 kW/m2) had a negligible effect on the simulation’s predictive accuracy. These studies collectively affirm that cone calorimeter testing provides a precise evaluation of the combustion process, establishing it as a dependable method for fire investigation in historic wooden structures [12,13]. The fire simulation process for historic buildings is shown in Figure 1.
Figure 1.
Fire simulation techniques for historic buildings.
Owing to the distinctive characteristics of historic edifices and the fire risks they face, many researchers now employ Fire Dynamics Simulator (FDS) software to model and analyze fires in these buildings [14,15]. Byström et al. conducted a study using FDS alongside empirical comparisons to classify fires in historic buildings under different environmental temperatures, finding that the experimental data corresponded well with the simulated outcomes [16]. Tung et al. [17] applied FDS to create fire scenarios in historic structures, informed by experimental studies, and observed that, while fire growth trends were consistent, the timing of these events varied. Huai et al. [18] performed a detailed combustion experiment on a historic wooden temple and used FDS to examine the characteristics of fire spread during the initial phase. The results revealed that historic wooden structures with lower wood density and pyrolysis parameters are particularly prone to flashover. While the majority of scholarly work on fires in wood-framed historic buildings concentrates on the laws governing fire spread within such structures [19,20,21,22,23,24], there is a scarcity of research on the impact of aging on the fire properties of these buildings. Consequently, there is a lack of objective characterization of the fire behavior in aged historic buildings [25,26].
In this research, we employed a cone calorimeter to perform combustion testing on fresh pine logs (FP) and artificially aged wood (240C). The outcomes of these tests were then comparatively analyzed. The data derived from this analysis served as input parameters for the Fire Dynamics Simulator (FDS) software, which was used to model the fire development process in both newly constructed and aged historic buildings. Through this in-depth analysis, we aimed to gain insights into the fire behavior of these structures. The results of this study are presented with the intention of providing theoretical guidance for fire prevention and control strategies in historic wooden buildings.
2. Materials and Methods
2.1. Experimental Sample
In this research, two specimens of fresh pine (FP) were sourced from healthy pine trees. This pine wood belongs to the Pinaceae family and the Pinus genus, classified as Chinese red pine (Pinus tabuliformis). One specimen was then artificially aged using a UV aging chamber, adhering to the specifications of relevant standards (ASTM D4329, ISO 4892-3, GB/T 14522-2008) [27,28,29]. The aging process involved a fluorescent UV lamp (UVA-340) with an intensity of 0.68 W/m2, a condensation phase at 50 °C, a black panel temperature of 60 °C, and a wetting period lasting 0.5 h. Each aging cycle was 12 h long, comprising 8 h under UV light and at black panel temperature, followed by 4 h without UV light at the condensation temperature. After completing 240 such cycles, totaling 2880 h, the aged sample was designated as 240C. The results from the industrial and elemental analyses of both FP and 240C samples are shown in Table 1.
Table 1.
Industrial and elemental analysis results of the samples.
2.2. CONE Tests
The use of a cone calorimeter (CONE) in evaluating the combustion properties of two types of pine was executed in line with ISO 5660 standards [30], employing a radiant heat flux of 35 kW/m2. The samples prepared for this test were of the dimensions 100 × 100 × 10 mm and were encased in aluminum foil, leaving only the top surface uncovered to expose it to the heat flux. The cone calorimeter’s fundamental mechanism relies on the oxygen consumption technique to determine the heat-release rate (HRR) of the sample being tested. This apparatus is also fitted with a gas analysis system capable of tracking the concentrations of CO and CO2 in real time. This is achieved through the conversion of the gas sensor’s electrical signals into concentration values. In addition, the experimental setup included a flue gas measurement system. This system was instrumental in quantifying the smoke produced and in calculating the smoke production rate throughout the duration of the combustion test.
2.3. Numerical Simulation
2.3.1. Modeling
The model of the historic building was constructed using PyroSim (Model: 2021.1.0224), this building is a temple, primarily used for offering incense. The model reflects the true dimensions of the actual structure, and the outcomes are depicted in Figure 2a. The building is approximately 7.5 m long, 6.5 m wide, and 10 m high. It is a typical brick–wood structure, with wooden components such as beams, columns, and dougong (a type of bracket system) interlaced, significantly increasing the fire hazard of the building. To more clearly illustrate the spread of fire within the historic building, the exterior walls were made transparent in the simulation, and these results are displayed in Figure 2b.
Figure 2.
(a) Model of historic building; (b) model of the historic building with external walls hidden.
2.3.2. Model Ignition Power and Position Settings
Since the combustion materials of historic buildings are mainly wooden furniture or components, the combustion process in the simulation uses a t2 growth curve and uses the maximum heat-release rate during the firing process for the calculations [31]. The growth types of the t2 fire model can be divided into 4 levels, as shown in Equation (1).
Formula: Q is the heat-release rate, kW; t is the time, s; α is the fire growth factor, kW/s2.
Table 2 presents the fire categories and the corresponding fire growth coefficients (α) for various typical combustible materials. Based on the information in Table 2, the fire category for wooden historic buildings is classified as a rapid-growth fire type, which corresponds to a fire growth coefficient (α) of 0.0469.
Table 2.
Power growth coefficient of t2 fire source.
Given that the hall of the historic building is used for offerings of incense, a fire source has been established in that location, which is depicted in Figure 3.
Figure 3.
Location of the combustion source.
2.3.3. Mesh
To ascertain the appropriateness of the meshing within the operational area, the method of Poisson distribution, which utilizes Fast Fourier Transform (FFT) formulas, is employed for validation [32,33]. The dimensions of the cells must conform to the criteria of 2μ base, 3 V, 5 W (where μ, V, and W are integers), and it is essential to ensure that the number of cells along each axis is a composite number. The formula for meshing is as follows:
The formula is as follows: D* represents the size of the ignition source in meters (m); ρ∞ denotes the density of the gas at ambient temperature, with a value of 1.2 kg/m3 at room temperature; Cp stands for the specific heat capacity of air at constant pressure, which is 1.02 kJ/(kg·K); T∞ is the ambient temperature measured in Kelvin (K); g is the acceleration due to gravity, with a value of 9.8 m/s2.
In Fire Dynamics Simulator (FDS) processes, the grid constitutes the fundamental operational unit. The evolution of a fire plume is contingent upon a dimensionless ratio, specifically the proportion of the fire source’s size to that of the grid cell it occupies (δx). Considering the characteristics of the fire plume and the computational speed, it is advised that this ratio falls between 4 and 16. Based on the aforementioned formula, D* is determined to be 0.80 m, with the range for δx being from 0.05 to 0.2 m. To maintain the integrity of the simulation, the calculations were performed for grid sizes of 0.01 m, 0.05 m, 0.1 m, 0.15 m, and 0.2 m. Considering factors such as the building model, computation speed, and simulation results, the optimal grid size was ultimately determined to be 0.05 × 0.05 × 0.05 m. This grid size selection was made with the aim of optimizing simulation fidelity.
2.3.4. Measurement Points and Slice Settings
Temperature sensors are strategically placed within the central area of the historic building’s main hall, situated at the coordinates X = 0 m, Y = 5 m, and at four different elevations along the Z-axis within the simulation model: 0 m, 3 m, 6 m, and 9 m. Furthermore, a cross-sectional plane at Y = 5 m is incorporated into the model to facilitate detailed temperature analysis. The positioning of each temperature sensor and the cross-sectional plane is depicted in Figure 4. The FDS version used in this article is FDS 6.7.5 (2021).
Figure 4.
Placement of cross-sectional planes and measurement points in the model.
3. Results and Discussion
3.1. Wood-Burning Experiment
3.1.1. Heat-Release Rate
The heat-release rate (HRR) is an essential metric indicative of fire propagation in historic timber structures. It represents the temporal variation of heat emission at the location of the fire and influences the temperature generated by the blaze [34]. The HRR profiles for FP and 240C are presented in Figure 5. This figure delineates the wood pyrolysis process into six distinct phases: the endothermic dehydration phase, the ignition phase, the transition phase, the combustion acceleration phase, the extinction phase, and the char formation phase.
Figure 5.
HRR curve for wood combustion.
During the initial endothermic dehydration phase, the wood releases water molecules in substantial amounts, which elevates the wood’s temperature. At this juncture, the heat-release rate remains at zero since combustion has not yet commenced. Post the 100 s mark, both wood specimens undergo a simultaneous exothermic reaction, emitting a significant quantity of heat. As depicted in Figure 5, the peak heat-release rate for the 240C sample surpasses that of the FP sample during the combustion phase; this is attributable to the increased porosity within the wood following artificial aging, which allows for some premature release of heat. Between 150 and 200 s, the wood undergoes a transition phase in pyrolysis, characterized by a declining oxygen concentration around the wood, burning of combustible gases at the wood’s surface, and a marginal reduction in the heat-release rate. At the 250 s mark, the internal combustible gases have been fully emitted, leading to a fully developed combustion and the emergence of a second exothermic peak on the curve. During the combustion intensification phase, FP’s peak heat-release rate exceeds that of 240C because the latter has already expelled some internal heat in the earlier ignition phase and has lost combustible matter through the aging process. From 400 to 550 s, the wood pyrolysis transitions into the flame-out phase, where the heat-release rate progressively declines, resulting in a less intense combustion process. Beyond 550 s, the combustion reaction diminishes gradually, culminating in the formation of a dense carbon layer on the wood’s surface, which insulates and slows the combustion within the carbonized layer.
3.1.2. Total Heat Release
Total heat release (THR) measures the overall amount of heat emitted during the combustion process [35]. The THR for both the FP and 240C samples is presented in Figure 6. The THR curve for the wood follows a pattern of initial constancy, followed by a sharp rise, and then a consistent increase. This pattern unfolds as follows: At the endothermic dehydration phase, the THR for both wood types is zero since there is no combustion and consequently no heat release. During the ignition, transition, and combustion intensification stages, the THR shows a linear increase due to the aerobic burning of gases on the wood surface under adequate oxygen supply, leading to stable heat production. As the wood enters the flameout and carbonization stages, the THR growth rate diminishes. By this stage, the surface and internal gases have been consumed, and the wood is undergoing a slow carbonization reaction on its surface, which produces significantly less heat than open flame combustion. A comparative analysis of the THR curves for the two wood samples reveals that, up until the 450 s mark, the heat generated by 240C is consistently higher than that of FP. This can be attributed to the artificial accelerated aging of the pine, which alters its microstructure and creates more conducive conditions for combustion. However, post the 450 s mark, the heat generation from FP begins to exceed that of 240C, and ultimately, FP’s total heat release is greater than 240C’s. This is due to the initial structural breakdown of the pine wood caused by the aging process in 240C, which results in a reduced heat release.
Figure 6.
THR curve for wood combustion.
3.1.3. Smoke Release Rate
The most significant threat to human safety in a fire often stems not from the flames or heat directly, but from the smoke and toxic fumes produced. The specific extinction area is defined as the ratio of the smoke’s extinction coefficient (which results from the material’s combustion) to the mass loss of the material. The smoke production rate (SPR) is then calculated by dividing the specific extinction area by the rate of mass loss. The SPR is an essential measure for assessing fire hazard since it is associated not only with the flame spread and intensity but also with the rate of smoke emission [36]. As illustrated in Figure 7, the SPR curve is predominantly active during the endothermic dehydration, ignition, transition, and combustion intensification stages. During the flameout and carbonization stages, the emission of flue gases drops to zero, suggesting that in the later stages of combustion, the layer of char formed acts as a barrier to the release of flue gases. When comparing FP and 240C, it is observed that the peak of the SPR curve for FP is higher than that of 240C. The reason for this is that the moisture content at 240C is higher than that of FP (industrial analysis Mad: FP: 3.39 wt.% < 240 °C: 3.72 wt.%). The presence of moisture reduces combustion intensity and slows down the thermal decomposition rate of pine wood, resulting in a lower smoke production rate.
Figure 7.
SPR curve for wood combustion.
3.1.4. Total Smoke Release
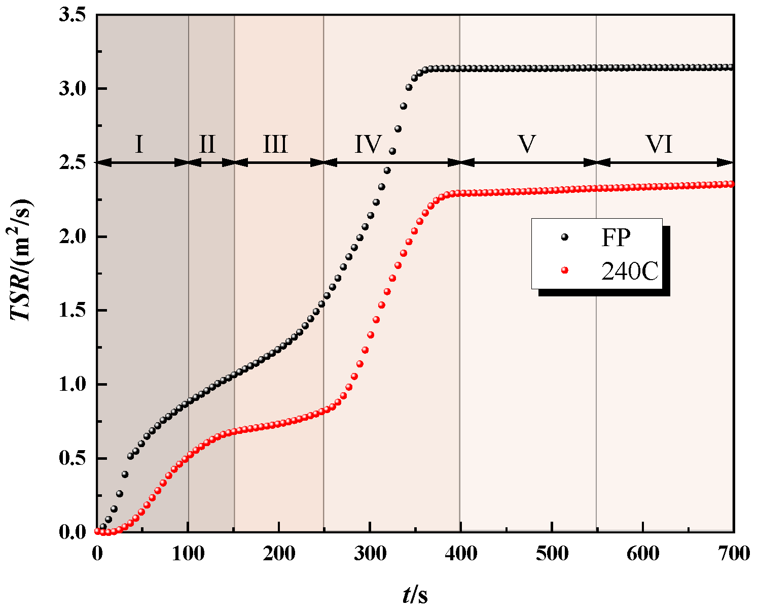
Total smoke release (TSR) is calculated by integrating the smoke production rate (SPR) curve over time, which quantifies the volume of smoke generated per unit area of pine wood throughout the entire combustion process. The smoke release curve typically features a discernible peak corresponding to the maximum output of flue gases. In the initial endothermic dehydration stage, the wood samples absorb considerable heat, which causes the release of a certain quantity of flue gas as a result of dehydration. As the combustion process escalates, there is a substantial release of combustible gases from within the wood. As shown in Figure 8, it is evident from the smoke production data that FP generates more smoke than 240C throughout the combustion cycle. This is due to the higher levels of moisture and organic compounds present in the log wood, which lead to a more vigorous smoke production reaction during the heating and heat absorption phases. Furthermore, a significant quantity of combustible gases is retained within the log wood during the combustion intensification stage, which contributes to the greater smoke production observed in FP.
Figure 8.
Smoke release curve for wood combustion.
3.2. Numerical Simulation Results
3.2.1. Parameter Settings
When simulating the fire dynamics within historic wooden structures using the FDS software, it is necessary to input the combustion characteristics for both FP and 240C. The data for this simulation draw upon the combustion parameters acquired from the CONE calorimeter experiments. The heat-release rate (HRR) is used to represent the peak values of total heat release (THR), smoke production rate (SPR), and total smoke release (TSR), which are detailed in Table 3.
Table 3.
Combustion parameters of experimental samples.
3.2.2. Dynamic Flame Spread Analysis
Figure 9 presents a comparative simulation of fire dynamics in historic structures using both newly sourced and aged timber. An analysis of Figure 9 reveals the fire sequence in an historic building constructed with FP timber: Within the first 100 s, the initial flame at the ignition point draws air from the surroundings and ascends vertically, reaching the beam by 200 s. The fire spreads swiftly, with the flames surpassing the height of the roof beams between 300 and 400 s and making contact with them, which facilitates more rapid combustion. By the 500 s mark, the flames have extended to the roof, setting alight the upper sections of the wooden structure and causing multiple wooden elements to catch fire. At 600 s, the fire engulfs the roof truss, where the availability of oxygen is higher, and proceeds to spread to the wooden walls. By 650 s, the oxygen levels within the rooms of the historic building have diminished, resulting in a lower-intensity burn in the roof trusses and enabling the fire to propagate to additional rooms within the structure.
Figure 9.
Dynamic variation of flame spread. (a) FP flame spread simulation; (b) 240C flame spread simulation diagram.
3.2.3. Dynamic Smoke Spread Analysis
Figure 10 illustrates the progression of smoke during the initial stages of a fire in an historic wooden structure. In the first 100 s, smoke generated from the combustion at the ground level ascends, swiftly reaching the roof before dispersing laterally around it. By approximately 200 s, the smoke starts to densely gather around the area of the roof beams, initiating a top-to-bottom spread within the building. Passing the 300 s mark, the smoke has fully engulfed the building’s interior, seeping into adjacent rooms of another historic edifice, concentrating in the roof zone, and then descending to pervade the entire structure. This pattern underscores the swift smoke propagation characteristic of fires in historic wooden buildings made of FP, with the entire area becoming enveloped in smoke in a mere 300 s.
Figure 10.
Dynamic variation of smoke spread. (a) FP fire fumes; (b) 240C fire fumes.
Figure 11 illustrates the correlation between fire smoke concentration and visibility by presenting the visibility variation curves for fires in both new and old wood structures. The graph demonstrates that visibility within historic structures composed of 40C began to decline around the 450 s mark and had nearly vanished by the 929 s mark. When contrasted with the visibility reduction during a fire in an FP-type historic building, the duration of visibility loss is markedly shorter. By examining Figure 10 and Figure 11 together, it becomes clear that, in both fire scenarios, smoke starts to gather around the roof beams near the 150 s mark, then progressively descends, pervading the entire space by the 200 s mark. This comparison reveals that smoke disperses more rapidly in fires involving historic buildings made of 240C material, albeit with a lesser density than those of FP material. The quicker diffusion of flue gases and the reduced smoke density can be attributed to the aged 240C material’s increased propensity for ignition and diminished combustion intensity. Additionally, juxtaposing Figure 10 and Figure 11 indicates that the propagation speed of smoke in historic buildings, regardless of their age, surpasses the spread of the actual flames.
Figure 11.
Simulated visibility change curve. (a) FP visibility changes; (b) 240C visibility changes.
3.2.4. Temperature
The variation in temperature effectively reflects the thermal radiation emanating from fires in historic structures. Extremely elevated temperatures have the potential to hasten thermal decomposition or even ignite the timber elements, which can result in considerable destruction. Figure 12 depicts the temporal evolution of temperature at various monitoring points through a graphical curve.
Figure 12.
Temperature change simulation curve. (a) FP temperature change; (b) 240C temperature change.
The temperature profiles depicted in Figure 12a,b demonstrate a comparable trend in the heat changes during the burning of the two different types of historic buildings. Notably, the maximum temperature reached during the combustion of FP-constructed historic buildings peaks at 750 °C, which is approximately 100 s later than that observed in the burning of pine wood. This lag can be attributed to the artificial aging process that degrades the pine wood, thus enhancing its combustibility and making it more prone to ignition compared to FP. Temperatures recorded at various sensors oscillate between 650 °C and 700 °C, suggesting that the fires in these historic buildings generate radiant heat within the range of 600 °C to 700 °C. At measurement point 1, situated at ground level in both the new and old wooden structures, the temperatures are comparatively lower, ranging from 200 °C to 400 °C. In the initial combustion phase, before 450 s, the temperatures at the four measurement points for both building types climb swiftly over time, with the rate of temperature increase becoming more pronounced as the height within the room rises. This pattern is due to the low density and high temperature of the flue gases released at the onset of the fire, which causes the smoke to rise swiftly towards the ceiling under buoyant forces, thereby concentrating heat at higher points within the room. This also suggests that the fire hazard is relatively minor at lower levels during the early stages of a fire. Post the 650 s mark, the temperature propagation aligns with the direction of smoke spread, leading to a marked rise in temperature throughout the building. However, ground temperatures remain relatively subdued. This pattern implies that during a fire escape, remaining close to the ground could be safer for individuals trying to evacuate.
3.2.5. CO2 Concentration Change Analysis
The generation of CO2 during fires plays a pivotal role in affecting the number of casualties. The presence of CO2 can exacerbate the smoke density in a blaze, leading to the incapacitation of individuals. Once inhaled, CO2 can interfere with the body’s respiratory functions, causing people caught in a fire to breathe in more carbon monoxide (CO) and other noxious gases at high temperatures, which can cause severe injury or even pose a threat to life. Hence, elevated levels of CO2 in a fire environment equate to a heightened risk. Using Fire Dynamics Simulator (FDS), the variation in CO2 levels over time is modeled at designated measurement points within both newly constructed and aged wooden historic buildings during a fire incident, as shown in Figure 13.
Figure 13.
Change curve of CO2 content at each measuring point. (a) FP carbon dioxide concentration changes; (b) 240C carbon dioxide concentration changes.
In conclusion, as depicted in Figure 13, within the initial 500 s of the fire, there is a rapid increase in CO2 concentration observed at all four measurement points in both the old and new wooden buildings. The most pronounced acceleration in CO2 levels is noted at measurement point 4, which is situated at the roof, with measurement point 3, at a lower level, following suit. This pattern suggests that, during the initial phase of a fire, CO2 swiftly rises and tends to accumulate in the upper regions near the roof and beams. The rate of increase in CO2 at measurement points 1 and 2 is comparable, which can be attributed to the fact that measurement point 2 is located 3 m above point 1. In conditions of adequate ventilation, a substantial volume of CO2 moves vertically towards the roof, leading to an initial change in CO2 concentration in the lower 3 m zone, with levels at both points becoming nearly identical around the 500 s mark. The absence of smoke prevention systems in historic buildings results in inefficient natural smoke exhaust, and as the fire progresses, CO2 that has reached the roof causes the smoke to form a ‘ceiling jet’ against the roof. Around 500–600 s, this dynamic leads to a slight dip in the CO2 concentration curve due to the lateral expansion of smoke. Beyond 600 s, the CO2 levels at measurement points 2, 3, and 4 rise gradually until reaching a peak and then stabilize. After the 600 s mark, the CO2 concentration at ground level, at measurement point 1, remains stable at around 10%. The trend of CO2 production in fires involving 40C historic buildings is similar to those with FP construction. However, the peak concentration of flue gases (11.6%) is higher and the time to reach this peak (454 s) is shorter. This is because the artificially aged 240C material has a higher degree of carbonization, meaning that the gas–solid oxidation reaction (C + CO2 = 2CO) is more likely to occur during combustion [37,38]. Consequently, CO2 is generated more rapidly and in greater quantities.
3.2.6. CO Concentration Analysis
Carbon monoxide serves as a significant indicator of smoke toxicity in fire scenarios. During a fire, this toxic gas emerges due to incomplete combustion, and elevated levels of CO can cause adverse health effects ranging from headaches and dizziness to nausea and, in severe cases, fatality. Figure 14 presents the fluctuation of CO concentrations over time at various sensor locations for fires in two different styles of historic buildings.
Figure 14.
Change curve of CO content at each measuring point. (a) Change in FP carbon monoxide yield; (b) 240C carbon monoxide yield variation.
Upon examining Figure 14, we can discern that, in both varieties of historic buildings, the CO2 levels at measurement points 2 through 4 show an upward trend over time and with the elevation of the measurement points. For the FP material, the CO2 concentration peaks at 574 s before reaching a plateau, whereas, for the 240C material, the peak occurs at 688 s, after which it also tends to level off. This pattern suggests that the combustion process in both types of historic buildings is predominantly governed by ventilation, resulting in relatively complete burning. Nevertheless, the delayed peak time, prolonged duration, and lower peak concentration for 240C imply that the combustion intensity in historic buildings made of 240C is less than that of those made of FP. Both fire scenarios exhibit a temporary decline in CO concentration between 500 and 600 s, mirroring the dip in CO2 levels during the same interval, which can be attributed to the dispersal of smoke. Notably, post-600 s, the CO concentration at measurement point 1 in both types of historic buildings is significantly reduced compared to the other three points, reinforcing the idea that staying low to the ground during a fire offers a safer route for those trying to escape.
4. Conclusions
This study focused on assessing the combustion characteristics of FP and 240C using the CONE calorimeter test. Subsequently, fire scenarios in historic structures constructed with FP and 240C were simulated through computational modeling, analyzing the dynamics of fire growth, heat-release rates, temperature fluctuations, and the concentrations of CO and CO2. The research also investigated and compared the impact of wood aging on the fire behavior of historic timber structures. The key findings are summarized as follows:
- (1)
- Wood combustion characteristics: The combustion process of wood can be divided into six stages: the heat absorption and dehydration stage, the ignition stage, the transition stage, the combustion acceleration stage, the extinguishing stage, and the carbonization stage. Comparing fresh pine wood (FP) with artificially aged pine wood (240C), it was found that the aged wood is more easily ignited and has a reduced combustion intensity. Key parameters such as heat-release rate (HRR), total heat release (THR), smoke production rate (SPR), and total smoke release (TSR) are all lower in aged wood compared to new wood.
- (2)
- Impact of aging on fire characteristics of historical wooden structures: Although the aging process does not change the propagation patterns of flames and smoke, it accelerates the spread of fire within wooden structures, increases temperatures during the fire process, and enhances smoke emissions, thereby overall increasing the fire hazard of historical wooden structures.
- (3)
- Changes in environmental parameters during a fire: In fires occurring in both new and old historical buildings, the patterns of changes in temperature, CO, and CO2 levels are similar, rising with the duration of the fire and the height of the measurement points. The temperature, CO, and CO2 values at ground level are significantly lower than those at higher measurement points, indicating that evacuation close to the ground is relatively safer during a fire.
By using fire dynamics simulation (FDS) software, the development of fires in historical wooden buildings was studied, revealing that aged wood (240C) exhibits lower combustion intensity and faster smoke diffusion rates during a fire, leading to increased fire risk. These findings emphasize the importance of conducting fire risk assessments and protective measures for historical wooden buildings, especially when considering the effects of wood aging on fire behavior. The results of this study provide a theoretical basis for formulating effective fire prevention and control strategies.
Author Contributions
Formal analysis and writing—original draft preparation, T.L.; supervision and investigation, A.L.; validation and supervision, M.Y.; investigation and resources, J.D.; conceptualization and methodology, Q.H.; formal analysis, Z.L.; supervision and validation, H.L.; methodology and resources, X.Y. All authors have read and agreed to the published version of the manuscript.
Funding
The work was supported by the National Natural Science Foundation of China (No. 52274225) and Special Key Research Project of Integration of Industry and Innovation Chain of QINCHUANYUAN Industrial Cluster Programme (No. 2023QCY-LL-24) and Shaanxi International Science and Technology Cooperation Program Project (2023-GHZD-31) and High-level/excellent doctoral talents introduction scientific research start-up project of Inner Mongolia Agricultural University under Grant (Grant no. NDYB2021-7) and Key R&D Plan of Ordos City (Grant no. YF20240006).
Institutional Review Board Statement
Not applicable.
Informed Consent Statement
Not applicable.
Data Availability Statement
Data are available from the corresponding author upon reasonable request.
Acknowledgments
This paper acknowledges the support of the “Xi’an University of Science and Technology Excellent Doctoral Dissertation Training Program”.
Conflicts of Interest
The authors declare no conflicts of interest.
References
- Deng, J.; Liu, T.; Yao, M.; Yi, X.; Bai, G.; Huang, Q.; Li, Z. Comparative study of the combustion and kinetic characteristics of fresh and naturally aged pine wood. Fuel 2023, 343, 127962. [Google Scholar] [CrossRef]
- Zhou, B.; Zhou, X.; Chao, M. Fire protection of historic buildings: A case study of group-living yard in Tianjin. J. Cult. Herit. 2012, 13, 389–396. [Google Scholar]
- Xu, Q.; Jin, C.; Jiang, Y. Compare the flammability of two extruded polystyrene foams with micro-scale combustion calorimeter and cone calorimeter tests. J. Therm. Anal. Calorim. 2016, 127, 2359–2366. [Google Scholar] [CrossRef]
- Jin, E.; Chung, Y. Combustion Characteristics of Wood Panels Treated with Phosphorus-Nitrogen Additives. BioResources 2016, 11, 4319–4331. [Google Scholar] [CrossRef]
- Terrei, L.; Acem, Z.; Georges, V.; Lardet, P.; Boulet, P.; Parent, G. Experimental tools applied to the ignition study of spruce wood under cone calorimeter. Fire Saf. J. 2019, 108, 102845. [Google Scholar] [CrossRef]
- Leonelli, L.; Barboni, T.; Santoni, P.; Quilichini, Y.; Coppalle, A. Characterization of aerosols emissions from the combustion of dead shrub twigs and leaves using a cone calorimeter. Fire Saf. J. 2017, 91, 800–810. [Google Scholar] [CrossRef]
- Makovicka Osvaldova, L.; Kadlicova, P.; Rychly, J. Fire Characteristics of Selected Tropical Woods Without and With Fire Retardant. Coatings 2020, 10, 527. [Google Scholar] [CrossRef]
- Nikolaeva, M.; Kärki, T. Influence of fire retardants on the reaction-to-fire properties of coextruded wood-polypropylene composites. Fire Mater. 2015, 40, 535–543. [Google Scholar] [CrossRef]
- Yang, P.; Tan, X.; Xin, W. Experimental study and numerical simulation for a storehouse fire accident. Build. Environ. 2011, 46, 1445–1459. [Google Scholar] [CrossRef]
- Xu, Q.; Chen, L.; Harries, K.A.; Zhang, F.; Liu, Q.; Feng, J. Combustion and charring properties of five common constructional wood species from cone calorimeter tests. Constr. Build. Mater. 2015, 96, 416–427. [Google Scholar] [CrossRef]
- Zhang, S.; Ni, X.; Zhao, M.; Feng, J.; Zhang, R. Numerical simulation of wood crib fire behavior in a confined space using cone calorimeter data. J. Therm. Anal. Calorim. 2015, 119, 2291–2303. [Google Scholar] [CrossRef]
- Rabe, S.; Schartel, B. The rapid mass calorimeter: Understanding reduced-scale fire test results. Polym. Test. 2017, 57, 165–174. [Google Scholar] [CrossRef]
- Richter, F.; Rein, G. A multiscale model of wood pyrolysis in fire to study the roles of chemistry and heat transfer at the mesoscale. Combust Flame 2020, 216, 316–325. [Google Scholar] [CrossRef]
- Wen, J.; Kang, K.; Donchev, T.; Karwatzki, J.M. Validation of FDS for the prediction of medium-scale pool fires. Fire Saf. J. 2007, 42, 127–138. [Google Scholar] [CrossRef]
- Li, J.; Li, H.; Zhou, B.; Wang, X.; Zhang, H. Investigation and Statistical Analysis of Fire Loads of 83 Historic Buildings in Beijing. Int. J. Archit. Herit. 2020, 14, 471–482. [Google Scholar] [CrossRef]
- Byström, A.; Cheng, X.; Wickström, U.; Veljkovic, M. Full-scale experimental and numerical studies on compartment fire under low ambient temperature. Build. Environ. 2012, 51, 255–262. [Google Scholar] [CrossRef]
- Tung, S.; Su, H.; Tzeng, C.; Lai, C. Experimental and numerical investigation of a room fire in a wooden-frame historical building. Int. J. Archit. Herit. 2020, 14, 106–118. [Google Scholar] [CrossRef]
- Huai, C.; Xie, J.; Liu, F.; Du, J.; Chow, D.H.; Liu, J. Experimental and Numerical Analysis of Fire Risk in Historic Chinese Temples: A Case in Beijing. Int. J. Archit. Herit. 2021, 16, 1844–1858. [Google Scholar] [CrossRef]
- Chen, G.; Hu, Y.; Peng, F.; Bian, J.; Li, M.; Yao, C.; Sun, R. Fabrication of strong nanocomposite films with renewable forestry waste/montmorillonite/reduction of graphene oxide for fire retardant. Chem. Eng. J. 2018, 337, 436–445. [Google Scholar] [CrossRef]
- Ding, C.; Zhang, S.; Pan, M.; Li, M.; Zhang, Y.; Mei, C. Improved processability and high fire safety of wood plastic composites via assembling reversible imine crosslinking network. Chem. Eng. J. 2021, 423, 130295. [Google Scholar] [CrossRef]
- Xie, H.; Lai, X.; Li, H.; Gao, J.; Zeng, X.; Huang, X.; Lin, X. A highly efficient flame retardant nacre-inspired nanocoating with ultrasensitive fire-warning and self-healing capabilities. Chem. Eng. J. 2019, 369, 8–17. [Google Scholar] [CrossRef]
- Li, J.; Zhang, X.; Li, J.; Li, R.; Qian, M.; Song, P. An experimental study of the damage degrees to ancient building timber caused by lightning strikes. J. Electrost. 2017, 90, 23–30. [Google Scholar] [CrossRef]
- Chen, G.; Chen, C.; Pei, Y.; He, S.; Liu, Y.; Jiang, B.; Hu, L. A Strong, Flame-retardant, and Thermally Insulating Wood Laminate. Chem. Eng. J. 2019, 383, 123109. [Google Scholar] [CrossRef]
- Werrel, M.; Deubel, J.H.; Krüger, S.; Hofmann, A.; Krause, U. The calculation of the heat release rate by oxygen consumption in a controlled-atmosphere cone calorimeter. Fire Mater. 2013, 38, 204–226. [Google Scholar] [CrossRef]
- Bernardini, G.; Azzolini, M.; D’Orazio, M.; Quagliarini, E. Intelligent evacuation guidance systems for improving fire safety of Italian-style historical theatres without altering their architectural characteristics. J. Cult. Herit. 2016, 22, 1006–1018. [Google Scholar] [CrossRef]
- Zhang, J.; Li, Z.; Shao, Z.; Zhang, L.; Wang, D. Hierarchically Tailored Hybrids via Interfacial-Engineering of Self-Assembled UiO-66 and Prussian Blue Analogue: Novel Strategy to Impart Epoxy High-efficient Fire Retardancy and Smoke Suppression. Chem. Eng. J. 2020, 400, 125942. [Google Scholar] [CrossRef]
- ASTM D4329-13; Standard Practice for Fluorescent Ultraviolet (UV) Lamp Apparatus Exposure of Plastics. ASTM Int.: West Conshohocken, PA, USA, 2020; pp. 1–6.
- Standard ISO 4892-3:2016, Plastics—Methods of Exposure to Laboratory Light Sources—Part 3: Fluorescent UV Lamps. Available online: https://www.iso.org/standard/67793.html (accessed on 30 October 2021).
- GB/T 14522-2008; Plastics, Coatings and Rubber Materials—Artificial Weathering Testing Methods—Light Source: Fluorescent Ultraviolet Lamp. General Administration of Quality Supervision, Inspection and Quarantine of the People’s Republic of China, & Standardization Administration of China: Beijing, China, 2008.
- ISO 5660-1:2015; Reaction to Fire Tests. Heat Release, Smoke Production and Mass Loss Rate. Part 1: Heat Release Rate (Cone Calorimeter Method) and Smoke Production Rate (Dynamic Measurement). 3rd ed. International Organization for Standardization: Geneva, Switzerland, 2015; p. 55.
- Zalok, E.; Hadjisophocleous, G.V.; Mehaffey, J.R. Fire loads in commercial premises. Fire Mater. 2009, 33, 63–78. [Google Scholar] [CrossRef]
- Brodny, J.; Tutak, M. Determination of the zone with a particularly high risk of endogenous fires in the goaves of a longwall with caving. J. Appl. Fluid Mech. 2018, 11, 545–553. [Google Scholar] [CrossRef]
- Bartlett, A.I.; Hadden, R.M.; Hidalgo, J.P.; Santamaria, S.; Wiesner, F.; Bisby, L.A.; Deeny, S.; Lane, B. Auto-extinction of engineered timber: Application to compartment fires with exposed timber surfaces. Fire Saf. J. 2017, 91, 407–413. [Google Scholar] [CrossRef]
- Chen, C.; Hsieh, W.D.; Hu, W.; Lai, C.; Lin, T. Experimental investigation and numerical simulation of a furnished office fire. Build. Environ. 2010, 45, 2735–2742. [Google Scholar] [CrossRef]
- Durak, S.; Erbil, Y.; Akıncıtürk, N. Sustainability of an architectural heritage site in Turkey: Fire risk assessment in Misi village. Int. J. Archit. Herit. 2011, 5, 334–348. [Google Scholar] [CrossRef]
- Neto, J.T.; Ferreira, T.M. Assessing and mitigating vulnerability and fire risk in historic centres: A cost-benefit analysis. J. Cult. Herit. 2020, 45, 279–290. [Google Scholar] [CrossRef]
- Kang, F.; Tian, R.C.; Zhang, J.X.; Wang, D.K.; Xie, H.X.; Pan, C.; Zhou, T.B.; Deng, J. Study on microstructure evolution characteristics of coal in low temperature oxidation stage in goaf of Longfeng Coal Mine. Combust. Sci. Technol. 2024, 1–20. [Google Scholar] [CrossRef]
- Ma, L.; Zhang, P.; Chen, X.; He, Y.; Wei, G.; Fan, J. Numerical investigation of coupling hazard zone of coal spontaneous combustion and gas in gob for high-gas mines. Case Stud. Therm. Eng. 2024, 63, 105341. [Google Scholar] [CrossRef]
Disclaimer/Publisher’s Note: The statements, opinions and data contained in all publications are solely those of the individual author(s) and contributor(s) and not of MDPI and/or the editor(s). MDPI and/or the editor(s) disclaim responsibility for any injury to people or property resulting from any ideas, methods, instructions or products referred to in the content. |
© 2024 by the authors. Licensee MDPI, Basel, Switzerland. This article is an open access article distributed under the terms and conditions of the Creative Commons Attribution (CC BY) license (https://creativecommons.org/licenses/by/4.0/).













